Coumarin-based acid dye for fluorescent staining of calcium carbonate particles
- Authors: Zelinskiy S.N.1, Danilovtseva E.N.1, Strelova M.S.1, Pal’shin V.A.1, Annenkov V.V.1
-
Affiliations:
- Limnological Institute of the Siberian Branch of the Russian Academy of Sciences
- Issue: No 6 (2023)
- Pages: 244-252
- Section: Articles
- URL: https://bakhtiniada.ru/2658-3518/article/view/282905
- DOI: https://doi.org/10.31951/2658-3518-2023-A-6-244
- ID: 282905
Cite item
Full Text
Abstract
Vital fluorescence staining of calcium-containing structures in calcifying organisms is a powerful tool for the study of biocalcification. The main dyes used in this field have green or red fluorescence, which may be overlapped with the fluorescence of chlorophyll and other organic substances. We synthesized a novel coumarin-based fluorescent dye QA2 that stains calcium carbonate and calcium phosphate. The fluorescence of this dye depends from environment, it is enhanced in non-polar medium with a shift of the emission maximum to the blue spectrum region. Small vaterite and calcium phosphate particles adsorb QA2 on the surface and exhibit predominantly green fluorescence, while low surface area calcite crystals are stained in bulk and show additional intense blue fluorescence. The ability of the QA2 dye to generate blue fluorescence of calcium carbonate may be useful for tracking calcium carbonate formation at living organisms in the presence of green and red fluorescent organic substances.
Keywords
Full Text
1. Introduction
Vital fluorescence staining of calcium-containing structures in calcifying organisms allows us to measure their growth rates and study biocalcification processes (Ramesh et al., 2017; Tambutte et al., 2012). Various fluorescent dyes that fluoresce in the green and red spectrum are used for this purpose (Liao et al., 2021; Tada et al., 2014). Calcein (Mount et al., 2004; Vidavsky et al., 2015) and alizarin red (González-Pabón et al., 2021; Wannakajeepiboon et al., 2023) have found the greatest use among such dyes. Calcein is considered more reliable and widely used due to its potential non-toxicity and ease of use in contrast to alizarin red, thus calcein can be added directly to the environment of organisms (Serguienko et al., 2018). However, the presence of autofluorescence in mollusk shells (Delvene et al., 2022; Spires et al., 2021) as well as in algae (Donaldson, 2020; Schoor et al., 2015; Tang and Dobbs, 2007) can cause difficulties for the interpretation of fluorescence images because there is an overlap fluorescence spectra of calcein or alizarin red with the structures autofluorescing in the yellow-green or red region. Using dyes with fluorescence in the blue region of the spectrum can be the solution for this problem. We recently developed dye QN2 based on coumarin to stain growing siliceous frustules of diatom algae (Annenkov et al., 2019). This dye exhibits emission in the blue range of the spectrum with the addition of green fluorescence upon incorporation into silica. The ability of QN2 to enter siliceous structures is attributed the presence of amine groups capable interacting with silica. Calcium-based biominerals are bound to carboxyl-containing substances (Nudelman et al., 2006; Rao et al., 2015), so calcium-targeted dyes (alizarin red and calcein) contain several acidic groups.
The aim of this work is to synthesize a new coumarin dye QA2 with two carboxyl groups, to study its spectral properties and ability to stain in situ obtained calcium carbonate and phosphate.
2. Materials and methods
2.1. Chemical reagents
All solvents and reagents were purchased from Vekton JSC (St. Petersburg, Russia). Ethyl acetate was washed with a sodium bicarbonate solution, distilled water, dried over anhydrous calcium chloride followed by distillation. Dimethylformamide (DMF) was shaken for 30 minutes with anhydrous CuSO4, filtered through a Büchner funnel, distilled in vacuum and kept with 3A molecular sieves. Triethylamine was dried with CaH2 and distilled. L-aspartic acid was kept over P4O10 in an evacuated desiccator for 48 hours before use. 7-(Diethylamino)coumarin-3-carboxylic acid and succinimidyl ester of 7-(diethylamino)coumarin-3-carboxylic acid were synthesized according to (Berthelot et al., 2005).
2.2. Synthesis of N-[[7-(Diethylamino)-2-oxo-2H-1-benzopyran-3-yl]carbonyl]-L-aspartic acid (QA2)
Mixture of 40.6 mg (0.305 mmole) of L-aspartic acid, 74.8 mg (0.739 mmole) of triethylamine, 90.3 mg (0.252 mmole) of succinimidyl ester of 7-(diethylamino)coumarin-3-carboxylic acid and 3 mL of dry DMF was magnetically stirred under nitrogen atmosphere at room temperature for four hours and at 55°C for five hours. Then the volatiles were evaporated in vacuum of an oil rotary vane pump (35°C heating bath) and the residue was taken up in a mixture of 3 mL of distilled water and 5 mL of ethyl acetate followed by filtration through a cotton plug. The aqueous layer was separated, extracted with ethyl acetate (2 mL × 2), acidified with concentrated hydrochloric acid and extracted again with ethyl acetate (2 mL × 3). The latter combined ethyl acetate extracts were dried over MgSO4, rotary evaporated and kept in vacuum of an oil rotary vane pump at 40°C for three hours to give a yellow-brown product. ESI-MS, found: [M+H]+ 377.1340, molecular formula C18H20N2O7 requires [M+H]+ 377.1343.
2.3. Synthesis of calcium carbonate and calcium phosphate in the presence of dyes
Stained calcium carbonate precipitates were obtained by coprecipitation using stock solutions of Na2CO3 (24 mM, pH = 9), CaCl2 (24 mM) and QA2 (4 mM). The precipitates were formed in 10 ml glass vials at 25°C. Total solution volume was 4 ml. Solutions of sodium carbonate, dye and the required amount of water were mixed, shaken well and after 1 min, calcium chloride solution was added, while stirring. Concentrations in the final mixture were 6 mM for Ca2+, 6 mM for CO32-, 0.01 mM for dye. The vial was capped and left at room temperature. The precipitate that formed after 2 h was separated by centrifugation (1000 g, 10 min), washed with water (4°C) and studied with microscopy.
Stained calcium phosphate precipitates were obtained by coprecipitation using stock solutions of (NH4)2HPO4 (24 mmol, pH = 10) and CaCl2 (24 mmol) and QA2 (4 mM). The precipitates were generally formed in 10 ml glass vials at 25°C. Total solution volume was 4 ml. Solutions of diammonium hydrogen phosphate, dye and the required amount of water were mixed, shaken well and after 1 min, calcium chloride solution was added, while stirring. Concentrations in the final mixture were 6 mM for Ca2+, 3.6 mM for HPO42-, 0.01 mM for dye. The vial was capped and left at room temperature. The precipitate that formed after 2 h was separated by centrifugation (1000 g, 10 min), washed with water (4°C) and studied with microscopy.
2.4. Instrumentation
HRMS analysis was performed on an Agilent 6210 TOF (time-of-flight) LC/MS (liquid chromatography/mass spectrometry) System. Sample was dissolved in a mixture of deionized water and acetonitrile (2/1 (v/v)). Water and acetonitrile with 0.1% (v/v) heptafluorobutyric acid were used as eluting solvents A and B, respectively. The conditions for TOF MS were as follows: the mass range was m/z 60 to 500, and scan time was 1 s with an interscan delay of 0.1 s; mass spectra were recorded under electrospray ionization (ESI)+, V mode, centroid, normal dynamic range, capillary voltage 3500 V, desolvation temperature 325 °C, and nitrogen flow 5 L/min.
Absorption, excitation and emission spectra were measured with SM-2203 spectrofluorimeter (CJSC Spectroscopy, Optics and Lasers – Modern Developments, Republic of Belarus, Minsk) in 10 mm quartz cuvette. A pulsed xenon lamp was used as an excitation source in the device.
Light and fluorescent microscopy was performed with MOTIC AE-31T inverted microscope with a HBO 103 W/2 OSRAM mercury lamp. Excitation was performed at 470 nm for green and yellow emission and 365 nm for blue emission.
3. Results and discussion
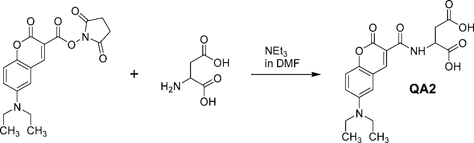
QA2 dye was prepared by the reaction of succinimidyl ester of 7-(diethylamino) coumarin-3-carboxylic acid with L-aspartic acid (Fig. 1). Absorbance spectra of the new dye (Fig. 2) contain three peaks at 216, 265 and 430 (water), 253 and 410 (dioxane) nm. The shape of the emission spectra (Fig. 3) does not strongly depend on the excitation wavelength, but the fluorescence intensity in water is much lower than in dioxane, and its maximum (475 nm) is shifted to red compared to the fluorescence in dioxane (455 nm). Similar effects were observed and discussed for the dye QN2 (Annenkov et al., 2019).
Fig.1. Synthesis of QA2 dye.
Fig.2. Absorbance spectra of 10 µM QA2 solutions in water and 1,4-dioxane.
Fig.3. Excitation and emission spectra of QA2 in water and 1,4-dioxane. Concentration 5 µM. A – excitation spectra at emission 452 nm, B – emission spectra at excitation 256 nm, C – 425 nm, D – 410 nm, E – 400 nm, F – 385 nm, G – 374 nm. Emission and excitation slits 5 nm.
Calcium carbonate obtained from the reaction of calcium chloride and sodium carbonate (Fig. 4) is characterized by particles of two forms: cubic crystals and aggregated small rounded particles. The cubic crystals and aggregates were calcite and vaterite, respectively. Vaterite is metastable form of calcium carbonate which transforms into calcite in aqueous media by dissolving and recrystallization (Ogino et al., 1987). Calcite particles show green and blue fluorescence, while vaterite shows only green-yellow emission. This difference in fluorescence color is similar to the difference in emission spectra of QA2 in water and in a nonpolar solvent such as dioxane. We hypothesize that small vaterite particles with high surface area adsorb QA2 on the surface and the fluorescence of the dye is similar to that in aqueous medium. The dye is incorporated into calcite crystals at the transformation of vaterite in calcite, as result its fluorescence becomes similar to emission in a non-aqueous medium, with a shift to the blue range. Precipitation of calcium phosphate in the presence of QA2 dye results in the formation of small green-fluorescent particles with weak blue emission (Fig. 5). Probably the dye in small calcium phosphate particles is not as isolated from water as in calcite crystals, which reduces fluorescence in the blue range.
Fig.4. Visible light microphotographs and epifluorescence of calcium carbonate particles obtained in the presence of dye QA2. Scale bar represents 50 µm.
Fig.5. Visible light microphotographs and epifluorescence of calcium phosphate particles obtained in the presence of QA2 dye. Scale bar represents 50 µm.
4. Conclusions
We synthesized a novel coumarin-based fluorescent dye QA2 that stains calcium carbonate and calcium phosphate. The fluorescence of the dye depends on the environment, it is enhanced in non-polar medium and the emission maximum shifts to the blue region of the spectrum. Small vaterite and calcium phosphate particles adsorb QA2 on the surface and exhibit predominantly green fluorescence, while low surface area calcite crystals are stained in bulk and show also intense blue fluorescence. The ability of the QA2 dye to generate blue fluorescence of calcium carbonate may be useful for tracking calcium carbonate formation in living organisms in the presence of green and red fluorescent organic substances.
Acknowledgements
This work was supported by Ministry of Science and Higher Education of the Russian Federation, Project # 122012600070-9. The authors wish to thank the Center of Ultramicroanalysis (Limnological Institute) for providing equipment.
Conflict of interest
The authors declare no conflict of interest.
About the authors
S. N. Zelinskiy
Limnological Institute of the Siberian Branch of the Russian Academy of Sciences
Email: annenkov@lin.irk.ru
Russian Federation, Ulan-Batorskaya Str., 3, Irkutsk, 664033
E. N. Danilovtseva
Limnological Institute of the Siberian Branch of the Russian Academy of Sciences
Email: annenkov@lin.irk.ru
Russian Federation, Ulan-Batorskaya Str., 3, Irkutsk, 664033
M. S. Strelova
Limnological Institute of the Siberian Branch of the Russian Academy of Sciences
Email: annenkov@lin.irk.ru
Russian Federation, Ulan-Batorskaya Str., 3, Irkutsk, 664033
V. A. Pal’shin
Limnological Institute of the Siberian Branch of the Russian Academy of Sciences
Email: annenkov@lin.irk.ru
Russian Federation, Ulan-Batorskaya Str., 3, Irkutsk, 664033
V. V. Annenkov
Limnological Institute of the Siberian Branch of the Russian Academy of Sciences
Author for correspondence.
Email: annenkov@lin.irk.ru
Russian Federation, Ulan-Batorskaya Str., 3, Irkutsk, 664033
References
- Annenkov V.V., Zelinskiy S.N., Pal’shin V.A. et al. 2019. Coumarin based fluorescent dye for monitoring of siliceous structures in living organisms. Dyes and Pigments 160:336–343. doi: 10.1016/j.dyepig.2018.08.020
- Berthelot T., Talbot J.C., Laїn G. et al. 2005. Synthesis of Nɛ-(7-diethylaminocoumarin-3-carboxyl)- and Nɛ-(7-methoxycoumarin-3-carboxyl)-L-Fmoc lysine as tools for protease cleavage detection by fluorescence. Journal of Peptide Science 11:153–60. doi: 10.1002/psc.608
- Delvene G., Lozano R.P., Piñuela L. et al. 2022. Autofluorescence of microborings in fossil freshwater bivalve shells. Lethaia 55(4):1-12. doi: 10.18261/let.55.4.7
- Donaldson L. 2020. Autofluorescence in plants. Molecules 25:2393. doi: 10.3390/molecules25102393
- González-Pabón M.A., Tortolero-Langarica J.J.A., Calderon-Aguilera L.E. et al. 2021. Low calcification rate, structural complexity, and calcium carbonate production of Pocillopora corals in a biosphere reserve of the central Mexican Pacific. Marine Ecology 42(6):e12678. doi: 10.1111/maec.12678
- Liao J., Patel D., Zhao Q. et al. 2021. A novel Ca2+ indicator for long-term tracking of intracellular calcium flux. Biotechniques. 70(5):271-277. doi: 10.2144/btn-2020-0161.
- Mount A.S., Wheeler A.P., Paradkar R.P. et al. 2004. Hemocyte-mediated shell mineralization in the Eastern Oyster. Science 304:297. doi: 10.1126/science.1090506
- Nudelman F., Gotliv B.A., Addadi L. et al. 2006. Mollusk shell formation: mapping the distribution of organic matrix components underlying a single aragonitic tablet in nacre. Journal of Structural Biology 153:176–187. doi: 10.1016/j.jsb.2005.09.009
- Ogino T., Suzuki T., Sawada K. 1987. The formation and transformation mechanism of calcium carbonate in water. Geochimica et Cosmochimica Acta 51(10):2757–2767. doi: 10.1016/0016-7037(87)90155-4
- Ramesh K., Hu M.Y., Thomsen J. et al. 2017. Mussel larvae modify calcifying fluid carbonate chemistry to promote calcification. Nature Communications 8:1709. doi: 10.1038/s41467-017-01806-8
- Rao A., Fernández M.S., Cölfen H. et al. 2015. Distinct effects of avian egg derived anionic proteoglycans on the early stages of calcium carbonate mineralization. Crystal Growth & Design 15:2052−2056. doi: 10.1021/acs.cgd.5b00342
- Schoor S., Lung S.C., Sigurdson D. et al. 2015. Fluorescent Staining of Living Plant Cells. In: Yeung E., Stasolla C., Sumner M., Huang B. (Eds) Plant Microtechniques and Protocols. Springer, Cham. doi: 10.1007/978-3-319-19944-3_9
- Serguienko A., Wan M.Y., Myklebost O. 2018. Real-time vital mineralization detection and quantification during in vitro osteoblast differentiation. Biological Procedures Online 20:14. doi: 10.1186/s12575-018-0079-4
- Spires J.E., Dungan C.F., North E.W. 2021. Marking the shells of pediveliger eastern oysters CrassostreaVvirginica, with a calcein fluorochrome dye. Journal of Shellfish Research 40(3):479–487. doi: 10.2983/035.040.0304
- Tada M., Takeuchi A., Hashizume M. et al. 2014. A highly sensitive fluorescent indicator dye for calcium imaging of neural activity in vitro and in vivo. European Journal of Neuroscience 39(11):1720-8. doi: 10.1111/ejn.12476
- Tambutte E., Tambutte S., Segonds N. et al. 2012. Calcein labelling and electrophysiology: insights on coral tissue permeability and calcification. Proceedings of the Royal Society 279:19–27. doi: 10.1098/rspb.2011.0733
- Tang Y.Z., Dobbs F.C. 2007. Green autofluorescence in dinoflagellates, diatoms, and other microalgae and its implications for vital staining and morphological studies. Applied and Environmental Microbiology 73(7):2306-2313. doi: 10.1128/AEM.01741-06
- Vidavsky N., Admir M., Schertel A. et al. 2015. Mineral-bearing vesicle transport in sea urchin embryos. Journal of Structural Biology 192:358–365. doi: 10.1016/j.jsb.2015.09.017
- Wannakajeepiboon M., Sathorn C., Kornsuthisopon C. et al. 2023. Evaluation of the chemical, physical, and biological properties of a newly developed bioceramic cement derived from cockle shells: an in vitro study. BMC Oral Health 23:354. doi: 10.1186/s12903-023-03073-0
Supplementary files







