Comparative Assessment of the Effectiveness of Adaptive Physical Education Programs
- Authors: Davydova E.Y.1, Movchan A.A.1, Soloveva M.V.1, Davydov D.V.1
 - 
							Affiliations: 
							
- Moscow State University of Psychology and Education (MSUPE)
 
 - Issue: No 1 (2025)
 - Pages: 226-244
 - Section: Empirical researches
 - URL: https://bakhtiniada.ru/2782-2184/article/view/299301
 - DOI: https://doi.org/10.51217/npsyresearch_2025_05_01_10
 - ID: 299301
 
Cite item
Full Text
Abstract
Background and Aim. Motor function impairments in children with autism spectrum disorders (ASD) significantly affect their physical, cognitive, and communicative development, making research in this area highly relevant. Adaptive physical education, particularly the “Out Fitness” program, aims to address motor impairments and enhance motor skills in children with ASD. The study aims to compare the effectiveness of standard and adapted physical education programs and to test the “Out Fitness” method for assessing motor function in children with ASD.
Methods. The study included 60 children diagnosed with ASD. In the comparison group, children participated in standard physical education, while the experimental group followed the adapted “Out Fitness” program tailored to the specific needs of children with ASD. The previously developed comprehensive diagnostic method “Out Fitness” was used to evaluate changes in motor activity indicators.
Results. The “Out Fitness” program demonstrated significant advantages over traditional physical education, particularly in parameters such as jump length, throw distance, exercise technique, independence, and understanding of instructions. Children in the adapted program showed greater improvements in motor skills and daily motor activities, such as object manipulation and locomotion, compared to the control group.
Conclusion. The “Out Fitness” program proved more effective in enhancing motor and daily living skills in children with ASD compared to traditional physical education. The “Out Fitness” method demonstrated its validity as a comprehensive diagnostic tool for assessing motor impairments in children with ASD, offering the ability to consider both physical and communicative aspects of development.
Full Text
Введение
У детей с расстройствами аутистического спектра (РАС) часто наблюдаются нарушения моторных функций, которые оказывают влияние не только на физическое развитие, но и на когнитивные и коммуникативные способности. По этой причине исследования физического развития детей с РАС приобретают все большую актуальность в современной науке.
С учетом особенностей двигательной сферы детей с аутизмом, характеризующейся стереотипными движениями, трудностями в формировании предметных действий и бытовых навыков, а также нарушениями мелкой и крупной моторики (Дудник, 2017; Green et al., 2009), адаптивная физическая культура становится важным инструментом коррекционного воздействия. Она не только способствует улучшению физической формы детей (Clemente et al., 2022) и когнитивных функций (Anzeneder et al., 2023), но и положительно влияет на пластичность мозга (El-Sayes et al., 2019). Дополнительными преимуществами адаптивной физкультуры являются ее доступность, низкая стоимость, простота реализации и ограниченные побочные эффекты (Chen et al., 2021).
Результаты последних исследований показывают, что адаптивная физическая культура способна значительно улучшить поведенческие показатели у детей с РАС, включая снижение стереотипного поведения, развитие социально-эмоциональных функций, когнитивных способностей и улучшение внимания (Bremer et al., 2016). Например, в исследовании Цзе с соавт. (Tse et al., 2018) продемонстрировано, что программа, включающая упражнения с отбиванием мяча, эффективно снижает стереотипное поведение. Аналогично Тоскано с соавт. (Toscano et al., 2022) отметили, что физические упражнения положительно влияют на развитие социальных навыков и уменьшают стереотипные поведенческие проявления.
Кроме того, аэробные упражнения играют важную роль в улучшении концентрации внимания и учебного поведения у детей с аутизмом (Геслак, 2019). Исследования также свидетельствуют о том, что развитие моторных, речевых и социальных навыков напрямую связано с академической успеваемостью детей с РАС. Отдельно стоит отметить, что регулярные аэробные нагрузки способствуют снижению частоты непродуктивного, агрессивного, самоповреждающего поведения (O’Connor et al., 2000).
В целом, многочисленные исследования подтверждают, что участие в спортивных программах оказывает положительное воздействие на детей с аутизмом, улучшая физическое, психологическое и социальное благополучие (Grosprêtre et al., 2024).
Однако, несмотря на большое количество исследований, измерение параметров физической активности у детей с РАС представляет собой достаточно сложную задачу с учетом отсутствия специальных диагностических инструментов или адаптации стандартных. Часто стандартные методы оценки моторики не подходят для детей с особенностями развития, что обусловлено их специфическими потребностями и разнообразием нарушений.
К факторам, снижающим объективность оценки показателей физического развития у детей с РАС, нужно отнести трудности социального взаимодействия, недостаточный уровень понимания ими инструкции, необходимость в помощи и поддержке, а также наличие стереотипного и повторяющегося поведения. Анализ эффективности программ моторного развития свидетельствует о том, что при большом количестве работ качество доказательств остается низким (Ruggeri et al., 2019), что связано с недостаточно четким описанием параметров вмешательств и критериев оценки результатов. В связи с этим возникает необходимость адаптации существующих диагностических методик или разработки новых, специально ориентированных на данную группу детей и учитывающих указанные факторы. Следует отметить, что качество и самостоятельность выполнения упражнений являются не менее важными показателями, чем конкретные параметры выполнения (такие, как длина прыжка, скорость бега или сила броска и т.д.). Было показано, что работа над техникой выполнения физических упражнений является одним из способов повышения самоконтроля, что способствует улучшению коммуникации и снижению уровня тревожности (Riis et al., 2024).
Целью исследования является сравнение результатов стандартных и инновационных подходов к физическим занятиям и апробация ранее разработанного метода оценки двигательной сферы для детей с РАС – “ФизРас”. Этот метод позволяет учитывать уникальные особенности детей с РАС и всесторонне оценивать прогресс в развитии их моторных навыков. Для достижения максимального прогресса важна индивидуальная адаптация упражнений и инструкций, учитывающая специфические особенности детей с РАС, а также акцент на качестве и самостоятельности выполнения упражнений.
Методы
В исследовании участвовало 60 детей с установленным диагнозом РАС в возрасте 7-8 лет. Все дети являлись учащимися Федерального ресурсного центра по организации комплексного сопровождения детей с РАС (ФРЦ МГППУ). Участники исследования прошли психолого-медико-педагогическую комиссию (ПМПК) и обучались по адаптированным образовательным программам в соответствии с ФГОС (Федеральный государственный образовательный стандарт) по вариантам 8.2, 8.3 и 8.4. Основной диагноз РАС у большинства участников сочетался с дополнительными особенностями такими, как задержка психического развития, различные формы интеллектуальной недостаточности, тяжелые множественные нарушения и поведенческие расстройства.
Участники были разделены на две группы. Такое распределение было обусловлено разницей условий педагогического вмешательства. В группе сравнения дети занимались уроками физической культуры по стандартной общеобразовательной программе в рамках ФГОС, 3 раза в неделю по 40 минут. В экспериментальной группе дети занимались по разработанной адаптированной программе «Аут Фитнес» 3 раза в неделю по 40 минут.
Для анализа динамики показателей экспериментальная группа (30 человек) и группа сравнения (30 человек) были разделены на подгруппы в соответствии с программой обучения, рекомендованной ПМПК. Подгруппа 8.2 (А) и подгруппа 8.3–8.4 (Б). Количество учащихся в каждой подгруппе приведено в таблице 1.
Таблица 1. Характеристики участников исследования по подгруппам
Подгруппа  | Занятия  | Вариант АООП  | Количество человек  | Возраст M (±SD)  | 
Группа сравнения А  | Стандартная программа  | 8.2  | 13  | 7,5 (±0,6)  | 
Группа сравнения Б  | Стандартная программа  | 8.3–8.4  | 17  | 7,8 (±0,5)  | 
Экспериментальная группа А  | Адаптированная программа “АутФитнес”  | 8.2  | 13  | 7,4 (±0,7)  | 
Экспериментальная группа Б  | Адаптированная программа “АутФитнес”  | 8.3–8.4  | 17  | 7,7 (±0,6)  | 
Методика адаптивной физической культуры для детей с РАС «Аут Фитнес» представляет собой алгоритм разработки индивидуализированных программ физических занятий, направленных на гармоничное развитие моторной и коммуникативной сферы детей с РАС с учетом особых потребностей и результатов комплексной диагностики. Технология оснащена методическими материалами для составления и реализации индивидуальных программ: анкета для родителей, диагностический инструментарий, методические рекомендации для организации и построения тренировочного процесса, комплексы упражнений для коррекции двигательных нарушений и формирования правильной техники выполнения моторных действий. Главным отличием технологии «Аут Фитнес» от существующих программ по физическому воспитанию в рамках ФАОП является индивидуальный подбор и адаптация физических упражнений. Упражнения подбираются исходя из результатов диагностики с учетом уровня понимания задания, технической оснащенности и самостоятельности. Дозировка упражнений и их направленность определяется с учетом психоэмоционального состояния ученика и особенностей поведения на каждом занятии. Программа также включает дополнительный блок развивающих и коррекционных упражнений, направленных на сенсомоторное развитие, освоение основных двигательных навыков, профилактику нарушений развития осанки и стопы, коррекцию моторных дефицитов, развитие игровой деятельности (Соловьева, Давыдов, 2022; Соловьева и др., 2023).
Методы адаптации упражнений и заданий:
Метод дробления целостного упражнения и поэтапное обучение упражнению по элементам, начиная с самого простого.
Использование специальных средств наглядности, помогающих корректировать негативное поведение: визуальное расписание, таймер, жетоны, мотивационные стимулы, шкала поведения.
Метод структурирования и зонирования пространства.
Диагностика «ФизРАС» позволяет определять отстающие навыки крупной моторики и физические качества (координационные и скоростно-силовые способности, выносливость, гибкость, быстроту) и рационально выстраивать коррекционно-развивающую тренировочную программу для ребенка с аутизмом, оценивая количественные и качественные характеристики двигательных тестов, а также проследить динамику развития двигательной сферы ребенка с РАС, определить успешность прохождения тренировочной программы. Тестирование состоит из 15 проб-упражнений, оценивающих скоростно-силовые качества, статическую выносливость, гибкость и координационные способности. Результаты выполнения упражнений оценивались по следующим параметрам:
- Фактическая результативность (измеряется в соответствующих единицах (длина прыжка/броска в см., кол-во раз, время выполнения и т.д.)).
 - Техника выполнения (в баллах).
 - Самостоятельность (в баллах). По необходимости давать подсказки или осуществлять физическую поддержку.
 - Понимание речевой инструкции (в баллах). По необходимости демонстрации примера.
 
Оценка параметров 2–4 нормировалась относительно максимально возможного количества баллов и составляла максимум 500 баллов по сумме проб. Дополнительно оценивалось качество моторной активности в повседневной жизни при помощи опросника для родителей. Результаты суммировались по трем шкалам: локомоторная активность, манипуляция с предметами и управление рулевыми средствами передвижения Максимальный балл по каждой шкале – 100. Комплексная диагностика по методике “ФизРас” проводилась для всех подгрупп до и после прохождения курса занятий.
Результаты
Для анализа данных был использован непараметрический критерий Манна-Уитни для независимых выборок, выполненный с помощью программы Jamovi (The jamovi project (2022). jamovi. (Version 2.3) [Computer Software]. Retrieved from https://www.jamovi.org. R Core Team (2021). R: A Language and environment for statistical computing. (Version 4.1) [Computer software]. Retrieved from https://cran.r-project.org. (R packages retrieved from MRAN snapshot 2022-01-01).), что позволило провести сравнение результатов между подгруппами.
Индивидуальный анализ динамики измеренных показателей двигательной активности показал, что прогресс по большему числу параметров наблюдается у всех детей, проходивших занятия как обычной физкультурой (контрольная группа), так и занимавшихся дополнительно по программе «Аут Фитнес» (экспериментальные группы). Вместе с тем уровень улучшений был различным и зависел, в том числе, и от исходного уровня физического развития, самостоятельности и коммуникативных навыков, в частности способности понимать инструкцию. Сравнение подгрупп по данным начального тестирования практически не выявило различий между экспериментальной и контрольной группами до начала занятий, но показало значимые различия между подгруппами А (программа 8.2) и Б (программа 8.3–8.4). Для расчетов исходных данных подгруппы были объединены, ввиду отсутствия различий между контрольной и экспериментальной группами до начала занятий.
Сравнение тех же подгрупп по данным итогового тестирования после окончания курса также выявило достоверные различия между подгруппами А и Б как для контрольной, так и для экспериментальной группы. Сравнения проводились отдельно, так как были выявлены достоверные различия между экспериментальной и контрольной группой после курса.
Для сопоставления прогресса по отдельным показателям в изучаемых подгруппах были выбраны такие параметры, как бросок из-за головы и прыжок. Эти параметры отражены на рисунках 1 и 2, соответственно.
Рис. 1. Динамика изменений результатов выполнения упражнения «бросок из-за головы».
Примечание: По оси У – длина броска в см.* достоверные различия между подгруппами по критерию Манна-Уитни до и после курса занятий (**– p < 0,01, ***– p < 0,001), х – достоверные различия между экспериментальной и сравнительной группами.
Различия во всех подгруппах до и после курса достоверны. Итоговые показатели в экспериментальных подгруппах значительно и достоверно выше, чем в контрольных. Наибольший относительный прирост наблюдается в экспериментальной подгруппе Б.
Рис. 2. Динамика изменений результатов выполнения упражнения «прыжок в длину»
Примечание: По оси У – длина прыжка в см. * достоверные различия между подгруппами по критерию Манна-Уитни до и после курса занятий (**– p < 0,01, ***– p < 0,001), х – достоверные различия между экспериментальной и сравнительной группами.
Для показателя «прыжок» наблюдается сходная динамика для всех подгрупп, однако относительный прогресс в экспериментальной группе значительно больше, чем в контрольной.
Полученные данные свидетельствуют о большей эффективности занятий по программе «Аут Фитнес», что, может быть, обусловлено тем, что в программе большое внимание уделяется развитию коммуникативных навыков, в частности пониманию инструкций. Разработанная система оценки показателей физической активности «ФизРас» предполагает также оценку таких параметров, как техника выполнения проб, уровень самостоятельности и понимания инструкций. Анализ показателей по этим параметрам в исследованных группах представлен ниже.
Межгрупповые сравнения полученных показателей также осуществлялись с применением критерия Вилкоксона (для сопоставления данных до и после курса для каждой группы) и Манна Уитни (для сравнения между контрольной и экспериментальной группами).
До начала программы между экспериментальной и контрольной группой не было выявлено статистических различий. Однако показатели подгрупп А были достоверно выше, чем подгрупп Б как в экспериментальной группе, так и в контрольной. Результаты, полученные после завершения программы, показывают достоверное улучшение показателя во всех подгруппах, причем в экспериментальной группе более выраженное, чем в контрольной. Также в экспериментальных подгруппах заметно сократился разрыв между подгруппами А и Б (см. рис. 3).
Рис. 3. Динамика изменений результатов оценки техники выполнения упражнений
Примечание: По оси У – баллы * достоверные различия между подгруппами по критерию Манна-Уитни до и после курса занятий (**– p < 0,01, ***– p < 0,001), х – достоверные различия между экспериментальной и сравнительной группами.
Как и в случае показателя «техника», «самостоятельность выполнения упражнений» достоверно различается у подгрупп А и Б, как для контрольной, так и экспериментальной группы до начала курса, а по окончании курса это характерно только для контрольной группы (см. рис. 4). Уровень самостоятельности в экспериментальных подгруппах достоверно выше, чем в контрольных и сопоставим для подгрупп А и Б. Эти данные свидетельствуют об эффективности программы «Аут Фитнес» в плане развития самостоятельности, особенно заметно это в подгруппе с более низким уровнем функционирования. Улучшение достигается за счет специальных упражнений и системы дозированной помощи в процессе освоения развития навыков на занятиях.
Рис. 4. Динамика изменений результатов оценки самостоятельности выполнения упражнений
Примечание: По оси У – баллы. * достоверные различия между подгруппами по критерию Манна-Уитни до и после курса занятий (**– p < 0,01, ***– p < 0,001), х – достоверные различия между экспериментальной и сравнительной группами.
Качество выполнения заданий в значительной степени зависит от уровня понимания инструкции. Отдельная оценка этого показателя позволила проследить его динамику во всех подгруппах. На рис. 5 представлены суммарные показатели по подгруппам.
Сравнение показателей моторного развития между соответствующими подгруппами экспериментальной и сравнительной групп не выявило различий. Однако в обеих группах наблюдались достоверно более высокие показатели в подгруппах, обучающихся по варианту программы А по сравнению с Б. Это же соотношение сохранилось и после курса при выраженной положительной динамике для всех подгрупп. Но нужно заметить, что прогресс в экспериментальной группе был значительно более выражен, и итоговые показатели оказались достоверно выше, чем в соответствующих сравнительных подгруппах.
Рис. 5. Динамика изменений результатов оценки выполнения речевой инструкции
Примечание: По оси Y – баллы. По оси У – баллы. * достоверные различия между подгруппами по критерию Манна-Уитни до и после курса занятий (**– p < 0,01, ***– p < 0,001), х – достоверные различия между экспериментальной и сравнительной группами.
Учитывая значимость понимания инструкций для эффективности занятий в целом, был проведен корреляционный анализ этого показателя с другими измеренными параметрами, в том числе и с показателями уровня бытовых двигательных навыков, оцененных по опросу родителей также в начале и в конце курса занятий. Корреляционный анализ осуществлялся при помощи критерия Пирсона и подтвердил предположение о положительной связи показателя «понимание инструкций» с большинством измеренных параметров во всех подгруппах. Ниже приведены отдельные примеры полученных результатов.
Диаграммы рассеяния иллюстрируют наличие высокой корреляции между показателями «понимания инструкций» и выполнения упражнения подгруппах как до, так и после курса занятий. Однако в экспериментальной подгруппе после курса наблюдается более значительная дисперсия обоих показателей, чем в контроле, что свидетельствует о наличии прогресса различной степени у большинства детей (см. рис. 6). В контрольной же группе наблюдается динамика меньшего масштаба и только для части детей. Это свидетельствует об эффективности развития коммуникативных навыков в плане понимания инструкции в ходе занятий по программе «Аут Фитнес».
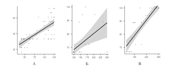
Рис. 6. Связь показателя «выполнение речевых инструкций» и «прыжок» в экспериментальной и сравнительной группах
Примечание: По оси Х «понимание инструкций» в суммарных баллах, по оси У – длина прыжка в см. А – до начала занятий (R = 0,670 при р < ,001) (объединенная группа сравнение + эксперимент); Б – после курса занятий (R = 0,742 при р < ,001) (группа сравнения); В – после курса занятий (R = 0,677 при р < ,001) (эксперимент)
Дополнительным показателем эффективности занятий и устойчивости приобретенных навыков является изменение уровня сформированности бытовых моторных навыков таких, как манипуляция с предметами, успешность управления колесными средствами (велосипед, самокат, ролики) и локомоция. Эти параметры оценивались при помощи опросника для родителей и были сопоставлены с данными, полученными в ходе тестирования детей до и после курса занятий. Ниже представлены результаты корреляционного анализа показателей «манипуляция с предметами» и «понимание инструкции»
Высокие значения корреляций между параметрами понимания инструкций и навыками манипуляции с предметами подтверждают значение понимания инструкции для выполнения не только упражнений, но и бытовых действий. Учитывая, что выполнение манипуляций с предметами не входило в программу обучения, этот результат может свидетельствовать о генерализации полученных навыков. Сравнение диаграмм рассеяния для контрольной и экспериментальной групп (см. рис. 7) свидетельствует о том, что в экспериментальной группе количество детей, чьи навыки манипуляции с предметами улучшились пропорционально пониманию инструкций выше, чем в контрольной. Это подтверждает эффективность программы и целесообразность ее применения в рамках занятий адаптивной физкультурой для младших школьников с РАС с различным уровнем функционирования.
Рис. 7. Связь показателей «понимание инструкций» и «манипуляция с предметами» в экспериментальной и контрольной группах
Примечание. По оси Х «понимание инструкций» в суммарных баллах, по оси У – «понимание инструкций» в баллах. А – до начала занятий (R = 0,720 при р < ,001) (объединенная группа контрольная и экспериментальная); Б – после курса занятий (R = 0,528 при р < ,001) (контрольная группа); В – после курса занятий (R = 0,865 при р < ,001) (экспериментальная группа)
Заключение
Результаты исследования подтверждают высокую эффективность программы «Аут Фитнес» для улучшения двигательной активности и общей физической подготовки у детей с РАС. Программа показала значительные преимущества в сравнении с традиционными занятиями физкультурой, что выражается в большем прогрессе по ключевым параметрам, включая длину прыжка, дальность броска, технику выполнения упражнений, уровень самостоятельности и понимания инструкций.
Особенно важно, что улучшения, достигнутые в экспериментальной группе, выходят за пределы рамок физической активности. У детей, занимавшихся по программе «Аут Фитнес», отмечалось повышение уровня бытовых навыков таких, как манипуляция с предметами, управление колесными средствами и локомоция. Это указывает на генерализацию полученных двигательных умений и их положительное влияние на повседневную жизнь, что является важным показателем для комплексной реабилитации детей с РАС.
Программа продемонстрировала свою эффективность в развитии коммуникативных навыков, включая понимание инструкций, что, в свою очередь, положительно сказывается на качестве выполнения упражнений и формировании новых бытовых навыков. Высокая корреляция между показателями понимания инструкций и выполнением как спортивных, так и бытовых заданий подтверждает значимость работы над этими аспектами в рамках занятий.
Таким образом, программа «Аут Фитнес» может рассматриваться как эффективный инструмент для комплексного развития детей с РАС. Она способствует не только улучшению физической формы, но и развитию коммуникативных и бытовых навыков, что повышает качество жизни и содействует социальной адаптации. Учитывая выявленные преимущества, применение данной программы рекомендуется для работы с детьми с различным уровнем функционирования в рамках адаптивной физкультуры.
About the authors
Elisaveta Yu. Davydova
Moscow State University of Psychology and Education (MSUPE)
							Author for correspondence.
							Email: davidovaeju@mgppu.ru
				                	ORCID iD: 0000-0002-5192-5535
				                																			                								
Ph.D (Biology), Leading Researcher
Russian Federation, bld. 29, Sretenka str., Moscow, 127051Anna A. Movchan
Moscow State University of Psychology and Education (MSUPE)
														Email: movchanaa@mgppu.ru
				                	ORCID iD: 0009-0000-5112-2735
				                																			                								
Junior Research Assistant
Russian Federation, bld. 29, Sretenka str., Moscow, 127051Marina V. Soloveva
Moscow State University of Psychology and Education (MSUPE)
														Email: solovevamv@mgppu.ru
				                	ORCID iD: 0000-0003-0896-2477
				                																			                								
Methodist
Russian Federation, bld. 29, Sretenka str., Moscow, 127051Denis V. Davydov
Moscow State University of Psychology and Education (MSUPE)
														Email: davydovdv@mgppu.ru
				                	ORCID iD: 0000-0003-0993-3803
				                																			                								
Ph.D (Biology), Senior Research Assistant
Russian Federation, bld. 29, Sretenka str., Moscow, 127051References
- Anzeneder, S., Zehnder, C., Martin-Niedecken, A.L., Schmidt, M., & Benzing, V. (2023). Acute exercise and children’s cognitive functioning: What is the optimal dose of cognitive challenge? Psychology of Sport and Exercise, 66, 102404. https://doi.org/10.1016/j.psychsport.2023.102404.
 - Bremer, E., Crozier, M., Lloyd, M. (2016). A systematic review of the behav-ioural outcomes following exercise interventions for children and youth with autism spectrum disorder. Autism, 20(8), 899–915.
 - Chen, A.G., Xiong, X., Zhu, L.N., Dong, X., Wang, W. (2021). Physical exer-cise and development of brain and mind in children and adolescents: Evi-dence and theory. China Sport Science, 41(11), 43–51.
 - Clemente, F.M., Moran, J., Ramirez-Campillo, R., Oliveira, J., Brito, J. (…) Sarmento, H. (2022). Recreational soccer training effects on pediatric pop-ulations physical fitness and health: A systematic review. Children, 9(11), 1776. https://doi.org/10.3390/children9111776.
 - Dudnik, O.E. (2017). The impact of adaptive physical education classes on the psychomotor development of children with autism spectrum disorders. In G.V. Bugaev & O.N. Savinkova (Eds.), Physical Culture, Sports and Health in Modern Society: Collection of scientific articles of the All-Russian with international par-ticipation in-person and correspondence scientific and practical conference, Voronezh (pp. 428–430). Voronezh: Nauchnaya kniga.
 - El-Sayes, J., Harasym, D., Turco, C.V., Locke, M.B., Nelson, A.J. (2019). Exer-cise-induced neuroplasticity: A mechanistic model and prospects for pro-moting plasticity. Neuroscientist, 25(1), 65–85. https://doi.org/10.1177/1073858418771538.
 - Geslak, D. (2019). The Autism Fitness Handbook: An exercise boost body image, motor skills, posture and confidence in children and teens with autism spectrum disorder. Eka-terinburg: Rama Publishing.
 - Green, D., Charman, T., Pickles, A., Chandler, S., Loucas, T., Simonoff, E., Baird, G. (2009). Impairment in movement skills of children with autistic spectrum disorders. Developmental Medicine & Child Neurology, 51(4), 311–316. https://doi.org/10.1111/j.1469-8749.2008.03242.x.
 - Grosprêtre, S., Ruffino, C., Derguy, C., Gueugneau, N. (2024). Sport and au-tism: What do we know so far? A review. Sports Medicine – Open, 10(1), 107. https://doi.org/10.1186/s40798-024-00765-x.
 - O’Connor, J., French, R., Henderson, H. (2000). Use of physical activity to improve behavior of children with autism: Two-for-one benefits. Palaestra, 16(3), 22–29.
 - Riis, K., Samulski, B., Neely, K.A., Laverdure, P. (2024). Physical activity for anxiety for autistic people: A systematic review. Journal of Autism and Devel-opmental Disorders. https://doi.org/10.1007/s10803-024-06356-9.
 - Ruggeri, A., Dancel, A., Johnson, R., Sargent, B. (2020). The effect of motor and physical activity intervention on motor outcomes of children with au-tism spectrum disorder: A systematic review. Autism, 24(3), 544–568. https://doi.org/10.1177/1362361319885215.
 - Soloveva, M.V., Davydov, D.V. (2022). Out Fitness technology for organizing adaptive physical education classes for children with ASD. Autizm i narusheniya razvitiya, 20(4), 17–25. https://doi.org/10.17759/autdd.2022200402.
 - Soloveva, M.V., Davydov, D.V., Movchan, A.A., Chzhan, D. (2023). The problem of evaluating the effectiveness of physical development programs for children with ASD: An example of the implementation of the program of intensive motor training “Out Fitness.” Autizm i narusheniya razvitiya, 21(4), 15–25. https://doi.org/10.17759/autdd.2023210402.
 - Toscano, C.V.A., Ferreira, J.P., Quinaud, R.T., Silva, K.M.N., Carvalho, H.M., Gaspar, J.M. (2022). Exercise improves the social and behavioral skills of children and adolescents with autism spectrum disorders. Frontiers in Psychi-atry, 13, 1027799. https://doi.org/10.3389/fpsyt.2022.1027799.
 - Tse, C.Y.A., Pang, C.L., Lee, P.H. (2018). Choosing an appropriate physical exercise to reduce stereotypic behavior in children with autism spectrum disorders: A non-randomized crossover study. Journal of Autism and Devel-opmental Disorders, 48(5), 1666–1672. https://doi.org/10.1007/s10803-017-3419-3.
 
Supplementary files
				
			
					
						
						
						
						
				








