Кинетический расчет сорбции этилового спирта на углеродных материалах
- Authors: Царева А.А.1, Литвинова Т.Е.1, Гапанюк Д.И.1, Роде Л.С.1, Полторацкая М.Е.1
-
Affiliations:
- Санкт-Петербургский горный университет
- Issue: Vol 98, No 3 (2024)
- Pages: 69–80
- Section: CHEMICAL KINETICS AND CATALYSIS
- Submitted: 04.10.2024
- Accepted: 04.10.2024
- Published: 09.10.2024
- URL: https://bakhtiniada.ru/0044-4537/article/view/265500
- DOI: https://doi.org/10.31857/S0044453724030082
- EDN: https://elibrary.ru/QPWPDP
- ID: 265500
Cite item
Full Text
Abstract
Изучена кинетика сорбции этанола на активированном нефтяном коксе с удельной площадью поверхности 1218 м2/г и гидроантраците (4.87 м2/г). Лимитирующей стадией сорбции для гидроантрацита является внешняя диффузия, коэффициент диффузии при 293 К равен 5.87×10–10 м2/с, толщина диффузионного слоя – 169 мкм. Для высокопористого активированного нефтяного кокса лимитирующая стадия меняется по мере протекания процесса сорбции. В первые 5 мин процесса скорость сорбции определяется внешним массопереносом, затем на участке от 5 до 15 мин как внешняя, так и внутренняя диффузия вносят значительный вклад в общую скорость процесса, с 15 минут до достижения равновесия основной вклад в скорость процесса вносит внутренняя диффузия. Коэффициенты внешней диффузии на участке от 5 до 15 мин и внутренней диффузии на участке от 15 мин до достижения равновесия равны 5.87×10–10 и 2.89×10–11 м2/с. Энергия активации для гидроантрацита составила 20.03±5.31 кДж/моль, для активированного нефтяного кокса на первом участке – 18.68±3.25, на втором участке – 78.71±34.19 кДж/моль.
Keywords
Full Text
Введение
Сорбционные процессы широко распространены в настоящее время [1–3], так как они позволяют разделять компоненты смеси без значительных энергетических и экономических затрат [4–6]. Наиболее часто в промышленности в качестве сорбентов используют углеродные материалы, например активированный уголь, так как они достаточно дешевы и эффективно сорбируют различные органические и неорганические примеси [7–9].
На эффективность сорбции оказывают влияние различные параметры сорбента, такие как удельная площадь поверхности, наличие поверхностных функциональных групп, пористость и т.д. [6, 10, 11]. Увеличение удельной площади поверхности увеличивает сорбционную способность сорбента, однако только до некоторого предела. Это связано с шириной пор сорбента, так как молекулы сорбата не смогут проникнуть внутрь узких пор сорбента из-за стерического эффекта [12–14]. Поверхностные функциональные группы также увеличивают эффективность сорбции. Например, при сорбции метанола на угле наблюдалась прямая зависимость между величиной сорбции и содержанием кислорода на поверхности сорбента [15–17].
Однако какой бы высокой ни была предельная величина сорбции, сорбент не может быть применен в промышленности, если скорость процесса очень низкая [18–20]. Таким образом, изучение кинетики сорбции является важным аспектом изучения свойств сорбентов.
Сорбционный процесс является довольно сложным, так как включает несколько стадий [21–23]:
- массоперенос адсорбата из объема раствора на внешнюю поверхность адсорбента;
- внутренняя диффузия адсорбата к местам сорбции;
- непосредственно сорбция.
Наличие нескольких стадий затрудняет кинетический расчет процесса сорбции, однако предложено несколько моделей, основанных на том, что одна из стадий является лимитирующей [24–26]. На основе этих моделей можно прояснить механизм сорбции.
Наиболее часто в литературе для описания кинетики сорбции используют уравнения псевдо-первого и псевдо-второго порядков, Вебера – Морриса и Вермюлена для внутренней диффузии, Бойда для внешней диффузии [19, 27, 28].
Модель псевдо-первого порядка предполагает, что скорость сорбционного процесса зависит только от концентрации адсорбтива [24]. Данная модель не может точно описать механизм сорбции и работает только при значениях адсорбции (Г, моль/кг), далеких от предельной адсорбции (Г∞, моль/кг) [24, 29]:
где k1 – константа скорости адсорбции, мин-1; t – время, мин.
Или в линейной форме:
Модель псевдо-второго порядка предполагает зависимость скорости сорбции не только от концентрации адсорбтива, но и от количества свободных адсорбционных центров поверхности сорбента. Она также не дает информации о механизме процесса, однако способна описывать кинетику реакций, для которых не только поверхностная реакция является лимитирующей стадией процесса [18, 24]. Математическое выражение модели псевдо-второго порядка:
где k2 – константа скорости адсорбции, кг/(моль/мин).
В линейной форме:
Для описания механизма сорбции применяют модели Вебера – Морриса и Бойда. Модель Вебера – Морриса разработана для описания внутренней диффузии и имеет вид [19, 23, 29]:
где βint – коэффициент массопереноса, моль/ (кг×мин1/2); А – константа, связанная с толщиной диффузионного слоя, моль/кг.
Если внутренняя диффузия является единственной лимитирующей стадией процесса, коэффициент А равен нулю. В противном случае внешняя диффузия тоже влияет на скорость сорбционного процесса [29].
Для расчета эффективного коэффициента внутренней диффузии используют уравнение Вермюлена [22]:
где Dint – эффективный коэффициент внутренней диффузии, м2/с; r – средний радиус частиц адсорбента, м; F – соотношение величин адсорбции и предельной адсорбции:
Для описания внешней диффузии используют модель Бойда [29]:
где D – эффективный коэффициент внешней диффузии, м2/с; r – радиус частиц сорбента, м; δ – толщина диффузионного слоя у поверхности сорбента, м; Q – концентрационная константа равновесия; – константа внешней диффузии, мин–1.
В данной работе с целью установления сорбционных свойств и определения возможности применения полученного углеродного материала в качестве сорбента этилового спирта из водных растворов были проведены кинетические исследования сорбции этилового спирта на активированном нефтяном коксе, синтезированном в лаборатории, с удельной площадью поверхности 1200 м2/г; для сравнения выбран гидроантрацит, который широко используется в промышленности.
Экспериментальная часть
Нефтяной кокс был получен из гудрона методом замедленного коксования при температуре 773 К и давлении 1.5 атм. и затем активирован КОН при температуре 1023 К.
Углеродные материалы измельчали до размера частиц не более 125 мкм на шаровой планетарной мельнице Fritsch и просеивали на лабораторном виброгрохоте Retsch AS 200. Полученный порошок сушили в сушильном шкафу Binder в течение 4 ч при температуре 393 К.
Пористую структуру гидроантрацита и активированного нефтяного кокса изучали при помощи Quantachrome NOVA3200e. Перед анализом образцы дегазировали 6 ч при температуре 473 К. Характер функциональных групп на поверхности сорбента изучен методом инфракрасной спектрометрии на Фурье-спектрометре IRAffinity-1 Shimadzu. Радиус частиц углеродных материалов измерен с использованием лазерного анализатора частиц «МикроСайзер – 201С».
Сорбцию этилового спирта из водного раствора на углеродном материале проводили в конических колбах на 50 мл. В колбу наливали 30 мл раствора этанола 30 %, затем добавляли 1 г углеродного материала, закрывали колбу пробкой и ставили в шейкер-инкубатор. Сорбцию проводили при температуре 285–300 К и скорости перемешивания 20–150 об./мин.
Концентрацию спирта в образцах определяли на газовом хроматографе «Хроматэк – Кристалл 5000» по методу внутреннего стандарта. В качестве внутреннего стандарта использовали пропанол-1.
Величину адсорбции рассчитывали по уравнению
где С0 – начальная концентрация адсорбтива, моль/л; V – объем раствора, взятого для сорбции, л; m – масса сорбента, кг.
Энергия активации была рассчитана по уравнению Аррениуса [30–32]:
где D – коэффициент диффузии, м2/с; D0 – предэкспоненциальный множитель, м2/с; Еа – энергия активации, Дж/моль; R – универсальная газовая постоянная, 8.31 Дж/(моль∙K); T – температура, K.
Константу равновесия процесса сорбции этилового спирта на активированном нефтяном коксе и гидроантраците рассчитывали по модели Тёмкина, которая учитывает не только неоднородность поверхности адсорбента, но также и взаимодействие адсорбат – адсорбат, что может иметь место в микропорах сорбента [33, 34]:
где KT и AT – константы Тёмкина, С∞ – равновесная (предельная) концентрация адсорбтива, моль/л.
Коэффициент внешней диффузии рассчитывали по уравнению [31]:
(3)
где и – коэффициенты диффузии спирта (1) в воде (2) и воды в спирте при бесконечном разбавлении, cм2/с; и – молярные объемы спирта и воды соответственно при температуре 293 К, см3/моль; и – поверхностное натяжение спирта и воды, мН/м; и – вязкость спирта и воды, мПа/с; и – мольные доли спирта и воды в растворе соответственно; γ1 – коэффициент активности спирта.
Для воды в качестве растворенного вещества применяют следующие значения для расчетов: ν2 = 37.4 см3/моль и σ2 = 62.6 мН/м [31].
Коэффициенты активности спирта γ1 были определены по модифицированной модели UNIFAC [35, 36], которая хорошо описывает водные растворы спиртов. Расчет проводился в программе [37].
Обсуждение результатов
Структура и состав поверхности углеродных материалов
Так как удельная площадь поверхности оказывает значительное влияние на сорбционные свойства материала, ее значение было определено для исходного гидроантрацита и активированного нефтяного кокса. Полученные значения составили 4.87 и 1218 м2/г соответственно.
Распределение пор по размерам представлено в табл. 1. Гидроантрацит является мезопористым материалом, так как мезопоры занимают около 55% объема всех пор. Активированный нефтяной кокс, напротив, является микропористым материалом (62% микропор).
Таблица 1. Распределение пор по размерам для гидроантрацита и активированного нефтяного кокса,%
Материал | Микропоры | Мезопоры | Макропоры 50–100 нм | |
2–5 нм | 5–50 нм | |||
Активированный кокс | 62.46 | 30.42 | 5.90 | 1.22 |
Гидроантрацит | 35.40 | 19.73 | 35.02 | 9.85 |
Средний размер частиц, измеренный на лазерном анализаторе частиц, составил 6×10–5 м для обоих углеродных материалов.
ИК-спектры углеродных материалов представлены на рис. 1. Полосы поглощения в интервале 3500–3400 см–1 связаны с валентными колебаниями ОН-групп, которые определяют содержание влаги в образце. Пик при 796 см–1 относится к деформационным колебаниям С-Н. Широкий пик при 1400–1160 см–1 отвечает за серосодержащие соединения и деформационные колебания С-Н группы. Широкая сильная полоса при 1030 см–1 для гидроантрацита отвечает колебаниям С-О-С в сложных эфирах. Гидроантрацит, в отличие от активированного кокса, имеет на поверхности кислородные функциональные группы, которые играют важную роль в сорбции полярных веществ [1].
Рис. 1. ИК-спектры гидроантрацита и активированного нефтяного кокса.
Изотермы сорбции этанола на углеродных материалах
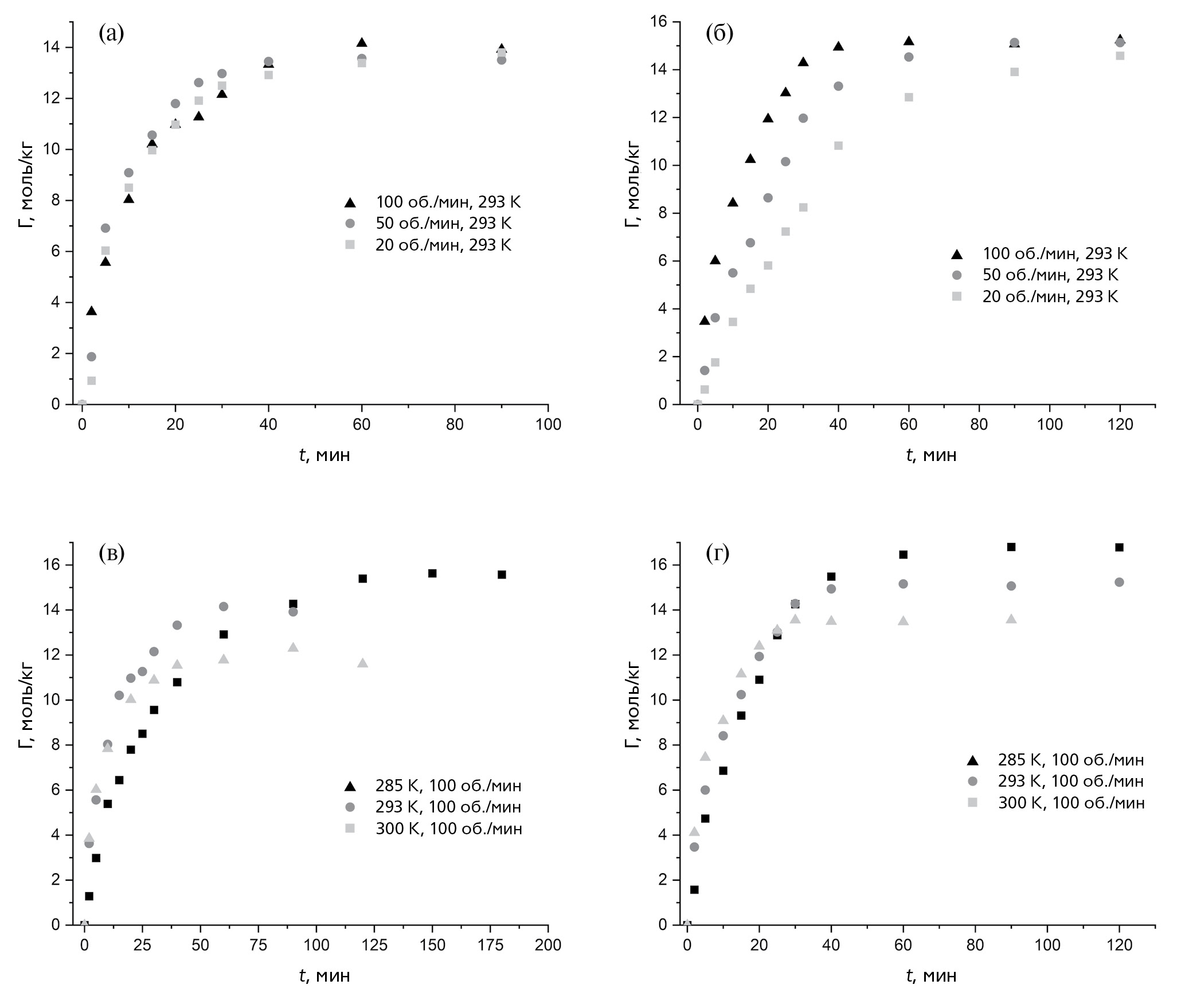
Изотермы сорбции, полученные при различных условиях процесса, представлены на рис. 2.
Рис. 2. Изотермы сорбции этилового спирта на активированном нефтяном коксе при разной скорости перемешивания (а) и температуре (в) и на гидроантраците при разной скорости перемешивания (б) и температуре (г).
Состояние, близкое к равновесию, устанавливается за 40–60 мин для обоих углеродных материалов в зависимости от условий сорбции. Как видно из рис. 2, в и г, предельная адсорбция при росте температуры снижается, что характерно для процессов молекулярной сорбции [38]. Процесс сорбции является экзотермическим.
Увеличение температуры сорбции увеличивает скорость процесса, состояние, близкое к равновесию, устанавливается за меньшее время (рис. 3). Для гидроантрацита скорость процесса монотонно возрастает с увеличением температуры с 285 до 300 К. Однако для активированного нефтяного кокса температурная зависимость наблюдается только при переходе с 285 до 293 К, а затем влияние температуры на скорость процесса становится незначительным. Это может быть связано с развитием обратного процесса – десорбции – при увеличении температуры более 293 К.
Рис. 3. Изотермы сорбции этилового спирта на активированном нефтяном коксе (а) и гидроантраците (б) при разной температуре.
Скорость перемешивания по-разному влияет на углеродные материалы. Для гидроантрацита существует явная зависимость увеличения скорости сорбции с увеличением скорости перемешивания, что может указывать на внешнюю диффузию в качестве лимитирующей стадии процесса. Однако для активированного нефтяного кокса влияние скорости перемешивания на процесс совсем незначительно. Скорость сорбции не зависит от скорости перемешивания после 5 мин и до окончания процесса. Для первой точки изотермы сорбции, соответствующей 2 мин с начала процесса (рис. 2а), наблюдается увеличение скорости процесса с увеличением скорости перемешивания. Это связано со значительным влиянием внешнего массопереноса на скорость процесса в первые минуты сорбции. Однако после 5 мин лимитирующая стадия процесса меняется и скорость процесса перестает зависеть от скорости перемешивания, как это следует из подробного изучения изотермы адсорбции (рис. 4).
Рис. 4. Изотермы сорбции этанола на активированном нефтяном коксе и гидроантраците при 293 К и скорости перемешивания 100 об./мин.
Первые 15 мин процесса кривые сорбции для двух углеродных материалов близки, однако затем наблюдается более высокая скорость сорбции для гидроантрацита. Это может быть связано с изменением лимитирующей стадии процесса для активированного нефтяного кокса, что подтверждается изменением угла наклона сорбционной кривой после 15 мин. Предельные величины сорбции для углеродных материалов близки и равны 15.2±0.4 и 14.2±0.4 моль/кг для гидроантрацита и активированного нефтяного кокса соответственно. Высокое значение сорбции для активированного кокса объясняется большой площадью поверхности, где может происходить процесс сорбции, для гидроантрацита основной вклад вносит наличие поверхностных кислородных функциональных групп. Однако из-за более быстрой кинетики для гидроантрацита его применение для сорбции спирта может быть более предпочтительно.
Кинетический расчет
Для определения лимитирующей стадии, константы скорости, эффективного коэффициента диффузии использовали модели псевдо-первого и псевдо-второго порядков, Вебера – Морриса, Бойда и Вермюлена. Линейная форма моделей представлена на рис. 5.
Рис. 5. Линейные формы изотерм сорбции псевдо-первого (а) и псевдо-второго (б) порядков.
Коэффициент корреляции для активированного кокса равен 0.977 и 0.993 для моделей псевдо-первого и псевдо-второго порядков (табл. 2). Таким образом, модель псевдо-второго порядка лучше описывает сорбционный процесс для активированного кокса. Однако в случае гидроантрацита обе модели хорошо описывают сорбционный процесс с коэффициентами корреляции 0.996 и 0.990 и выбрать наиболее подходящую модель не представляется возможным. Чтобы решить эту проблему, были смоделированы изотермы сорбции в нелинейной форме. Полученные зависимости представлены на рис. 6 в сопоставлении с данными эксперимента.
Таблица 2. Кинетические параметры сорбции по моделям псевдо–первого и псевдо–второго порядков
Модель | Сорбент | Уравнение аппроксимации | R2 | Г∞, моль/кг | k, мин–1 или кг/(моль∙мин) |
Псевдо–первого порядка | Гидроантрацит | ln(Г∞ – Г) = –0.07t + 2.61 | 0.996 | 14.1±0.5 | (7.25±0.23)×10–2 |
Активированный кокс | ln(Г∞ – Г) = –0.06t + 2.40 | 0.977 | 11.0±0.8 | (5.81±0.40)×10–2 | |
Псевдо–второго порядка | Гидроантрацит | 0.990 | 18.9±0.7 | (4.80±0.36)×10–3 | |
Активированный кокс | 0.993 | 15.7±0.5 | (7.45±0.62)×10–3 |
Рис. 6. Модели псевдо-первого и псевдо-второго порядков для активированного кокса (а) и гидроантрацита (б).
Из рис. 6а хорошо видно, что для активированного кокса модель псевдо-первого порядка действительно плохо описывает экспериментальные данные. Для гидроантрацита предпочтение стоит отдать модели псевдо-первого порядка, так как она более сопоставима с данными эксперимента при времени сорбции более 60 мин [39]. Модель псевдо-первого порядка выходит на равновесное состояние после 60 мин, как и экспериментальная изотерма сорбции, однако модель псевдо-второго порядка не достигает равновесных значений даже при времени сорбции 120 мин.
Кинетика процесса сорбции этилового спирта на активированном нефтяном коксе лучше описывается моделью псевдо-второго порядка, что говорит о значительном вкладе в кинетику процесса не только концентрации сорбтива, но и количества доступных адсорбционных центров. Для гидроантрацита кинетика процесса будет зависеть только от концентрации сорбтива, так как данный процесс лучше описывается моделью псевдо-первого порядка. Таким образом, высокая удельная площадь поверхности сорбента вносит существенный вклад в кинетику процесса.
Для определения лимитирующей стадии процесса применяли модели Вебера – Морриса и Вермюлена для внутренней диффузии и Бойда для внешней диффузии. Линейные зависимости представлены на рис. 7.
Рис. 7. Модели Вебера – Морриса (а), Вермюлена (б) и Бойда (в).
Для гидроантрацита модели Бойда и Вебера – Морриса хорошо описывают экспериментальные данные, однако модель Вермюлена не дает линейной зависимости, что может говорить о том, что внутренняя диффузия не является лимитирующей стадией процесса (табл. 3). Данный вывод также подтверждается зависимостью скорости сорбции от скорости перемешивания раствора. Таким образом, внешняя диффузия будет лимитирующей стадией процесса сорбции этанола на гидроантраците.
Таблица 3. Уравнения аппроксимации экспериментальных точек по различным моделям
Модель | Сорбент | Участок прямой | Уравнение аппроксимации | R2 |
Вебера – Морриса | Гидроантрацит | - | Г = 2.63√t | 0.999 |
Активированный кокс | I | Г = 2.58√t | 0.999 | |
II | Г = 1.26√t +5.23 | 0.982 | ||
Вермюлена | Гидроантрацит | - | ln(1/(1-F2)) = 0.05t +0.11 | 0.822 |
Активированный кокс | I | ln(1/(1-F2)) = 0.05t –0.06 | 0.988 | |
II | ln(1/(1-F2)) = 0.08t –1.00 | 0.997 | ||
Бойда | Гидроантрацит | - | ln(1-F) = –0.07t –0.11 | 0.996 |
Активированный кокс | I | ln(1-F) = –0.07·t –0.16 | 0.991 | |
II | ln(1-F) = –0.08·t –0.54 | 0.998 |
Для активированного нефтяного кокса все три модели хорошо описывают процесс сорбции, однако на всех графиках заметно изменение наклона зависимости, что может говорить об изменении лимитирующей стадии процесса [12]. Как уже обсуждалось ранее, в первые 5 мин процесса скорость сорбции определяется внешним массопереносом, затем на участке от 5 до 15 мин как внешняя, так и внутренняя диффузия вносят значительный вклад в общую скорость процесса, с 15 мин до достижения равновесия основной вклад в скорость процесса вносит внутренняя диффузия, хотя внешняя диффузия также продолжает вносить свой вклад в процесс, о чем свидетельствует ненулевой коэффициент А в модели Вебера – Морриса [29].
Таким образом, сорбция этилового спирта на гидроантраците описывается моделью псевдо-первого порядка, а лимитирующей стадией процесса является внешняя диффузия. Для высокопористого активированного нефтяного кокса лимитирующая стадия меняется со временем сорбции, а экспериментальные данные лучше описываются моделью псевдо-второго порядка. При смене лимитирующей стадии сорбции кинетика процесса замедляется и высокопористый нефтяной кокс, несмотря на высокую удельную площадь поверхности, уступает в скорости гидроантрациту.
По модели Бойда был рассчитан коэффициент массопередачи , по модели Вебера–Морриса – константа скорости внутренней диффузии, а по модели Вермюлена – коэффициент внутренней диффузии. Полученные значения представлены в табл. 4. Константы равновесия, рассчитанные по уравнению (2) для гидроантрацита и активированного нефтяного кокса при 293 К, равны 2.44 и 3.09 соответственно. Из коэффициента массопередачи была рассчитана толщина диффузионного слоя δ, для чего по уравнению (3) был рассчитан коэффициент диффузии D.
Таблица 4. Результаты расчетов кинетических параметров системы
Сорбент | Участок прямой | β×106, м/с | D×1010, м2/с | δ, мкм | βint, моль/(кг мин1/2) | Dint×1011, м2/с |
Активированный кокс | I | 4.25±0.23 | 5.87±0.02 | 138±7 | 2.58±0.10 | 1.81±0.11 |
II | 5.20±0.24 | 5.98±0.01 | 113±5 | 1.26±0.10 | 2.89±0.16 | |
Гидроантрацит | - | 3.48±0.10 | 5.87±0.05 | 169±5 | - | - |
Коэффициент массопереноса внутренней диффузии для активированного кокса уменьшается при переходе с участка I на участок II, что подтверждает предыдущий вывод о большем вкладе внутренней диффузии в общую скорость процесса после 15 мин. Коэффициент массопереноса внешней диффузии увеличивается с течением времени, что связано как с увеличением коэффициента внешней диффузии, так и с уменьшением толщины диффузионной пленки. Коэффициенты внешней диффузии для гидроантрацита и активированного нефтяного кокса на участке I равны 5.87×10–10 м2/с. Однако для гидроантрацита толщина диффузионной пленки выше по сравнению с толщиной пленки для активированного кокса и равна 169 мкм, в то время как для кокса она составляет 138 мкм.
Для подтверждения лимитирующей стадии процесса была рассчитана энергия активации по уравнению (1). Коэффициенты диффузии при трех температурах – 285, 293 и 300 К – были рассчитаны по моделям Бойда для гидроантрацита и первого участка сорбционной кривой активированного кокса и по уравнению Вермюлена для второго участка сорбционной кривой активированного кокса. Полученные зависимости lnD от обратной температуры представлены на рис. 8.
Рис. 8. Графическое представление уравнения Аррениуса.
Данные, полученные по уравнению Аррениуса, представлены в табл. 5. Энергия активации для гидроантрацита составила 20.03± ±0.73 кДж/моль, что меньше 40 кДж/моль. Таким образом, диффузия будет лимитирующей стадией процесса [36, 37].
Таблица 5. Уравнение Аррениуса
Сорбент | Т, К | D, м2/с | Уравнение аппроксимации | R2 | Ea, кДж/моль |
Активированный кокс, участок I | 285 | 4.77×10‒6 | lnD = ‒2.25/T ‒ 4.37 | 0.999 | 18.68±3.25 |
293 | 5.87×10‒6 | ||||
300 | 7.08×10‒6 | ||||
Активированный кокс, участок II | 285 | 6.53×10‒12 | lnD = ‒9.47/T + 7.60 | 0.963 | 78.71±34.19 |
293 | 28.90×10‒12 | ||||
300 | 31.21×10‒12 | ||||
Гидроантрацит | 285 | 4.72×10‒6 | lnD = ‒2.41/T – 3.81 | 0.999 | 20.03±5.31 |
293 | 5.87×10‒6 | ||||
300 | 7.21×10‒6 |
Для активированного нефтяного кокса энергия активации на первом участке равна 18.68±0.44 кДж/моль, что также ниже 40 кДж/моль, однако для второго участка энергия активации равна 78,71±15.42 кДж/моль, что выше 40 кДж/моль. Для внутренней диффузии в качестве лимитирующей стадии процесса энергия активации может быть выше 100 кДж/моль [30]. Таким образом, полученные значения энергии активации соответствуют предыдущим выводам о лимитирующей стадии процесса сорбции для каждого из углеродных материалов.
Выводы
Состояние, близкое к равновесию, устанавливается за 40–60 мин для обоих углеродных материалов в зависимости от условий сорбции. Увеличение температуры сорбции увеличивает скорость процесса, но уменьшает предельную сорбционную емкость. Предельные сорбции для углеродных материалов при 293 К сопоставимы и равны 15.2 и 14.2 моль/кг для гидроантрацита и активированного нефтяного кокса соответственно. Меньшее значение предельной сорбции для активированного нефтяного кокса объясняется преобладанием микропор.
Лимитирующей стадией в случае использования в качестве сорбента гидроантрацита является внешняя диффузия. Для активированного кокса лимитирующая стадия изменяется с течением процесса сорбции. В первые 5 мин процесса скорость сорбции определяется внешним массопереносом, затем на участке от 5 до 15 мин как внешняя, так и внутренняя диффузия вносят значительный вклад в общую скорость процесса, с 15 мин до достижения равновесия основной вклад в скорость процесса вносит внутренняя диффузия.
Коэффициенты внешней диффузии для гидроантрацита и активированного нефтяного кокса на участке от 5 до 15 мин равны 5.87×10–10 м2/с. Однако для гидроантрацита толщина диффузионной пленки выше по сравнению с толщиной пленки для активированного кокса и равна 169 мкм, в то время как для кокса она составляет 138 мкм.
Коэффициенты внешней и внутренней диффузии для активированного нефтяного кокса на участке от 5 до 15 мин равны 5.87×10–10 и 1.81×10–11 м2/с соответственно. Для участка с 15 мин до достижения равновесия эти же значения составляют 5.98×10–10 и 2.89×10–11 м2/с. Энергия активации для гидроантрацита составила 20.03 кДж/моль, для активированного нефтяного кокса на первом участке – 18.68, на втором участке – 78.71 кДж/моль.
Активированный нефтяной кокс и гидроантрацит показывают высокие значения сорбции этанола, однако из-за более быстрой кинетики для гидроантрацита его применение для сорбции может быть более предпочтительным. Более того, с экономической точки зрения применение гидроантрацита также является более выгодным, так как его получение обработкой антрацита водяным паром требует меньше материальных и энергетических затрат, чем активация нефтяного кокса КОН при 1023 К.
Работа выполнена в рамках Государственного задания Минобрнауки РФ по НИР № 0792-2020-0010 «Развитие научных основ инновационных технологий переработки тяжелого углеводородного сырья в экологически чистые моторные топлива и новые углеродные материалы с регулируемой макро- и микроструктурной организацией мезофазы».
About the authors
А. А. Царева
Санкт-Петербургский горный университет
Author for correspondence.
Email: kudinovaancka@yandex.ru
Russian Federation, Санкт-Петербург
Т. Е. Литвинова
Санкт-Петербургский горный университет
Email: kudinovaancka@yandex.ru
Russian Federation, Санкт-Петербург
Д. И. Гапанюк
Санкт-Петербургский горный университет
Email: kudinovaancka@yandex.ru
Russian Federation, Санкт-Петербург
Л. С. Роде
Санкт-Петербургский горный университет
Email: kudinovaancka@yandex.ru
Russian Federation, Санкт-Петербург
М. Е. Полторацкая
Санкт-Петербургский горный университет
Email: kudinovaancka@yandex.ru
Russian Federation, Санкт-Петербург
References
- Bandosz T.J., Jagiello J., Schwarz J. et al. // Langmuir. 1996. V. 12. P. 6480.
- Baran P., Jodlowski G., Krzyżanowski A. et al. // Geology, Geophysics and Environment. 2014. V. 40. № 3. P. 261.
- Lebedev A.B., Utkov V.A., Khalifa A.A. // J. of Mining Institute. 2019. Vol. 237. P. 292.
- Behera S.K., Kim J.H., Guo X. et al. // J. of Hazardous Materials. 2008. V. 153. № 3. P. 1207.
- Delgado J.A., Águeda V.I., Uguina M.A. et al. // Separation and Purification Technology. 2015. V. 149. P. 370.
- Cheremisina O.V., Cheremisina E., Ponomareva M.A. et al. // J. of Mining Institute. 2020. V. 244. P. 474.
- Omnia A., Mohamed S. // Turkish Journal of Chemistry. 2017. V. 41. № 6. P. 967.
- Oguz E.F., Kopac T. // Intern. J. of Chemical Reactor Engineering. 2019. V. 17. № 5. P. 1.
- Li Z., Wu L., Liu H. et al. // Chemical Engineering Journal. 2013. V. 228. P. 925.
- Allen S.J., Gan Q., Matthews R. et al. // Bioresource Technology. 2003. V. 88. P. 143.
- Zubkova O.S., Pyagay I.N., Pankratieva K.A. et al. // J. of Mining Institute. 2023. V. 259. P. 21.
- Wang S., Li H. // Dyes and Pigments. 2007. V. 72. № 3. P. 308.
- Silvestre-Albero A., Silvestre-Albero J., Sepulveda-Escribano A. et al. // Microporous and Mesoporous Materials. 2009. V. 120. № 1–2. P. 62.
- Sergeev V.V., Cheremisina O.V., Fedorov A.T. et al. // ACS Omega. 2022. V. 7. № 3. P. 3016.
- Avramenko T.G., Khutoryanskaya N.V., Mikhalyuk O.V. et al. // Surface Engineering and Applied Electrochemistry. 2016. V. 52. № 4. P. 313.
- Shimizu K., Takanohashi T., Iino M. // Energy and Fuels. 1998. V. 12. № 5. P. 891.
- Sergeev V., Balandinsky D., Romanov G. et al. // Arab J. of Basic and Applied Sciences. 2023. V. 30. № 1. P. 299.
- Musah M., Azeh Y., Mathew J. et al. // Caliphate Journal of Science and Technology. 2022. V. 4. № 1. P. 20.
- Hajilari M., Shariati A., Khosravi-Nikou M. // Heat and Mass Transfer. 2019. V. 55. № 8. P. 2165.
- Gendler S.G., Fazylov I.R., Abashin A.N. // MIAB. Mining Informational and Analytical Bulletin. 2022. V. 6. № 1. P. 248.
- Takanohashi T., Terao Y., Iino M. // Energy and Fuels. 2000. V. 14. № 4. P. 915.
- Lei G., Wang L., Liu X. et al. // J. of Chemical and Engineering Data. 2016. V. 61. № 7. P. 2499.
- Largitte L., Pasquier R. // Chemical Engineering Research and Design. 2016. V. 109. P. 495.
- Plazinski W., Rudzinski W., Plazinska A. // Advances in Colloid and Interface Science. 2009. V. 152. P. 2.
- Marczewski A.W. // Langmuir. 2010. V. 26. № 19. P. 15229.
- Kurdiumov V.R., Timofeev K.L., Maltsev G.I. et al. // J. of Mining Institute. 2020. V. 242. № 2. P. 209.
- Abdehagh N., Tezel F.H., Thibault J. // Adsorption. 2013. V. 19. № 6. P. 1263.
- Pal A., Kil H.S., Mitra S. et al. // Applied Thermal Engineering. 2017. V. 122. P. 389.
- Qiu H., Lv L., Pan B.C. et al. // J. of Zhejiang University: Science A. 2009. V. 10. № 5. P. 716.
- Inglezakis V.J., Zorpas A.A. // Desalination and Water Treatment. 2012. V. 39. P. 149.
- El-Sharkawy I.I., Uddin K., Miyazaki T. et al. // Intern. J. of Heat and Mass Transfer. 2014. V. 73. P. 445.
- Sarkar M., Acharya P.K., Bhattacharya B. // J. of Colloid and Interface Science. 2003. V. 266. № 1. P. 28.
- Cheremisina O.V., Ponomareva M.A., Bolotov V.A. et al. // ACS Omega. 2022. V. 7. № 3. P. 3007.
- Foo K.Y., Hameed B.H. // Chemical Engineering J. 2010. V. 156. P. 2.
- Weidlich U., Gmehling J. // Industrial and Engineering Chemistry Research. 1987. V. 26. № 7. P. 1372.
- Kosolapova S.M., Smal M.S., Rudko V.A. et al. // Processes. MDPI. 2023. V. 11. № 5.
- Efimov I. Pytherm: An Open-Source Scientific Tool for Thermodynamic Modeling. 2023.
- Madero-Castro R.M., Vicent-Luna J.M., Peng X. et al. // ACS Sustainable Chemistry and Engineering. 2022. V. 10. P.6509.
- Simonin J.P. // Chemical Engineering Journal. 2016. V. 300. P. 254.
Supplementary files










