Метастабильные состояния флюида внутри бинодали в рамках кластерного вариационного метода
- Авторы: Вотяков Е.В.1, Товбин Ю.К.2
-
Учреждения:
- The Cyprus Institute, Energy Environment and Water Research Center
- Институт общей и неорганической химии им. Н.С. Курнакова РАН
- Выпуск: Том 97, № 5 (2023)
- Страницы: 693-701
- Раздел: СТРОЕНИЕ ВЕЩЕСТВА И КВАНТОВАЯ ХИМИЯ
- Статья получена: 15.10.2023
- Статья опубликована: 01.05.2023
- URL: https://bakhtiniada.ru/0044-4537/article/view/136594
- DOI: https://doi.org/10.31857/S004445372305028X
- EDN: https://elibrary.ru/HMPVBV
- ID: 136594
Цитировать
Полный текст
Аннотация
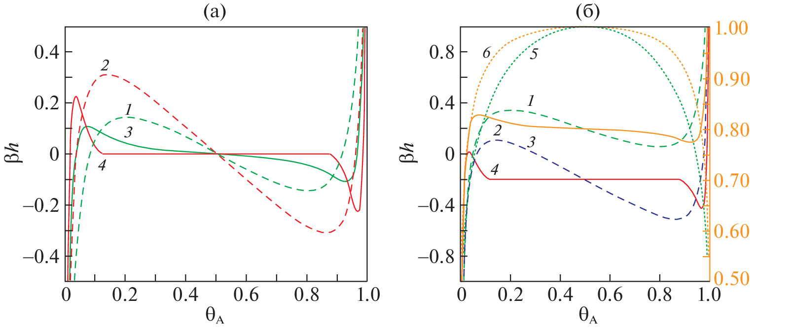
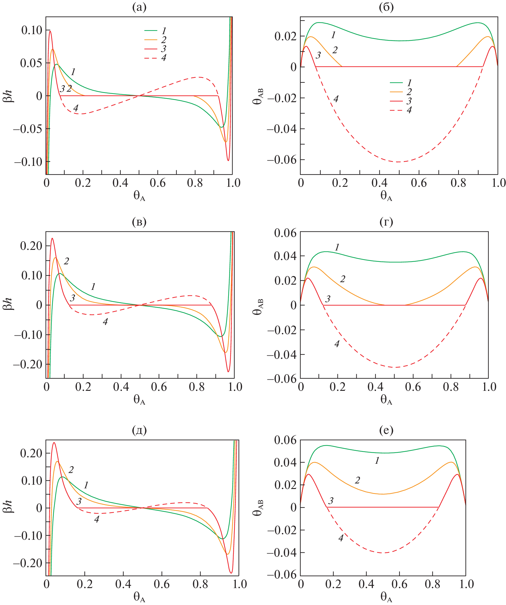
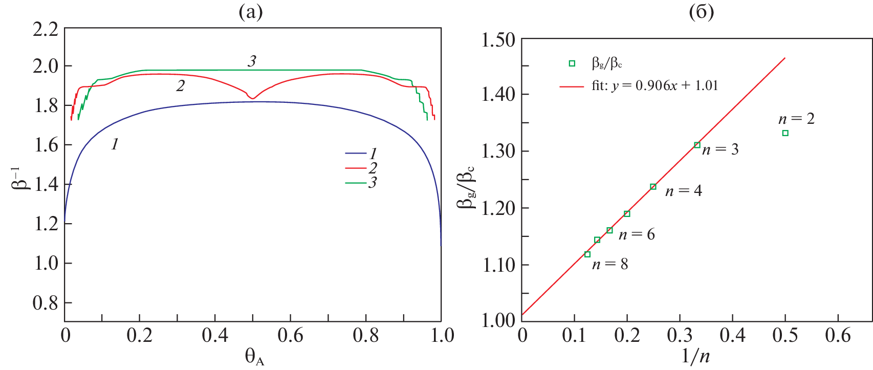
Проведен анализ поведения хода изотермы и молекулярных распределений внутри бинодали в рамках решения модели Изинга полученного на основе кластерного вариационного метода для плоских решеток с координационными числами 3, 4, 6. Получено, что микроскопический подход дает вероятностную интерпретацию макроскопического правила Максвелла и объясняет, как на изотерме возникает секущая между областями сосуществования двух фаз. Внутри бинодали обнаружена область отсутствия решений (область вырождения) и для этой области рассчитаны критические температуры вырождения при которых исчезает нетривиальное решение уравнений. При уменьшении температуры область вырождения внутри бинодали расширяется и сближается с кривой бинодали так что кривая вырождения и бинодаль становятся неразличимы. Численными итерационными расчетами исследована зависимость области отсутствия решения внутри бинодали с увеличением размера кластера. Критическая температура вырождения асимптотически приближается к критической температуре бинодали с увеличением размера кластера. Обсуждаются существующие способы интерпретации метастабильных состояний, а также соответствие новых полученных результатов с ранее известными и полученными в приближениях среднего поля (без учета корреляций) и в квазихимическом (при учете только прямых корреляций), а также с точным результатом теории конденсации Янга–Ли.
Об авторах
Е. В. Вотяков
The Cyprus Institute, Energy Environment and Water Research Center
Email: karaul@gmail.com
Cyprus, 2121, Nicosia, 20 Kavafi Str
Ю. К. Товбин
Институт общей и неорганической химии им. Н.С. Курнакова РАН
Автор, ответственный за переписку.
Email: karaul@gmail.com
Россия, 119991, Москва
Список литературы
- Фаулер Р., Гуггенгейм Э. Статистическая термодинамика, М.: Изд-во. иностр. лит., 1949.
- Гиршфельдер Дж., Кертис Ч., Берд Р. Молекулярная теория газов и жидкостей. М.: Изд-во иностр. лит., 1961. 929 с.
- Мелвин-Хьюз Е.А. Физическая химия. М.: изд-во иностр. лит., 1962. Кн. 2. 1148 с.
- Киреев В.А. Курс физической химии. М.: Химия, 1975. 776 с.
- Кривоглаз А.Н., Смирнов А.А. Теория упорядочивающихся сплавов. М.: ГИФМЛ, 1958. 388 с.
- Стенли Г. Фазовые переходы и критические явления. М.: Мир. 1973. 400 с.
- Хачарутян А.Г. Теория фазовых превращений и структуры твердых растворов. М.: Наука, 1974. 265 с.
- Паташинский А.З., Покровский В.П. Флуктуационная теория фазовых переходов. М.: Наука, 1975. 256 с.
- Ма Ш. Современная теория критических явлений. М.: Мир, 1980.
- Onsager L. // Phys. Rev. 1944. V. 65. P. 117.
- Domb C. // Proc. Roy. Soc., 1949. V. A196. P. 36.
- Domb C. // Adv. Phys., 1960. V. 9. P. 149.
- Хилл Т. Статистическая механика. М.: Изд-во иностр. лит., 1960. 485 с.
- Хуанг К. Статистическая механика. М.: Мир, 1966. 520 с.
- Вотяков Е.В., Товбин Ю.К. // ЖФХ. 2022. Т. 96. № 3. С. 339.
- Kikuchi R. // Phys. Rev. 1951. V. 81. P. 988.
- Kikuchi R. // J. Chem. Phys. 1951. V. 19. P. 1230.
- Kikuchi R., Brush S.G. // J. Chem. Phys. 1967. V. 47. P. 195.
- Barker J.A. // Proc. Royal Soc. London. A. 1953. V. 216. P. 45.
- Hijmans J., de Bour J. // Physica. 1955. V. 21. P. 471.
- Sanchez J.M., de Fontaine D. // Phys. Rev. B. 1978. V. 17. 2926.
- Sanchez F., Ducastelle F., Gratias D. // Physica A. 1984. V. 128. P. 334.
- Theory and Applications of the Cluster Variation and Path Probability Methods / Eds. J.L. Moran-Lopez and J.M. Sanchez / New York and London: Plenum Press, 1996. 420 p.
- Вотяков Е.В., Товбин Ю.К. // Журн. физ. химии. 2023. Т. 97. В печати.
- Yang C.N., Lee T.D. // Phys. Rev. 1952. V. 87. P. 404.
- Lee T.D., Yang C.N. // Ibid. 1952. V. 87. P. 410.
- Бойко В.Г., Могель Х.-Й., Сысоев В.М., Чалый А.В. // УФН 1991. Т. 161. № 2. С. 77.
- Rosengren A., Lapinskas // Phys. Rev. 1993. V. 47. P. 2643.
- Vinograd V.L., Putnis A. // Physics and Chemistry of Minerals. 1998. V. 26. P. 135.
- Товбин Ю.К. Теория физико-химических процессов на границе газ–твердое тело, М.: Наука, 1990. 288 с. (Tovbin Yu.K., Theory of physical chemistry processes at a gas-solid surface processes, CRC Press, Boca Raton, Fl, 1991).
Дополнительные файлы








