Новый метод оценки модулей начальных тейлоровских коэффициентов на классе ограниченных не обращающихся в нуль функций
- Авторы: Ступин Д.Л.1
-
Учреждения:
- ФГБОУ ВО «Тверской государственный университет»
- Выпуск: Том 29, № 145 (2024)
- Страницы: 98-120
- Раздел: Научные статьи
- URL: https://bakhtiniada.ru/2686-9667/article/view/288893
- DOI: https://doi.org/10.20310/2686-9667-2024-29-145-98-120
- ID: 288893
Цитировать
Полный текст
Аннотация
Задача получения точной оценки модуля тейлоровского коэффициента с номером n на классе B ограниченных не обращающихся в нуль функций сведена к задаче об оценке функционала над классом нормированных ограниченных функций, которая в свою очередь сведена к задаче о поиске условного максимума неотрицательной целевой функции действительных аргументов с ограничениями типа неравенств, что позволяет применять стандартные численные методы поиска условных экстремумов.
Получены аналитические выражения для первых шести целевых функций и показана их липшицевость. Исходя из липшицевости целевой функции с номером n обосновывается метод точной оценки модуля тейлоровского коэффициента с номером n на классе B. Обсуждается алгоритм поиска глобального условного максимума целевой функции. Первый шаг этого алгоритма состоит в поиске полным перебором с довольно-таки большим шагом. На втором шаге алгоритма используется метод поиска локального максимума с начальными точками, полученными на предыдущем шаге.
Результаты численных вычислений приведены в графическом виде и подтверждают гипотезу Кшижа при На основе этих расчетов, а также на основе так называемых асимптотических оценок выводится точная оценка модулей первых шести тейлоровских коэффициентов на классе B. Полученные результаты сравниваются с известными ранее оценками модулей начальных тейлоровских коэффициентов на классе B и его подклассах Обсуждаются экстремали для подклассов и гипотеза Кшижа уточняется для подклассов Дается краткий исторический обзор исследований по тематике оценки модулей начальных тейлоровских коэффициентов на классе B.
Полный текст
Введение
Тейлоровские коэффициенты функции будем обозначать
Классом B будем называть множество, состоящее из голоморфных в открытом единичном круге функций f, таких, что
В 1968 г. Ян Кшиж предположил [1, 2], что если то
причем равенство достигается только на функциях вида где
Это предположение мы будем называть гипотезой Кшижа, а задачу о точной оценке на классе B — проблемой Кшижа.
Гипотеза Кшижа привлекает внимание ряда математиков. В настоящее время она доказана до пятого тейлоровского коэффициента включительно [3]. Существование экстремалей в этой задаче очевидно, поскольку после присоединения к классу B функции получается компактное в себе семейство функций (в топологии локально равномерной сходимости).
Поскольку класс B инвариантен относительно вращений в плоскости переменной w (), то можно ограничиться изучением функций, для которых Так как то можно положить где параметр Эти подклассы обозначим через Как известно из теории подчиненных функций [4], каждую функцию класса можно представить в виде
(0.1)
где — класс, состоящий из голоморфных в функций таких, что
Отметим, что при каждом эта формула устанавливает взаимно однозначное соответствие между классами и
Класс, состоящий из функций с действительными коэффициентами, обозначим через а класс, состоящий из функций с действительными коэффициентами, обозначим через При каждом формула (0.1) устанавливает взаимно однозначное соответствие между классами и
Заметим также, что класс состоит только из одной функции поэтому можно считать полностью изученным. В дальнейшем мы будем для полноты указывать, что однако фактически можно всюду далее считать, что Эта оговорка позволяет нам, например, свободно делить на t.
Проблема Кшижа имеет непосредственную связь с полиномами Лагерра, Фабера, а также с проблемой коэффициентов на классах ограниченных функций, которая в свою очередь тесно связана с теорией подчиненных функций [4] и с теорией пространств Харди. Проблема Кшижа для коэффициента с номером n есть задача на экстремум функционала, которую можно свести к задаче об экстремуме действительнозначной функции действительных переменных [5]. Задачи на экстремум широко распространены в науке и технике и имеют разнообразные приложения.
Многие задачи геометрической теории функций комплексной переменной сводятся к изучению свойств функции через ее тейлоровские коэффициенты. Класс B посредством класса связан с классами однолистных функций, в частности, с классами выпуклых и звездных функций. Соответственно, и проблема коэффициентов для B связана c проблемой коэффициентов для упомянутых классов. Также имеются параллели между гипотезой Кшижа и теоремой Де Бранжа (ранее гипотезой Бибербаха).
1. Постановка задачи
Во введении мы упоминали, что гипотеза Кшижа доказана только до пятого тейлоровского коэффициента включительно. Краткий исторический обзор по начальным коэффициентам имеется в конце этой работы. Заметим также, что оценки на точные для всех получены только до третьего тейлоровского коэффициента включительно (первый и второй коэффициенты см. [6], третий коэффициент см. [7]). Оценки модулей четвертого [8–10] и пятого [3] коэффициентов не являются точными при каждом Гипотеза Кшижа для шестого коэффициента не доказана, хотя оценки 6-го коэффициента имеются в [11, с. 19] и в [12].
Судя по всему, если некоторый метод дает оценки точные не при всех то найдутся n и такие, что Таковым, например, является метод Брауна [8] при и метод Шапеля [10] при (см. [12]).
Даже при оценки на точные при каждом аналитическими методами получить достаточно сложно [7]. Так как уже при в оценках [7] фигурируют полиномы степени 4, то в силу теоремы Абеля–Руффини о неразрешимости алгебраических уравнений в радикалах, при оценки по всей видимости уже не будут выражаться в радикалах. С другой стороны, если ограничиться подклассом функций с действительными коэффициентами, то задача сильно упрощается, при этом получаемые оценки не сильно отличаются от оценок, имеющих место в общем случае [13].
Задача данной работы состоит в том, чтобы предложить и обосновать метод «точной» оценки модуля тейлоровского коэффициента с любым номером n на классе На некоторых интервалах изменения параметра t мы будем использовать численные методы, поэтому оценки будут получаться с некоторой погрешностью, вносимой в расчеты с одной стороны машинной арифметикой, а с другой стороны — самим численным методом.
Численные методы мы будем использовать исключительно на конечном интервале изменения параметра t, так как при и у нас есть точная оценка, полученная аналитическим методом. Заметим, что несмотря на использование приближенных вычислений, при можно получить оценку, точную на классе B. Подробнее об этом рассказывается в следующих пунктах.
2. Метод подчинения
Остановимся подробнее на представлениях вида (0.1). Пусть функции и голоморфны в Функция называется подчиненной в для функции если она может быть представлена в в форме где Функцию будем называть мажорантой для в Понятие подчинения восходит к Е. Линделефу [14], термин был введен Д. И. Литлвудом [15] и В. Рогозинским [4], они же разработали метод и получили с его помощью некоторые результаты. Принцип подчинения Литлвуда и Рогозинского часто используется при выводе оценок коэффициентов в классе B (см. [6, 10, 16–18]).
В случае проблемы Кжижа, трудность применения этого метода заключается в сложности коэффициентов функции
Отметим, что теория подчинения позволяет очень легко находить точные оценки первого и второго коэффициентов на классе функций подчиненных функции Известно [4], что
все оценки точные, и равенство достигается только на вращениях функции G в плоскости переменной z.
3. Асимптотические оценки коэффициентов
Пользуясь упомянутой в пункте 2 теорией подчинения [4] и критерием Каратеодори–Теплица [19], Р. Перец сформулировал [16] две теоремы, содержащие асимптотические оценки при достаточно больших или достаточно малых положительных t.
Теорема 3.1. (Peretz) Пусть Существует число такое, что для любой функции при справедливы точные оценки
Равенство достигается если и только если
Теорема 3.1. (Peretz) Пусть Существует число такое, что для при справедливы точные оценки
Равенство достигается если и только если
Заметим, что числа и упоминались выше в пункте 1.
Для случая малых t явный результат получен автором данной работы в [17]:
Теорема 3.3. Для любого и каждой справедливы точные оценки
Равенство достигается если и только если
Этот результат также получен с использованием метода подчинения и неравенств Каратеодори–Теплица.
Из теоремы 3.3 следует, что чем меньшее число мы зафиксируем, тем большее количество тейлоровских коэффициентов сможем оценить на классе
Этот результат интересен при Например, при мы можем оценить только один коэффициент, при — два коэффициента, при — три коэффициента, а при — пять, и так далее.
Необходимо отметить, что указанные в теореме 3.3 границы для t не наилучшие. Автор пользовался тем, что при каждом некоторый отрезок тейлоровского разложения функции можно продолжить до выпуклой однолистной функции. В этом случае получилась простая закономерность, связывающая n и t.
Заметим, что из теоремы 3.3 сразу следует теорема 3.1. Однако P. Перец доказал свою теорему намного раньше. Он пользовался тем, что при каждом некоторый отрезок тейлоровского разложения функции можно продолжить до функции класса Каратеодори. Используя этот подход при мы по-прежнему сможем оценить только два коэффициента на классе зато при этот метод позволяет оценить уже целых шесть коэффициентов.
Д. В. Прохоров и С. В. Романова методами оптимального управления получили аналогичные результаты [20, 21]. В частности, в статье [21] получены точные оценки для малых t, гарантирующие локальный максимум модуля n-го коэффициента.
4. Границы применимости асимптотических оценок
В формулировках Переца не упоминаются границы для n и t, однако эти границы можно вычислить используя критерий Каратеодори–Теплица [19].
Переформулируем теорему 3.1.
Теорема 4.1. Пусть тогда где — наименьший положительный корень уравнения а
Равенство достигается если и только если
Переформулируем теорему 3.2.
Теорема 4.2. Пусть тогда где — наибольший положительный корень уравнения а
Равенство достигается если и только если
Воспользовавшись этими формулировками, имеем для :
Таким образом, мы видим, что для и поставленная задача решена полностью. Однако, задача точной оценки при решена только частично. С другой стороны, при каждом интервал, в котором задача не решена, конечен.
Заметим, что границы, указанные в теоремах 4.1 и 4.2, так же, как и в теореме 3.3, не наилучшие. В частности, в пункте 9.1 будет показано, что а — наилучшие значения для К этому мы еще вернемся далее в пункте 10.
В завершении этого пункта отметим, что теорему 3 можно получить с привлечением выпуклых однолистных функций (см. [18]). В этом случае вычисления дают следующие значения для :
5. Анализ задачи
Рассмотрим числа введенные в предыдущем пункте, и заметим, что но Если гипотеза Кшижа верна при то, поскольку для существует такое, что
То есть при и мы можем, имея даже не точную оценку на получить точную оценку на B. При рассуждения, основанные на результатах предыдущего пункта, уже не позволяют нам получить оценки, точные на B.
Ради определенности пусть Как показано в статье [5], задачу об оценке функционала на классах можно свести к исследованию на условный глобальный максимум действительнозначной функции (выражение для см. в конце этого пункта) при ограничениях Стало быть, если функция липшицева по переменным то гипотезу Кшижа (при ) можно доказать или опровергнуть, просто вычислив значения в узлах конечной эпсилон-сети, разбивающей множество при том условии, что расстояние между соседними узлами этой сети не превышает некоторой величины, вычисленной исходя из константы Липшица для (см. пункт 6).
Фиксируем номер В работе [] задача оценки функционала на классах была сведена к исследованию на условный глобальный максимум действительнозначной функции при ограничениях Напомним, что в обозначениях статьи [5]
Пусть
Выпишем при Имеем где
Выпишем при Имеем где
При имеем где
Наконец где
Итак, учитывая сказанное в пункте 4, приходим к выводу, что рассматриваемая задача сводится к исследованию на глобальный условный максимум целевых функций при каждом значении параметра t, и ограничениях
6. Липшицевость целевой функции
Функция f называется липшицевой на множестве X, если найдется такое число (константа Липшица), что при любых Дилатацией (растяжением) будем называть наилучшую, то есть наименьшую константу Липшица на рассматриваемом компакте.
Фиксируем В предыдущем пункте задача об оценке целевого функционала была сведена к задаче о поиске условного глобального максимума действительнозначной функции действительных аргументов
Лемма о липшицевости [22, с. 22–24] гласит, что непрерывно дифференцируемая функция на компактном подмножестве евклидова пространства удовлетворяет условию Липшица.
Обозначим область определения целевой функции через
Для доказательства липшицевости функции мы можем рассматривать ее как многочлен от переменных Многочлен, как известно, есть липшицева функция на компакте по каждой из своих переменных.
Доказать липшицевость функции мы также можем, рассмотрев ее реальную и мнимую части. Действительно, принимая во внимание то, что видим, что и есть липшицевы функции по каждой переменной, так как и — бесконечно гладкие по всем переменным. Из липшицевости и следует липшицевость
Если — липшицева, то очевидно, что и — липшицева.
Мы можем разбить некоторым достаточно равномерным образом и вычислить значения во всех узлах получившейся конечной эпсилон-сети. Обозначим наибольшее из вычисленных значений через Так как — липшицева, то мы можем оценить разность через произведение дилатации и шага сети (под шагом сети мы подразумеваем супремум расстояний между соседними узлами сети). Это и будет основная погрешность наших вычислений. Отметим, что погрешностью, вносимой в расчеты машинной арифметикой, можно пренебречь, так как она очень мала по сравнению с
Пусть — максимальная из дилатаций по каждой из переменных То есть если — максимальное расстояние между узлами сети, то погрешность не будет превосходить
Заметим, что термин «эпсилон-сеть» относится к устоявшейся терминологии. Тем не менее, здесь для обозначения шага сети используется символ а символ используется для обозначения погрешности вычислений. Поэтому мы вместо -сеть пишем эпсилон-сеть, или просто сеть.
7. Об оценке константы дилатации
Итак, проведенный в пункте 6 анализ показывает, что для решения задачи максимизации целевой функции целесообразно использовать методы теории многомерной глобальной липшицевой оптимизации.
Выбор константы Липшица существенно влияет на скорость работы алгоритма глобального поиска. Поэтому необходимо иметь достаточно хорошую верхнюю оценку дилатации. Действительно, если взять меньше дилатации, то алгоритм может сойтись к локальному, а не глобальному максимуму, если же взять слишком большое значение для то алгоритм будет сходиться очень медленно.
С другой стороны, мы занимаемся поиском глобального максимума, а вблизи экстремальных точек, как известно, производная становится близкой к нулю. То есть в окрестностях точек максимумов дилатация близка к нулю. Таким образом, даже если взять приращение аргумента несколько меньше рассчитанного исходя из глобальной дилатации, то вероятность нахождения стационарной точки остается высокой.
Поиск дилатации для целевой функции на некотором компакте X в свою очередь также является глобальной оптимизационной задачей. В общем случае, эта задача по сложности сопоставима с задачей поиска глобального максимума целевой функции на X. Например для нахождения дилатации по переменной достаточно найти Для работы нашего алгоритма требуется найти также дилатации по остальным переменным.
Грубую оценку дилатации можно получить так: находим производную по интересующей нас переменной и применяем неравенство треугольника. К сожалению, полученная таким образом константа Липшица, скорее всего, будет в несколько раз больше дилатации.
8. О численном методе
Для определенности будем рассматривать алгоритм поиска глобального максимума на примере В этой работе используется метод полного перебора. Здесь мы считаем, что
Обсудим конечную эпсилон-сеть, охватывающую множество в узлах которой мы будем вычислять значения функции
Отрезок изменения переменной мы разобьем на равные части так, чтобы расстояние между соседними точками было не более
8.1. Разбиение единичного круга
Замкнутый единичный круг, пробегаемый переменной мы разобьем следующим образом. Разбиение начинается с точки в начале координат, которую следует рассматривать как отдельный шаг алгоритма разбиения. Далее круг разбивается на воображаемые концентрические окружности, величины радиусов которых делят отрезок на равные части. На окружности с наименьшим положительным радиусом поместим 4 точки, разбивающие окружность на равные части, первая из этих точек должна лежать на положительном луче оси абсцисс. На окружности со вторым по величине радиусом поместим 8 точек, разбивающие окружность на равные части, первая из этих точек должна лежать на положительном луче оси абсцисс. На окружности с третьим по величине радиусом поместим 12 точек, разбивающие окружность на равные части, первая из этих точек должна лежать на положительном луче оси абсцисс. И так далее, пока не дойдем до единичной окружности.
Итак, количества точек на концентрических окружностях образуют арифметическую прогрессию где n — общее количество окружностей. То есть количество точек N в таком разбиении будет с учетом дополнительной точки в начале координат.
Например, если то если то если то и так далее.
Круги для переменных разбиваются аналогично, с небольшой оговоркой. Дело в том, что входит в чаще всех остальных переменных и с самой большой степенью, входит в чаще переменных и с самой большой степенью и так далее, переменная входит в всего дважды с максимальной степенью 2. Этим обусловлено то, что дилатация убывает от к То есть количество точек в разбиениях тоже может убывать от к без потери точности вычислений.
На рисунке 1 показаны радиальные разбиения единичного круга, точки разбиения лежат на 10 концентрических окружностях плюс одна точка в начале координат.
Рис. 1. Четырехсекторное и шестисекторное разбиения единичного круга
Заметим, что у приведенных разбиений единичного круга есть точки, лежащие на оси абсцисс, причем располагаются они там достаточно плотно. Дело в том, что случай функций с действительными коэффициентами является весьма важным частным случаем. Если то
и мы просто разбиваем эти отрезки на равные части.
Сеть называется однородной, если все ее внутренние узлы имеют одинаковое число соседних узлов. Будем называть сеть подавляюще однородной, если все ее внутренние вершины, кроме центральной, имеют одинаковое количество соседних вершин.
Построенная здесь сеть называется сетью на основе 4 секторов и обладает хорошим качеством [23], а также подавляющей однородностью. Каждая внутренняя вершина имеет 6 соседних вершин, кроме вершины в начале координат, которая имеет только 4 соседних. Граничные вершины, лежащие на осях координат, имеют по 3 соседних вершины, остальные вершины имеют по 4 соседних.
Отметим, что сеть на основе 6 секторов обладает полной однородностью. Для ее построения на окружности с самым маленьким радиусом нужно разместить не 4, а 6 точек, разбивающих окружность на равные части, причем первая из этих точек должна лежать на положительном луче оси абсцисс. Следующую окружность разобьем 12 точками на равные части, так чтобы одна из точек лежала на положительном луче оси абсцисс. Следующую окружность разобьем 18 точками на равные части, так чтобы одна из точек лежала на положительном луче оси абсцисс. И так далее, пока не дойдем до единичной окружности.
Заметим для полноты изложения, что, имея сеть, мы можем построить триангуляцию круга, соединяя ближайшие друг к другу точки отрезками прямой. Начинать процесс триангуляции можно из любой точки сети.
8.2. Алгоритм поиска условного глобального максимума
Промежуток изменения параметра t разбиваем равномерно. После этого вычисляем и сохраняем в памяти компьютера числа
где m — количество точек в разбиении по t.
Заметим, что не зависят от а не зависят от параметра t.
Точки сети, разбивающей обозначим через
Перебираем точки В каждой точке вычисляем один раз значения функций Затем вычисляем по формуле
для всех значений Полученный набор значений сравниваем с набором, вычисленным в предыдущей точке если предыдущая точка имеется. Таким образом, мы в итоге вычисляем приближение к максимуму и к точке максимума для каждого значения параметра t.
Только что был описан метод полного перебора. Для получения приемлемых результатов этот метод требует больших вычислительных ресурсов и времени. Дело в том, что сеть, дающая приемлемый результат, должна содержать очень много точек. Несколько забегая вперед, сообщим, что при определенных условиях нас бы устроило Здесь рассмотрим более легкий в вычислительном плане случай. Расстояния между концентрическими окружностями возьмем Это значит, что В этом случае будет состоять из
точек сети или вычислений значений функции а вычисление есть очень затратная операция. На процессорах современных персональных компьютеров эти вычисления займут годы. Как вариант, можно использовать суперкомпьютер или, как минимум, вычисления на графических ускорителях.
Заметим, что в этом примере мы взяли равномерное разбиение по всем переменным. Если уменьшать количество точек в разбиениях по мере роста номера переменной, то вычислений будет необходимо значительно меньше.
С другой стороны, взяв менее подробную сеть, но проводя в каждой ее точке локальный поиск, задавая эту точку как отправную для локального поиска и сравнивая результат локального поиска с текущим максимальным значением, можно получить очень хорошие результаты, так как вероятность попадания во все области притяжения экстремальных точек достаточно большая.
В любом случае, вычисления всегда заканчиваются локальным поиском при каждом значении параметра t, начальными точками для которого служат точки, найденные перебором. Здесь используется метод М. Дж. Д. Пауэлла [24], также известный как метод сопряженных направлений. Метод не требует вычисления производных, что хорошо, так как в нашем случае целевая функция содержит модуль.
Заметим, что этот метод не относится к методам условной оптимизации, поэтому применяются специальные ухищрения. В частности, редукция размерности точки с целью превращения граничной точки во внутреннюю точку а также обработка события выхода точки за границу (штрафы).
Расчеты производятся параллельно. Для распараллеливания вычислений пространство поиска разбивается на «кубики», и описанный алгоритм применяется к нескольким «кубикам» параллельно, после чего результаты расчетов обобщаются.
9. Результаты вычислений
Все вычисления, описанные в этой работе, проведены на компьютере автора. Результаты вычислений будут представлены в графическом виде. Ради полноты изложения приведем результаты для и
Рис. 2. Кривые на промежутке
На рисунке 2 изображены 2 кривые и на промежутке Как известно [6]
Кривые и совпадают на промежутке
9.1 Случай
Имеет место следующий результат [7]
Теорема 9.1. [Прохоров, Шиналь] Если то справедлива следующая точная оценка
(9.1)
где
Автор в статье [13] показал, что справедлива
Теорема 9.2. Если то справедлива следующая точная оценка
(9.2)
где
Оценка (9.1) отличается от оценки (9.2) только на интервале
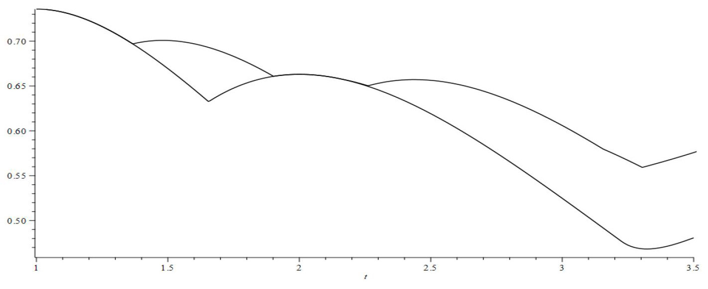
На рисунке 3 изображены сразу две кривые. Отличие между ними показано крупным планом в масштабе 1:1 на рисунке 4.
Рис. 3. Кривые на промежутке
Рис 4. Кривые на промежутке
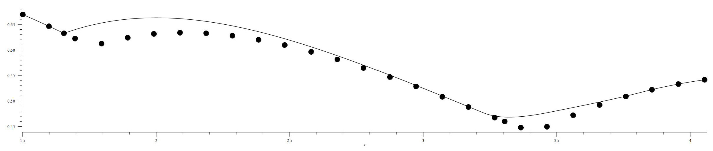
Переходим к численным вычислениям. На рисунке 5 показана кривая (верхний график), заданная формулой (9.1), и ее приближение (нижний график), найденное полным перебором на промежутке Разбиение по t — 0.1, а по и по — 0.5. Мы видим, что результат вычислений местами далек от истины.
Рис. 5. Кривая и ее грубое приближение на промежутке
На рисунке 6 показаны точки линии, аппроксимирующей кривую (9.1). Результат получен локальным поиском в каждой точке сети, упомянутой в предыдущем абзаце. Как видно из рисунка 6 все узловые точки полученной ломаной лежат на искомой кривой. Следовательно, для каждого t в сети нашлась точка, лежащая в области притяжения точки глобального максимума целевой функции.
Рис. 6. Приближение к кривой на промежутке
Итак, весьма скромными вычислениями (по t — 29 точек, по — 3 точки и по — 13 точек) получено очень хорошее приближение при
В случае функций с действительными коэффициентами результаты аналогичны. Кривые и совпадают на промежутке Верхняя граница промежутка указана приблизительно.
9.2. Случай
Для случая точной оценки коэффициентов не найдено. Если взять разбиение 0.01 по то мы получим очень хорошее приближение к кривой В этом разбиении по t — 479 точек, по — 101 точка, а по и — 20201 точка. Возьмем теперь сеть, полученную достаточно грубым разбиением по t — 0.1, а по — 0.33. В этом разбиении по t — 53 точки, по — 5 точек, а по и — 41 точка. Выполним локальный поиск в каждой точке получившейся сети. Все узловые точки полученной таким образом ломаной линии лежат на кривой, изображенной на рисунке 7. Следовательно, при каждом t на этой сети была найдена точка, лежащая в области притяжения точки глобального максимума целевой функции.
Рис. 7. Хорошее приближение к кривой на промежутке
Как и в случае весьма скромными вычислениями получено очень хорошее приближение при В случае функций с действительными коэффициентами результаты аналогичны. Отличие между кривыми в случае действительных и комплексных коэффициентов показано крупным планом в масштабе 1:1 на рисунке 2. Расчеты для функций с действительными коэффициентами проведены с разбиением 0.01 по В этом разбиении по t — 479 точек, по — 101 точка, а по — 201 точка.
Рис. 8. Кривые на промежутке
Кривые и совпадают на промежутке Верхняя граница этого промежутка указана приблизительно.
На рисунке 9 показаны кривые и Видно, что они совпадают на промежутках и Границы промежутков указаны не точно.
Рис. 9. Кривые на промежутке
9.3. Случай
Для случая точной оценки коэффициентов не найдено. Если взять разбиение по t — 0.01, а по — 0.033, то мы получим очень хорошее приближение к кривой В этом разбиении по t — 685 точек, по — 32 точки, а по —1985 точек.
Возьмем теперь сеть, полученную достаточно грубым разбиением по t — 0.1, а по z — 0.2. В этом разбиении по t — 75 точек, по — 6 точек, а по — 61 точка. Выполним локальный поиск в каждой точке получившейся сети. Все узловые точки полученной таким образом ломаной линии лежат на кривой, изображенной на рисунке 10. Следовательно, при каждом t в этой сети была найдена точка, лежащая в области притяжения точки глобального максимума целевой функции.
Рис. 10. Хорошее приближение к кривой на промежутке
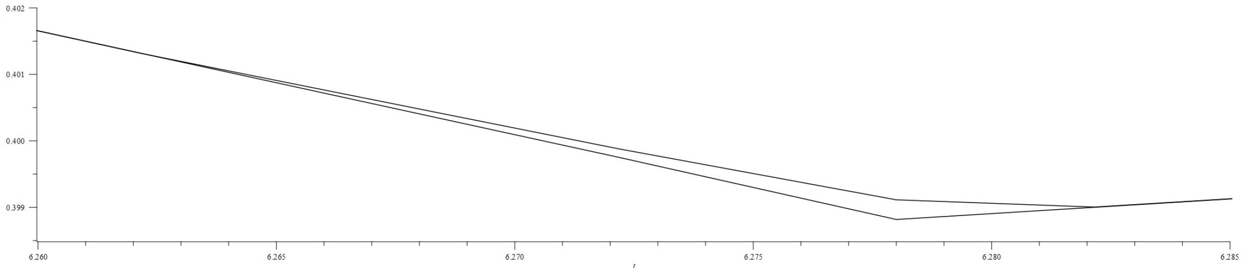
Как и в предыдущих случаях, весьма скромными вычислениями получено очень хорошее приближение при Для функций с действительными коэффициентами результаты аналогичны. Отличие между кривыми в случае действительных и комплексных коэффициентов показано крупным планом в масштабе 1:1 на рисунке 11. Расчеты для функций с действительными коэффициентами проведены с разбиением 0.01 по В этом разбиении по t — 685 точек, по — 101 точка, а по — 201 точка.
Рис. 11. Кривые на промежутке
Кривые и совпадают на промежутке
9.4. Случай
Для случая точной оценки коэффициентов не найдено даже в классе B. Если взять разбиение по t — 0.02, а по x — 0.02, то мы получим очень хорошее приближение к кривой В этом разбиении по t — 450 точек, по — 51 точка, по — 1513 точек, по — 481 точка, по — 145 точек, а по — 41 точка. В случае функций с действительными коэффициентами результаты аналогичны. Отличие между кривыми в случае действительных и комплексных коэффициентов показано на рисунке 12. Расчеты для функций с действительными коэффициентами проведены с разбиением по — 0.01. В этом разбиении по t — 887 точек, по — 101 точка, а по — 201 точка.
Рис. 12. Хорошее приближение к кривым и на промежутке
Кривые и совпадают на промежутке (рисунок 12). Кривые и совпадают на промежутке Это показано на рисунке 13. Кривые и совпадают на промежутке Это показано на рисунке 14. Здесь границы всех промежутков приблизительные.
Рис. 13. и на
Рис. 14. и на
10. Экстремальные функции
В пункте 4 упоминалось, что
В пункте 9 показано, что кривая совпадает с каждой из кривых на промежутках где
Следовательно, нам известно (см. пункты 3 и 4), что
Сопоставляя эти факты, видим, что Напрашивается следующая гипотеза:
Судя по результатам пункта 9, если то гипотеза Кшижа, скорее всего, верна. С другой стороны, численный метод, описанный здесь, хорошо подходит для опровержения этой гипотезы. Действительно, если гипотеза Кшижа не верна, например, при то, зная экстремальную точку, в которой мы сможем предъявить функцию класса такую, что Как это сделать, описано в статьях [5, 25].
В пунктах 3 и 4 упоминалось так же, что
и приводились значения Эти значения тоже не наименьшие, также как и не наибольшие. Расчеты дают:
Из подпункта 9.2 следует, что
Из подпункта 9.4 следует, что
и
При экстремальной является функция
где
с точностью до вращений в плоскости переменной z.
На оставшихся промежутках данный численный метод не позволяет найти точный вид экстремальных функций. Да и с проверкой угаданных экстремальных функций на отрезках промежутков и тоже не все гладко. Ведь вычисления проведены с некоторой погрешностью, пусть и не большой. Мы можем установить, что указанная функция лежит на границе n-го тела коэффициента класса или но как показать, что функция является экстремальной, не ясно. Есть, конечно, некоторые признаки экстремальности, однако они только необходимые, но не достаточные [6, 11]. Еще, возможно, удастся доказать локальную экстремальность угаданных функций [26, 27].
Заметим, что оценки 1-го коэффициента на и на совпадают. Оценки 2-го коэффициента на и на также совпадают. В случае отличия невелики. Случай несколько выбивается из этого ряда, но и здесь отличие есть на относительно небольшом интервале. Таким образом, если провести оценку на то можно получить вид экстремальных функций для большей части промежутков
Если наше предположение о том, что верно, то при численные вычисления дают значение глобального максимума которое достигается при Получается, для строгого доказательства гипотезы Кшижа при методом полного перебора нам достаточно построить сеть с шагом не более чем где То есть, если то шаг сети должен быть не больше, чем
Пусть Заметим, что экстремальные функции для функционала на можно искать в виде (по этому поводу см. [6, 25]):
Без уменьшения общности можно считать, что Более того, так как инвариантен относительно вращений в плоскости переменной то можно считать, что Заметим еще, что
11. Краткий исторический обзор по начальным коэффициентам
Из геометрических соображений очевидно, что Точную оценку можно найти во многих работах начиная с 1934 года; первой была работа [28].
Оценка не вызывает сложности с 1943 года [4]. В статье [6] оценки и были найдены методом структурных формул, параметрическим методом и методом подчинения.
Я. Кшиж, располагая точными оценками и высказал свою гипотезу в 1968 году [2].
В 1977 году появилась работа Дж. Хаммеля, С. Шейнберга и Л. Зальцмана [6], в которой при помощи вариационного метода, перенесенного с класса Каратеодори, задача о максимизации функционала была сведена к задаче о максимизации функции, благодаря чему была впервые найдена оценка Точная оценка дана этими авторами не для всех однако ими доказано, что глобальный максимум достигается при
Спустя 10 лет, Дж. Браун в [8] написал, что получил точно такой же результат, как и в [6], но другим методом. Точнее, в [8] приведена функция, которую нужно исследовать на максимум, причем точно такая же, как и в работе [6]. По всей видимости, для получения упомянутой функции использовалось, кроме прочего, неравенство треугольника. Исследование на максимум в [8] отсутствует.
Точная оценка при каждом была получена позднее Д. В. Прохоровым и Я. Шиналем [7] при помощи неравенств Каратеодори–Теплица.
Доказательство Р. Эрмерс [11] имеет алгебраическую форму, а сама оценка состоит всего из трех формул.
Оценка полученная автором в работе [29], совпадает с [6], но получена другим методом. Автор также получил точную оценку для функций с действительными коэффициентами в работе [13].
Доказательство того, что появилось в 1983 году у Д. Тана в работе [9], но его рассуждения, основанные на принципе подчинения и лемме Шварца–Пика, не были полными [30]. В том же году появилось доказательство П. Н. Пронина [31], основанное на том же самом вариационном методе, который использовался в [6] при получении оценки Позже, в 1987 году, Дж. Браун [8] опубликовал свой вариант подхода к доказательствам оценок для Он использовал то, что
Однако, последнее из этих неравенств справедливо только при Р. Эрмерс [11] предоставил более обстоятельное доказательство, проведенное при помощи алгебраического метода, восходящего к И. Шуру. Как отмечается в [30], наиболее убедительным стало доказательство В. Шапеля [10].
Впервые оценка пятого коэффициента методом В. Шапеля появилась в работе Н. Самариса [3]. Автор данной статьи в работе [12] при помощи метода Шапеля получил оценки а также оценку Интересно, что при оценка получилась точной при всех t, а при оценка, полученная автором этой статьи, совпала с оценкой Р. Эрмерс [11]. В. Шапель в [10] задал вопрос: до какого номера n применим его метод? Похоже, что ответ таков:
Доказательство Шапеля [10], как и доказательство Самариса [3], нельзя считать строгим, так как оно основывается только на построении графиков мажорирующих функций на соответствующих отрезках изменения параметра t. Обоснование того, что эти графики нарисованы корректно, отсутствует. Отсутствует также оценка погрешности. Для обоснования корректности графиков можно, например, использовать оценку дилатации. Этим же недостатком грешит и статья автора [12].
Исследования по проблеме Кшижа не ограничиваются оценками модулей начальных тейлоровских коэффициентов. Обзор по тематике коэффициентов голоморфных функций, в частности по гипотезе Кшижа, имеется в статье [30].
12. Заключение
В настоящей статье описан подход к решению задачи получения точных оценок модулей тейлоровских коэффициентов на классах Доказана корректность этого подхода в строгом математическом смысле.
В работе используются результаты, основанные на решении классической проблемы коэффициентов на классе [5], а также результаты, полученные методом подчинения [16].
В работе [5] решена задача перехода от функционала на классе к функционалу над классом Далее задача сведена к задаче о поиске условного глобального максимума действительнозначной функции действительных переменных с ограничениями типа неравенств, что в принципе позволяет даже применять стандартные методы дифференциального исчисления.
Графики точных при каждом оценок функционалов на классах получены на интервалах численным методом. Полученные данные привели к уточнению гипотезы Кшижа (см. начало пункта 10). Все собранные данные говорят о том, что гипотеза, скорее всего, справедлива. Тем не менее, в том же пункте 10 изложен вполне адекватный метод опровержения этой гипотезы.
Все изложенные здесь подходы можно применять не только на классах но и на других классах подчиненных функций. Таким образом, использование разработанного здесь математического аппарата является перспективным при решении экстремальных задач на классах а также на других классах голоморфных функций.
Об авторах
Денис Леонидович Ступин
ФГБОУ ВО «Тверской государственный университет»
Автор, ответственный за переписку.
Email: dstupin@mail.ru
ORCID iD: 0000-0002-9183-9543
кандидат физико-математических наук, доцент кафедры математического анализа
Россия, 170100, Тверь, ул. Желябова, 33Список литературы
- J. G. Krzyz, “Problem 1”, Proceedings of the Fourth Conference on Analytic Functions, Annals of Polish Mathematicians, 20:3 (1968), 314.
- J. G. Krzyz, “Coefficient problem for bounded nonvanishing functions”, Annals of Polish Mathematicians, 70 (1968), 314.
- N. Samaris, “A proof of Krzyz’s conjecture for the fifth coefficient”, Compl. Var. Theory and Appl., 48 (2003), 48–82.
- W. Rogosinski, “On the coefficients of subordinate functions”, Proc. London Math. Soc., 48 (1943), 48–82.
- Д. Л. Ступин, “Проблема коэффициентов для ограниченных функций и ее приложения”, Вестник российских университетов. Математика, 28:143 (2023), 277–297. [D. L. Stupin, “The coefficient problem for bounded functions and its applications”, Vestnik rossiyskikh universitetov. Matematika = Russian Universities Reports. Mathematics, 28:143 (2023), 277–297 (In Russian)].
- J. A. Hummel, S. Scheinberg, L. A. Zalcman, “A coefficient problem for bounded nonvanishing functions”, J. d’Analyse Mathematique, 31 (1977), 169–190.
- D. V. Prokhorov, J. Szynal, “Coefficient estimates for bounded nonvanishing functions”, Bull. Acad. Pol. Sci. Ser. Sci. Math., 29:5–6 (1981), 223–230.
- J. E. Brown, “Iterations of functions subordinate to schlicht functions”, Compl. Var., 9 (1987), 143–152.
- Tan Delin, “Coefficient estimates for bounded nonvanishing functions”, Chinese Ann. Math., A4 (1983), 97–104.
- W. Szapiel, “A new approach to the Krzyz conjecture”, Ann. Univ. M. Curie-Sklodowska. Sec. A, 48 (1994), 169–192.
- R. Ermers, Coefficient Estimates for Bounded Nonvanishing Functions, Wibro Dissertatiedrukkerij, Helmond, 1990, 88 pp.
- Д. Л. Ступин, “Теория меры и оценка модулей первых шести коэффициентов в проблеме Кшижа”, Применение функционального анализа в теории приближений, Издательство Тверского государственного университета, Тверь, 2015, 36–49. [D. L. Stupin, “Measure theory and moduli estimation of the first six coefficients in the Krzyz problem”, Application of Functional Analysis in Approximation Theory, Tver State University Publishing House, Tver, 2015, 36–49 (In Russian)].
- Д. Л. Ступин, “Точная оценка модуля третьего тейлоровского коэффициента на классе ограниченных не обращающихся в нуль функций с действительными коэффициентами”, Перспективы развития математического образования в эпоху цифровой трансформации, Материалы III Всероссийской научно-практической конференции (Тверь, 24–26 марта 2022 г.), Тверской государственный университет, Тверь, 2022, 205–209. [D. L. Stupin, “The sharp estimation of the modulus of the third Taylor coefficient on the class of bounded nonvanishing functions with real coefficients”, Prospects for the development of mathematics education in the era of digital transformation, Proceedings of the III All-Russian Scientific and Practical Conference (Tver, March 24–26, 2022), Tver State University Publishing House, Tver, 2022, 205–209 (In Russian)].
- E. Lindelof, “M´emorie sur certaines in´egalit´es dans la th´eorie des fonctions monog`enes et sur quelques properi´et´es nouvelles de ces fonctions dans le voisinage d’un point singulier essentiel”, Acta Soc. Sci. Fenn., 35:7 (1909), 1–35.
- J. E. Littlewood, Lectures on the Theory of Functions, Oxford University Press, 1947, 251 pp.
- R. Peretz, “Applications of subordination theory to the class of bounded nonvanishing functions”, Compl. Var., 17:3–4 (1992), 213–222.
- Д. Л. Ступин, “Точные оценки коэффициентов в проблеме Кжижа”, Применение функционального анализа в теории приближений, Издательство Тверского государственного университета, Тверь, 2010, 52–60; англ. пер.:D. Stupin, The sharp estimates of all initial taylor coefficients in the Krzyz’s problem, Cornell University Library, 2011, 7 pp., arXiv: 1104.3984v1
- Д. Л. Ступин, Гипотеза Кшижа и выпуклые однолистные функции, 2023, 13 с., https://doi.org/10.24108/preprints-3112695 [D. Stupin, The Krzyz conjecture and convex univalent functions, 2023, 13 pp., https://doi.org/10.24108/preprints-3112695].
- O. T¨oplitz, “Uber die Fouriersche Entwicklung Positiver Funktionen”, Rendiconti Circ. Mat. di Palermo, 32 (1911), 191–192.
- С. В. Романова, “Асимптотические оценки линейных функционалов для ограниченных функций, не принимающих нулевого значения”, Известия вузов. Математика, 2002, № 11, 83–85; англ. пер.:S. V. Romanova, “Asymptotic estimates for linear functionals for bounded functions that do not take zero value”, Russian Math. (Iz. VUZ), 46:11 (2002), 78–80.
- Д. В. Прохоров, С. В. Романова, “Локальные экстремальные задачи для ограниченных аналитических функций без нулей”, Изв. РАН. Сер. матем., 70:4 (2006), 209–224; англ. пер.: D. V. Prokhorov, S. V. Romanova, “Local extremal problems for bounded analytic functions without zeros”, Izvestiya: Mathematics, 70:4 (2006), 841–856.
- П. И. Лизоркин, Курс дифференциальных и интегральных уравнений с дополнительными главами анализа, Наука, М., 1981, 384 с. [P. I. Lizorkin, A Course in Differential and Integral Equations with Additional Chapters of Analysis, Nauka Publ., Moscow, 1981 (In Russian), 384 pp.]
- М. П. Галанин, И. А. Щеглов, Разработка и реализация алгоритмов трехмерной триангуляции сложных пространственных областей: прямые методы, Препринты ИПМ им. М. В. Келдыша, 2006, 32 с. [M. P. Galanin, I. A. Shcheglov, Design and implementation of algorithms for three-dimensional triangulation of complex spatial areas: direct methods, Preprints of the Keldysh Institute of Physics and Mathematics (IPM), 2006 (In Russian), 32 pp.]
- M. J. D. Powell, “An efficient method for finding the minimum of a function of several variables without calculating derivatives”, Computer Journal, 7:2 (1964), 155—162.
- Д. Л. Ступин, “Проблема коэффициентов для функций, отображающих круг в обобщенный круг и задача Каратеодори–Фейера”, Применение функционального анализа в теории приближений, Издательство Тверского государственного университета, Тверь, 2012, 45–74. [D. L. Stupin, “The problem of coefficients for functions mapping a circle into a generalized circle and the Caratheodory–Feuer problem”, Application of Functional Analysis in Approximation Theory, Tver State University Publishing House, Tver, 2012, 45–74 (In Russian)].
- Д. Л. Ступин, В. Г. Шеретов, “Доказательство локальной гипотезы Кшижа”, Вестник ТвГУ. Серия: Прикладная математика, 2005, № 6(12), 122–125. [D. L. Stupin, V. G. Sheretov, “A Proof of the local Krzyz conjecture”, Vestnik TvGU. Seriya: Prikladnaya matematika = Vestnik of Tver State University. Series: Applied Mathematics, 2005, № 6(12), 122–125 (In Russian)].
- Д. Л. Ступин, “Доказательство локального принципа подчинения и локальной справедливости гипотезы Кшижа” , Применение функционального анализа в теории приближений, Издательство Тверского государственного университета, Тверь, 2008, 70–72. [D. L. Stupin, “A Proof of the Local Subordination Principle and the Local Fairness of the Krzyz Conjecture”, Application of Functional Analysis in Approximation Theory, Tver State University Publishing House, Tver, 2008, 70–72 (In Russian)].
- V. I. Levin, W. Fenchel, E. Reissner, “Losing der Aufgabe 163”, Jahresber. DM, 44:2 (1934), 80–83.
- Д. Л. Ступин, Новое доказательство гипотезы Кшижа при n = 3, 2022, 13 с., https://doi.org/10.24108/preprints-3112533. [D. L. Stupin, A new proof of the Krzyz conjecture for n = 3, 2022, 13 pp., https://doi.org/10.24108/preprints-3112533]
- Д. В. Прохоров, “ Коэффициенты голоморфных функций”, Комплексный анализ и теория представлений, Итоги науки и техн. Сер. Соврем. мат. и ее прил. Темат. обз., 71, ВИНИТИ РАН, М., 2000; англ. пер.: D. V. Prokhorov, “Coefficients of Holomorphic Functions”, Journal of Mathematical Sciences, 106:6 (2001), 3518–3544.
- П. Н. Пронин, Достаточные условия однолистности различных операторов и экстремальные задачи на классе ограниченных функций, Саратовский гос. ун-т., Саратов, 1983, 105 с. [P. N. Pronin, Sufficient Conditions of Univalence of Various Operators and Extremal Problems on a Class of Bounded Functions, Saratov State University, Saratov, 1983, 105 pp.]
Дополнительные файлы

















