Depressed mood and career anchors in Russian medical students
- 作者: Knyazev E.B.1, Solovyova V.A.1,2, Sergeev A.S.1, Barsukova M.I.1, Ramazanova A.Y.1, Inozemtseva N.P.1, Dolgova L.V.3
-
隶属关系:
- V. I. Razumovsky Saratov SMU MOH Russia
- Saratov State University
- N. I. Pirogov Russian National Research Medical University of the Ministry of Health of the Russian Federation
- 期: 卷 27, 编号 2 (2023)
- 页面: 309-324
- 栏目: Professional education
- ##submission.dateSubmitted##: 26.05.2025
- ##submission.dateAccepted##: 26.05.2025
- ##submission.datePublished##: 30.06.2023
- URL: https://bakhtiniada.ru/1991-9468/article/view/293681
- DOI: https://doi.org/10.15507/1991-9468.111.027.202302.309-324
- ID: 293681
如何引用文章
全文:
详细
Introduction. People in helping professions are more prone to emotional burnout and depression. Even at the university level, future physicians experience an increase in depressed mood. Despite the fact that this problem has been studied quite extensively, the role of socio-cognitive factors has not yet been studied enough. The purpose of this research is to fill this gap and explore the relationship between career anchors and the level of depressed mood among Russian medical students.
Materials and Methods. The survey was conducted in 2020 and 2021. The sample of the survey included 864 students of the SSMU named after V. I. Razumovsky. Methods used in the survey: the Zung Self-Rating Depression Scale (SDS), adapted by T. I. Balashova and the diagnosis of career anchors, using Schein’s Career Orientations Inventory (COI) in the adaptation of V. A. Chiker. Data analysis methods: Shapiro‒Wilk and Fligner‒Killeen tests, Wilcoxon‒Mann‒Whitney and Nemenyi tests, and biweightmidcorrelation analysis. The search for predictors of depressed mood was carried out using the method of generalized additive models.
Results. Career anchors are predictors of depressed mood. Service orientation and professional competence reduce the severity of depressed mood, while the relationship is non-linear. The desire of students to integrate different areas of their lives and organize the activities of other people is negatively associated with depressed mood, but the relationship is linear. The severity of depressed mood is exacerbated by career anchoring on autonomy.
Discussion and Conclusion. The results of the study contribute to the understanding of the complex relationship between depressiveness and socio-cognitive factors. The results of this study can be instrumental in the development of a set of measures reducing the risk of depression in medical professionals by studying at a university.
全文:
Введение
Депрессивное расстройство является одной из самых распространенных форм психопатологий у людей XXI в. [1–3]. При этом распространенность депрессии зависит от страны и региона их проживания. Исследования показывают, что в России процент распространенности признаков депрессии у людей варьируется в пределах 33–34 % [4; 5]. Это свидетельствует о том, что проблема депрессии для российского общества актуальна. Вместе с тем по результатам кросс-культурных исследований было доказано, что существует инвариантная, устойчивая связь между уровнем депрессии и личностными, социально-психологическими и демографическими характеристиками населения [6]. Можно полагать, что экстраполяция общемировых результатов исследований депрессии на российскую выборку будет оправданной.
Ученые разделяют депрессивное настроение и депрессивное расстройство. Депрессивное настроение время от времени наблюдается у всех людей, тогда как депрессивное расстройство является патологией, включающей в себя депрессивное настроение как один из симптомов [7; 8].
Вышесказанное позволяет сформулировать проблему исследования: каким образом связаны якоря карьеры и депрессивное настроение у студентов-медиков? Соответственно, цель заключается в том, чтобы изучить связь ориентаций профессиональной карьеры с депрессивным настроением у студентов медицинского университета. В качестве рабочей гипотезы было принято утверждение, что у российских студентов-медиков якоря карьеры на служение и профессиональную компетентность отрицательно связаны с депрессивным настроением и являются его предикторами.
Обзор литературы
Депрессивное настроение характеризуется как чувство грусти, несчастья, которое сохраняется не менее двух недель и может сопровождаться бессонницей, изменением аппетита, проблемами с концентрацией внимания [3; 8]. Среди факторов, которые могут приводить к депрессивному настроению, а затем к депрессии, ученые все чаще выделяют когнитивные и социально-когнитивные характеристики личности [1; 2; 9].
Полагаем, что нужно обратить внимание на социально-когнитивные факторы, потенциально связанные с возникновением депрессивного настроения, в особенности у студентов медицинских вузов. Это продиктовано тем, что, во-первых, представители помогающих профессий являются одной из наиболее подверженных депрессивному настроению социальных групп [7; 10]. Во-вторых, уровень депрессивности у студентов-медиков выше, чем в среднем по стране [7; 10; 11], так как их обучение сопряжено с рядом различных стрессоров [12–15]. Вследствие этого важно изучать и устранять причины, которые могут приводить к «болезням стресса», а также выявлять наиболее адаптивные стратегии, способствующие сохранению психологического здоровья среди представителей помогающих профессий.
К настоящему времени проблема депрессивности у студентов-медиков изучена широко. На депрессивное настроение влияют социально-демографические факторы: пол, возраст, курс обучения, место проживания, уровень дохода [1; 12; 13]. К ключевым факторам исследователи относят мотивацию и личностные характеристики обучающихся [16–18]. Так, если студенты изначально, выстраивая карьеру, проявляли интерес к медицине и имели высокие показатели по шкале депрессии, то со временем у них наблюдалась тенденция к улучшению настроения [11]. Имеется ряд исследований [2; 9], демонстрирующих, что негативные мысли о карьере могут быть связаны с депрессивными состояниями [19–21]. В связи с этим уместно вспомнить, что известные всему миру русские врачи указывали на связь настроения врача с его стремлением к служению людям и медицине, развитию своих профессиональных навыков1. Сейчас, по мнению ученых, необходимо продолжать изучать связь и влияние различных когнитивных и социально-когнитивных факторов на развитие депрессии [1; 21; 2]. С нашей точки зрения, одним из них могут быть якоря карьеры [22; 23]. В статье авторы впервые предпринимают попытку взглянуть на проблему депрессивности у студентов-медиков в контексте ориентаций профессиональной карьеры.
Прежде всего необходимо уточнить понятие «ориентации профессиональной карьеры». Например, Э. Шейн под определением «якорь карьеры» понимает карьерную Я-концепцию career-self-concept, включающую в себя осознанные таланты и способности, основные ценности, мотивы и потребности личности, связанные с профессией [22; 24]. Исследование якорей карьеры у студентов-медиков показывает, что у них выражены якоря на служение и преданность делу [23]. В работе Л. В. Крячковой отмечается, что при наличии якоря на интеграцию стилей жизни студенты оценивают ее качество выше и больше ориентированы на горизонтальную карьеру [25]. При этом зарубежные и отечественные исследователи не изучали специально связь якорей карьеры с депрессивностью у студентов-медиков.
Материалы и методы
В исследовании приняли участие студенты Саратовского ГМУ им. В. И. Разумовского (СГМУ), проходившие обучение в рамках курса «Профессиональная коммуникация» в период с сентября 2020 по ноябрь 2021 гг. Перед проведением основных статистических анализов выборка была очищена от недостоверных результатов тестирования. Критерии исключения из выборки: одинаковые ответы на вопросы любого диагностического инструмента.
Студенты заполняли опросные листы методик на платформе Google Forms в течение 25 мин. от занятия. Электронная анкета включала в себя опросник депрессии В. Зунга Self-Rating Depression Scale в адаптации Т. Балашовой2, опросник якорей карьеры Э. Шейна Career Orientation Inventory в адаптации В. А. Чикер3. Методики предъявлялись студентам в период между экзаменационными сессиями с отступом в три недели от ее начала и конца. Временной интервал позволил нивелировать влияние стрессовых ситуаций сессий на депрессивность студентов-медиков. Выборка исследования составила 864 респондента, из них 694 девушки (80,3 %) и 170 юношей (19,7 %), средний возраст – 20,4 ± 2,8 года. Все студенты СГМУ, принявшие участие в исследовании, были проинформированы о его цели и выразили готовность к сотрудничеству и участию в нем.
Данные обработаны при помощи языка программирования R version 4.2.1 в рабочей среде RStudio 2022.07.1 Build 554. Руководствуясь сведениями о большом проценте ошибок отвержения нулевой гипотезы при α = 0,05 [26], мы считали значимыми результаты всех статистических анализов при α = 0,01.
Тест Шапиро – Уилка указал на отличие большинства шкал от нормального распределения, а тест Флигнера – Киллина – на гомогенность групповых дисперсий. При помощи функции adonis2 (пакет vegan) был проведен перестановочный дисперсионный анализ, который не требует нормального распределения значений в выборке4. Матрица дистанций рассчитывалась с использованием метода Гауэра. Парное сравнение групп проводилось при помощи критериев Вилкоксона – Манна – Уитни и Неменьи, p-значение корректировалось по методу Хоммеля. Также оценивалась мощность критериев (пакеты pwr и effsize). Двухвесовой корреляционный анализ (бикор) был выполнен при подключенном пакете correlation [27]. Применение функций обобщенных аддитивных моделей (ОАМ) проведено при помощи пакета mgcv5. Для оценки типа связи между якорями карьеры и депрессивным настроением у студентов-медиков подгонка ОАМ-модели выполнена методом ограниченного максимального правдоподобия (REML). Выбор распределения зависимой переменной сделан в пользу гамма-распределения.
Результаты исследования
Рассмотрим, какие факторы и ковариаты влияют на депрессивное настроение (табл. 1). Это важно, так как его связь с якорями карьеры может быть второстепенной, производной от влияния социально-демографических факторов, о котором говорят исследователи [1].
Таблица 1. Результаты перестановочного дисперсионного анализа
Table 1. Results of per mutational analysis of variance
Переменные / Variables | df | SS | F | p-value |
Пол / Gender | 1 | 1,169 | 47,227 | <,0001 |
Возраст / Age | 1 | 0,009 | 0,364 | 0,5515 |
Курс обучения / Year of study | 5 | 0,840 | 6,789 | <,0001 |
Смена места жительства / Change of residence | 1 | 0,027 | 1,095 | 0,3167 |
Наличие работы / Job availability | 1 | 0,002 | 0,097 | 0,7453 |
Профессиональная компетентность / Professional competence | 1 | 1,093 | 44,171 | <,0001 |
Менеджмент / Management | 1 | 0,049 | 1,997 | 0,1728 |
Автономия / Autonomy | 1 | 0,509 | 20,579 | <,0001 |
Стабильность места работы / Stability in the workplace | 1 | 0,004 | 0,172 | 0,6803 |
Стабильность места жительства / Stability of residence | 1 | 0,034 | 1,353 | 0,2587 |
Служение / Service | 1 | 0,703 | 28,390 | <,0001 |
Вызов / Challenge | 1 | 0,002 | 0,068 | 0,7802 |
Интеграция стилей жизни / Integration of life styles | 1 | 0,584 | 23,583 | <,0001 |
Предпринимательство / Enterpreneurship | 1 | 0,002 | 0,083 | 0,7832 |
Остатки / Residuals | 845 | 20,912 | − | − |
Общее / Total | 863 | 25,939 | − | − |
Примечания: df – степени свободы, SS – суммы квадратов, F – F-статистика, p-value – уровень значимости.
Notes: df – degrees of freedom, SS – sums of squares, F – F-statistics, p-value – significance level.
Источник: здесь и далее в статье все таблицы составлены авторами.
Source: Hereinafter in this article all tables were compiled by the authors.
Мы видим, что на зависимую переменную влияют такие факторы, как пол и курс обучения, а также ковариаты – якоря карьеры – на профессиональную компетентность, автономию, служение и интеграцию жизненных стилей. При этом анализ взаимодействия факторов и ковариат показал отсутствие их совместного влияния на зависимую переменную. Значит, связь депрессивного настроения и якорей карьеры можно признать независимым явлением. При этом, обратившись к рисунку 1, можно заметить, что, во-первых, депрессивное настроение у девушек всегда более выражено, чем у юношей (U = 77 024; p-value = <,0001; 1-β = 1). Во-вторых, у студентов первого курса депрессивность ниже, чем у обучающихся второго и пятого курсов (q = 6,172 и 6,409; p-valueadj. = 0,0026 и 0,0013; 1-β = 0,959 и 0,989).
Fig. 1. Median values of depressed mood in medical students of different genders and years of study
Source: Hereinafter in this article all figures were compiled by the authors.
В таблице 2 процентное соотношение приводится по горизонтали, как и уровни депрессивности, в соответствии с использованной методикой.
Таблица 2. Количество и процент студентов-медиков с разным уровнем депрессивного настроения (с учетом пола и курса обучения)
Table 2. Number and percentage of medical students with different levels of depressed mood (gender and year of study)
Переменные / Variables | Норма / Normal mood | Легкая / Mild | Умеренная / Moderate | Тяжелая / Severe | Сумма / Amount | ||||||
Курс / Year of study | Пол / Gender | n | % | n | % | n | % | n | % | n | % |
1 | Жен. / Fem. | 154 | 88,0 | 18 | 10,3 | 2 | 1,1 | 1 | 0,6 | 175 | 100 |
Муж. / Mal. | 55 | 93,2 | 4 | 6,8 | 0 | 0 | 0 | 0 | 59 | 100 | |
2 | Жен. / Fem. | 98 | 72,6 | 30 | 22,2 | 7 | 5,2 | 0 | 0 | 135 | 100 |
Муж. / Mal. | 22 | 100,0 | 0 | 0 | 0 | 0 | 0 | 0 | 22 | 100 | |
3 | Жен. / Fem. | 110 | 78,6 | 28 | 20,0 | 1 | 0,7 | 1 | 0,7 | 140 | 100 |
Муж. / Mal. | 27 | 93,2 | 1 | 3,4 | 1 | 3,4 | 0 | 0 | 29 | 100 | |
4 | Жен. / Fem. | 65 | 80,2 | 11 | 13,6 | 5 | 6,2 | 0 | 0 | 81 | 100 |
Муж. / Mal. | 22 | 95,7 | 1 | 4,3 | 0 | 0 | 0 | 0 | 23 | 100 | |
5 | Жен. / Fem. | 52 | 70,3 | 17 | 23,0 | 5 | 6,7 | 0 | 0 | 74 | 100 |
Муж. / Mal. | 13 | 86,6 | 1 | 6,7 | 1 | 6,7 | 0 | 0 | 15 | 100 | |
Ординатура / Residency | Жен. / Fem. | 74 | 83,2 | 13 | 14,6 | 2 | 2,2 | 0 | 0 | 89 | 100 |
Муж. / Mal. | 21 | 95,5 | 1 | 4,5 | 0 | 0 | 0 | 0 | 22 | 100 | |
Всего / In total | 713 | 82,5 | 125 | 14,5 | 24 | 2,8 | 2 | 0,2 | 864 | 100 | |
Во-первых, распространенность депрессивного настроения среди российских студентов-медиков составляет 17,5 %. Это ниже, чем средний показатель по России. Во-вторых, с увеличением выраженности депрессивного настроения уменьшается процент респондентов, имеющих его признаки. В-третьих, если проанализировать процентное соотношение девушек и юношей, не имеющих депрессивного настроения, и сравнить с курсом обучения, то количество юношей всегда больше, чем девушек.
Якоря карьеры и депрессивное настроение связаны между собой (табл. 3). При этом все пять отрицательных корреляций относятся к категории слабых, но имеют высокую статистическую мощность. Наибольшие показатели коэффициентов корреляции наблюдаются у якорей карьеры на служение и профессиональную компетентность. В целом, чем больше студент-медик ориентируется на служение обществу и развитие профессионально-значимых навыков, может организовать деятельность других людей, стремится сочетать разные стили жизни, а трудности воспринимает как вызов своему профессионализму, тем менее он подвержен депрессивному настроению.
Таблица 3. Результаты корреляционного анализа
Table 3. Correlation analysis results
Якоря карьеры / Career anchors | r | 99 % CI | p-valueadj. | 1-β |
Профессиональная компетентность / Professional competence | −0,22 | −0,30, −0,14 | <,0001 | 1 |
Менеджмент / Management | −0,13 | −0,21, −0,04 | 0,0010 | 0,890 |
Автономия / Autonomy | 0,06 | −0,03, 0,14 | 0,3902 | 0,176 |
Стабильность места работы/ Stability in the workplace | −0,09 | −0,17, 0,00 | 0,0508 | 0,498 |
Стабильность места жительства / Stability of residence | −0,01 | −0,10, 0,07 | 0,7027 | 0,016 |
Служение / Service | −0,27 | −0,35, −0,19 | <,0001 | 1 |
Вызов / Challenge | −0,17 | −0,25, −0,08 | <,0001 | 0,991 |
Интеграция стилей жизни/ Integration of life styles | −0,18 | −0,27, −0,10 | <,0001 | 0,998 |
Предпринимательство / Enterpreneurship | −0,08 | −0,17, 0,00 | 0,0732 | 0,447 |
Примечания: r – коэффициент корреляции, 99 % CI – 99-процентный доверительный интервал, p-valueadj. – скорректированный уровень значимости, 1-β – статистическая мощность.
Notes: r – correlation coefficient, 99 % CI – 99 % confidence interval, p-valueadj. – adjusted p-value, 1-β – statistical power.
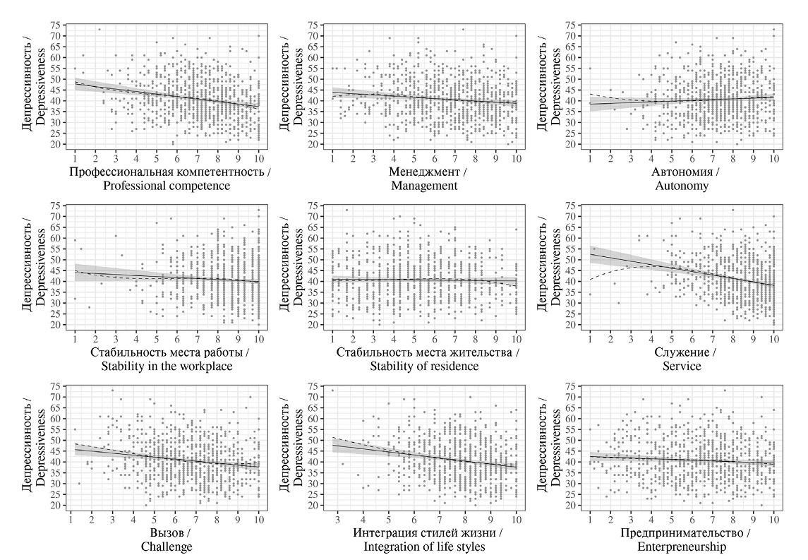
Отметим, что прямые линии регрессии на диаграммах разброса (рис. 2) характерны для обычной линейной связи. Пунктирные линии, которые видны на четырех графиках из девяти, указывают на то, что связи некоторых якорей карьеры с депрессивностью могут носить нелинейный характер. Это значит, что нужно обратиться к такому методу как обобщенные аддитивные модели.
Fig. 2. Scatterplots and regression lines for depressive mood and career anchors
В таблице 4 представлены результаты применения ОАМ к оценке связи депрессивного настроения и якорей карьеры у студентов-медиков.
Таблица 4. Результаты построения ОАМ
Table 4. Results of Generalized Additive Models
Якоря карьеры / Career anchors | edf | Ref.df | F | p-value | Concurvity (worst) | k-index | p-value |
Профессиональная компетентность / Professional competence | 2,24 | 9 | 1,329 | 0,0008 | 0,4475 | 1,00 | 0,52 |
Менеджмент / Management | 0,88 | 9 | 0,787 | 0,0033 | 0,6075 | 0,95 | 0,10 |
Автономия / Autonomy | 2,10 | 9 | 4,443 | <,0001 | 0,6463 | 0,95 | 0,13 |
Стабильность места работы / Stability in the workplace | 0,70 | 9 | 0,254 | 0,0678 | 0,3851 | 0,98 | 0,28 |
Стабильность места жительства / Stability of residence | 0,02 | 9 | 0,001 | 0,3730 | 0,4030 | 0,98 | 0,30 |
Служение / Service | 2,10 | 9 | 2,114 | <,0001 | 0,5597 | 1,01 | 0,77 |
Вызов / Challenge | 1,80 | 9 | 0,425 | 0,0770 | 0,7299 | 0,97 | 0,17 |
Интеграция стилей жизни / Integration of life styles | 0,96 | 9 | 2,695 | <,0001 | 0,4694 | 0,98 | 0,27 |
Предпринимательство / Enterpreneurship | 0 | 9 | 0 | 0,7957 | 0,6356 | 1,00 | 0,54 |
Intercept = 0,025, SE = 0,0002; t = 139,1; p-value: <,0001; 99% CI = 0,02–0,03 | |||||||
REML = 3082,5; Scale est. = 0,045; Adj. R2 = 0,142; Deviance = 6,5, p-value: <,0001; AIC = 6140,7 | |||||||
Примечания: Intercept – свободный член уравнения (β0), SE – стандартная ошибка, t – t-значение, REML – метод оценки параметров сглаживания, Scale est. – значение ϕ, оцененное во время подгонки модели, Adj. R2 – скорректированное значение объясненной дисперсии, Deviance – отклонение в остатках при сравнении модели с предикторами и нулевой моделью.
Notes: Intercept – intercept of the equation (β0), SE – standard error, t – t-value, REML – approach of estimating the smoothing parameters, Scale est. – the ϕ parameter estimated during model fitting, Adj. R2 – adjusted coefficient of the explained variance, Deviance – the deviation in the residuals when comparing the model with predictors and the intercept-only model.
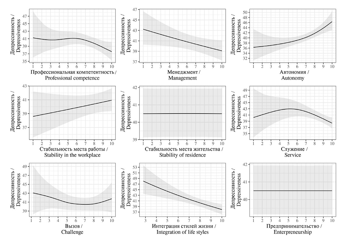
Модель с предикторами значимо отличается от нулевой модели (p < 0,001). Предикторы не предопределены друг другом, так как наихудшее значение «concurvity» не превышает 0,8. Критерий Акаике (AIC) ниже у модели ОАМ = 6140,7 (у линейной модели = 6180,9). Сравнение линейной и аддитивной моделей показало значимое различие в долях объясненной дисперсии в пользу последней (p < 0,001). Эффективные степени свободы (edf) отличаются от единицы у якорей на профессиональную компетентность, автономию, вызов и служение. При этом отсутствуют значения выше двух, что позволяет представить связь якорей карьеры с депрессивностью как квадратичную кривую. При этом число базисных функций для каждого предиктора равно девяти (ref.df). Показатели «k-index» и их значимость указывают на то, что невязки модели распределены случайным образом и девяти базисных функций достаточно. Таким образом, мы можем интерпретировать полученные результаты ОАМ.
Модель объясняет 14,2 % дисперсии зависимой переменной. Для прогнозирования депрессивного настроения у студентов-медиков важны пять якорей карьеры: на профессиональную компетентность, менеджмент, автономию, служение и интеграцию.
Якорь на профессиональную компетентность отрицательно связан с депрессивным настроением у студентов-медиков (рис. 3). Связь имеет признаки нелинейности, проявляющиеся в том, что только высокие значения ориентации карьеры на развитие профессионально важных навыков соответствуют более низким значениям депрессивного настроения. При этом низкие и средние значения профессиональной компетентности, по-видимому, никак не связаны с депрессивностью. Для якорей карьеры на менеджмент и интеграцию жизненных стилей характерны отрицательные линейные связи с депрессивностью (рис. 3). Это значит, что с увеличением выраженности ориентаций карьеры на управление другими людьми и гармоничное сочетание разных областей жизни у студентов-медиков снижается депрессивное настроение. При этом следует помнить, что результаты перестановочного дисперсионного анализа указывают на то, что связь якоря на менеджмент не значима при сопутствующем влиянии факторов пола и курса обучения (табл. 1). Якорь карьеры на автономию положительно связан с депрессивным настроением. Вместе с тем наблюдается усиление связи при высоких значениях этой ориентации, что указывает на некоторую нелинейность. Для якоря карьеры на служение также характерна нелинейная связь с депрессивностью, где ее максимальные значения наблюдаются при промежуточных значениях направленности на служение, а минимальные – при низких и высоких показателях, т. е. те студенты-медики, которые не стремятся к служению и, наоборот, те, которые полностью готовы посвятить себя служению людям, испытывают меньшую выраженность депрессивного настроения.
Мы не обнаружили связи депрессивного настроения с якорями карьеры на стабильность места работы и места жительства, а также на предпринимательство. В отношении связи якоря карьеры на вызов необходимо подчеркнуть, что мы не имеем данных, которые однозначно бы свидетельствовали о ее наличии или отсутствии, для этого требуются дополнительные исследования.
Резюмируя результаты ОАМ, отметим:
- Гипотеза исследования имеет свидетельства в свою пользу, но нуждается в уточнении, так как связи якорей карьеры с депрессивным настроением оказались более масштабны, чем мы предполагали.
- Связь якорей карьеры и депрессивного настроения не всегда носит линейный характер.
- Якоря карьеры являются предикторами депрессивного настроения у студентов-медиков.
Обсуждение и заключение
Настоящее исследование имеет ряд ограничений. Во-первых, так как оно относится к корреляционному типу, мы можем лишь предполагать о причинах обнаруженных взаимосвязей. Во-вторых, выборка исследования формировалась только на основе одного учебного заведения. В-третьих, не было получено данных от студентов, не посещавших занятия или часто пропускавших их. В-четвертых, при использовании тестов-опросников всегда присутствует риск субъективных искажений при оценке себя респондентами и риск социально-желательных ответов. Указанные ограничения потенциально могли оказать влияние на результаты.
Итак, признаки депрессивности разного уровня выраженности характерны для 17,5 % студентов СГМУ. Это значение ниже, чем в среднем по миру (27 %), но сопоставимое с показателями в европейских вузах (20,1 %; CI 95 %: 15,8–25,1 %) [7]. Такой результат вполне согласуется с исследованиями [7; 12], а в ЮУГМУ был зафиксирован еще более низкий показатель ‒ 12,9 % [13]. Предполагалось, что распространенность депрессивного настроения среди студентов-медиков выше, чем в среднем по стране. Вероятно, так проявляются культурные особенности в выраженности депрессивности [6]. В настоящее время распространенность депрессивных симптомов у работающих медиков выше ‒ 20,3 % [15]. Поэтому вопрос о необходимости внедрения корректирующих и риск-ориентированных мероприятий, направленных на предотвращение подобных состояний у молодых людей [3; 13], остается актуальным для медицинского образования во всем мире и требует решения [11; 12; 17].
Из социально-демографических факторов с депрессивным настроением связаны пол и курс обучения. У девушек депрессивность более выражена, чем у юношей на всех курсах специалитета, что согласуется с многочисленными результатами исследований [4; 5; 8]. Возможно, девушки более требовательны к себе, а уровень их эмоционального интеллекта (понимания и контроля собственных эмоций) ниже [28]. У студентов первого курса депрессивное настроение ниже, что отличается от результатов исследования Л. В. Кочоровой [13].
Проанализируем связь депрессивного настроения и ориентаций карьеры у студентов-медиков. Рассмотрим связь якоря карьеры на служение. Данные свидетельствуют о том, что при наличии очень высоких либо очень низких значений по данной шкале уровень депрессивности ниже. У студента депрессивное настроение менее выражено только в случае, когда он четко определил для себя, хочет ли он быть полезным обществу. Низкая выраженность депрессивности отмечается при высокой ориентации студентов-медиков на служение. По-видимому, преобладание этой направленности карьеры обеспечивает психологическую устойчивость личности за счет социальной поддержки [6]. Так как якорь на служение отражает имеющиеся в социуме и у самих медиков просоциальные представления о своей профессии, то повышение депрессивности при средних значениях может свидетельствовать об отложенном выборе, когда цели и мотивы обучения в медицинском вузе не до конца отрефлексированы студентами, что и сказывается на их настроении [2]. Низкая депрессивность у студентов, не нацеленных на служение, может быть связана с высокими уровнями свойств темной триады (количество таких студентов невелико, как видно из рис. 2) [29; 30].
Сильное стремление студентов-медиков к развитию профессиональной компетентности может указывать на то, что их заинтересованность в получении профессиональных навыков, погруженность в образовательный процесс не позволяет им концентрироваться на негативных мыслях и чувствах, приводящих к депрессивным эпизодам [2; 9].
Обращает на себя внимание тот факт, что якорь карьеры на автономию положительно связан с депрессивным настроением у студентов-медиков. Стремление к автономии, независимости от организационных правил формирует у обучающихся когнитивную уязвимость, подталкивая их к депрессивному настроению [2]. Это несколько противоречит исследованиям, в которых утверждается, что автономия положительно связана с психологическим благополучием студентов-медиков [17; 31]. Видимо, автономия не всегда и не во всех областях оказывает благотворное влияние на настроение. Возможно, одной из причин может являться чрезмерная склонность молодых людей мыслить противоположными категориями, например: «свобода – это все, все или ничего». Здесь важно не повредить естественному желанию студентов обрести независимость, стать свободными и не допустить понимание ими свободы как своеволия, когда они станут отделять себя от системы здравоохранения [32].
Обнаруженная отрицательная связь якоря карьеры на интеграцию стилей жизни с депрессивностью у студентов-медиков согласуется с исследованием Л. В. Крячковой [25].
Мы предполагаем, что причина этого в ограниченном кругозоре личности [2]. Так, если у человека всего один значимый вид деятельности (например, только обучение в медицинском вузе), то любая неудача будет восприниматься как поражение. Это может привести к депрессивным эпизодам. Напротив, чем больше у человека значимых видов деятельности, тем меньше на него будет влиять неудача в одной из них. Риск депрессии снижается, если хотя бы в одной из значимых областей человек получает опыт успеха [2]. Обнаруженная нами закономерность показывает, что для улучшения эмоционального состояния студентов в университете необходимо, чтобы обучающиеся могли испытать себя в разных сферах жизни.
Результаты исследования можно учитывать при формировании психолого-педагогической поддержки студентов в процессе обучения в медицинском вузе. Мы солидарны с другими исследователями и считаем, что работу нужно вести с привлечением всех участников образовательного процесса [3; 7; 32].
Во-первых, в университетах можно развивать механизм тьюторства, посредством которого старшие студенты могли бы делиться своим опытом с младшими, избавляя их от нереалистичных ожиданий и тем самым снижая вероятность появления депрессивных настроений [21]. Также следует развивать систему наставничества и сотрудничать с центрами занятости – информировать о возможностях и способствовать получению студентами рабочих вакансий.
Во-вторых, преподаватели должны учитывать сложность процесса обучения, его рискогенность для студентов-медиков и обеспечивать со своей стороны поддержку [31]. Целесообразно в образовательный процесс вводить обучение «мягким» навыкам6 , внедрять больше работы в группах, а также проектную деятельность. Вовлеченный в социальное взаимодействие студент сможет больше общаться, что должно снижать вероятность его неконструктивных размышлений и, как следствие, депрессивность [21]. Кроме того, необходимо предоставлять реалистичную информацию о работе врача. Это снизит вероятность возникновения у студентов когнитивных искажений относительно своей профессии [21].
В-третьих, в образовательный процесс следует вводить тренинги стрессоустойчивости, тайм-менеджмента, развития эмоционального интеллекта. Навыки, формируемые в ходе подобных занятий, могут быть полезны как в период обучения, так и после его окончания [2; 32].
В заключении представим выводы.
- Распространенность депрессивного настроения среди российских студентов-медиков не выше, чем в целом по России, и составляет 17,5 %.
- Существует связь между депрессивным настроением и якорями карьеры на профессиональную компетентность, менеджмент, автономию, служение и интеграцию разных стилей жизни. Ориентация на автономию положительно связана с депрессивным настроением, а остальные ориентации карьеры связаны отрицательно. Вместе с тем связь якорей карьеры на профессиональную компетентность, автономию и служение имеет признаки, свидетельствующие о ее нелинейном характере.
- Факторы пола и курса обучения связаны с депрессивным настроением у студентов-медиков. У юношей, по сравнению с девушками, оно выражено в меньшей степени, как и у студентов первого курса.
В целом нельзя не заметить, что мнение именитых русских врачей, утверждавших, что счастье медика заключено в служении людям и медицине, совершенствовании своих навыков, имеет под собой вполне эмпирические основания. Хотя эта связь, вероятно, носит более сложный, нелинейный характер.
Полученные результаты исследования позволили выявить взаимосвязи между уровнем депрессивности и якорями карьеры, знание о которых может использоваться заинтересованными лицами для разработки мероприятий, направленных на снижение уровня депрессивности у студентов-медиков.
1 Пирогов Н. И. Сочинения Н. И. Пирогова : Изд. в память столетия со дня рождения Николая Ивановича Пирогова 1810 – 13 ноября. 1910. Т. 1–2. Киев : Пирогов. т-во, 1910. 2 т.; Скрябин К. И. Моя жизнь в науке. Алма-Ата : Кайнар, 1983. 378 с.; Глыбочко П. В., Николенко В. И., Кочеткова Т. В. Судьбоносный выбор российской университетской науки (150-летию со дня рождения В. И. Разумовского посвящается) // Саратовский научно-медицинский журнал. 2007. Т. 3, № 1. С. 109–111. URL: https://ssmj.ru/2007/1/109 (дата обращения: 15.08.2022).
2 Водопьянова Н. Е. Психодиагностика стресса. М. : Питер Пресс, 2009. 329 с.
3 Чикер В. А. Психологическая диагностика организации и персонала. СПб. : Речь, 2004. 172 с.
4 Anderson M. J. A New Method for Non-Parametric Multivariate Analysis of Variance // Austral Ecology. 2001. Vol. 26. P. 32–46. URL: https://ecoevol.ufg.br/adrimelo/div/Anderson-2001-AustEcol_non-parametric_manova.pdf (дата обращения: 24.12.2022).
5 Wood S. N. Generalized Additive Models: An Introduction with R. NY : Chapman and Hall/CRC. 2nd ed. 2017. 496 p. https://doi.org/10.1201/9781315370279
6 Сильверман Д., Кёрц С., Дрейпер Д. Навыки общения с пациентами. Пер. с англ. М. : Гранат, 2018. 304 с
作者简介
Evgeniy Knyazev
V. I. Razumovsky Saratov SMU MOH Russia
Email: eknyaze@gmail.com
ORCID iD: 0000-0002-6646-6247
Cand.Sci. (Psychol.), Associate Professor of the Chair of Pedagogy, Educational Technologies and Professional Communication
俄罗斯联邦, 112 Bolshaya Kazachya St., Saratov 410012Valentina Solovyova
V. I. Razumovsky Saratov SMU MOH Russia; Saratov State University
Email: v.a.solovyova@gmail.com
ORCID iD: 0000-0002-5016-4009
Cand.Sci. (Ped.), Senior Teacher of the Chair of Pedagogy, Educational Technologies and Professional Communication, Associate Professor of the Chair of Materials Science, Technology and Quality Management
俄罗斯联邦, 112 Bolshaya Kazachya St., Saratov 410012; 83 Astrakhanskaya St., Saratov 410012Andrey Sergeev
V. I. Razumovsky Saratov SMU MOH Russia
编辑信件的主要联系方式.
Email: lorandesai@yandex.ru
ORCID iD: 0000-0002-4076-086X
Cand.Sci. (Philol.), Associate Professor of the Chair of Pedagogy, Educational Technologies and Professional Communication
俄罗斯联邦, 112 Bolshaya Kazachya St., Saratov 410012Marina Barsukova
V. I. Razumovsky Saratov SMU MOH Russia
Email: bars.mi@mail.ru
ORCID iD: 0000-0001-5277-8090
Cand.Sci. (Philol.), Associate Professor, Associate Professor of the Chair of Pedagogy, Educational Technologies and Professional Communication
俄罗斯联邦, 112 Bolshaya Kazachya St., Saratov 410012Anita Ramazanova
V. I. Razumovsky Saratov SMU MOH Russia
Email: anitaramazanova@yandex.ru
ORCID iD: 0000-0002-1159-572X
Senior Teacher of the Chair of Pedagogy, Educational Technologies and Professional Communication
俄罗斯联邦, 112 Bolshaya Kazachya St., Saratov 410012Natalia Inozemtseva
Email: inozem.sa@yandex.ru
ORCID iD: 0000-0002-1562-2609
Private Practice, Independent Researcher
俄罗斯联邦, SaratovLudmila Dolgova
N. I. Pirogov Russian National Research Medical University of the Ministry of Health of the Russian Federation
Email: dolgova.lyuda2000@mail.ru
ORCID iD: 0009-0006-2362-7094
Resident Doctor
俄罗斯联邦, 1 Ostrovityanova St., Moscow 117997参考
- LeMoult J., Gotlib I.H. Depression: A Cognitive Perspective. Clinical Psychology Review. 2019;69:51–66. https://doi.org/10.1016/j.cpr.2018.06.008
- Villalobos D., Pacios J., Vázquez C. Cognitive Control, Cognitive Biases and Emotion Regulation in Depression: A New Proposal for an Integrative Interplay Model. Frontiers in Psychology. 2021;12:628416. https://doi.org/10.3389/fpsyg.2021.628416
- Thapar A., Eyre O., Patel V., Brent D. Depression in Young People. The Lancet. 2022;400(10352):617–631. https://doi.org/10.1016/S0140-6736(22)01012-1
- Gafarov V.V., Panov D.O., Gromova E.A., Krymov E., Gagulin I.V., Gafarova A.V. Sex Differences and Trends in Prevalence of Anxiety, Depression and Vital Exhaustion in Russia/Siberia from 1994 to 2017. International Journal of Medical Science and Clinical Invention. 2021;8(3):5288–5298. https://doi.org/10.18535/ijmsci/v8i03.06
- Shalnova S.A., Evstifeeva E.S., Deev A.D., Artamonova G.V., Gatagonova T.M., et al. The Prevalence of Anxiety and Depression in Different Regions of the Russian Federation and Its Association with Sociodemographic Factors (According to the Data of the ESSE-RF Study). Terapevticheskiy arkhiv. 2014;86(12):53–60. (In Russ., abstract in Eng.) https://doi.org/10.17116/terarkh2014861253-60
- Brailovskaia J., Schönfeld P., Zhang X.C., Bieda A., Kochetkov Y., Margraf J. A Cross-Cultural Study in Germany, Russia, and China: Are Resilient and Social Supported Students Protected Against Depression, Anxiety, and Stress? Psychological Reports. 2018;121(2):265–281. https://doi.org/10.1177/0033294117727745
- Bert F, Lo Moro G, Corradi A, Acampora A, Agodi A, Brunelli L, et al. Prevalence of Depressive Symptoms among Italian Medical Students: The Multicentre Cross-Sectional “PRIMES” Study. PLoS ONE. 2020;15(4):e0231845. https://doi.org/10.1371/journal.pone.0231845
- Hankin B.L., Abramson L.Y. Development of Gender Differences in Depression: An Elaborated Cognitive Vulnerability-Transactional Stress Theory // Psychological Bulletin. 2001;127(6):773–796. https://doi.org/10.1037/0033-2909.127.6.773.
- Berg M., Feldmann M., Kirchner L., Kube T. Oversampled and Undersolved: Depressive Rumination from an Active Inference Perspective. Neuroscience & Biobehavioral Reviews. 2022;142:104873. https://doi. org/10.1016/j.neubiorev.2022.104873
- Zinchenko Y.P., Shaigerova L.A., Almazova O.V., et al. The Spread of COVID-19 in Russia: Immediate Impact on Mental Health of University Students. Psychological Studies. 2021;66(3):291–302. https://doi.org/10.1007/s12646-021-00610-1
- Silva V., Costa P., Pereira I., et al. Depression in Medical Students: Insights from a Longitudinal Study. BMC Med. 2017;17:184. https://doi.org/10.1186/s12909-017-1006-0
- Atkinson S.R. Elevated Psychological Distress in Undergraduate and Graduate Entry Students Entering First Year Medical School. PloSone. 2020;15(8):e0237008. https://doi.org/10.1371/journal.pone.0237008
- Kochorova L.V., Skripov V.S., Slivka A.S. About Anxiety and Depression in the Youth Student Community. Eruditio Juvenium. 2020;8(2):246–253. (In Russ., abstract in Eng.) https://doi.org/10.23888/HMJ202082246-253
- Urivaev V.A., Tarasova A.A. The Subjective Wellbeing and the Structure of Defensive Reactions in Medical Academy Students Personality. Siberian Journal of Psychology. 2011;(41):58–63. Available at: http://journals.tsu.ru/psychology/&journal_page=archive&id=990&article_id=19303 (accessed 20.12.2022). (In Russ., abstract in Eng.)
- Sarapultseva M., Zolotareva A., Kritsky I., Nasretdinova N., Sarapultsev A. Psychological Distress and Post-Traumatic Symptomatology among Dental Healthcare Workers in Russia: Results of a Pilot Study. International Journal of Environmental Research and Public Health. 2021;18(2):708. https://doi.org/10.3390/ ijerph18020708
- Lyndon M.P., Strom J.M., Alyami H.M., Yu T.C., et al. The Relationship between Academic Assessment and Psychological Distress among Medical Students: A Systematic Review. Perspectives on Medical Education. 2014;3(6):405–418. https://doi.org/10.1007/S40037-014-0148-6
- Moir F., Yielder J., Sanson J., Chen Y. Depression in Medical Students: Current Insights. Advances in Medical Education and Practice. 2018;9:323–333. https://doi.org/10.2147/AMEP.S137384
- Durnova N.A., Kloktunova N.A., Sigareva L.E., RomanteevaYu.V., Sinichkina O.V., Berezutsky M.A. Evaluation of Personal Features of Students and Methods of Stimulation and Motivation of Educational Activities. Saratov Journal of Medical Scientific Research. 2020;16(1):122–126. Available at: https://ssmj.ru/2020/1/122 (accessed 20.12.2022). (In Russ., abstract in Eng.)
- Çeti̇ Nkaya A.Ş., Damar A. Psychological Resilience on Career Anchors. Sosyal Ekonomik Araştırmalar Dergisi. 2019;19(37):80–98. https://doi.org/10.30976/susead.461957
- Hayden S.C., Osborn D.S. Impact of Worry on Career Thoughts, Career Decision State, and Cognitive Information Processing Skills. Journal of Employment Counseling. 2020;57(4):163–177. https://doi.org/https://doi.org/10.1002/joec.12152
- Zareian B., Wilson J., LeMoult J. Cognitive Control and Ruminative Responses to Stress: Understanding the Different Facets of Cognitive Control. Frontiers in Psychology. 2021;12. https://doi.org/10.3389/fpsyg.2021.660062
- Abessolo M., Hirschi A., Rossier J. Development and Validation of a Multidimensional Career Values Questionnaire: A Measure Integrating Work Values, Career Orientations, and Career Anchors. Journal of Career Development. 2021;48(3):243–259. https://doi.org/10.1177/0894845319846567
- Nasabi N.A., Bastani P., Yusefi A.R., Bordbar N. Career Development in Nursing: Identifying the Career Anchors of Nurses at Shiraz University of Medical Sciences. Quarterly Journal of Management Strategies in Health System. 2021;6(3):248–259. https://doi.org/10.18502/mshsj.v6i3.8042
- Schein E.H. Career Anchors Revisited: Implications for Career Development in the 21st Century. NHRD Network Journal. 1996;1(4):27–33. https://doi.org/10.1177/0974173920070407
- Kryachkova L.V. [Factors Influencing the Career Orientation in Medical Students]. Actual Problems of Medicine. 2019;1:92–95. (In Russ.)
- Maier M., Lakens D. Justify Your Alpha: A Primer on Two Practical Approaches. Advances in Methods and Practices in Psychological Science. 2022;5(2). https://doi.org/10.1177/25152459221080396
- Langfelder P., Horvath S. Fast R Functions for Robust Correlations and Hierarchical Clustering. Journal of Statistical Software. 2012;46(11):1–17. https://doi.org/10.18637/jss.v046.i11
- Solovieva V.A. Inozemtseva N.P. [Evaluation of the Emotional Intelligence Level in Medical Students with the Aim of Determining the Need to Improve the Educational Process]. Education and Self-Development. 2023. (In print). (In Russ.)
- Bonfa-Araujo B., Lima-Costa A.R., Baptista M.N., Hauck-Filho N. Depressed or Satisfied? The Relationship between the Dark Triad Traits, Depression, and Life Satisfaction. Current Psychology. 2023;42:3520–3527. https://doi.org/10.1007/s12144-021-01726-3
- Wetzel E., Grijalva E., Robins R.W., Roberts B.W. You’re Still So Vain: Changes in Narcissism from Young Adulthood to Middle Age. Journal of Personality and Social Psychology. 2020;119(2):479–496. https://doi.org/10.1037/pspp0000266
- Neufeld A., Malin G. How Medical Students’ Perceptions of Instructor Autonomy-Support Mediate Their Motivation and Psychological Well-Being. Medical Teacher. 2020;42(6):650–656. https://doi.org/10.1080/0142159X.2020.1726308
- Keeler L.A., Skidmore B., Leenstra T., MacDonald J.R., Stewart D. Treating University Students’ Depression Using Physical Activity with Peers: Two Field-Based Quasi-Experiments Grounded in the Self-Determination Theory. Journal of College Student Psychotherapy. 2021;35(3):205–223. https://doi.org/10.1080/87568225.2019.1660293
补充文件




