Effect of the Nature of Supporting Electrolyte on the Thermodynamic Parameters of the Stepwise Dissociation of Glycyl-D-Phenylalanine in Aqueous Solution
- Authors: Krutova O.N.1, Bazanov M.I.1, Chernikov V.V.1, Krutov P.D.1, Romanov R.A.1, Fashchevskii K.A.1
-
Affiliations:
- Ivanovo State University of Chemical Technology
- Issue: Vol 97, No 9 (2023)
- Pages: 1248-1253
- Section: PHYSICAL CHEMISTRY OF SOLUTIONS
- Submitted: 15.10.2023
- Published: 01.09.2023
- URL: https://bakhtiniada.ru/0044-4537/article/view/136650
- DOI: https://doi.org/10.31857/S004445372309011X
- EDN: https://elibrary.ru/XKOQEV
- ID: 136650
Cite item
Full Text
Abstract
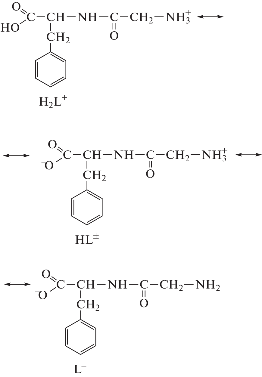
The thermal effects of acidic and basic dissociation of glycyl-D-phenylalanine dipeptide at a temperature of 298.15 K and ionic strengths of solution of 0.5, 0.75, and 1.0 M against the background of different supporting electrolytes were calculated from the results of direct calorimetric measurements performed on a calorimeter with an isothermal shell and automatic recording of the temperature–time curve. The influence of the nature of supporting electrolytes NaCl, NaClO4, NaNO3, KNO3, and LiNO3 on the thermal effects of stepwise dissociation of the dipeptide is considered. The standard thermal effects of ionization of glycyl‑D‑phenylalanine in two steps were found by extrapolation to zero ionic strength. The standard changes in thermodynamic functions (enthalpy, entropy, and Gibbs energy) in the acidic and basic dissociation of g-lycyl-D-phenylalanine dipeptide were calculated.
Keywords
About the authors
O. N. Krutova
Ivanovo State University of Chemical Technology
Email: kdvkonkpd@yandex.ru
153000, Ivanovo, Russia
M. I. Bazanov
Ivanovo State University of Chemical Technology
Email: kdvkonkpd@yandex.ru
153000, Ivanovo, Russia
V. V. Chernikov
Ivanovo State University of Chemical Technology
Email: kdvkonkpd@yandex.ru
153000, Ivanovo, Russia
P. D. Krutov
Ivanovo State University of Chemical Technology
Email: kdvkonkpd@yandex.ru
153000, Ivanovo, Russia
R. A. Romanov
Ivanovo State University of Chemical Technology
Email: kdvkonkpd@yandex.ru
153000, Ivanovo, Russia
K. A. Fashchevskii
Ivanovo State University of Chemical Technology
Author for correspondence.
Email: kdvkonkpd@yandex.ru
153000, Ivanovo, Russia
References
- Sukhareva M.S., Kopeykin P.M., Zharkova M.S., Shamova O.V. // Medical Academic Journal. 2019. V. 19. № S. P. 180. https://doi.org/10.17816/MAJ191S1180-181
- Neklyudov A.D., Denyakina E.K. // Applied Biochemistry and Microbiology. 2004. V. 40. № 4. P. 370. [Неклюдов А.Д., Денякина Е.К. // Прикладная биохимия и микробиология. 2004. Т. 40. № 4. С. 435].https://doi.org/10.1023/B:ABIM.0000033913.63770
- Inozemtsev A.N., Berezhnoy D.S., Fedorova T.N., Stvolinsky S.L. // Dokl. Biolog. Sciences. 2014. V. 454. № 1. P. 16. [Иноземцев А.Н., Бережной Д.С., Федорова Т.Н., Стволинский С.Л. // Докл. АН. 2014. Т. 454. № 5. С. 606].https://doi.org/10.1134/S0012496614010177
- Brel A.K., Lisina S.V., Budaeva Y.N. // Rus. J. of Organic Chemistry. 2021. V. 57. № 4. P. 540. [Брель А.К., Лисина С.В., Будаева Ю.Н. // Журн. орган. химии. 2021. Т. 57. № 4. С. 517].https://doi.org/10.1134/S1070428021040060
- Тюнина Е.Ю., Баранников В.П., Дунаева В.В., Краснов А.В. // Журн. физ. химии. 2022. Т. 96. № 4. С. 479. https://doi.org/10.31857/S0044453722040331
- Lytkin A.I., Chernikov V.V., Krutova O.N., Skvortsov I.A. // J. Therm. Anal. Calorim. 2017. V. 130. P. 457. https://doi.org/10.1007/s10973017- 6134-6
- Lytkin A.I., Chernikov V.V., Krutova O.N. et al. // Rus. J. of Phys. Chem. A. 2022. V. 96. № 8. Р. 1698. [Лыткин А.И., Крутова О.Н., Черников В.В., Крутов П.Д., Романов Р.А // Журн. физ. химии. 2022. Т. 96. № 8. С. 1155]https://doi.org/10.1134/S0036024422080131
- Lytkin A.I., Krutova O.N., Tyunina E.Yu. et al. // Rus. J. of Phys. Chem. A. 2021. V. 95. № 10. Р.2053. [Лыткин А.И., Крутова О.Н., Тюнина Е.Ю. и др. // Журн. физ. химии. 2021. Т. 95. № 10. с. 1530].https://doi.org/10.1134/S0036024421100162
- Shoukry M., Khairy E., El-Sherif A. // Transition Met. Chem. 2002. V. 27. P. 656. https://doi.org/10.1023/A:1019831618658
- Nair M., Subbalakshmi G. // Indian J. Chem. 2000. V. 39A. P. 468.
- Agoston C., Jankowska T., Sovago I. // J. Chem. Soc. Dalton Trans.1999. P. 3295. https://doi.org/10.1039/a904000e
- Kufelnicki A. // Pol. J. Chem. 1992. V. 66. P. 1077.
- Jezowska-Bojczuk M., Kozlowski H., Sovago I. et al. // Polyhedron. 1991. V. 10. P. 2331. https://doi.org/10.1016/S0277-5387(00)86157-4
- Brookes G., Pettit L. // J. Chem. Soc. Dalton Trans. 1975. P. 2106. https://doi.org/1039/dt9750002106
- Васильев В.П. Термодинамические свойства растворов электролитов. М.: Наука, 1982. 262 с.
- Krutova O.N., Lytkin A.I., Chernikov V.V. et al. // J. of Molecular Liquids. 2021. P. 116773. https://doi.org/10.1016/j.molliq.2021.116773
- Tyunina E., Krutova O., Lytkin A.I. // Thermochimica Acta. 2020. V. 690. P. 178704. https://doi.org/10.1016/j.tca.2020.178704 2020
- Parcker W.B. Thermal Properties of Aqueous Uni-univalent Electrolytes. Washington: NSRDS-NBS, 1965. B. 2. P. 342.
- Meshkov A.N., Gamov G.A. // Talanta. 2019. V. 198. P. 200–205. https://doi.org/10.1016/j.talanta.2019.01.107
- Васильев В.П., Шеханова Л.Д. // Журн. неорган. химии. 1974. Т. 19. № 11. С. 2969.
- Васильев В.П. // Журн. координац. химии. 2004. Т. 30 (1). С. 73.
- Гридчин С.Н. // Журн. общ. химии. 2015. Т. 85. № 4. С. 563.
- Kochergina L.A., Vasil’ev V.P., Krutova O.N. // Rus. J. of Phys. Chem. A. 2008. Т. 82. № 3. С. 348. [Кочергина Л.А., Васильев В.П., Крутова О.Н. // Журн. физ. химии. 2008. Т. 82. № 3. С. 426.].
- Lytkin A.I., Chernikov V.V., Krutova O.N. // Ibid. 2016. Т. 90. № 8. С. 1530. [Лыткин А.И., Черников В.В., Крутова О.Н. // Там же. 2016. Т. 90. № 8. С. 1160].https://doi.org/10.7868/S0044453716080173
- Васильев В.П., Кочергина Л.А. // Журн. физ. химии. 1967. Т. 41. С. 1287.
- Kochergina L.A., Vasil’ev V.P., Krutov D.V., Krutova O.N. // Rus. J. of Phys. Chemistry A. 2008. Т. 82. № 4. С. 565. [Кочергина Л.А., Васильев В.П., Крутов Д.В., Крутова О.Н. // Журн. физ. химии. 2008. Т. 82. № 4. С. 662].
Supplementary files






