Новые электрохимические системы для натрий-ионных аккумуляторов
- Authors: Кулова Т.Л.1, Гаврилин И.М.1, Скундин А.М.1, Ковтушенко Е.В.1, Кудряшова Ю.О.1
-
Affiliations:
- Институт физической химии и электрохимии имени А.Н. Фрумкина РАН
- Issue: Vol 98, No 4 (2024)
- Pages: 156-162
- Section: ELECTROCHEMISTRY. GENERATION AND STORAGE OF ENERGY FROM RENEWABLE SOURCES
- Submitted: 10.11.2024
- Accepted: 10.11.2024
- Published: 10.11.2024
- URL: https://bakhtiniada.ru/0044-4537/article/view/269396
- DOI: https://doi.org/10.31857/S0044453724040164
- EDN: https://elibrary.ru/QEJOGK
- ID: 269396
Cite item
Full Text
Abstract
Разработаны две новые электрохимические системы для натрий-ионных аккумуляторов с положительным электродом на основе феррофосфата натрия, допированного марганцем (NaFe0.5Mn0.5PO4), и отрицательным электродом на основе наноструктуры CoGe2P0.1, а также с положительным электродом на основе ванадофосфата натрия, допированного железом (Na3V1.9Fe0.1(PO4)3), и отрицательным электродом на основе наноструктуры CoGe2P0.1. Результаты циклирования макетов аккумуляторов показали, что удельная энергия электрохимических систем NaFe0.5Mn0.5PO4/CoGe2P0.1 и Na3V1.9Fe0.1(PO4)3/CoGe2P0.1 составляет около 165 и 167 Вт ч/кг соответственно.
Full Text
ВВЕДЕНИЕ
Натрий-ионные аккумуляторы относятся к так называемым пост-литий-ионным аккумуляторам. Прогнозируется, что удельная энергия натрий-ионных аккумуляторов будет ниже удельной энергии литий-ионных аккумуляторов из-за меньшего разрядного напряжения и меньшей удельной емкости катодных и анодных материалов. Однако с учетом меньшей стоимости натрийсодержащего сырья ожидается, что стоимость натрий-ионных аккумуляторов будет ниже стоимости литий-ионных аккумуляторов и они смогут заменить вредные для окружающей среды свинцово-кислотные или никель-кадмиевые аккумуляторы [1, 2]. В настоящее время не существует широкомасштабного промышленного производства натрий-ионных аккумуляторов, и нет общепризнанных электрохимических систем. В качестве материалов положительного электрода натрий-ионных аккумуляторов рассматриваются натрийсодержащие слоистые оксиды [3, 4], а также ванадофосфаты [5, 6] и феррофосфаты натрия [7, 8]. В качестве материалов отрицательного электрода наиболее популярным в настоящее время рассматривается твердый углерод [9, 10]. Следует отметить, что многочисленные публикации по электродным материалам для натрий-ионных аккумуляторов не содержат информации об аккумуляторах в целом, то есть о совместимости материалов разноименных электродов (в отличие от литературы по активным материалам литий-ионных аккумуляторов, где такая информация приводится и анализируется).
Теоретическая удельная емкость натрийсодержащих слоистых оксидов составляет около 150 мАч/г, но на практике удается достичь несколько меньших значений. Теоретическая удельная емкость ванадофосфата натрия составляет 117 мАч/г. Этот катодный материал характеризуется практической емкостью, близкой к теоретической и стабильностью при циклировании. Феррофостат натрия имеет теоретическую удельную емкость около 170 мАч/г, практическая емкость может достигать 150 мАч/г. Твердый углерод на практике показывает значения около 350 мА/г.
Удельную энергию любого химического источника тока можно рассчитать по формуле:
, (1)
где Wbat – удельная энергия аккумулятора (Втч/кг), Qbat – удельная емкость аккумулятора (Ач/кг), Ubat – напряжение аккумулятора (В). Следует подчеркнуть, что удельная энергия относится к аккумулятору в целом, а не к отдельным активным материалам, участвующим в токообразующем процессе.
Теоретическая удельная емкость аккумулятора зависит от теоретических удельных емкостей положительного (катода) и отрицательного (анода) электродов и может быть рассчитана по формуле:
, (2)
где – теоретическая удельная емкость аккумулятора, – теоретическая удельная емкость катода, – теоретическая удельная емкость анода. Уравнение (2) справедливо только при строго стехиометрическом соотношении количеств активных материалов на электродах
Расчет теоретической удельной емкости натрий-ионного аккумулятора с углеродным анодом в зависимости от катодного материала дает значения от 89 до 116 мАч/г в расчете на суммарную массу анодного и катодного материалов. Замена анодного материала на более высокоемкий, чем твердый углерод, приведет к повышению теоретической удельной емкости аккумулятора. Например, для электрохимических систем с анодами на основе германия их теоретическая емкость будет превышать 150 мАч/г.
Величины удельной энергии будут зависеть от напряжения аккумулятора и требуют практического подтверждения.
ЭКСПЕРИМЕНТАЛЬНАЯ ЧАСТЬ
Изготовление положительных электродов (катодов)
Для изготовления катодов использовали порошок допированного железом ванадофосфата натрия (Na3V1.9Fe0.1(PO4)3), а также порошок феррофосфата натрия, допированного марганцем (NaFe0.5Mn0.5PO4, NFMP). Подробное описание синтеза Na3V1.9Fe0.1(PO4)3/C и NaFe0.5Mn0.5PO4 представлено в [11 и 12] соответственно. Катоды для макетов аккумуляторов были изготовлены следующим образом. Порошки катодных материалов (Na3V1.9Fe0.1(PO4)3 и NaFe0.5Mn0.5PO4,) предварительно сушили под вакуумом при температуре 120 °С в течение 8 ч. Далее порошки смешивали с сажей (Timcal), тщательно перетирали в агатовой ступке и добавляли в полученную смесь 3%-ный раствор поливинилиденфторида (Sigma-Aldrich) в N-метилпиролидоне (Sigma-Aldrch). Соотношение катодного материала, сажи и поливинилиденфторида составляло 80:10:5 по массе. При необходимости в полученную катодную массу дополнительно добавляли N-метилпиролидон для получения сметанообразной массы. Далее катодную массу гомогенизировали в течение 15 с с помощью ультразвукового гомогенизатора Sonics vibra cell (США).
Подложки для положительных электродов (катодов) натрий-ионных аккумуляторов изготавливали из алюминиевой фольги («Русал», Россия) толщиной 20 мкм. Перед нанесением катодной массы фольгу обезжиривали ацетоном. Равномерное нанесение слоя катодной массы на подложку обеспечивали с помощью автоматической намазочной машины с подогревом (MSK-AFA-II-Automatic Thick Film Coater, Китай). После нанесения катодной массы на одну сторону алюминиевой фольги, катодную пластину сушили 4 часа при температуре 80 °С, далее катодную массу наносили на противоположную сторону алюминиевой фольги и повторно сушили. Из готовых катодных пластин вырезали катоды размером 2×3 см2. Катоды прессовали давлением 1 т/см2. Масса катодного материала на подложке была рассчитана с учетом разрядной емкости катодного материала.
Изготовление отрицательных электродов (анодов)
Отрицательные электроды для макетов натрий-ионных аккумуляторов были изготовлены по технологии, описанной ранее в [13]. Размер анодов составлял 2×3 см2. Количество активного вещества на аноде CoGe2P0.1 составляло около 0.4 мг/см2. Активное вещество CoGe2P0.1 было синтезировано на одной стороне титановой фольги.
Сборка электрохимических ячеек и макета аккумулятора
Сборку трехэлектродных герметичных электрохимических ячеек и макета аккумулятора проводили в боксе с атмосферой аргона («Спектроскопические системы», Россия). Содержание воды и кислорода в боксе не превышало 1 ppm. Рабочими электродами служили Na3V1.9Fe0.1(PO4)3/C, NaFe0.5Mn0.5PO4 или GeCoP0.1. Вспомогательный электрод и электрод сравнения изготавливали из металлического натрия. Электроды разделяли сепаратором толщиной 18 мкм (НПО «Уфим», Россия).
Макет аккумулятора содержал один двусторонний катод и два односторонних анода. Между электродами помещали полипропиленовый сепаратор толщиной 18 мкм (НПО «Уфим», Россия). Алюминиевый и никелевый токовыводы к катоду и анодам, соответственно, приваривали с помощью ультразвуковой сварки. Электродную сборку помещали в корпус, изготовленный из ламинированной алюминиевой фольги толщиной 115 мкм (MTI Corporation) и сушили под вакуумом при температуре 90 °С в течение 8 ч. Заполнение макета аккумулятора электролитом и окончательную запайку корпуса проводили в перчаточном боксе с атмосферой сухого аргона. Содержание воды и кислорода в боксе не превышало 1 ppm. Для запайки корпуса использовали вакуумирующий запайщик (Mini Jumbo, Henkelman). В качестве электролита использовали 1 М NaClO4 в смеси пропиленкарбоната и этиленкарбоната (1:1). Содержание воды в электролите, определенное методом кулонометрического титрования по Фишеру (917 Coulometer, Metrohm, Herisau, Switzerland), не превышало 15 ppm.
Тестирование электрохимических ячеек и макетов аккумуляторов
Для тестирования электрохимических ячеек и макетов аккумуляторов использовали многоканальный потенциостат PX-8 («Элинс», Россия). Тестирование катодных материалов проводили при режимах циклирования 0.1, 0.2, 0.4, 0.8, 1.6 С. Режим циклирования 0.1 С соответствовал токам 117мА/г и 150 мА/г для Na3V1.9Fe0.1(PO4)3, NaFe0.5Mn0.5PO4 соответственно. Тестированаие анодного материала проводили в режимах 0.05, 0.1, 0.2 и 1 С. Режим циклирования 0.1 С соответствовал току 50 мА/г для GeCoP.
При тестировании макетов натрий-ионных аккумуляторов первые два формировочных цикла проводили в следующем режиме: заряд при постоянном токе 0.1 С до напряжения 4.1 В, далее следовал заряд при постоянном напряжении до спада тока до 0.05 С, разряд при постоянном токе 0.1 С до напряжения 0.4 В. Последующие циклы проводили в таком же режиме при токах 2, 0.4, 1 и 2 С. Ток, равный 2 мА, соответствовал режиму 1 С.
ОБСУЖДЕНИЕ РЕЗУЛЬТАТОВ
Для определения пределов циклирования макетов натрий-ионных аккумуляторов с различными катодами предварительно эти катодные материалы были протестированы в трехэлектродных ячейках. На рис. 1 представлены результаты циклирования Na3V1.9Fe0.1(PO4)3 и NaFe0.5Mn0.5PO4. Из рис. 1а хорошо видно, что при малых плотностях тока заряд и разряд Na3V1.9Fe0.1(PO4)3/C протекает при постоянном потенциале в диапазоне 3.3–3.4 В. Такая зависимость потенциала от емкости характерна для двухфазных систем. Повышение плотности тока приводит к увеличению поляризации, что выражается в увеличении зарядного потенциала и снижению разрядного потенциала. При повышении плотности тока форма зарядно-разрядных кривых Na3V1.9Fe0.1(PO4)3 меняется, а именно – четкие горизонтальные зарядные и разрядные кривые становятся более пологими. На рис. 1б представлены зарядно-разрядные кривые NaFe0.5Mn0.5PO4, которые качественно отличаются от зарядно-разрядных кривых Na3V1.9Fe0.1(PO4)3, в частности, заряд и разряд протекает при постоянно меняющемся потенциале, что характерно для фаз переменного состава.
Рис. 1. Зарядно-разрядные кривые (а, б) и зависимость разрядной емкости от плотности тока (в, г) различных катодных материалов: Na3V1.9Fe0.1(PO4)3 (а, в), NaFe0.5Mn0.5PO4 (б, г). Режимы циклирования указаны на рисунках
На рис. 1в, г представлены зависимости изменения разрядной емкости Na3V1.9Fe0.1(PO4)3 и NaFe0.5Mn0.5PO4 от режима циклирования. Видно, что Na3V1.9Fe0.1(PO4)3 характеризуется очень стабильным циклированием и способностью работать при высоких плотностях тока до 25 С. Разрядная емкость Na3V1.9Fe0.1(PO4)3 при токе 0.1 С составляет 106 мАч/г, что соответствует 90% от теоретической удельной емкости. Зависимость удельной разрядной емкости NaFe0.5Mn0.5PO4 от плотности тока показывает, что этот катодный материал постепенно деградирует при циклировании. Разрядная емкость на первом цикле при токе 0.1 С составляет 140 мАч/г, что на 34% превышает разрядную емкость Na3V1.9Fe0.1(PO4)3 при такой же плотности тока. Однако NaFe0.5Mn0.5PO4 показывает более сильную деградацию при циклировании и более сильную зависимость разрядной емкости от плотности тока. Так, увеличение плотности тока почти на порядок от 0.1 С до 0.8 С не приводит к существенному снижению разрядной емкости Na3V1.9Fe0.1(PO4)3, а для NaFe0.5Mn0.5PO4 разрядная емкость уменьшается на 60%.
Результаты циклирования отрицательных электродов в трехэлектродных электрохимических ячейках представлены на рис. 2.
Рис. 2. Зарядно-разрядные кривые (а) и зависимость разрядной емкости от плотности тока (б) CoGe2P0.1. Режимы циклирования указаны на рисунках
На рис. 2 представлены результаты циклирования анодного материала – CoGe2P0.1. Как видно из рис. 2, при малых плотностях тока (0.05 С) разрядная емкость GeCoP составляет около 425 мАч/г. Увеличение плотности тока приводит к снижению разрядной емкости. Необратимая емкость на первом цикле, связанная с формированием твердоэлектролитной пленки (SEI) на CoGe2P0.1, составила около 12%.
Результаты циклирования отдельных электродов (катодов и анода) были использованы для расчета соотношения масс положительного и отрицательного электродов в аккумуляторах систем Na3V1.9Fe0.1(PO4)3/CoGe2P0.1 и NaFe0.5Mn0.5PO4/CoGe2P0.1. Для аккумулятора номинальной емкостью 2 мАч при токе циклирования 0.2 мА (0.1 C) необходимо 5.48 мг GeCoP, так как удельная разрядная емкость этого анодного материала составляет около 365 мАч/г при токе 0.1 С (рис. 2). С учетом необратимой емкости CoGe2P0.1 на первом цикле, которая составляет около 12% от обратимой емкости и удельной разрядной емкости Na3V1.9Fe0.1(PO4)3 (106 мАч/г), масса Na3V1.9Fe0.1 (PO4)3 в аккумуляторе должна быть в 3.9 раза больше массы CoGe2P0.1, или около 21.4 мг. Как было показано в экспериментальной части, навеска CoGe2P0.1 составляла 0.4 мг/см2. Следовательно, общая площадь анода в аккумуляторе номинальной емкостью 2 мАч должна составлять около 13.7 см2, что соответствует двум односторонним анодам с габаритными размерами 2.2×3.2 см2. Навеска Na3V1.9Fe0.1(PO4)3 в этом случает должна составлять 1.6 мг/см2. Таким образом, натрий-ионный аккумулятор электрохимической системы Na3V1.9Fe0.1(PO4)3/ CoGe2P0.1 номинальной емкостью 2 мАч содержал 1 двусторонний катод и 2 односторонних анода с габаритными размерами 2.2×3.2 см2.
Аналогичные расчеты для натрий-ионного аккумулятора электрохимической системы Na3V1.9Fe0.1(PO4)3/CoGe2P0.1 номинальной емкостью 2 мАч показали, что навеска NaFe0.5Mn0.5PO4 составила около 1.2 мг/см2 (общее количество NaFe0.5Mn0.5PO4 в аккумуляторе – 16.44 мг).
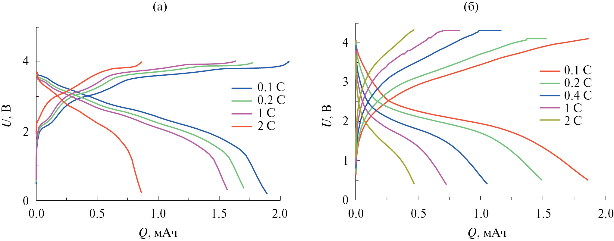
Результаты циклирования макетов аккумуляторов с различными катодами представлены на рис. 3. Среднее напряжение разряда макета аккумулятора системы Na3V1.9Fe0.1(PO4)3/CoGe2P0.1 составило около 2.4 В. При низких токах разряда (0.1 С) разрядная емкость на первом цикле составила 1.88 мАч, что составляет около 94% от номинальной емкости. Среднее напряжение разряда макета аккумулятора системы NaFe0.5Mn0.5PO4/CoGe2P0.1составило около 1.98 В. При низких токах разряда (0.1 С) разрядная емкость на первом цикле составила 1.85 мАч, что составляет около 92% от номинальной емкости. Удельная энергия аккумулятора Na3V1.9Fe0.1(PO4)3/CoGe2P0.1 в расчете на массы активных веществ составила 165 Втч/кг. Удельная энергия аккумулятора в расчете на массы активных веществ NaFe0.5Mn0.5PO4/CoGe2P0.1 составила 167 Втч/кг. Таким образом, по величине удельной энергии при малых плотностях тока (0.1 С) две электрохимические системы оказались одинаковыми. В то же время при повышенных плотностях тока (2 С) электрохимическая система Na3V1.9Fe0.1(PO4)3/CoGe2P0.1 показала более высокие характеристики.
Рис. 3. Зарядно-разрядные кривые макетов аккумуляторов для двух электрохимических систем Na3V1.9Fe0.1 (PO4)3/CoGe2P0.1 (а), NaFe0.5Mn0.5PO4/CoGe2P0.1 (б). Режимы циклирования указаны на рисунках
Реальная удельная энергия аккумулятора всегда меньше теоретической удельной энергии электрохимической системы из-за влияния массы электролита и конструкционных деталей. Например, авторы [14] показали, что соотношение удельной энергии электрохимической системы к удельной энергии прототипа коммерческого аккумулятора равно приблизительно 0.66. Таким образом, можно ожидать, что удельная энергия прототипа коммерческого натрий-ионного аккумулятора электрохимических систем Na3V1.9Fe0.1(PO4)3/CoGe2P0.1 (а), NaFe0.5Mn0.5PO4/CoGe2P0.1 (б) будет составлять около 110 Втч/кг.
ЗАКЛЮЧЕНИЕ
В настоящей работе впервые оцениваются характеристики новых электрохимических систем для натрий-ионных аккумуляторов. В обеих системах в качестве активного материала отрицательного электрода используется разработанный недавно наноструктурированный композит CoGe2P0.1. Активным материалом в одной электрохимической системе служит ванадофосфат натрия, допированный железом (Na3V1.9Fe0.1(PO4)3), а в другой электрохимической системе ‒ ферроманганофосфат натрия (NaFe0.5Mn0.5PO4). Сопоставление электрохимических характеристик индивидуальных электродов с характеристиками лабораторных макетов аккумуляторов показывает хорошую совместимость композита CoGe2P0.1 с обоими материалами положительного электрода при использовании перхлоратного электролита на основе смеси пропиленкарбоната с этиленкарбонатом. По результатам циклирования лабораторных макетов аккумуляторов обеих электрохимических систем установлено, что их удельная энергия (в расчете на массу активных электродных материалов) составляет 165‒170 Втч/кг, что заметно превышает соответствующий показатель для электрохимических систем с отрицательным электродом на основе твердого углерода. Электрохимическая система с положительным электродом на основе ванадофосфата натрия отличается повышенной мощностью.
ФИНАНСИРОВАНИЕ РАБОТЫ
Работа выполнена при финансовой поддержке Российского научного фонда. Проект № 21-13-00160.
КОНФЛИКТ ИНТЕРЕСОВ
Авторы заявляют об отсутствии конфликта интересов.
About the authors
Т. Л. Кулова
Институт физической химии и электрохимии имени А.Н. Фрумкина РАН
Author for correspondence.
Email: tkulova@mail.ru
Russian Federation, Москва
И. М. Гаврилин
Институт физической химии и электрохимии имени А.Н. Фрумкина РАН
Email: tkulova@mail.ru
Russian Federation, Москва
А. М. Скундин
Институт физической химии и электрохимии имени А.Н. Фрумкина РАН
Email: tkulova@mail.ru
Russian Federation, Москва
Е. В. Ковтушенко
Институт физической химии и электрохимии имени А.Н. Фрумкина РАН
Email: tkulova@mail.ru
Russian Federation, Москва
Ю. О. Кудряшова
Институт физической химии и электрохимии имени А.Н. Фрумкина РАН
Email: tkulova@mail.ru
Russian Federation, Москва
References
- Скундин А.М., Кулова Т.Л., Ярославцев А.Б. // Электрохимия. 2018. Т. 54. № 2. С. 131. [Skundin A.M., Kulova T.L., Yaroslavtsev A.B. // Russ. J. Electrochem. 2018. V. 54. № 2. P. 113. doi: 10.1134/S1023193518020076]
- Кулова Т.Л., Скундин А.М. // Изв. АН. Сер. хим. 2017. № 8. 1329. [Kulova T.L., Skundin A.M. // Russ. Chem. Bull. Int. Ed. 2017. V. 66. № 8. P. 1329. https://doi.org/10.1007/s11172-017-1896-3]
- Ding F., Zhao C., Zhou D. et al. // Energy Storage Mater. 2020. V. 30. P. 420. doi: 10.1016/j.ensm.2020.05.013.
- Garg U., Rexhausen W., Smith N. et al. // J. Power Sources. 2019. V. 431. P. 105. doi: 10.1016/j.jpowsour.2019.05.025.
- Kuganathan N., Chroneos A. // Solid State Ionics. 2019. V. 336. P. 75. doi: 10.1016/j.ssi.2019.03.025.
- Huang H., Luo S., Liu C. et al. // Appl. Surf. Sci. 2019. V. 487. P. 1159. doi: 10.1016/j.apsusc.2019.05.224.
- Oh S., Myung S., Hassoun J. et al. // Electrochem. Commun. 2012. V. 22. P. 149. doi: 10.1016/j.elecom.2012.06.014.
- Kapaev R., Chekannikov A., Novikova S. et al. // J. Solid State Electrochem. 2017. V. 21. Issue 8. P. 2373. doi: 10.1007/s10008-017-3592-5
- Cheng D., Zhou X., Hu H. et al. // Carbon. 2021. V. 182. P. 758. doi: 10.1016/j.carbon.2021.06.066.
- Jin Q., Wang K., Li H. et al. // Chem. Eng. J. 2021. V. 417. A. 128104. doi: 10.1016/j.cej.2020.128104.
- Новикова С.А., Ларкович Р.В., Чеканников А.А. и др. // Неорганические материалы. 2018. Т. 54. № 8. С. 839. doi: 10.1134/S0002337X18080146 [Novikova S.A., Larkovich R.V., Chekannikov A.A. et al. // Inorg. Mater. 2018. V. 54. № 8. P. 794. doi: 10.1134/S0020168518080149].
- Kudryashova Yu.O., Gavrilin I.M., Kulova T.L. et al. // Mendeleev Commun. 2023. V. 33. P. 318. doi: 10.1016/j.mencom.2023.04.006.
- Kulova T.L., Skundin A.M., Gavrilin I.M. et al. // Batteries. 2022. V. 8. A. 98. doi: 10.3390/batteries8080098.
- Barker J., Coowar F., Fullenwarth J., Monconduit L. // J. Power Sources. 2022. V. 541. A. 231702. doi: 10.1016/j.jpowsour.2022.231702.
Supplementary files





