Resonance Electron Capture by 5-Methyluridine and 3'-Deoxythymidine Molecules
- Autores: Muftakhov M.V.1, Tuktarov R.F.1
-
Afiliações:
- Institute of Molecule and Crystal Physics, Ufa Federal Research Center, Russian Academy of Sciences
- Edição: Volume 97, Nº 5 (2023)
- Páginas: 685-692
- Seção: STRUCTURE OF MATTER AND QUANTUM CHEMISTRY
- ##submission.dateSubmitted##: 15.10.2023
- ##submission.datePublished##: 01.05.2023
- URL: https://bakhtiniada.ru/0044-4537/article/view/136591
- DOI: https://doi.org/10.31857/S0044453723050187
- EDN: https://elibrary.ru/MSUPHF
- ID: 136591
Citar
Texto integral
Resumo
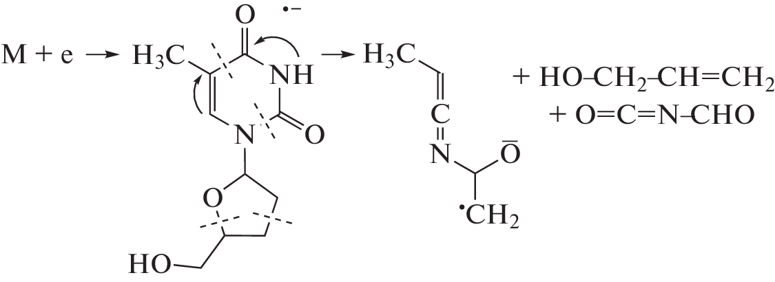
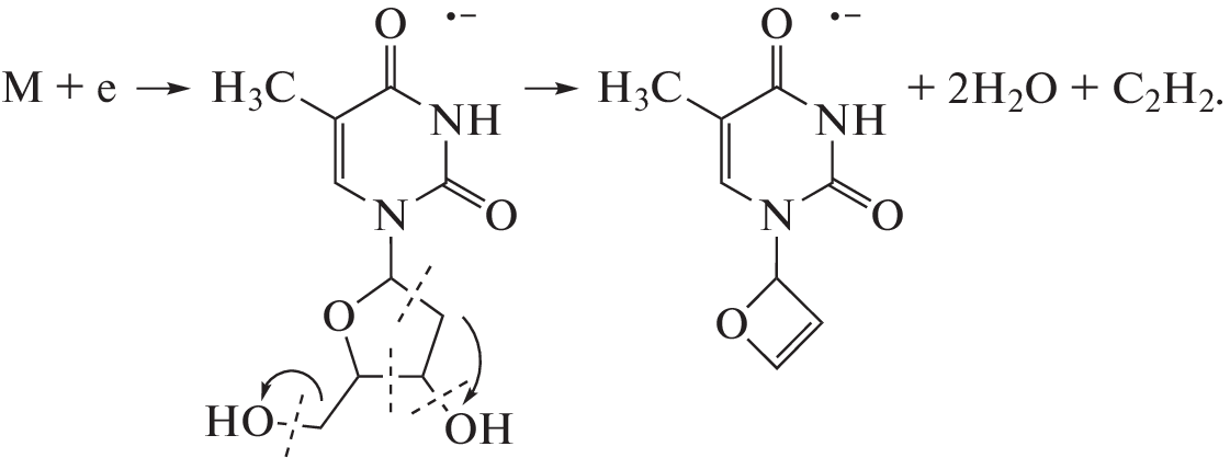
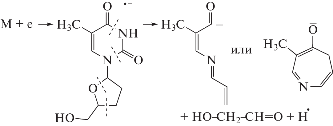
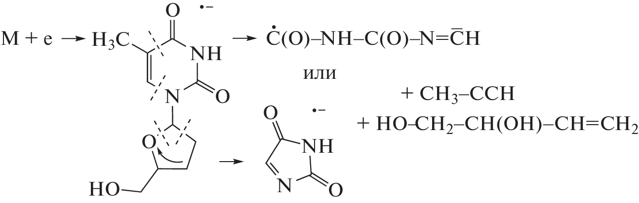
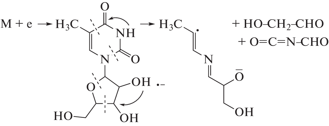
Negative ion mass spectrometry is used to study processes of resonant electron attachment by 5‑methyluridine and 3'-deoxythymidine nucleoside molecules in the electron 0–14 eV range of energies. It is established that they are similar to those in nucleosides studied earlier (uridine, deoxyuridine, thymidine). The main channels of the fragmentation of molecular ions are revealed, and the absolute cross sections for the formation of fragment ions are determined. It is found that the intensity of the breaking the glycosidic bond in 3'-deoxythymidine in the region of low energies is two and a half orders of magnitude below the one in stavudine, testifying to the prospect of replacing the antiretroviral drug stavudine with 3'-deoxythymidine if radiation therapy is required for oncological diseases contracted as complications of HIV.
Sobre autores
M. Muftakhov
Institute of Molecule and Crystal Physics, Ufa Federal Research Center, Russian Academy of Sciences
Email: LMSNI@anrb.ru
450075, Ufa, Russia
R. Tuktarov
Institute of Molecule and Crystal Physics, Ufa Federal Research Center, Russian Academy of Sciences
Autor responsável pela correspondência
Email: LMSNI@anrb.ru
450075, Ufa, Russia
Bibliografia
- Gorfinkiel J.D., Ptasinska S. // J. Phys. B. 2017. V. 50. P. 182001.https://doi.org/10.1088/1361-6455/aa8572
- Cobut V., Frongillo Y., Patau J.P. et al. // Radiat. Phys. Chem. 1998. V. 51. P. 229. https://doi.org/10.1016/S0969-806X(97)00096-0
- Jian-Xing X. // JSM Cell Dev Biol. 2015. V. 3. P. 1014.
- Boudaïffa B., Cloutier P., Hunting D. et al. // Science. 2000. V. 287. P. 1658. https://doi.org/10.1126/science.287.5458.1658
- Aflatooni K., Gallup G.A., Burrow P.D. // J. Phys. Chem. 1998. V. 102. P. 6205.https://doi.org/10.1021/jp980865n
- Denifl S., Ptasińska S., Hanel G. et al. // J. Chem. Phys. 2004. V. 120. P. 6557.https://doi.org/10.1063/1.1649724
- Denifl S., Ptasińska S., Probst M. et al. // J. Phys. Chem A. 2004. V. 108. P. 6562. https://doi.org/10.1021/jp049394x
- Gohlke S., Abdoul-Carime H., Illenberger E. // Chem. Phys. Lett. 2003. V. 380. P. 595.https://doi.org/10.1016/j.cplett.2003.09.013
- Ptasińska S., Denifl S., Mróz B. et al. // J. Chem. Phys. 2005. V. 123. P. 124302. https://doi.org/10.1063/1.2035592
- Huber D., Beikircher M., Denifl S. et al. // Ibid. 2006. V. 125. P. 084304.https://doi.org/10.1063/1.2336775
- Hanel G., Gstir B., Denifl S. et al. // Phys. Rev. Lett. 2003 V. 90. P. 188104. https://doi.org/10.1103/PhysRevLett.90.188104
- Ptasińska S., Denifl S., Scheier P., Märk T.D. // J. Chem. Phys. 2004. V. 120. P. 8505. https://doi.org/10.1063/1.1690231
- Bald I., Kopyra J., Illenberger E. // Angew. Chem. Int. Ed. 2006. V. 45. P. 4851.https://doi.org/10.1002/anie.200600303
- Sulzer P., Ptasinska S., Zappa F. et al. // J. Chem. Phys. 2006. V. 125. P. 044304.https://doi.org/10.1063/1.2222370
- König C., Kopyra J., Bald I., Illenberger E. et al. // Phys. Rev. Lett. 2006. V. 97. P. 018105.https://doi.org/10.1103/PhysRevLett.97.018105
- Муфтахов М.В., Щукин П.В. // Масс-спектрометрия. 2013. Т. 10. № 1. С. 39.https://doi.org/10.1134/S1061934813140086
- Muftakhov M.V., Shchukin P.V. // Rapid Commun. Mass Spectrom. 2019. V. 33. P. 482.https://doi.org/10.1002/rcm.8354
- Muftakhov M.V., Shchukin P.V., Khatymov R.V. // Radiat. Phys. Chem. 2021. V. 184. P. 109464. https://doi.org/10.1016/j.radphyschem.2021.109464
- Мазунов В.А., Щукин П.В., Хатымов Р.В., Муфтахов М.В. // Масс-спектрометрия. 2006. Т. 3. № 1. С. 11.
- Muftakhov M.V., Vasil’ev Yu.V., Mazunov V.A. // Rapid Commun. Mass Spectrom. 1999. V. 13. P. 1104https://doi.org/10.1002/(SICI)1097-0231(19990630)13: 123.0.CO;2-C
- Khatymov R.V., Muftakhov M.V., Mazunov V.A. // Rapid Commun. Mass Spectrom. 2003. V. 17. P. 2327.https://doi.org/10.1002/rcm.1197
- Edelson D., Griffiths J. E., McAffe K.B. // J. Chem. Phys. 1962. V. 73. P. 919.
- Ptasińska S., Denifl S., Gohlke S. et al. // Angew. Chem. Int. Ed. 2006. V. 45. P. 1893. https://doi.org/10.1002/anie.200503930
- Щукин П.В., Хатымов Р.В. // Масс-спектрометрия. 2013. Т. 10. № 3. С. 158.
- Stokes S.T., Li X., Grubisic A. et al. // J. Chem. Phys. 2007. V. 127. P. 084321.https://doi.org/10.1063/1.2774985
Arquivos suplementares











