Кавитационная активация окислительной деструкции цефтриаксона в водных растворах
- Авторлар: Асеев Д.Г.1, Сизых М.Р.1, Батоева А.А.1
-
Мекемелер:
- Байкальский институт природопользования CO РАН
- Шығарылым: Том 98, № 2 (2024)
- Беттер: 74-83
- Бөлім: PHYSICAL CHEMISTRY OF SOLUTIONS
- ##submission.dateSubmitted##: 22.09.2024
- ##submission.dateAccepted##: 22.09.2024
- ##submission.datePublished##: 23.09.2024
- URL: https://bakhtiniada.ru/0044-4537/article/view/264412
- DOI: https://doi.org/10.31857/S0044453724020076
- EDN: https://elibrary.ru/RDHEIQ
- ID: 264412
Дәйексөз келтіру
Толық мәтін
Аннотация
Впервые исследованы основные закономерности процессов деструкции цефалоспориновых антибиотиков (на примере цефтриаксона) персульфатом (ПС) при совместном воздействии низконапорной гидродинамической кавитации (ГК) и высокочастотного ультразвука мегагерцового диапазона (АК). Дана сравнительная оценка индивидуальных, комбинированных и гибридных окислительных систем. Эффективность деструкции цефтриаксона (ЦЕФ) возрастает в ряду: ГК < АК < АК+ГК (ГАК) < АК/ПС < ГК/ПС < ГАК/ПС < ГАК/ПС/Fe2+. Только в гибридной системе ГАК/ПС/Fe2+ достигается глубокое окисление ЦЕФ (93 %), при давлении на входе в кавитационное устройство 5 атм. Экспериментально, методом ингибирования радикальных реакций доказано, что в окислении цефтриаксона в гибридной системе ГАК/ПС/Fe2+ принимают участие как SO4•--, так и HO•-радикалы. Рассмотрено влияние неорганических анионов (SO42-, Cl- и HCO3-) на процесс окислительной деструкции ЦЕФ. Степени мешающего влияния на скорость реакций окисления целевого соединения снижается в ряду: HCO3->>SO42->Cl-. Данное исследование демонстрирует большой потенциал гибридной системы ГАК/ПС/Fe2+ для эффективной деструкции биорезистентных органических загрязняющих веществ.
Толық мәтін
В течение последнего десятилетия глобальная проблема растущего неконтролируемого присутствия остатков лекарственных средств и их метаболитов в окружающей среде привлекает внимание многих исследователей [1, 2]. Среди них особое место занимают антибиотики, так как, попадая в окружающую среду, они потенциально могут способствовать развитию резистентности у патогенных микроорганизмов, а это является приоритетной проблемой в современном здравоохранении, поскольку приводит к росту заболеваемости и смертности от инфекций, а также значительным экономическим потерям [3–5]. Неизмененные остатки антибиотиков и их метаболиты попадают в окружающую среду вследствие физиологической экскреции людей, животных и в составе бытового мусора. За годы мировой пандемии COVID-19 существенно увеличились объемы использования цефалоспориновых антибиотиков. Так, по данным Захаренкова И.А. и др. [6], с 2017 по 2021 год амбулаторное потребление цефтриаксона в России возросло на 75 %. В неочищенных сточных водах концентрация цефтриаксона (ЦЕФ) достигает 334 мкг л-1, в подземных водах – 59.5 мкг л-1[7]. Обнаружение цефалоспориновых антибиотиков в окружающей среде считается опасным сигналом, так как они долгое время могут оставаться биологически активными в почвенных и водных экосистемах, что приводит к развитию у микроорганизмов резистентности [8], а длительное употребление питьевой воды, содержащей цефтриаксон, способно вызвать ряд тяжелых заболеваний у человека, сопровождающихся желтухой, эозинофилией, агранулоцитозом и т.п. [9].
Известно, что большинство антибиотиков и их метаболитов являются биорезистентными и поэтому практически не удаляются традиционными системами биологической очистки сточных вод. В связи с этим возникает острая необходимость в разработке высокоэффективных инновационных методов, позволяющих минимизировать поступление антибиотиков в окружающую среду.
Наиболее перспективными являются усовершенствованные комбинированные процессы (АОРs – Advanced Oxidation Processes), в которых в качестве окислителей выступают высокореакционные активные формы кислорода (АФК) – гидроксильные радикалы, сульфатные и супероксидные анион-радикалы, синглетный кислород и др. [10–12]. Анализ публикаций показал, что максимальной эффективности удаления акватоксикантов и минерализации интермедиатов позволяют добиться гибридные методы, сочетающие химическое и физическое воздействие [13–15]. При этом методы с использованием эффектов кавитации в сочетании с известными АОРs обеспечивают меньшую концентрацию окислителя, снижение эксплуатационных затрат, а также сокращение продолжительности обработки [16–18]. Интенсификация процессов при кавитационном воздействии происходит за счет образования дополнительных АФК, что способствует окислительной деструкции биорезистентных загрязняющих веществ. Кроме того, кавитация способствует повышению интенсивности массообменных процессов путем создания нестационарной гидродинамической обстановки [16].
Акустическая кавитация (АК) и гидродинамическая кавитация (ГК) – два широко используемых способа создания кавитационных условий. АК создается с помощью ультразвука, при этом большое значение имеет его акустическая частота. Так, экспериментально установлено, что более высокие скорости деструкции микрополлютантов и инактивации микроорганизмов, а как следствие – энергоэффективность процессов, достигаются при высокочастотном ультразвуковом воздействии [11, 19, 20]. ГК возникает в результате изменения давления во время прохождения жидкости через кавитирующее устройство. Образование кавитации происходит при сужении потока жидкости, когда статическое давление становится ниже давления пара. После восстановления давления образовавшиеся полости разрушаются [21, 22]. Термодинамические переменные состояния, такие как давление и температура, а также тип кавитационного генератора, геометрия реактора, природа растворенных газов и соединений, подлежащих деструкции, оказывают большое влияние на динамику пузырьков, и их взаимосвязь является сложной и полностью не изученной [23]. Необходимо отметить, что важными преимуществами использования ГК являются низкая стоимость оборудования, простота масштабирования и возможность комбинирования с другими процессами [24–26].
Большое внимание в настоящее время уделяется SR-AOPs (sulfate radical-based AOPs) методам, основанным на использовании в качестве прекурсоров АФК персульфатов, так как формирующиеся при этом в растворе сульфатные анион-радикалы обладают высокой окислительной способностью, более длительным временем существования в растворе и большей селективностью [27, 28]. Применение кавитации в SR-AOPs позволяет повысить эффективность окислительной деструкции органических соединений за счет увеличения генерации АФК, включая гидроксильные и сульфатные радикалы [29]. Экспериментально доказана возможность применения АК или ГК в SR-AOPs для деструкции антибиотиков [30–32].
Сочетание ГК и АК в одной реакторной системе (последовательно или одновременно) – «гидродинамическая/акустическая кавитация» (ГАК), привлекает внимание исследователей из-за потенциальной возможности использования преимуществ каждого метода генерации для достижения более высокой степени деструкции загрязняющих веществ в процессе обработки [33–35]. При этом необходимо отметить, что во всех проведенных ранее исследованиях в комбинированной системе ГАК использовался низкочастотный ультразвук (< 100 кГц).
Таким образом, изучение возможности применения сочетания низконапорной гидродинамической и высокочастотной акустической кавитации для активации процесса окислительной деструкции цефалоспориновых антибиотиков персульфатом представляет научный и практический интерес и выполняется впервые.
Настоящая работа посвящена изучению закономерностей процессов деструкции цефалоспориновых антибиотиков (на примере цефтриаксона) персульфатом при совместном воздействии низконапорной гидродинамической кавитации и высокочастотного ультразвука мегагерцового диапазона (1.7 МГц).
ЭКСПЕРИМЕНТАЛЬНАЯ ЧАСТЬ
Исследования проводили на растворах антибиотика цефтриаксона (C18H18N8O7S3, 554.58 г моль-1, ПАО «Биосинтез» Россия) с концентрацией 10–50 мкМ, приготовленных на дистиллированной воде (рН 5.6±0.2, УЭП 2 мкСм/см).
Эксперименты проводили на лабораторной установке (рис. 1), которая включала в себя: вертикальный центробежный многоступенчатый насос Grundfos CRNE-15 с частотным преобразователем (1), кавитационную камеру (2), генераторы акустической кавитации (3), термостат (4) и манометр. В кавитационной камере (рис. 1б) расположены форсунка из титана со внутренним диаметром 10 мм, диаметром выходного отверстия 4 мм, высотой 30 мм (2.1), а также ультразвуковые пьезокерамические преобразователи (2.2), подключенные к акустическим генераторам 1.7 МГц (3), расстояние между пьезоэлементами – 10 мм. Общий объем обрабатываемого раствора составлял 6.4 л. Все эксперименты проводились в термостатированных условиях, при температуре 25°С. Основные элементы установки, контактирующие с обрабатываемым раствором, изготовлены из нержавеющей стали. Потребление электроэнергии контролировали с помощью энергомонитора (Voltcraft Energie Monitor 3000, Conrad Electronic SE, Германия, точность: ±1%). Потребляемая мощность для генерирования АК составляла 50 Вт, а для ГК при давлении Рвх=5 атм – 400 Вт.
Рис. 1. Схема лабораторной установки (а) и кавитационной камеры (б): 1 – насос, 2 – кавитационная камера, 2.1 – форсунка, 2.2 – пьезоэлементы, 2.3 – кавитационное облако, 3 – генераторы высокой частоты 1.7 МГц, 4 – термостат.
В работе использовали сульфат железа (II) (100%, Scharlab, Испания), пероксидисульфат калия, сульфат натрия, хлорид натрия, карбонат натрия, метиловый спирт, трет-бутиловый спирт («ч.д.а.», ООО «Химреактивснаб», Россия). Для измерения рН применяли портативный прибор Multi 3410 с комбинированным цифровым электродом SenTix®940 (WTW, Германия).
Изменение концентрации ЦЕФ в растворе контролировали методом ВЭЖХ (Agilent 1260 Infinity с диодно-матричным УФ-детектором, колонка Zorbax SB-C18 4.6x150 мм). Объем пробы – 95 мкл, температура – 25°С, элюент – ацетонитрил:фосфорная кислота (0.1%) (30:70). Скорость элюирования – 0.3 мл/мин. Перед анализом пробы доводили до рН 7–8 0.1% раствором NaOH и фильтровали через мембранные фильтры ФМПТФЭ-0.45 мкм (ЗАО «Владисарт», Россия).
Эффективность процесса окислительной деструкции ЦЕФ (E) оценивали по изменению его концентрации в обрабатываемом растворе в момент времени τ, по формуле:
(1)
где С0 и Сt – исходная и в момент времени τ (мин) концентрации ЦЕФ.
Все эксперименты проводились как минимум в двух повторностях.
ОБСУЖДЕНИЕ РЕЗУЛЬТАТОВ
Проведена сравнительная оценка кинетики окисления ЦЕФ в индивидуальных системах AК и ГК, комбинированных системах AК/ПС, ГК/ПС, ГАК (совместное воздействие АК и ГК в одном реакторе) и гибридной окислительной системе ГАК/ПС (рис. 2).
Рис. 2. Деструкция ЦЕФ в различных окислительных системах: [ЦЕФ] = 36 мкМ, [ПС] = 2 мМ, Pвх=5.0 атм.
Скорость реакции окисления ЦЕФ в комбинированной системе ГАК (k = 3.02×10-4 мин-1) возрастает в 1.94 и 2.93 раза по сравнению с индивидуальными процессами в АК и ГК соответственно. При добавлении персульфата (2 мМ), в гибридной окислительной системе ГАК/ПС наблюдается ускорение процесса деструкции ЦЕФ по сравнению с ГАК в 2.94 раза (k = 8.88×10-4 мин-1).
В гибридной окислительной системе ГАК/ПС в условиях неоднородного гидродинамического поля кавитации, в котором образуется большое количество кавитирующих микропузырьков, попадающих в область ультразвукового воздействия (1.7 МГц), увеличивается количество их колебаний, что, в конечном итоге, приводит к образованию множества АФК, реагирующих с ЦЕФ [36, 37]:
(2)
(3)
Эффективность процесса окислительной деструкции ЦЕФ возрастает в ряду: ГК < АК < ГАК < АК/ПС < ГК/ПС < ГАК/ПС.
Полученные результаты свидетельствуют о целесообразности использования ГАК-систем для кавитационной активации окислительных процессов в SR-AOPs. В то же время необходимо отметить, что при данных экспериментальных условиях процессы окисления ЦЕФ протекают достаточно медленно, эффективность деструкции не превышает 20 % после 240 минут обработки.
Для интенсификации процесса окисления ЦЕФ далее рассмотрена гибридная фентон-подобная окислительная система ГАК/ПС/Fe2+, в которой одновременно возможно реализовать условия как для кавитационной активации ПС (3), так и его активации ионами Fe2+[38]:
(4)
В присутствии ионов Fe2+ в гибридной фентон-подобной окислительной системе ГАК/ПС/Fe2+ наблюдается значительный рост скорости реакций окисления ЦЕФ, через 240 мин обработки достигает 81% ([ПС]/[ЦЕФ]=10:1) (табл.1). Полученные результаты хорошо согласуются с выводами авторов работы [39] о том, что сочетание нескольких видов активации способствует более быстрому и эффективному образованию АФК из персульфата.
Таблица 1. Окислительная деструкция ЦЕФ в гибридной системе ГАК/ПС/Fe2+, Рвх = 5 атм, t=120 мин
[ЦЕФ], мкM | [Fe2+], мкM | [ПС], мкM | [ПС]/[ЦЕФ] | Деструкция ЦЕФ | |
W0, мкM мин-1 | E, % | ||||
36 | 100 | 180 | 5 | 2.09 | 67 |
36 | 100 | 360 | 10 | 3.74 | 78 |
36 | 100 | 540 | 15 | 5.09 | 80 |
36 | 100 | 720 | 20 | 5.27 | 86 |
36 | 100 | 1082 | 30 | 6.15 | 93 |
36 | 50 | 360 | 10 | 2.79 | 67 |
36 | 150 | 360 | 10 | 5.33 | 79 |
10 | 100 | 100 | 10 | 1.15 | 68 |
20 | 100 | 200 | 10 | 2.35 | 74 |
50 | 100 | 500 | 10 | 5.06 | 83 |
Оптимизация содержания Fe2+ крайне важна при реализации фентон-подобных процессов, поскольку избыточное количество железа может привести к уменьшению эффективности деструкции за счет реакций нецелевого расходования радикалов. Так, например, Оздемир и др. [40] установили, что при окислении красителя реактивного желтого 145 в соно-фентон-системе максимальное снижение ХПК и цветности раствора достигалось при концентрации Fe2+ 20 мг/л, а дальнейшее увеличение Fe2+ привело к снижению эффективности процесса.
Экспериментально установлено, что концентрация Fe2+ оказывает значительное влияние на степень деструкции ЦЕФ в системе ГАК/ПС/Fe2+ (табл. 1, рис. 3). При увеличении концентрации Fe2+ с 50 мкМ до 100 мкМ начальная скорость реакции окисления ЦЕФ возросла на 34 %, а степень деструкции – с 67 до 78 % после двухчасовой обработки. Дальнейшее увеличение концентрации ионов железа до 150 мкМ приводит к увеличению начальной скорости реакции окисления ЦЕФ, но не оказывает существенного влияния на эффективность процесса (после 120 мин обработки), поэтому в наших дальнейших исследованиях была принята концентрация 100 мкМ.
Рис. 3. Влияние концентрации Fe2+ на деструкцию ЦЕФ в гибридной системе ГАК/ПС/Fe2+: [ЦЕФ] = 36 мкM, [ПС] = 360 мкM, Рвх = 5 атм.
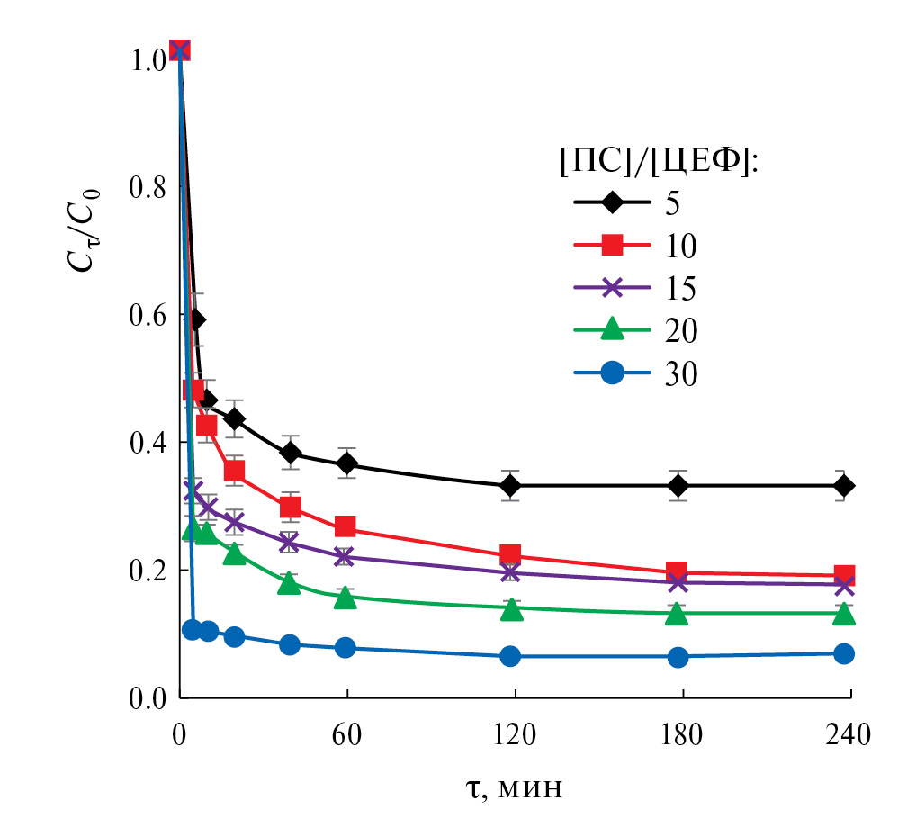
При увеличении концентрации персульфата в диапазоне мольных соотношений [окислитель]:[субстрат] от 5:1 до 30:1 начальная скорость реакции окисления ЦЕФ в системе ГАК/ПС/Fe2+ увеличилась в 2.9 раза (табл. 1). При мольном соотношении [ПС]:[ЦЕФ]=30:1, что составляет 46.5% от стехиометрически необходимого количества окислителя, рассчитанного по уравнению реакции окисления ЦЕФ (5), эффективность процесса деструкции составила 89 % уже через 5 мин обработки (рис. 4):
(5)
Рис. 4. Влияние концентрации персульфата на деструкцию ЦЕФ в гибридной системе ГАК/ПС/Fe2+: [ЦЕФ] = 36 мкM, [Fe2+] = 100 мкM, Рвх = 5 атм.
Изучено влияние исходной концентрации цефтриаксона на кинетику его окисления в гибридной системе ГАК/ ПС /Fe2+. Экспериментально установлено, что с увеличением концентрации ЦЕФ в диапазоне от 10 мкМ до 50 мкМ начальная скорость реакции окисления ЦЕФ растет линейно (рис. 5, табл. 1). Полученные результаты хорошо согласуются с исследованиями по окислению флуоксетина и родамина Б в условиях АК (600 кГц, 60 Вт) и ГК (4 атм) [41, 42], в которых также установлено, что при малых концентрациях скорость окисления целевых соединений линейно зависит от их концентрации.
Рис. 5. Влияние исходной концентрации цефтриаксона на его деструкцию в гибридной системе ГАК/ПС/Fe2+: [ПС]=360 мкM, [Fe2+]=100 мкM, Рвх = 5 атм.
В гидродинамической кавитационной системе давление на входе в кавитирующее устройство является важным рабочим параметром, поскольку оно определяет количество и интенсивность кавитационных эффектов. С увеличением давления на входе возрастает скорость потока жидкости, что приводит к увеличению количества полостей в единице объема и уменьшению кавитационного числа [43]. При этом установлено, что оптимальное давление на входе в кавитационное устройство, при котором удается избежать подавления кавитации, зависит от химической природы акватоксикантов, типа кавитирующего устройства и его геометрии [44].
Экспериментально установлено, что давление на входе в кавитационное устройство является существенным фактором в процессе деструкции ЦЕФ в гибридной окислительной системе ГАК/ПС/Fe2+. С увеличением входного давления возрастает скорость реакций окисления ЦЕФ (рис. 6). При этом максимальная эффективность деструкции ЦЕФ (81%) достигалась при 5 атм. Полученные результаты хорошо согласуются с данными исследований Иоши Р.К. и Гогейта П.Р.[45], Сахарана В.К. и др. [46], в которых установлено, что в условиях гидродинамической кавитации оптимальные условия для деструкции дихлофоса и красителя реактивного красного 120 реализуются при давлении 5 атм и дальнейшее его увеличение ингибирует окислительный процесс.
Рис. 6. Влияние входного давления на деструкцию цефтриаксона в гибридной системе ГАК/ПС/Fe2+: [ЦЕФ] = 36 мкM, [ПС] = 360 мкM, [Fe2+] = 100 мкM.
Для выявления роли •OH и SO4•− – радикалов в процессах деструкции ЦЕФ в гибридной окислительной системе ГАК/ПС/Fe2+ – были проведены эксперименты с добавлением метилового и трет-бутилового спиртов – ингибиторов радикальных реакций. Анализируя константы взаимодействия АФК со спиртами и β-лактамными антибиотиками цефалоспоринового ряда (табл. 2), можно заключить, что метанол будет взаимодействовать как с •OH, так и с SO4•− радикалами, тогда как трет-бутанол – преимущественно с •OH. Учитывая высокие скорости реакции взаимодействия АФК с целевым соединением, эксперименты проводили при мольном соотношении [спирт]:[персульфат]= 500:1.
Таблица 2. Константы скорости реакции метанола, трет-бутанола и β-лактамных антибиотиков цефалоспоринового ряда с АФК
Вещества | k (•OH), M-1c-1 | k (SO4• −), M-1c-1 |
Метанол | 9.7×108 [47] | 1.1×107 [47] |
Трет-бутанол | 6.0×108 [47] | (4.0-9.0) ×105 [47] |
Антибиотики цефалоспоринового ряда | (5.37-9.8) ×109 [36] | (1.24-3.5)×109 [37] |
В присутствии спиртов наблюдается ингибирование реакции окисления ЦЕФ. При добавлении метанола начальная скорость реакции окисления ЦЕФ снизилась в 1.7 раза (с 3.74 мкМ мин-1 до 2.16 мкМ мин-1), а эффективность деструкции – на 9 %. В присутствии трет-бутанола начальная скорость реакции окисления ЦЕФ снизилась меньше – в 1.3 раза (до 2.88 мкМ мин-1), а эффективность деструкции – на 5 %. Результаты экспериментов доказывают, что при окислительной деструкции ЦЕФ в рассматриваемой гибридной системе ГАК/ПС/Fe2+ принимают участие генерируемые in situ АФК, как •OH, так и SO4•−.
Взаимодействие неорганических анионов, присутствующих в реальных водных матрицах, с АФК может привести к изменению типа и концентрации радикалов и, как следствие, существенно влиять на эффективность удаления органических загрязняющих веществ. Влияние неорганических анионов на эффективность окислительной деструкции является сложным и зависит от свойств целевых соединений, анионов, окислителя и их концентрации [48, 49].
Экспериментально установлено, что при добавлении гидрокарбонатов (10 мМ) деструкции ЦЕФ в системе ГАК/ПС/Fe2+ практически не происходит, даже после 240 мин обработки (рис. 7). При добавлении HCO3- рН раствора становится слабощелочной (рН~8), что ведет к гидролизу железа, выпадению его в осадок и выведению из реакционной среды. Кроме того, гидрокарбонаты реагируют с АФК с высокой скоростью (k•OH = 8.5×106 M-1с -1, kSO₄• −= 1.6×106 M-1с -1 [49–51]) и могут конкурировать с целевым соединением.
Рис. 7. Влияние неорганических анионов на деструкцию ЦЕФ в гибридной системе ГАК/ПС/Fe2+: [ЦЕФ] = 36 мкM, [ПС] = 360 мкM, [Fe2+] = 100 мкM, [Cl-] = 10 мM, [SO42-] = 10 мM, [HCO3-] = 10 мM, P = 5 атм.
Добавление сульфатов и хлоридов в количестве 10 мМ ингибирует процесс окисления ЦЕФ (рис. 7), эффективность его деструкции снижается на 14.8 % и 8.6 % соответственно. Аналогичное влияние сульфатов и хлоридов было установлено и авторами других работ при окислении бисфенола А персульфатом, активированным ультразвуком или солнечным светом [52, 53]. При этом предполагают, что сульфаты могут образовывать аквакомплексы с Fe2+ и Fe3+, что снижает количество свободных ионов железа в растворе, способных участвовать в активации персульфата [54, 55]:
(6)
(7)
Хлориды реагируют с АФК с высокой скоростью (k•OH =4.3×109 M-1 с -1, kSO4•− =3.1×108 M-1с-1 [49]), в результате в растворе формируются хлор-содержащие радикалы (Cl·, Cl2·, ClO· и др.), причем преимущественно в кислой и слабокислой среде обнаруживают Cl2· , окислительный потенциал которого ниже (2.0 В [49]), чем у •OH (2.8 В) и SO4• − (2.5–3.1 В[56]).
Таким образом, впервые исследованы основные закономерности процессов деструкции цефалоспориновых антибиотиков (на примере цефтриаксона) персульфатом при совместном воздействии низконапорной гидродинамической кавитации и высокочастотного ультразвука мегагерцового диапазона (1.7 МГц). Дана сравнительная оценка рассмотренных окислительных систем. Эффективность деструкции целевого соединения возрастает в ряду: ГК<АК<ГАК<АК/ПС <ГК/ПС<ГАК/ПС<ГАК/ПС/Fe2+. Максимальная степень деструкции ЦЕФ (93 %) достигается в системе ГАК/ПС/Fe2+ при давлении на входе в кавитационное устройство 5 атм, концентрации Fe2+ 100 мкМ и при мольном соотношении [ПС]:[ЦЕФ]=30:1, что составляет 46.5% от стехиометрически необходимого количества окислителя, рассчитанного по уравнению реакции окисления ЦЕФ.
Полученные результаты свидетельствуют о перспективности использования гибридной системы ГАК для деструкции антибиотиков цефалоспоринового ряда в гибридных железо-персульфатных системах.
Исследование выполнено за счет гранта Российского научного фонда № 22–29–00406 (https://rscf.ru/project/22–29–00406/), с использованием оборудования ЦКП БИП СО РАН (Улан-Удэ, Россия).
Авторлар туралы
Д. Асеев
Байкальский институт природопользования CO РАН
Хат алмасуға жауапты Автор.
Email: aseev.denis.g@gmail.com
Ресей, Улан-Удэ
М. Сизых
Байкальский институт природопользования CO РАН
Email: aseev.denis.g@gmail.com
Ресей, Улан-Удэ
А. Батоева
Байкальский институт природопользования CO РАН
Email: aseev.denis.g@gmail.com
Ресей, Улан-Удэ
Әдебиет тізімі
- Гетьман М.А., Наркевич И.А. // Ремедиум. 2013. С. 50.
- Yu X., Tang X., Zuo J. et al. // Sci. Total Environ. 2016. V. 569–570. P. 23. DOI: https://doi.org/10.1016/ j.scitotenv.2016.06.113.
- Kumar M., Jaiswal S., Sodhi K.K. et al. // Environ. Int. 2019. V. 124. P. 448. DOI: https://doi.org/10.1016/ j.envint.2018.12.065.
- Dadgostar P. // Infect. Drug Resist. 2019. V. 12. P. 3903. DOI: /10.2147/IDR.S234610.
- Hofer U. // Nat. Rev. Microbiol. 2019. V. 17. P. 3. doi: 10.1038/s41579-018-0125-x.
- Захаренков И.А., Рачина С.А., Козлов Р.С. и др. // Клиническая микробиология и антимикробная химиотерапия. 2022. V. 24. P. 220. doi: 10.36488/cmac.2022.3.220-225.
- Ivetić T.B., Finčur N.L., Šojić Merkulov D.V. et al. // Catalysts. 2021. V. 11. doi: 10.3390/catal11091054.
- Qian Y., Liu X., Li K. et al. // Chem. Eng. J. 2020. V. 384. P. 123332. DOI: https://doi.org/10.1016/ j.cej.2019.123332.
- Zhao Y., Liang X., Wang Y. et al. // J. Colloid Interface Sci. 2018. V. 523. P. 7. DOI: https://doi.org/10.1016/ j.jcis.2018.03.078.
- Dewil R., Mantzavinos D., Poulios I. et al. // J. Environ. Manage. 2017. V. 195. P. 93. DOI: 10.1016/ j.jenvman.2017.04.010.
- Wang B., Wang Y. // Sci. Total Environ. 2022. V. 831. P. 154906. DOI: https://doi.org/10.1016/ j.scitotenv.2022.154906.
- Lin W., Liu X., Ding A. et al. // J. Water Process Eng. 2022. V. 45. P. 102468. DOI: https://doi.org/10.1016/ j.jwpe.2021.102468.
- Li S., Wu Y., Zheng H. et al. // Chemosphere. 2023. V. 311. P. 136977. DOI: https://doi.org/10.1016/ j.chemosphere.2022.136977.
- Kulišťáková A. // J. Water Process Eng. 2023. V. 53. P. 103727. DOI: https://doi.org/10.1016/ j.jwpe.2023.103727.
- Tanveer R., Yasar A., Nizami A.-S. et al. // J. Clean. Prod. 2023. V. 383. P. 135366. DOI: https://doi.org/10.1016/j.jclepro.2022.135366.
- Mohod A.V, Teixeira A.C.S.C., Bagal M.V. et al. // J. Environ. Chem. Eng. 2023. V. 11. P. 109773. DOI: https://doi.org/10.1016/j.jece.2023.109773.
- Raut-Jadhav S., Badve M.P., Pinjari D.V. et al. // Chem. Eng. J. 2016. V. 295. P. 326. DOI: https://doi.org/10.1016/j.cej.2016.03.019.
- Wang L., Luo D., Hamdaoui O. et al. // Sci. Total Environ. 2023. V. 876. P. 162551. DOI: https://doi.org/10.1016/j.scitotenv.2023.162551.
- Aseev D.G., Batoeva A.A. // Russ. J. Phys. Chem. A. 2015. V. 89. P. 1585. doi: 10.1134/S0036024415090046.
- Garkusheva N., Tsenter I., Kobunova E. et al. // Water. 2022. V. 14. doi: 10.3390/w14172604.
- Sampath Kumar K., Moholkar V.S. // Chem. Eng. Sci. 2007. V. 62. P. 2698. DOI: https://doi.org/10.1016/ j.ces.2007.02.010.
- Suslick K.S., McNamara W.B., Didenko Y. Hot Spot Conditions during Multi-Bubble Cavitation BT in Sonochemistry and Sonoluminescence / Eds: L.A. Crum, T.J. Mason, J.L. Reisse, K.S. Suslick. Netherlands, Dordrecht: Springer, 1999.
- Šarc A., Stepišnik-Perdih T., Petkovšek M. et al. // Ultrason. Sonochem. 2017. V. 34. P. 51. DOI: https://doi.org/10.1016/j.ultsonch.2016.05.020.
- Choi J., Cui M., Lee Y. et al. // Chem. Eng. J. 2018. V. 338. P. 323. DOI: https://doi.org/10.1016/ j.cej.2018.01.018.
- Gujar S.K., Gogate P.R., Kanthale P. et al. // Sep. Purif. Technol. 2021. V. 257. P. 117888. DOI: https://doi.org/10.1016/j.seppur.2020.117888.
- Thanekar P., Gogate P.R. // Sep. Purif. Technol. 2020. V. 239. P. 116563. DOI: https://doi.org/10.1016/ j.seppur.2020.116563.
- Ghanbari F., Moradi M. // Chem. Eng. J. 2017. V. 310. P. 41. doi: 10.1016/j.cej.2016.10.064.
- Zhou Y., Gao Y., Pang S.-Y. et al. // Water Res. 2018. V. 145. P. 210. DOI: https://doi.org/10.1016/ j.watres.2018.08.026.
- N.J. L., Gogate P.R., Pandit A.B. // Process Saf. Environ. Prot. 2021. V. 153. P. 178. DOI: https://doi.org/10.1016/j.psep.2021.07.023.
- Calcio Gaudino E., Canova E., Liu P. et al. // Molecules. 2021. V. 26. doi: 10.3390/molecules26030617.
- Liu P., Wu Z., Abramova A.V. et al. // Ultrason. Sonochem. 2021. V. 74. P. 105566. DOI: https://doi.org/10.1016/j.ultsonch.2021.105566.
- Meng X., Chu Y.B. // Adv. Mater. Res. 2013. V. 763. P. 33. doi: 10.4028/ href='www.scientific.net/AMR' target='_blank'>www.scientific.net/AMR. 763.33.
- Wu Z., Yuste-Córdoba F.J., Cintas P. et al. // Ultrason. Sonochem. 2018. V. 40. P. 3. DOI: https://doi.org/10.1016/j.ultsonch.2017.04.016.
- Braeutigam P. Degradation of Organic Micropollutants by Hydrodynamic and/or Acoustic Cavitation BT. Handbook of Ultrasonics and Sonochemistry / Еd. Ashokkumar M. Springer Singapore, Singapore. 2015.
- Braeutigam P., Franke M., Schneider R.J. et al. // Water Res. 2012. V. 46. P. 2469. DOI: https://doi.org/10.1016/j.watres.2012.02.013.
- Wojnárovits L., Tóth T., Takács E. // Crit. Rev. Environ. Sci. Technol. 2018. V. 48. P. 575. doi: 10.1080/10643389.2018.1463066.
- Wojnárovits L., Takács E. // Chemosphere. 2019. doi: 10.1016/j.chemosphere.2018.12.156.
- Kusic H., Peternel I., Ukic S. et al. // Chem. Eng. J. 2011. V. 172. P. 109. doi: 10.1016/j.cej.2011.05.076.
- Wang J., Wang S. // Chem. Eng. J. 2018. V. 334. P. 1502. doi: 10.1016/j.cej.2017.11.059.
- Özdemir C., Öden M.K., Şahinkaya S. et al. // Color. Technol. 2011. V. 127. P. 268. DOI: https://doi.org/10.1111/j.1478-4408.2011.00310.x.
- Serna-Galvis E.A., Silva-Agredo J., Giraldo-Aguirre A.L. et al. // Sci. Total Environ. 2015. V. 524–525. P. 354. DOI: https://doi.org/10.1016/ j.scitotenv.2015.04.053.
- Yi C., Lu Q., Wang Y. et al. // Ultrason. Sonochem. 2018. V. 43. P. 156. DOI: https://doi.org/10.1016/ j.ultsonch.2018.01.013.
- Gogate P.R., Pandit A.B. // Adv. Environ. Res. 2004. V. 8. P. 501. DOI: https://doi.org/10.1016/S1093-0191(03)00032-7.
- Wang X., Zhang Y. // J. Hazard. Mater. 2009. V. 161. P. 202. DOI: https://doi.org/10.1016/j.jhazmat.2008.03.073.
- Joshi R.K., Gogate P.R. // Ultrason. Sonochem. 2012. V. 19. P. 532. DOI: https://doi.org/10.1016/j.ultsonch.2011.11.005.
- Saharan V.K., Badve M.P., Pandit A.B. // Chem. Eng. J. 2011. V. 178. P. 100. DOI: https://doi.org/10.1016/j.cej.2011.10.018.
- Bu L., Shi Z., Zhou S. // Sep. Purif. Technol. 2016. V. 169. P. 59. DOI: https://doi.org/10.1016/j.seppur.2016.05.037.
- Ismail L., Ferronato C., Fine L. et al. // Environ. Sci. Pollut. Res. 2018. V. 25. P. 2651. doi: 10.1007/s11356-017-0629-3.
- Wang J., Wang S. // Chem. Eng. J. 2021. V. 411. P. 128392. doi: 10.1016/j.cej.2020.128392.
- Buxton G.V., Greenstock C.L., Helman W.P. et al. // J. Phys. Chem. Ref. Data. 1988. V. 17. P. 513. doi: 10.1063/1.555805.
- Lee Y.-M., Lee G., Zoh K.-D. // J. Hazard. Mater. 2021. V. 403. P. 123591. DOI: https://doi.org/10.1016/j.jhazmat.2020.123591.
- Darsinou B., Frontistis Z., Antonopoulou M. et al. // Chem. Eng. J. 2015. V. 280. P. 623. doi: 10.1016/j.cej.2015.06.061.
- Khandarkhaeva M., Batoeva A., Sizykh M. et al. // J. Environ. Manage. 2019. V. 249. P. 109348. doi: 10.1016/j.jenvman.2019.109348.
- Machulek A., Ermírio F., Moraes J., Okano L. et al. // Photochem. Photobiol. Sci. 2009. V. 8. P. 985. doi: 10.1039/b900553f.
- Benkelberg H.-J., Warneck P. // J. Phys. Chem. 1995. V. 99. P. 5214. doi: 10.1021/j100014a049.
- Guerra-Rodríguez S., Rodríguez E., Singh D.N. et al. // Water. 2018. V. 10. doi: 10.3390/w10121828.
Қосымша файлдар









