Thermally induced transformation tert-butyl peroxyethyl esters of carboxylic acids
- Authors: Aleinikova T.P.1, Vaniev M.A.1, Seleznev A.A.1, Navrotsky V.A.1, Novakov I.A.1
-
Affiliations:
- Volgograd State Technical University
- Issue: Vol 516, No 1 (2024)
- Pages: 3-7
- Section: CHEMISTRY
- URL: https://bakhtiniada.ru/2686-9535/article/view/268402
- DOI: https://doi.org/10.31857/S2686953524030017
- EDN: https://elibrary.ru/ZJPGLC
- ID: 268402
Cite item
Full Text
Abstract
The features of thermolysis of tert-butyl peroxyethyl esters of carboxylic acids (CH₃)₃COOCH(CH₃)OC(O)R are investigated. Based on the identification of reaction products and the analysis of kinetic parameters, the fact of simultaneous transformation of four bonds (O–O, C–O, C–C and C–H) in a molecule with the formation of two molecules was proved for the first time [RC(O)OH and CO] and two free radicals [(CH₃)₃CO• and •CH₃], which, under experimental conditions, do not enter into a cross-break reaction, but detach the hydrogen atom from the solvent. Evidence of the coordinated (simultaneous) transformation of four bonds is the low (compared with the energy of bond dissociation) values of the activation energy and the pre-exponential multiplier, as well as negative values of the activation entropy.
Full Text
ВВЕДЕНИЕ
Эфиры α-оксиалкилпероксидов известны давно [1] и по-прежнему интересуют исследователей в качестве генераторов свободных радикалов, иницирующих вулканизацию насыщенных эластомеров, а эфиры метакриловой кислоты эффективны в качестве сомономеров и инициаторов радикальной полимеризации [2].
Особый интерес представляют реакции термолиза трет-бутилпероксиэтиловых эфиров карбоновых кислот (ТБПЭ) с фиксированным трет-бутилпероксиэтильным радикалом и изменяющимся ацильным фрагментом (CH₃)₃COOCH(CH₃)OC(O)R, где R = CH₃, (CH₂)₂CH₃, CH(CH₃)₂, C(CH₃)₃, (CH₂)₇CH₃, C₁₀H₁₅ (1-адамантил) и C₆H₅, которые обсуждались в работе [3]. В ряду упомянутых эфиров наблюдается изокинетическая компенсационная зависимость, свидетельствующая о неизменности механизма согласованного распада O–O- и C–O-связей, основанного на относительно низких величинах энергии активации, отрицательных значениях энтропии активации (за исключением R = C₆H₅) и независимости константы скорости распада от вязкости среды.
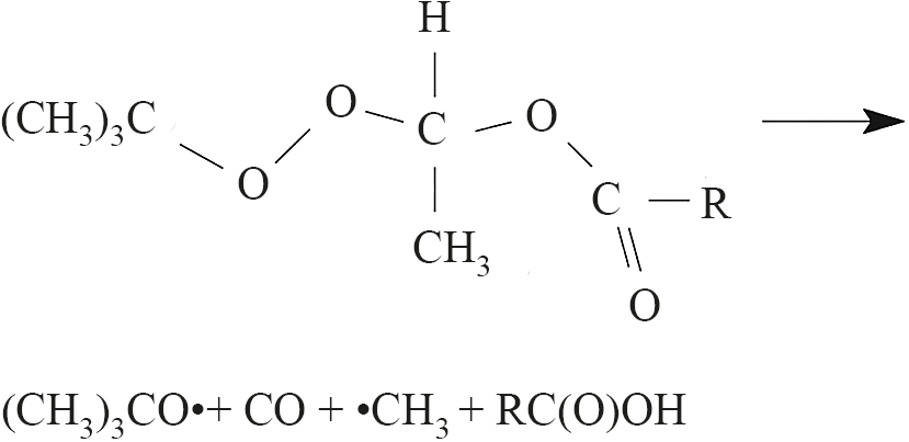
Механизм их термолиза, предложенный в работе [3], следует считать гипотетическим, потому что он не объясняет причину изменения валентности третичного атома углерода с образованием монооксида углерода, хотя этот оксид является одним из основных продуктов термолиза обсуждаемых молекул (схема 1).
Схема 1
На основании вышеизложенного возникла необходимость более детального анализа структуры ТБПЭ с дополнительным акцентом на незамеченный ранее в работе [3] реакционный центр, которым представляется третичный атом углерода и связанный с ним атом водорода. Можно предположить, что этот водород, “окруженный” четырьмя атомами кислорода, два из которых в пероксидной группе и два в сложноэфирной (один из них карбонильный), не остается безучастным к нековалентному взаимодействию. Предполагается, что он должен участвовать в организации нековалентной связи с кислородом (но с каким?), и это не может не проявиться при термолизе эфиров. В соответствии с вышеизложенным целью данного исследования является анализ структуры ТБПЭ и ее влияния на механизм термического превращения пероксидов.
ЭКСПЕРИМЕНТАЛЬНАЯ ЧАСТЬ
ТБПЭ (CH₃)₃COOCH(CH₃)OC(O)R, где R = CH₃ (1), (CH₂)₂CH₃ (2), CH(CH₃)₂ (3), C(CH₃)₃ (4), (CH₂)₇CH₃ (5), C₁₀H₁₅ (1-адамантил) (6) и C₆H₅ (7) получены по реакции α-хлорэтил-трет-бутилпероксида с триэтиламмониевыми комплексами карбоновых кислот в растворе хлороформа, описанной в работе [1]. Термический распад пероксидов проводили в гексадекане марки “ч. д. а.” с массовой долей основного вещества не менее 99%. Анализ продуктов термического разложения ТБПЭ осуществляли методами, описанными в работе [3].
Кинетику термического распада соединений 1–7 в растворе гексадекана (концентрация пероксида 0.05–0.20 моль л⁻¹) изучали в интервале температур 383–413 К. Кинетический контроль за ходом реакции осуществляли по двум параметрам: по расходу активного кислорода методом иодометрического титрования и по накоплению соответствующей кислоты потенциометрическим титрованием 0.01 н раствором КОН в этаноле. В результате установлено, что реакции термолиза ТБПЭ характеризуются кинетическим уравнением первого порядка, а температурная зависимость константы скорости термолиза, например, пероксида 1, принимает вид: k = 1.58∙108∙e–92000/RT – и практически не изменяется в интервале концентраций 0.05–0.20 моль л⁻¹. Это значит, что термолиз ТБПЭ не осложняется их индуцированным распадом под действием образующихся радикалов, а продукты реакции не оказывают влияния на ее скорость. Энтропию активации рассчитывали по формуле:
Квантовохимический расчет структур ТБПЭ 1–7, являющихся гомологами и отличающихся заместителями в ацильной части, проводили на примере пероксида 1 с полной оптимизацией геометрии молекулы в газовой фазе гибридным методом функционала плотности В3LYP c использованием базиса 6-311++G (df, P) (пакет прикладных программ Gaussian 16. Revision C. 01). Конформационный анализ молекулы пероксида 1 осуществлялся путем искусственного поворота торсионного угла C2–O5–O6–C7 (рис. 1) с шагом 1° с фиксацией значения данного угла и расчетом энергии молекулы.
ОБСУЖДЕНИЕ РЕЗУЛЬТАТОВ
Строение наиболее устойчивого конформера пероксида 1 с нумерацией атомов, принятой в данной работе, представлено на рис. 1. Минимальное значение полной энергии конформера соответствует торсионному углу C2–O5–O6–C7, равному 175.5° ± 0.2°. Относительная энергия следующего по стабильности конформера составляла 20.8 кДж моль⁻¹.
Квантово-химический анализ структур ТБПЭ показал, что их свободное вращение в области значений торсионного угла 90°–280° практически не затруднено, они имеют неплоскостное (объемное) строение. Ацильный фрагмент молекул как обычно располагается в одной плоскости, а остальная ее часть находится почти в ортогональном положении к этой плоскости (рис. 1), что подтверждается величиной валентного угла O6–C7–H22 (105.7° ± 0.5°). Величина диэдрального угла C2–O5–O6– C7, составляющая 175.5°, является следствием специфических нековалентных взаимодействий, так как в их отсутствии этот угол практически для всех пероксидов находится в интервале 110° ± 25° [4]. Именно эта особенность отражается на положении атома водорода H22 у третичного атома углерода C7, который оказался равноудаленным от кислорода пероксидной группы О6 на 2.05 ± 0.01 Å и эфирного О9 на 2.06 ± 0.001 Å, но не карбонильного О11 (2.38 ± 0.05 Å) (рис. 1).
Рис. 1. Геометрическое строение оптимизированной структуры молекулы пероксида 1.
Для проверки гипотезы механизма термолиза проводилось сканирование поверхности потенциальной энергии 1 в направлении уменьшения расстояния между Н22 и эфирным атомом кислорода O9 с шагом 0.05 Å, с фиксацией расстояния между этими атомами и расчетом энергии молекулы.
На рис. 2 представлена конфигурация молекулы 1 с энергией относительно конформера (рис. 1) ΔЕ = 4.2 кДж моль⁻¹, у которой валентный угол O6–C7–H22 равен 91.5°, а расстояние между атомами Н22 и эфирным О9, который участвует в образовании карбоновой кислоты, составляет 0.99 Å.
Рис. 2. Структура одного из возможных конформеров молекулы пероксида 1.
Повышение температуры, судя по продуктам термораспада, например, пероксидов 1 и 7 (табл. 1), заставляет этот водород приближаться к эфирному кислороду, как показано на рис. 2, с одновременным ограничением амплитуды деформационных колебаний вплоть до выделения термодинамически стабильной молекулы карбоновой кислоты (уксусной для 1 или бензойной для 7). То есть наблюдается внутримолекулярная трансформация связей C7–H22 и C7–O9 у третичного углерода, в результате которой водород входит в молекулу кислоты в виде протона без образования свободных ионов. В результате электроны связи C7–H22 остаются на внешнем электронном слое третичного углерода, понижая его валентность с четырех до двух, а связь между водородом и кислородом в кислоте осуществляется за счет электронов связи C7–O9. Эти превращения подтверждаются продуктами термолиза обсуждаемых пероксидов в гексадекане (табл. 1).
Как видно из табл. 1, количества трет-бутанола, ацетона, оксида углерода и соответствующей ацильной части кислоты, например, для соединений 1 и 7, балансируются с исходной молекулой.
Таблица 1. Продукты термолиза в гексадекане при 403 К (моль/моль ТБПЭ)
ТБПЭ | Продукты термолиза | |||||
Трет-бутанол | Ацетон | Уксусная кислота | Бензойная кислота | Метан | Оксид углерода | |
1 | 0.98 | – | 1.00 | – | 1.02 | 0.98 |
7 | 0.99 | 0.02 | – | 1.00 | 1.09 | 0.99 |
Следует обратить внимание на соотношение объемов молекулы в исходном и переходном состояниях, о котором можно судить по величине энтропии активации [5]. Если активированный комплекс объемнее исходной молекулы, то энтропия активации переходного состояния составляет обычно 40–80 Дж моль⁻¹K⁻¹, если же этот комплекс компактнее исходной молекулы, то изменение энтропии активации принимает околонулевые или отрицательные значения [5, 6].
Термолиз эфиров с образованием двух свободных радикалов [(CH₃)₃CO• и •CH₃] и двух молекул [RC(O)OH и СО] кроме гомолиза O– O-связи сопровождается превращением трех связей (C7–H22, C7–C8 и С7–O8) у третичного углерода, который представляется главным реакционным центром, определяющим механизм термоиндуцированного превращения. При этом следует учитывать, что гомолитический разрыв связей O5–O6 и C7–C8 проходит в молекулах ТБПЭ с увеличением амплитуды валентных колебаний и это должно приводить к увеличению объема переходного состояния. Молекулы кислоты и оксида углерода образуются одновременно с внутримолекулярной трансформацией связей C7–H22 и C7–O9 только за счет ограничения амплитуды деформационных колебаний, а значит, с уменьшением объема активированного комплекса.
Изменение энтропийного фактора в ряду обсуждаемых эфиров, согласно данным табл. 2, характеризуется отрицательными величинами, за исключением 7, хотя и эта величина близка к нулевой. То есть ограничение амплитуды деформационных колебаний оказалось более значимым, по сравнению с увеличением амплитуды валентных колебаний, и это не противоречит представлению о неплоскостной структуре исходной молекулы.
Таблица 2. Энтропия активации ΔS# термолиза ТБПЭ в гексадекане
ТБПЭ | 1 | 2 | 3 | 4 | 5 | 6 | 7 |
ΔS#, Дж моль⁻¹K⁻¹ | –98.9 | –83.4 | –110.2 | –10.6 | –31.7 | –18.3 | 14.3 |
Необходимо также отметить, что в продуктах реакции нет метил-трет-бутилового эфира, а значит, одновременно образующиеся радикалы (CH₃)₃CO • и •CH₃ бесполезно не погибают в результате рекомбинации. Эти свободные радикалы в момент образования разделены в пространстве молекулой CO. Поэтому их взаимодействие оказывается не обязательным. Подобное явление наблюдается, когда осуществляется индуцированный распад пероксидов с участием растворителя [7]. При термолизе ТБПЭ образующиеся радикалы (CH₃)₃CO• и •CH₃, отрывая водород от субстрата или присоединяясь по двойной связи [1, 2], выполняют полезную работу. Величины кинетических и активационных параметров (табл. 3) демонстрируют признаки согласованного превращения четырех связей в молекуле [5].
Таблица 3. Кинетические и активационные параметры согласованного превращения молекулы пероксида 1 в гексадекане
Т, К | k × 104, c⁻¹ | А, c⁻¹ | Е#, кДж моль⁻¹ | Едисс. [4] | ||
по Оакт | по кислоте | связь | кДж моль⁻¹ | |||
383 | 0.95 ± 0.02 | 0.93 ± 0.03 | 1.58 × 108 | 92 | О–О | 200а |
393 | 1.88 ± 0.03 | 1.86 ± 0.04 | С–С | 330 | ||
403 | 3.76 ± 0.05 | 3.73 ± 0.03 | С–Н | 410 | ||
413 | 7.72 ± 0.06 | 7.22 ± 0.05 | С–О | 310 | ||
а Расчитанная Едисс. согласно [4], Едисс.(О–О) = 160–200 кДж моль⁻¹.
Кинетические параметры термолиза ТБПЭ, как это видно из табл. 3, убедительно подтверждают факт одновременного разрыва нескольких связей. В частности, константы скорости термолиза k пероксида 1, определенные в интервале 383–413 К по расходу активного кислорода и по накоплению кислоты, практически совпадают. Энергия активации в 2–4 раза меньше энергии диссоциации разрывающихся связей [4], а величина предэкспоненты на 7–8 порядков меньше, чем при термическом распаде одной связи. Наконец, отрицательные величины ΔS# (–98.9 Дж моль⁻¹K⁻¹ для 1) убедительно подтверждают согласованное (одновременное) превращение четырех связей в молекулах ТБПЭ за счет термического воздействия. При этом понижение энергии активации объясняется ее компенсацией за счет образования термодинамически устойчивых молекул оксида углерода и соответствующей карбоновой кислоты.
Необходимо отметить, что явление одновременного распада нескольких связей характерно не только для пероксидов. Так, например, одновременный распад двух связей C–N в 2,2´-азоизобутиронитриле можно считать общеизвестным фактом [4]. Недавно также установлено, что при термическом воздействии проходит одновременный гомолитический распад C–S и S–Cl связей в сульфохлоридных группах [6, 8].
ВЫВОДЫ
Впервые анализ совокупности полученных экспериментальных результатов позволяет утверждать, что термолиз ТБПЭ проходит по двум реакционным центрам с участием связей O5–O6, C7–O9, C7–C8 и C7–H22, образуя оксид углерода и соответствующую карбоновую кислоту, а также два свободных радикала (CH₃)₃CO• и •CH₃, не вступающих в рекомбинацию, которые могут быть полезными в процессах структурирования полимеров и инициирования радикальной полимеризации.
БЛАГОДАРНОСТЬ
Авторы благодарят доцента кафедры “Технология синтетического каучука” Казанского национального исследовательского технологического университета Самуилова Александра Яковлевича за помощь в проведении квантово-химических расчетов.
КОНФЛИКТ ИНТЕРЕСОВ
Авторы заявляют об отсутствии конфликта интересов.
СОБЛЮДЕНИЕ ЭТИЧЕСКИХ НОРМ
Настоящая статья не содержит описания выполненных авторами исследований с использованием людей или животных в качестве объектов.
About the authors
T. P. Aleinikova
Volgograd State Technical University
Author for correspondence.
Email: aleynikova_tp@vstu.ru
Russian Federation, 400005 Volgograd
M. A. Vaniev
Volgograd State Technical University
Email: aleynikova_tp@vstu.ru
Russian Federation, 400005 Volgograd
A. A. Seleznev
Volgograd State Technical University
Email: aleynikova_tp@vstu.ru
Russian Federation, 400005 Volgograd
V. A. Navrotsky
Volgograd State Technical University
Email: aleynikova_tp@vstu.ru
Russian Federation, 400005 Volgograd
I. A. Novakov
Volgograd State Technical University
Email: aleynikova_tp@vstu.ru
Academician of the RAS
Russian Federation, 400005 VolgogradReferences
- Алейникова Т.П., Навроцкий В.А. // ЖПХ. 2014. Т. 87. № 12. С. 1816–1827. https://doi org/10.1134/S1070427214120167
- Иванчев С.С. Радикальная полимеризация. Л.: Химия, 1985. с. 280.
- Кущ О.В., Опейда И.А., Туровский Н.А., Навроцкий В.А. // ЖФХ. 2005. Т. 79. № 8. С. 1406–1410.
- Антоновский В.Л., Хурсан С.Л. Физическая химия органических пероксидов. М.: ИКЦ Академкнига, 2003. 391 с.
- Денисов Е.Т. Кинетика гомогенных химических реакций. М.: Высшая школа, 1988. с. 391.
- Селезнев А.А., Навроцкий А.В., Сафронов С.А., Навроцкий В.А. // ЖПХ. 2023. Т. 96. № 5. С. 459–467. https://doi.org/10.31857/S004446182305002X
- Sandhiya L., Jangra H., Zipse H. // Angew. Chem., Int. Ed. 2020. V. 59. № 16. 6318. https://doi.org/10.1002/anie.201912382
- Навроцкий А.В., Степанов Г.В., Сафронов С.А., Гайдадин А.Н., Селезнев А.А., Навроцкий В.А., Новаков И.А. // ДАН. 2018. Т. 480. № 3. С. 297–299. https://doi.org/10.7868/S0869565218150082
Supplementary files





