Сорбция смеси ионов тяжелых металлов глинистыми породами брянской области
- Autores: Махрамов И.А.1, Афонина A.П.1, Бурыкина О.В.1
-
Afiliações:
- ФГБОУ ВО Юго-Западный государственный университет
- Edição: Volume 98, Nº 8 (2024)
- Páginas: 142-147
- Seção: PHYSICAL CHEMISTRY OF DISPERSED SYSTEMS AND SURFACE PHENOMENA
- ##submission.dateSubmitted##: 22.01.2025
- ##submission.dateAccepted##: 22.01.2025
- ##submission.datePublished##: 22.08.2024
- URL: https://bakhtiniada.ru/0044-4537/article/view/277717
- DOI: https://doi.org/10.31857/S0044453724080197
- EDN: https://elibrary.ru/PHWTXV
- ID: 277717
Citar
Texto integral
Resumo
Изучена сорбционная способность природных глинистых пород Брянской области по отношению к смеси ионов тяжелых металлов (железо, медь, цинк). Получена и классифицирована изотерма сорбции смеси ионов тяжелых металлов глинистым материалом. Выяснено, что сорбция глинистыми породами ионов железа (III), меди и цинка при их совместном присутствии в растворе колеблется от 65 до 90%.
Palavras-chave
Texto integral
Чистая пресная вода является необходимым условием существования всех живых организмов на планете. На долю пресной воды, пригодной к употреблению, приходится всего 3% от общего ее количества. Загрязнение природной воды происходит за счет антропогенной деятельности человека, Курская область не составляет исключение [1–3].
Поллютанты, попадая в организм человека, оказывают на него пагубное воздействие, приводящее к сильному отравлению и даже смерти, поэтому эти вещества называют ксенобиотиками – элементы чужды живому организму. К классу ксенобиотиков относят многие тяжелые металлы (ТМ), такие как железо, медь, свинец и другие. Данные металлы являются наиболее опасными и трудноудаляемыми загрязняющими веществами [4–6]. В процессе деятельности крупных заводов в пресную воду сбрасываются промышленные стоки, состав которых изобилует различного рода тяжелыми металлами [7, 8].
Вещества, загрязняющие водные объекты, могут быть различного происхождения, поэтому во многом решение проблемы загрязнения будет зависеть от вида поллютанта. Разработка современных эффективных и экономичных технологий водоочистки и водоподготовки все больше приобретает актуальность, в связи с этим, многие НИРС, выполняемые на кафедре ФХиХТ ЮЗГУ посвящены этой проблеме [9–13].
Одним из эффективных методов очистки сточных вод является адсорбционная очистка, которая широко применятся для глубокой очистки сточных вод от растворенных органических веществ после биохимической очистки [14], а также в локальных установках, если загрязняющие вещества биологически не разлагаются или являются сильно токсичными [15] и их концентрация в воде невелика. Достоинством метода является высокая эффективность, возможность очистки сточных вод, содержащих несколько веществ, а также рекуперации этих веществ.
Известно, что глинистые материалы обладают большой сорбционной способностью ко многим загрязняющим веществам [16]. Использование в качестве сорбентов этих минеральных пород местного происхождения позволит сделать сорбционный процесс экономически выгодным, так как затраты на транспортировку сырья, получение сорбентов и доставку потребителю будут минимальными.
Экспериментальная часть
Для исследования были взяты глинистые материалы около деревни Осотское Брянской области с глубины 1.5 метра. Взятые пробы тщательно промыли дистиллированной водой для удаления пыли, грязи и посторонних примесей, высушили, просеяли через сито (d= 0.06 мм) для получения фракции с диаметром не более 0.06 мм. Хранили в защищенном от влаги месте.
Ранее был изучен химический состав подвижной фазы в исследуемых образцах глинистых материалов [17]. Результаты исследования показали, что в подвижной фазе, полученной из изучаемых проб, больше всего содержится ионов кальция и магния, причем содержание кальция превышает содержание магния в глине в 5.5 раза, кроме того, она содержит достаточно высокое количество натрия и железа (III).
Весовым методом в исследуемом образце глины с использованием ГОСТов [18–20] было определено содержание оксидов кремния, алюминия и железа. Результаты проведенных исследований представлены в таблице 1.
Таблица 1. Химический состав неподвижной формы глины
Определяемый компонент | Содержание компонента в пробе, мас. % |
SiO2 | 56.12 |
Fe2O3 | 8.13 |
Al2O3 | 20.96 |
Анализ полученных данных показал, что основную часть исследуемого образца глинистого материала составляют оксиды кремния, алюминия и железа. В исследуемой пробе сорбента 1/4 от его массы составляют оксиды железа и алюминия, следовательно, можно сделать предположение о высокой сорбционной способности изучаемого образца. По количественному соотношению оксидов глинистый материал относится к легкоплавкому типу. Наличие большого количества окислов железа и алюминия, которые обладают развитой поверхностью, дает возможность предположить, что данный материал должен обладать высокой адсорбционной способностью.
Для изучения сорбционной способности глинистых материалов использовали метод атомно-абсорбционной спектроскопии (ААС, метод калибровочного графика). Методика высокочувствительна, и присутствие посторонних компонентов нивелируется. Для получения калибровочного графика использовали стандартные растворы солей железа, меди и цинка в следующих концентрациях: 0.5, 1.0, 5.0, 7.0 и 11 мг/мл. Измерения интенсивности поглощения проводили на пламенном атомно-абсорбционном спектрометре КВАНТ-2 со смесью газов ацетилен-воздух. В качестве фонового раствора использовали дистиллированную воду. По результатам полученных измерений был построен калибровочный график для последующих измерений.
Для изучения сорбционной способности глиняных материалов смоделировали сточные воды с концентрацией ионов железа (III), меди и цинка 10 мг/л, что является превышением ПДК для питьевой воды ионов: железа (III) в 33 раза, меди в 10 раз, цинка в 2 раза.
Для приготовления исходного модельного раствора сточных вод, содержащих смеси ионов железа, меди и цинка в соотношении 1:1:1, в мерную колбу на 1 л помещали 50 мл дистиллированной воды и растворяли 0.0483 г FeC13∙6H2O, 0.0394 г CuSO4∙5H2O, и 0.0442 г ZnSO4∙7H2O, полученный раствор подкисляли соляной кислотой до рН 2 для предотвращения гидролиза и доводили объем раствора водой до 1 л. Рабочие модельные растворы для получения изотермы сорбции готовили разбавлением исходного модельного раствора в 100, 50, 10, 5 раз.
Методом статической одноступенчатой сорбции (масса используемого сорбента составляла 1г, время сорбции 10 мин) проводили сорбирование ионов тяжелых металлов глинистым материалом. В 5 колб поместили навески глины по 1 г и в каждую прилили 100 мл рабочего молельного раствора, содержащего ионы тяжелых металлов следующих концентраций: 0.1, 0.5, 1.0, 5.0 и 10 мг/л. При комнатной температуре на магнитной мешалке перемешивали в течение 10 мин. Затем отфильтровывали через складчатый фильтр (синяя лента), фильтрат использовали для определения остаточного содержания ионов тяжелых металлов на атомно-абсорбционном спектрометре относительно холостого раствора.
Для изучения зависимости степени сорбции от времени проводили статическую одноступенчатую сорбцию рабочего раствора смеси ионов тяжелых металлов с концентрацией 10 мг/л, варьируя время от 0.5 до 7мин, с шагом 0.5 мин. Масса сорбента составляла 1 г.
При определении оптимальной массы сорбента использовали рабочий раствор с концентрацией ионов тяжелых металлов 10мг/л. Сорбцию проводили при комнатной температуре 23°С, статическим методом в течение 5 мин (установлено кинетическими исследованиями).
Для определения влияния рН на степень сорбции сорбция ионов тяжелых металлов изучалась в статических условиях при 23°С в интервале рН от 1.5 до 11.5; 100мл рабочего раствора смеси ионов тяжелых металлов с концентрацией 10мг/л сорбировали 2 г глины, время сорбции составляло 5 мин. Разное значение рН создавали добавлением 0.1М растворов НС1 и NaOH.
Обсуждение результатов
Сорбцию ионов тяжелых металлов в каждом случае рассчитывали по формуле:
где Г – сорбционная способность, %; Сисх – исходная концентрация иона тяжелого металла, мг/мл; Ск – остаточная концентрация иона тяжелого металла, мг/мл.
Сорбцию определяли с точностью ±0.01%. Результаты расчетов приведены в табл. 2.
Таблица 2. Сорбция ионов ТМ глинистой породой
Сисх, мг/л | Fe | Cu | Zn | |||
Cост, мг/л | Г, % | Cост, мг/л | Г, % | Cост, мг/л | Г, % | |
0 | 0 | 0 | 0 | 0 | 0 | 0 |
0.1 | 0.061 | 39.00 | 0.069 | 31.00 | 0.054 | 46.00 |
0.5 | 0.094 | 81.20 | 0.154 | 69.20 | 0.107 | 78.60 |
1 | 0.099 | 90.10 | 0.231 | 76.90 | 0.103 | 89.70 |
5 | 0.389 | 91.22 | 0.567 | 88.66 | 0.494 | 90.12 |
10 | 0.856 | 92.44 | 1.465 | 85.35 | 0.947 | 90.53 |
Анализ полученных данных показал, что сорбция исследуемых ионов тяжелых металлов увеличивается с увеличением их концентрации в растворе: для иона железа с 39.00% (концентрация 0.1мг/л) до 92.44% (концентрация 10мг/л); для иона меди с 31.00% (концентрация 0.1мг/л) до 85.35% (концентрация 10мг/л); для ионов цинка с 46.00% (концентрация 0.1мг/л) до 90.53% (концентрация 10мг/л). Кроме того, из полученных результатов видно, что хуже всего из раствора смеси ионов тяжелых металлов сорбируются ионы меди.
По результатам ААС-анализа сорбции ионов тяжелых металлов исследуемым сорбентом были построены изотермы сорбции (рис. 1) для иона каждого металла.
Рис. 1. Изотермы сорбции ионов Fe (1), Cu (2), Zn (3) глиной.
Анализ различных типов изотерм адсорбции позволяет получить большое количество информации о механизме адсорбции [21].
Изучение изотерм сорбции показало, что согласно классификации Джайлса, полученные кривые соответствуют L-типу (изотерме адсорбции И. Ленгмюра), где кривая выпукла относительно оси абсцисс и достигает максимума по оси ординат. Она характерна для однородной поверхности с одним типом связывающих участков – идеальный адсорбционный слой [22].
Согласно классификации Брунауэра полученные кривые относятся к Ленгмюровскому типу (тип I), в этом случае энергия взаимодействия адсорбент–адсорбат больше энергии взаимодействия адсорбат–адсорбат. Кривые этого типа отражают мономолекулярную сорбцию, когда с увеличением доли занятых адсорбционных мест молекулам адсорбтива сложнее найти вакантное место. Такого типа изотермы присущи, в основном, микропористым образцам с относительно небольшой площадью поверхности. Предельное количество адсорбата зависит больше от доступного объема микропор, чем от площади внутренней поверхности.
Изотермы класса L характерны для случаев, когда при определённой концентрации адсорбтива адсорбция достигает предела. В изотермах первого типа при увеличении концентрации адсорбата величина сорбции стремится приблизиться к максимальному пределу – 100%.
При изучении зависимости степени сорбции от времени сорбцию определяли с погрешностью ±0.01. По полученным данным построили кинетические кривые процесса сорбции ионов железа, меди и цинка глинистым материалом (рис. 2).
Рис. 2. Кинетические кривые сорбции ионов Fe (1), Cu (2), Zn (3) глиной.
Анализ кинетических кривых показал равновесие в системе ион металла – сорбент достигается быстро в течении 5 мин при этом процент сорбции очень велик (для железа – 92.43%, для меди – 85.35%, для цинка – 90.54%), поэтому проводить сорбцию ионов металла сорбентов массой 1г большее количество времени не имеет смысла.
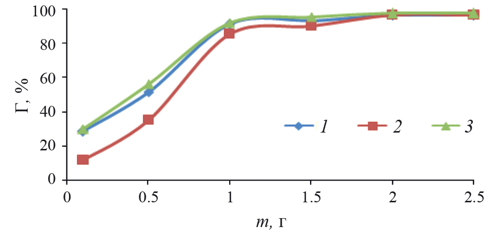
Для определения оптимальной массы сорбента была проведена статическая одноступенчатая сорбция смеси ионов тяжелых металлов с концентрацией 10мг/л с варьированием массы сорбента от 0.1 до 2 г. Объем модельного раствора составил 100мл, время сорбции 5 мин. Сорбцию ионов тяжелы металлов определяли с погрешностью ±0.01 (табл. 3).
Таблица 3. Исследование сорбционной способности глинистой породы по отношению к раствору ТМ
mсорбента, г | Fe | Cu | Zn | |||
Cост, мг/л | Г, % | Cост, мг/л | Г, % | Cост, мг/л | Г, % | |
0.1 | 7.147 | 28.53 | 8.836 | 11.64 | 6.993 | 30.07 |
0.5 | 4.842 | 51.58 | 6.474 | 35.26 | 4.359 | 56.41 |
1 | 0.879 | 91.21 | 1.452 | 85.48 | 0.802 | 91.98 |
1.5 | 0.654 | 93.46 | 0.966 | 90.34 | 0.451 | 95.49 |
2 | 0.354 | 96.46 | 0.321 | 96.79 | 0.232 | 97.68 |
2.5 | 0.353 | 96.47 | 0.320 | 96.80 | 0.231 | 97.69 |
По полученным данным была построена зависимость сорбции от массы сорбента (рис. 3).
Рис. 3. Зависимости степени сорбции ионов Fe (1), Cu (2), Zn (3) от массы глины.
Анализ данных рис. 3 показал, что при пятиминутной сорбции раствора смеси ионов железа (III), меди, цинка с концентрацией 10 мг/л максимальная сорбция 97.68% достигается при массе сорбента 2 г. Дальнейшее увеличение массы сорбента не влияет на степень сорбции.
Для изучения влияния рН на величину сорбции изменяли значение рН сорбируемого раствора от 1.5 до 8, добавляя необходимое количество НС1 или NaOH.
Графические зависимости степени сорбции ионов тяжелых металлов от рН раствора представляют параболу (рис. 4).
Рис. 4. Влияние рН исходного раствора на сорбцию ионов Fe (1), Cu (2), Zn (3).
Ионы железа хорошо сорбируются в кислой среде и максимальная сорбция (92.4%) наблюдалась при рН 3.5, когда ионы железа существуют в виде гидроксокатионов FeOH2+ и Fe(OH)2+. Дальнейшее увеличение рН раствора приводит к осаждению гидроксида железа (III).
Для ионов меди и цинка максимум степени сорбции наблюдается в интервале рН 5.5–6. При дальнейшем увеличении рН происходит выпадение осадков гидроксидов меди (II) и цинка.
В работах [23–25] установлено, что глинистые материалы имеют большую поглотительную способность, когда ионы тяжелых металлов находятся в виде гидроксокомплексов Me(OH)xn–x, а не в свободном виде. Кроме того, лиганды поверхности глины и координационная вода иона металла могут взаимодействовать с образованием внешнесферных комплексов, в том числе полиядерных [26, 27].
Заключение
Изучение химического состава глинистой породы Брянской области показало, что основную часть исследуемого образца глинистого материала составляют оксиды кремния, алюминия и железа и по количественному соотношению этих оксидов изучаемый образец относится к легкоплавкому типу глин.
Полученная изотерма сорбции ионов железа, цинка и меди глинистым материалом Брянской области согласно имеющимся классификациям изотерм относится к Ленгмюровскому типу. Кривые данного типа отражают мономолекулярную сорбцию и присущи микропористым образцам
Проведенные исследования показывают, что при сорбции ионов тяжелых металлов глинистыми породами адсорбционное равновесие устанавливается быстро в течении 5 мин, при этом достигаются высокий процент сорбции от 85.4 до 92.4%, а при увеличении массы сорбента с 1 до 2 г сорбция ионов тяжелых металлов в среднем увеличивается до 96.5%.
Для всех изученных катионов тяжелых металлов сорбция возрастает с повышением рН. Возможно, это обусловлено усилением с ростом рН гидролиза ионов Ме (ІІ) с образованием гидроксокатионов, которые сорбируются более эффективно, чем негидролизованная форма.
Проведенные исследования показали, что глинистый материал быстро и эффективно сорбирует ионы цинка, железа и меди при их совместном присутствии в водных растворах.
Sobre autores
И. Махрамов
ФГБОУ ВО Юго-Западный государственный университет
Autor responsável pela correspondência
Email: ikram.mahramov@yandex.ru
Rússia, Курск
A. Афонина
ФГБОУ ВО Юго-Западный государственный университет
Email: madamafonina@gmail.com
Rússia, Курск
О. Бурыкина
ФГБОУ ВО Юго-Западный государственный университет
Email: buoksana@yandex.ru
Rússia, Курск
Bibliografia
- Nieto J.M., Sarmiento A.M., Olhas M. et al. // Environ. Int. 2007. V.33. P. 445.
- Фатьянова Е.А., Мальцева В.С., Бурыкина О.В. // Изв. Юго-Западного государственного университета. Серия: Техника и технологии. № 2–3. 2012. С. 270.
- Зеленкова Т.И., Хоботова С.Н., Мальцева В.С., Бурыкина О.В. // Проблемы развития аграрного сектора региона: матер. Всерос. научно-практической конференции: в 4-х частях. Курск, 2006. С. 178.
- Черных Н.А., Баева Ю.И. // Вестн. РУДН. Сер. Экология и безопасность жизнедеятельности. 2004. Т. 10. № 1. С. 125.
- Кочарли Н.К., Гумматова С.Т., Абдуллаев Х.Д., Зейналова Н.М. //Фундаментальные исследования. 2012. № 11 (часть 2). С. 299.
- Мочалов А.В. // Современные наукоемкие технологии. 2013. № 8. С. 333.
- Баймаханов М.Т. Очистка и контроль сточных вод предприятий цветной металлургии / Баймаханов М.Т., Лебедев К.Б., Антонов В.Н., Озеров А.И. М.: Металлургия, 1983. 191 с.
- Войтов Е.Л., Сколубович Ю.Л., Цыба А.А., и др. // Экономика строительства и природопользования. 2019. Т. 71. № 2. С. 60.
- Бурыкина О.В., Мальцева В.С., Фатьянова Е.А. // Изв. Юго-Западного государственного университета. 2012.Т.43. № 4–3. С. 257.
- Фролова Н.В., Пыхова О.О., Сазонова А.В., и др. // Молодежь и XXI век – 2012: матер. IV Междунар. молодежн. научн. конф. /Отв. ред.: А.А. Горохов. Курск. 2012. С. 231.
- Афонина А.П., Воропаева В.В., Левина К.А., и др. // Современные проблемы экологии: докл. XXII междунар. научно-практической конф. /Под общ. редакцией В.М. Панарина. Тула. 2019. С. 19.
- Афонина А.П., Бурыкина О.В. // Формирование профессиональной направленности личности специалистов – путь к инновационному развитию России: матер. Всерос.научно-практической конф. Пенза. 2019. С. 18.
- Ефремова А.Н., Бурыкина О.В. // Фундаментальные и прикладные исследования в области химии и экологии: матер. Междунар. научно-практической конф. студентов, аспирантов и молодых ученых./ Отв. редактор: Л.М. Миронович. Юго-Западный государственный университет. 2015. С. 195.
- Bailey S.E., Olin T.J., Bricka R.M., and Adrian D.D // Water Res. 1999. V.33. Р. 2469.
- Kurniawan T.A., Chan G.Y.S., Lo W., Babel S. // Sci. Total Environ. 2006. V.366. Р. 409.
- Юсипбеков У.Ж., Чернякова Р.М., Агатаева А.А., и др. // Хим. журн. Казахстана. 2021.Т.73. № 1. P. 204.
- Махрамов И.А.О., Бурыкина О.В. // Фундаментальные и прикладные исследования в области химии и экологии. 2021. Сб. науч. статей Междунар. научно-практической конф. студентов, аспирантов и молодых ученых. Курск. 2021. С. 47.
- ГОСТ 25542.1–2019. Глинозем. Метод определения диоксида кремния. 2019. – 8с.
- ГОСТ 2642.4–2016. Огнеупоры и огнеупорное сырье. Методы определения оксида алюминия. 2016. – 18с.
- ГОСТ 2642.5–2016. Огнеупоры и огнеупорное сырье. Методы определения оксида железа (III). 2016. – 15с.
- Карнаухов А.П. Адсорбция. Текстура дисперсных и пористых материалов. Новосибирск: Наука. Сиб. предприятие РП/АН, 1999. 470с.
- Путилина В.С., Галицкая И.В., Юганова Т.И. // Экология. Сер. аналитических обзоров мировой литературы. 2012. № 99. С. 1.
- Bhattacharyya K.G. and Gupta S.S. // Advances in Colloid and Interface Science. 2007.V.140. Р.114. doi: 10.1016/j.cis.2007.12.008
- Jrad Ghorbel-Abid A., Nahdi K., Trabelsi-Ayadi M. // Desalination. 2009. V. 246. № 1–3. P. 595.
- Zhu J., Cozzolino V., Pigna M., et al. // Chemosphere. 2011. V.84.P.484. http://dx.doi.org/10.1016/j.chemosphere.2011.03.020.
- Jolivet J.P. Metal Oxide Chemistry and Synthesis – From Solution to Solid State. N.Y.: John Wiley & Sons, Ltd. 2000. 321 p.
- Kopylovich M.N., et al. // J. of Molecular Catalysis A: Chemical. 2003. Р. 163.
Arquivos suplementares






