Волюмометрические свойства раствора трет-бутилового спирта в четыреххлористом углероде. МД-моделирование
- Авторы: Аникеенко А.В.1, Медведев Н.Н.1,2
-
Учреждения:
- Институт химической кинетики и горения им. В.В. Воеводского СО РАН
- Новосибирский государственный университет, Физический факультет
- Выпуск: Том 97, № 5 (2023)
- Страницы: 595-601
- Раздел: ФИЗИКА И ХИМИЯ ЭЛЕМЕНТАРНЫХ ХИМИЧЕСКИХ ПРОЦЕССОВ
- Статья получена: 15.10.2023
- Статья опубликована: 01.05.2023
- URL: https://bakhtiniada.ru/0044-4537/article/view/136559
- DOI: https://doi.org/10.31857/S0044453723050035
- EDN: https://elibrary.ru/MQAJTH
- ID: 136559
Цитировать
Полный текст
Аннотация
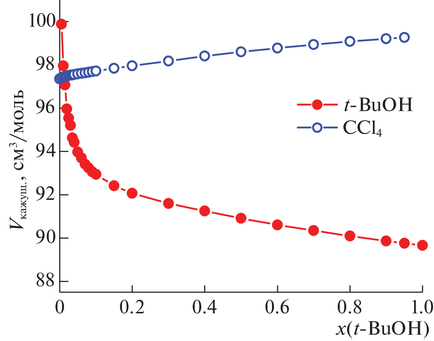
Методом полноатомного молекулярно-динамического моделирования получены модели растворов трет-бутилового спирта (ТБС) в четыреххлористом углероде (ЧХУ). Рассчитан избыточный объем раствора, кажущиеся и собственные (геометрические) объемы обоих компонентов на всем интервале концентраций. Показано, что кажущийся и собственный мольные объемы ТБС в пределе малых концентраций в растворе заметно больше, чем в чистом спирте. При этом их значения быстро уменьшаются в узком интервале концентраций (от 0 до 0.1 мольной доли), а затем практически линейно переходят к своим предельным значениям в спирте. Обсуждается, что такое поведение объемных характеристик ТБС связано со специфической ассоциацией спирта при малых концентрациях за счет завязывания водородных связей молекул ТБС друг с другом.
Ключевые слова
Об авторах
А. В. Аникеенко
Институт химической кинетики и горения им. В.В. Воеводского СО РАН
Email: anik@kinetics.nsc.ru
Россия, 630090, Новосибирск, ул. Институтская 3
Н. Н. Медведев
Институт химической кинетики и горения им. В.В. Воеводского СО РАН; Новосибирский государственный университет, Физический факультет
Автор, ответственный за переписку.
Email: anik@kinetics.nsc.ru
Россия, 630090, Новосибирск, ул. Институтская 3; Россия, 630090, Новосибирск
Список литературы
- Egorov G.I., Makarov D.M. // J. Chem. Thermodyn. 2011. V. 43. № 3. P. 430. https://doi.org/10.1016/j.jct.2010.10.018
- Nakanishi K. // Bull. Chem. Soc. Jpn. 1960. V. 33. № 6. P. 793. https://doi.org/10.1246/bcsj.33.793
- Subramanian D., Klauda J.B., Leys J., Anisimov M.A. // Вестн. СПбГУ. Физика и химия. 2013. Т. 4. № 4. С. 139. https://doi.org/10.48550/arXiv.1308.3676
- Wilcox D.S., Rankin B.M., Ben-Amotz D. // Faraday Discuss. 2013. V. 167. P. 177. https://doi.org/10.1039/C3FD00086A
- Nishikawa K., Iijima T. // J. Phys. Chem. 1990. V. 94. № 16. P. 6227. https://doi.org/10.1021/j100379a015
- Mizuno K., Kimura Y., Morichika H. et al. // J. Mol. Liq. 2000. V. 85. № 1–2. P. 139. https://doi.org/10.1016/S0167-7322(99)00170-1
- Kustov A.V., Antonova O.A. // Thermochim. Acta. 2013. V. 565. P. 159. https://doi.org/10.1016/j.tca.2013.05.028
- Onori G., Santucci A. // J. Mol. Liq. 1996. V. 69. P. 161. https://doi.org/10.1016/S0167-7322(96)90012-4
- Price W.S., Ide H., Arata Y. // J. Phys. Chem. A. 2003. V. 107. № 24. P. 4784. https://doi.org/10.1021/jp027257z
- Кесслер Ю.М., Зайцев А.Л. Сольвофобные эффекты. Теория, эксперимент, практика. Л.: Химия, 1989. 312 с.
- Freda M., Onori G., Santucci A. // Phys. Chem. Chem. Phys. 2002. V. 4. № 20. P. 4979. https://doi.org/10.1039/B203773D
- Kusalik P.G., Lyubartsev A.P., Bergman D.L., Laaksonen A. // J. Phys. Chem. B. 2000. V. 104. № 40. P. 9533–9539. https://doi.org/10.1021/jp001887o
- Gupta R., Patey G.N. // J. Chem. Phys. 2012. V. 137. № 3. P. 034509. https://doi.org/10.1063/1.4731248
- Banerjee S., Furtado J., Bagchi B. // Ibid. 2014. V. 140. № 19. P. 194502. https://doi.org/10.1063/1.4874637
- Anikeenko A.V., Kadtsyn E.D., Medvedev N.N. // J. Mol. Liq. 2017. V. 245. P. 35. https://doi.org/10.1016/j.molliq.2017.06.001
- Kadtsyn E.D., Anikeenko A.V., Medvedev N.N. // Ibid.2019. V. 286. P. 110870. https://doi.org/10.1016/j.molliq.2019.04.147
- Overduin S.D., Perera A., Patey G.N. // J. Chem. Phys. 2019. V. 150. № 18. P. 184504. https://doi.org/10.1063/1.5097011
- Cerar J., Jamnik A., Pethes I. et al // J. Colloid Interface Sci. 2020. V. 560. P. 730. https://doi.org/10.1016/j.jcis.2019.10.094
- Кадцын Е.Д., Ничипоренко В.А., Медведев Н.Н. // Журн. cтруктур. химии. 2021. Т. 62. № 1. С. 61. https://doi.org/10.26902/JSC_id66707
- Kadtsyn E.D., Nichiporenko V.A., Medvedev N.N. // J. Mol. Liq. 2022. V. 349. P. 118173. https://doi.org/10.1016/j.molliq.2021.118173
- Kalhor P., Li Q.-Z., Zheng Y.-Z., Yu Z.-W. // J. Phys. Chem. A. 2020. V. 124. № 30. P. 6177. https://doi.org/10.1021/acs.jpca.0c03463
- Staveley L.A. K., Spice B. // J. Chem. Soc. 1952. P. 406. https://doi.org/10.1039/jr9520000406
- Rama Varma K.T., Kumaran M.K., Seetharaman T.S. // J. Chem. Thermodyn. 1976. V. 8. № 7. P. 657. https://doi.org/10.1016/0021-9614(76)90017-3
- Paraskevopoulos G.C., Missen R.W. // Trans. Faraday Soc. 1962. V. 58. P. 869. https://doi.org/10.1039/TF9625800869
- Battino R. // Chem. Rev. 1971. V. 71. № 1. P. 5. https://doi.org/10.1021/cr60269a002
- Vasiltsova T., Heintz A., Nadolny H., Weingärtner H. // Phys. Chem. Chem. Phys. 2009. V. 11. № 14. P. 2408. https://doi.org/10.1039/B818532H
- Tironi I.G., Fontana P., van Gunsteren W.F. // Mol. Simul. 1996. V. 18. № 1–2. P. 1. https://doi.org/10.1080/08927029608022351
- Vrabec J., Stoll J., Hasse H. // J. Phys. Chem. B. 2001. V. 105. № 48. P. 12126. https://doi.org/10.1021/jp012542o
- Li A. H.-T., Huang S.-C., Chao S.D. // J. Chem. Phys. 2010. V. 132. № 2. P. 024506. https://doi.org/10.1063/1.3293129
- Kunz A.-P.E., Eichenberger A.P., van Gunsteren W.F. // Mol. Phys. 2011. V. 109. № 3. P. 365–372. https://doi.org/10.1080/00268976.2010.533208
- Guevara-Carrion G., Janzen T., Muñoz-Muñoz Y.M., Vrabec J. // J. Chem. Phys. 2016. V. 144. № 12. P. 124501. https://doi.org/10.1063/1.4943395
- Lindahl A., Hess B., van der Spoel D. GROMACS 2021.5 Source code (2021.5). Zenodo. 2022. https://doi.org/10.5281/zenodo.5850051
- Páll S., Zhmurov A., Bauer P. et al. // J. Chem. Phys. 2020. V. 153. № 13. P. 134110. https://doi.org/10.1063/5.0018516
- Bussi G., Donadio D., Parrinello M. // Ibid. 2007. V. 126. P. 014101. https://doi.org/10.1063/1.2408420
- Bernetti M., Bussi G. // Ibid.2020. V. 153. № 11. P. 114107. https://doi.org/10.1063/5.0020514
- Hess B., Bekker H., Berendsen H.J.C., Fraaije J.G.E.M. // J. Comp. Chem. 1997. V. 18. № 12. P. 1463. https://doi.org/10.1002/(SICI)1096-987X(199709)18:12<1463::AID-JCC4>3.0.CO;2-H
- Essmann U., Perera L., Berkowitz M.L. et al. // J. Chem. Phys. 1995. V. 103. № 19. P. 8577. https://doi.org/10.1063/1.470117
- Jorgensen W.L., Maxwell D.S., Tirado-Rives J.J. // Am. Chem. Soc. 1996. V. 118. P. 11225. https://doi.org/10.1021/ja9621760
- Caleman C., van Maaren P.J., Hong M. et al. // J. Chem. Theory Comput. 2012. V. 8. № 1. P. 61. https://doi.org/10.1021/ct200731v
- Sega M., Fábián B., Horvai G., Jedlovszky P. // J. Phys. Chem. C. 2016. V. 120. № 48. P. 27468. https://doi.org/10.1021/acs.jpcc.6b09880
- Duffy E.M., Severance D.L., Jorgensen W.L. // J. Am. Chem. Soc. 1992. V. 114. № 19. P. 7535. https://doi.org/10.1021/ja00045a029
Дополнительные файлы









