Peculiarities of Modified Ceramics (Na0.5Bi0.5)TiO3–BaTiO3–(K0.5Na0.5)NbO3
- Authors: Kaleva G.M.1, Politova E.D.1, Mosunov A.V.2, Ilina T.S.3, Kiselev D.A.3
-
Affiliations:
- Federal Research Center Semenov Institute of Chemical Physics, Russian Academy of Sciences
- Moscow State University
- National University of Science and Technology MISiS
- Issue: Vol 97, No 5 (2023)
- Pages: 712-717
- Section: STRUCTURE OF MATTER AND QUANTUM CHEMISTRY
- Submitted: 15.10.2023
- Published: 01.05.2023
- URL: https://bakhtiniada.ru/0044-4537/article/view/136600
- DOI: https://doi.org/10.31857/S0044453723050126
- EDN: https://elibrary.ru/MRAZWZ
- ID: 136600
Cite item
Full Text
Abstract
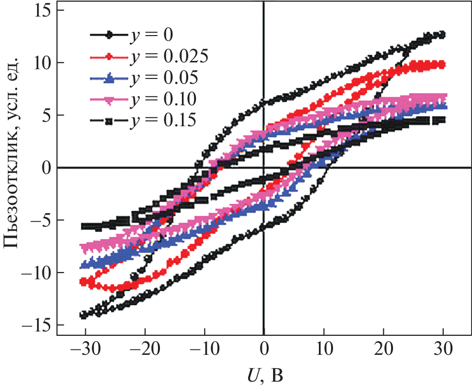
Single-phase ceramic samples with new compositions (1 – x – у)(Na0.5Bi0.5)TiO3–хBaTiO3–у(K0.5Na0.5)NbO3 (x = 0.05, у = 0–0.15) modified with ZnO and GeO2 additions were obtained by solid-phase synthesis. Their crystal structure, microstructure, and dielectric and local piezoelectric properties were studied. A phase with a perovskite structure with a pseudocubic unit cell was found to form in all of the synthesized samples; it was shown that the unit cell volume increased as a result of the partial replacement of base cations by complex additive cations. The ferroelectric phase transitions were confirmed by dielectric spectroscopy. Residual piezoelectric hysteresis loops were obtained for the synthesized samples in the polarization switching spectroscopy mode, which confirmed the switching of ferroelectric polarization.
About the authors
G. M. Kaleva
Federal Research Center Semenov Institute of Chemical Physics, Russian Academy of Sciences
Email: kaleva@nifhi.ru
119991, Moscow, Russia
E. D. Politova
Federal Research Center Semenov Institute of Chemical Physics, Russian Academy of Sciences
Email: kaleva@nifhi.ru
119991, Moscow, Russia
A. V. Mosunov
Moscow State University
Email: kaleva@nifhi.ru
119991, Moscow, Russia
T. S. Ilina
National University of Science and Technology MISiS
Email: kaleva@nifhi.ru
119049, Moscow, Russia
D. A. Kiselev
National University of Science and Technology MISiS
Author for correspondence.
Email: kaleva@nifhi.ru
119049, Moscow, Russia
References
- Gupta V., Sharma M., and Thakur N. // J. Intel. Mat. Sys. Str. 2010. V. 21. P. 1227.
- Sodano H.A., Henry A., Inman D.J., Park G. // J. Intel. Mat. Sys. Str. 2005. V. 16. P. 799.
- Sodano H.A., Park G., Inman D.J. // Strain. 2004. V. 40. P. 49.
- Веневцев Ю.Н., Политова Е.Д., Иванов С.А. Сегнето- и антисегнетоэлектрики семейства титаната бария. М.: Химия, 1985, 256 с.
- Zhang Sh.J., Eitel R.E., Randall C.A. et al. // Appl. Phys. Letters. 2005. V. 86. P. 262904.
- Maeder M.D., Damjanovic D., and Setter N. // J. Electroceram. 2004. V. 13. P. 385.
- Saito Y., Takao H., Tani I. et al. // Nature. 2004. V. 432. P. 84.
- Takenaka T., Nagata H., Hiruma Y. et al. // J. Electroceram. 2007. V. 19. P. 259.
- Takenaka T., Nagata H., and Hiruma Y. // Jpn. J. Appl. Phys. 2008. V. 47. P. 3787.
- Rödel J., Jo W., Seifert T.P., Anton E.M. et al. // J. Am. Ceram. Soc. 2009. V. 92. P. 1153.
- Panda P.K. // J. Mater. Sci. 2009. V. 44. P. 5049.
- Bernard J., Bencan A., Rojac T. et al. // J. Am. Ceram. Soc. 2008. V. 91. P. 2409.
- Smolenskii G.A., Isupov V.A., Agranovskaya A.I., Krainik N.N. // Sov. Phys. Solid State. 1961. V. 2. P. 2651.
- Vakhrushev S.B., Isupov V.A., Kvyatkovsky B.E. et al. // Ferroelectrics. 1985. V. 63. P. 153.
- Jones G.O., Thomas P.A. // Acta Crystallogr. Sect. B. 2002. V. 58. P. 168.
- Hiruma Y., Nagata H., Takenaka T. // J. Appl. Phys. 2009. V. 105. P. 084112.
- Chu B.-J., Chen D.-R., Li G.-R., Jin Q.-R. // J. of the European Ceramic Society. 2002. V. 22. P. 2115.
- Nagata H., Yoshida M., Makiuchi Y., Takenaka T. // Jpn. J. Appl. Phys. Pt. 1. 2003. V. 42. 7401.
- Ringgaard M.E., Wurlitzer T. // J. Eur. Ceram. Soc. 2005. V. 25. P. 2701.
- Zuo R., Fang X., and Ye C. // Appl. Phys. Lett. 2007. V. 90. P. 092904.
- Kounga A.B., Zhang S.T., Jo W. et al. // Appl. Phys. Lett. 2008. V. 92. P. 222902.
- Xiao D.Q., Lin D.M., Zhu J.G., Yu P. // J. Electroceram. 2008. V. 21. P. 34.
- Politova E.D., Golubko N.V., Kaleva G.M. et al. // J. of Advanced Dielectrics. 2018. V. 8. P. 1850004.
- Politova E.D., Golubko N.V., Kaleva G.M. et al. // Ferroelectrics. 2019. V. 538. P. 45.
- Белышева Т.В., Гатин А.К., Гришин М.В. и др. // Хим.физика. 2015. Т. 34. № 9. С. 56.
- Громов В.Ф., Герасимов Г.Н., Белышева Т.В. и др. // Там же. 2018. Т. 37. № 1. С. 76. [Gromov V.F., Gerasimov G.N., Belysheva T.V. et al. // Ibid. 2018. V. 12. № 1. P. 129.]
- Jones G.O., Thomas P.A. // Acta Crystallogr. Sect. B. 2002. V. 58. P. 168.
- Dorcet V., Trolliard G., and Boullay P. // Chem. Mater. 2008. V. 20. P. 5061.
- Tan X., Cheng M., Frederick J. et al. // J. Amer. Ceram. Soc. 2011. V. 94. P. 4091.
- Shvartsman V.V., Lupascu D.C. // Ibid. V. 95. P. 1.
- Bernard J., Bencan A., Rojac T. et al. // J. Am. Ceram. Soc. 2008. V. 91. P. 2409.
- Politova E.D., Golubko N.V., Kaleva G.M. et al. // Ferroelectrics. 2019. V. 538 P. 45.
- Lee H.J., Zhang S.H. Lead-Free Piezoelectrics. N.Y.: Springer, 2012. 291 p.
Supplementary files








