Информационно-прогнозная модель температурно-влажностного режима коровника
- Авторы: Вторый В.Ф.1, Вторый С.В.1, Гордеев В.В.1
-
Учреждения:
- Институт агроинженерных и экологических проблем сельскохозяйственного производства – филиал ФГБНУ «Федеральный научный агроинженерный центр ВИМ»
- Выпуск: Том 31, № 2 (2021)
- Страницы: 241-256
- Раздел: Технологии и средства механизации сельского хозяйства
- Статья получена: 30.07.2025
- Статья одобрена: 30.07.2025
- Статья опубликована: 31.07.2025
- URL: https://bakhtiniada.ru/2658-4123/article/view/303447
- DOI: https://doi.org/10.15507/2658-4123.031.202102.241-256
- ID: 303447
Цитировать
Полный текст
Аннотация
Введение. Информационно-прогнозное моделирование является эффективным инструментом оптимизации параметров внутреннего климата с целью полного использования потенциала коров. Несоблюдение требований климата коровника может привести к снижению лактационной способности на 10–30 %.
Целью исследования было создание информационно-прогнозной модели формирования внутреннего климата на основе экспериментальных данных.
Материалы и методы. Была разработана 24-часовая система измерения соответствующих климатических переменных с 10-минутным интервалом записи данных. Она включала в себя девять сенсорных блоков, три устройства записи хранения данных и общий блок питания. Замеры проводились в коровнике на 200 голов в Ленинградской области.
Результаты исследования. Согласно результатам летних исследований некоторые участки коровника при высокой относительной влажности воздуха имели температурно-влажностный индекс >75, то есть неблагоприятный для животных. Этот период мог длиться до 18 часов в сутки. В дневное время при индексе >80 внутренняя среда может стать критической и сопровождаться резким снижением продуктивности коров. Получены корреляционные модели температурного режима коровника, и рассчитаны их зависимости от температуры внутри и снаружи помещения и влажности воздуха.
Обсуждение и заключение. Создана информационно-прогнозная модель, описывающая формирование температурно-влажностного режима внутри коровника в зависимости от погодных условий. При постоянном обновлении базы данных в режиме реального времени модель позволяет контролировать температуру и влажность в коровнике и прогнозировать эти переменные на ближайшие несколько дней. Соответствующие данные визуализируются в режиме реального времени на мониторах и информационных панелях для персонала и специалистов, принимающих своевременные управленческие решения по предотвращению критических ситуаций, связанных с перегревом или переохлаждением животных.
Ключевые слова
Полный текст
Введение
Глобальные изменения климата Земли оказывают существенное влияние на сельскохозяйственное производство, формируют новые требования и условия для содержания домашних животных и птицы. Это относится и к молочному животноводству. Особенность содержания домашних животных и крупного рогатого скота заключается в том, что они находятся в ограниченных человеком условиях и в меньшей степени обладают возможностями к естественной адаптации. Реализация их генетического потенциала напрямую зависит от человека [1].
Создание благоприятных условий содержания молочного скота, обеспечение соответствующих параметров микроклимата в животноводческих помещениях является необходимым условием для обеспечения высокой продуктивности коров [2].
В настоящее время крупный рогатый скот Ленинградской области имеет высокий генетический потенциал молочной продуктивности, уровень реализации которого зависит от технологии содержания и обслуживания животных. Обеспечение комфортного состояния воздушной среды в коровнике по своему значению стоит на втором месте после кормления. Однако, по нашим наблюдениям, на многих молочных фермах и комплексах обеспечению параметров микроклимата не уделяется должного внимания. Одним из основных параметров является температурно-влажностный режим в коровнике. Его несоблюдение влечет за собой значительные потери продуктивности, особенно в зимний и летний периоды.
Микроклимат коровника формирует ряд факторов. Внутренние – животные выделяют продукты своей жизнедеятельности (тепло, пары воды, углекислый газ, аммиак, сероводород). Внешние – обусловленные зональными природно-климатическими условиями. Взаимовлияние этих факторов – сложный процесс, находящийся в постоянном движении [3].
Современные информационные технологии позволяют эффективно управлять системами обеспечения микроклимата. Зная текущее состояние параметров и закономерности формирования микроклимата, можно управлять этим процессом, не допуская стрессовых ситуаций для животных. В связи с этим исследование закономерностей формирования микроклимата, методов математического моделирования с разработкой цифровых систем управления – актуальная задача.
Цель исследования – разработать информационно-прогнозную модель температурно-влажностного режима коровника, используя результаты экспериментальных исследований.
Обзор литературы
Зарубежные и отечественные ученые уделяют пристальное внимение вопросам влияния условий содержания на продуктивность крупного рогатого скота, обеспечения требуемых параметров микроклимата в животноводческих помещениях. Для управления автоматизированными системами создания микроклимата разрабатываются математические модели и компьютерные программы, учитывающие прогноз воздействия ряда факторов на процесс формирования воздушной среды в коровнике.
В первую очередь к нормируемым параметрам относятся температура и относительная влажность воздуха в коровнике [4]. Отклонения вызывают пониженное потребление сухого вещества, нарушение метаболизма, проблемы развития плода у стельных коров [5; 6].
Тепловой стресс, вызванный понижением или повышением температуры, оказывает существенное влияние на коров, снижает их продуктивность. Так, в период лактации это снижение может достигать 25–40 % [7].
Даже незначительные колебания температур воздуха внутри коровника сказываются на изменении продуктивности животных на 5–10 % [8].
В методических рекомендациях Министерства сельского хозяйства указано, что в стойлах, боксах, комбибоксах расчетная температура воздуха должна составлять 10 ± 2 ºС при относительной влажности 40–75 % [4].
В молочном скотоводстве для оценки наличия стрессового состояния животных под влиянием температуры и влажности воздуха применяется температурно-влажностный индекс (THI) [9–12].
Принято считать, что тепловой стресс у коров наступает при THI >74, а при THI >84 возникает критическое состояние животного с серьезными последствиями для его здоровья. Исследования показали, что удой начинает снижаться при значениях индекса THI = 65, а при THI от 65 до 73 потери молока достигали 2,2 кг в сутки [4; 13].
Разрабатываются и другие тепловые индексы для молочного скота. Например, эквивалентный температурный индекс (ETIC), в котором учитываются во взаимодействии температура, относительная влажность и скорость движения воздуха, солнечная радиация [14].
Существенное влияние на формирование микроклимата, наряду с внешними климатическими факторами, оказывают объемно-планировочные и конструктивные решения зданий и технология содержания и обслуживания животных1 [15].
Длина, ширина, высота коровника составляют десятки метров, что может влиять на микроклимат в различных зонах помещения. Наиболее неблагоприятным является микроклимат в центре коровника [16].
Для эффективного управления микроклиматом на молочных фермах необходимо моделирование и создание автоматизированных систем для информирования о состоянии процессов. Однако ощущается большой недостаток теоретических и экспериментальных исследований, позволяющих разрабатывать модели, приемлемые для практического использования [17; 18].
Необходимо специализированное программное обеспечение, учитывающее зональные климатические условия, продуктивные и физиологические особенности местного молочного скота, технологии его содержания и обслуживания [19].
Материалы и методы
Исходными данными для разработки модели стали результаты исследований температурно-влажностных режимов воздуха в четырехрядном коровнике на 200 дойных коров с привязным, подстилочным содержанием, трехразовым доением на установке типа «Молокопровод», мобильной раздачей кормов, стационарной системой уборки навоза. Система вентиляции естественная с притоком через боковые окна и вытяжкой через вентиляционно-световой конек в центре коровника. Строение расположено в Волосовском районе Ленинградской области.
Основными контролируемыми параметрами микроклимата являются температура и относительная влажность воздуха, для чего используются специальные измерительные системы, расположенные непосредственно в коровнике [20–23]. Характерной особенностью этих систем является то, что они имеют один измерительный модуль, который устанавливается стационарно в одной точке. Такая система не позволяет одновременно в режиме реального времени измерять параметры микроклимата по всему помещению, имеющему существенную разницу измеряемых величин в различных его точках.
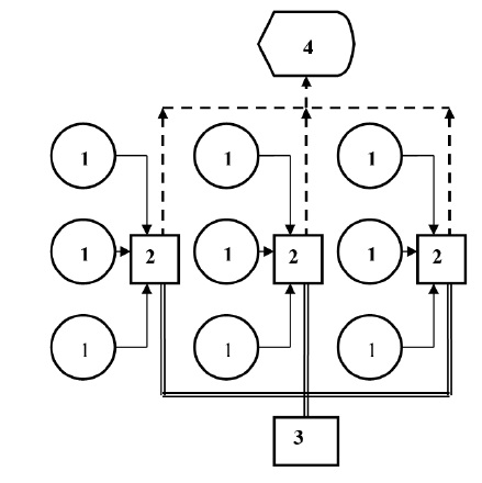
Разработанная нами система измерения параметров микроклимата коровника предусматривает регистрацию температуры и относительной влажности воздуха одновременно по всему помещению. Система имеет 9 точек установки комплектов датчиков, распределенных по длине и ширине коровника на высоте 2,5 м над стойлами животных (рис. 1) [24] . Система работает круглосуточно в режиме реального времени с интервалом опроса датчиков 10 минут [4].
Рис. 1. Схема системы измерения параметров микроклимата коровника: 1 – датчики температуры и влажности воздуха;
2 – устройство регистрации и архивации данных; 3 – блок электропитания системы; 4 – компьютер специалиста
Fig. 1. Diagram of the measuring system for the indoor climate variables in a cow barn: 1 – temperature and humidity sensors; 2 – data recording and storing device; 3 – power supply unit; 4 – specialist’s PC
Система для измерения параметров микроклимата имеет блочную структуру и состоит из девяти блоков датчиков, трех блоков регистрации-архивации и общего блока питания [24]. Датчики равномерно распределены по площади фермы, что обеспечивает регистрацию параметров в различных точках помещения в зависимости от объемно-планировочного решения, технологии содержания и обслуживания животных. Блок состоит из датчика температуры и влажности АМ2320 [25]. Датчики позволяют измерять температуру в диапазоне от –40 до +80 °С с максимальной погрешностью ±0,5 °С и разрешением шкалы 0,1 °С, относительную влажность 0–99,9 % ‒ с максимальной погрешностью ±3 % и разрешением шкалы 0,1 %. Блок регистратора-архиватора представляет собой устройство, созданное из электронных компонентов с микроконтроллером Atmel 328, и работает в соответствии с программой [24].
Данные из регистратора-архиватора раз в 2 недели заносятся в компьютер, обрабатываются в программе Excel и оформляются в графическом и табличном форматах для дальнейшего анализа2.
Данные о текущих и прогнозных климатических условиях (температуре и относительной влажности окружающего воздуха, скорости и направлении ветра, атмосферном давлении, количестве выпавших осадков и др.) получены с региональной государственной метеостанции с интервалом в 3 часа.
Результаты исследования
Все модели формирования микроклимата животноводческого помещения можно разделить на три вида. Во-первых, модели, использующие физические принципы термо-, гидро- и газодинамики. Они состоят из сложных дифференциальных уравнений с использованием различных коэффициентов, учитывающих особенности конкретного объекта [25]. Во-вторых, модели, построенные на результатах измерений. Они учитывают условия содержания и способность живых организмов адаптироваться к этим условиям, поддерживая свою жизнедеятельность и полезные человеку продуктивные свойства. В-третьих, на практике часто встречаются модели, построенные на теоретических зависимостях и результатах измерений, так называемые «гибридные модели» [25].
Животноводческие фермы – это сложные биотехнические, динамические системы, поэтому в нашей модели использованы принципы построения гибридных моделей. Функциональная схема модели температурно-влажностного режима коровника представлена на рисунке 2.
Tk – температура коровника; Wk – влажность коровника; Tm – температура наружного воздуха;
Wm – влажность наружного воздуха; 1 – база знаний; 2 – блок анализа текущих значений
параметров микроклимата; 3 – блок анализа расчетных параметров микроклимата; 4 – компьютер специалиста
Fig. 2. Functional diagram of the temperature and humidity model of a cow barn: Tk – cow barn
temperature; Wk – cow barn humidity; Tm – outdoor temperature; Wm – outdoor humidity;
1 – knowledge base; 2 – block for analyzing the current indoor climate variables; 3 – block for analyzing
the estimated indoor climate variables; 4 – specialist’s PC
Исходными данными модели являются значения текущих параметров микроклимата, поступающие в режиме реального времени с соответствующих датчиков, установленных в коровнике. Количество датчиков может быть различным, но минимальное количество датчиков температуры воздуха не менее 7, датчиков относительной влажности воздуха не менее 3 в зависимости от объемно-планировочного решения помещения для содержания животных. К исходным данным относятся текущие погодные условия и прогноз на 10 суток.
База знаний 1 содержит нормативно-справочную информацию для выполнения технологических процессов, архив данных за предшествующие периоды. В блоке анализа 2 выполняются операции сравнения текущих информативных значений параметров микроклимата. В блоке анализа 3 выполняются операции сравнения расчетных значений параметров микроклимата на соответствие установленным нормативам. Результат анализа транслируется на компьютер специалиста 4 для принятия управленческих решений и архивируется в базе знаний 1.
В качестве примера на рисунках 3 и 4 в графической форме представлены результаты суточного мониторинга температуры и относительной влажности воздуха в коровнике с учетом внешних погодных условий с временным интервалом 3 часа [4]. Значения параметров микроклимата в коровнике рассчитываются как среднее с 9 точек измерения. Данные о состоянии параметров микроклимата в коровнике и метеоусловиях в режиме реального времени отражаются на мониторах и информационных панелях персонала и специалистов.
1 – средняя температура воздуха в коровнике в течение суток, °С;
2 – средняя температура наружного воздуха в течение суток, °C
Fig. 3. Cow barn temperature for the current day:
1 – средняя относительная влажность воздуха в коровнике в течение суток, %;
2 – средняя относительная влажность наружного воздуха в течение суток, %
Fig. 4. Barn air humidity for the current day:
На рисунке 5 представлены экспериментальные зависимости температуры воздуха внутри коровника от температуры наружного воздуха для конкретной фермы по результатам мониторинга в течение года. График предоставляет возможность определить верхние и нижние границы температуры воздуха в коровнике при изменении температуры наружного воздуха.
Fig. 5. Dependence of the air temperature in a cow barn on the outdoor air temperature
В холодный (зимний) период года особое значение имеет определение нижней границы, чтобы не допустить переохлаждения животных, замерзания систем поения и уборки навоза. В теплый (летний) период верхней границей является вероятность наступления перегрева животных в отдельных неблагоприятных зонах коровника.
В результате исследований получены корреляционные модели формирования температурного режима коровника (1)–(3) в зависимости от температуры наружного воздуха.
при R2 = 0,951, (1)
при R2 = 0,940, (2)
при R2 = 0,905, (3)
где Tв.ср. – средняя температура воздуха в коровнике, °С; – средняя минимальная температура воздуха в коровнике, °С; – средняя максимальная температура воздуха в коровнике, °С; Tн.ср. – средняя температура наружного воздуха, °С.
В соответствии с моделями (1)‒(3) рассчитаны значения температуры на следующие сутки с учетом прогноза внешних погодных условий. На рисунке 6 результаты этих расчетов представлены в графической форме.
1 – ожидаемая средняя температура в коровнике, °С; 2 – ожидаемая максимальная температура
в коровнике, °С; 3 – ожидаемая средняя температура наружного воздуха, °C
Fig. 6. Estimated values of air temperature in the cow barn for the next day: 1 – expected average air
temperature in the cow barn, °С; 2 – expected maximal air temperature in the cow barn, °С;
3 – expected maximal outdoor air temperature, °С
Из графика (рис. 6) видно, что с 9 до 18 часов ожидается неблагоприятный микроклимат в коровнике и необходимо предусмотреть мероприятия по снижению температуры, организации активного воздухообмена в помещении.
Использование постоянного мониторинга функционирования фермы позволяет формировать модели и управлять микроклиматом коровника с учетом прогноза погоды на ближайшие сутки, изменяющихся внешних условий, технологии содержания и обслуживания животных.
Расчет ожидаемых параметров микроклимата фермы на следующие сутки, с учетом прогноза температуры наружного воздуха, позволит учесть вероятность возникновения критических ситуаций как в зимнее (низкие температуры), так и в летнее (высокие температуры) время.
В молочном скотоводстве для оценки совокупного влияния температуры и влажности воздуха, оценки стрессового состояния животного применяется индекс температуры и влажности THI и рассчитывается по зависимости (4) [4; 10]:
, (4)
где tab – температура по сухому термометру, ºС; tdp – точка росы, ºС.
Нижний порог наступления стрессового состояния для молочного скота наблюдается при THI >74; при 74 ≤ THI < 79 – стрессовое состояние; 79 ≤ THI < 84 – опасное стрессовое состояние; THI >84 – критическая ситуация, требующая немедленного принятия мер [26].
В результате исследований получена корреляционная модель (5) зависимости THI от температуры и относительной влажности воздуха в исследуемом коровнике:
при R2 = 0,999, (5)
где T – температура воздуха в коровнике в пределах от 10 до 30 °C; W – относительная влажность воздуха в коровнике в пределах от 50 до 100 %.
В соответствии с зависимостью (5) и температурным прогнозом (рис. 6) произведен расчет индекса THI на следующие сутки для исследуемого коровника. Результаты расчетов представлены в виде графической модели на рисунке 7. Расчеты выполнены для диапазона относительной влажности воздуха в коровнике 60–90 % [4].
1 – значения THI в коровнике при средней температуре и относительной влажности воздуха 60 %;
2 – значения THI в коровнике при средней температуре и относительной влажности воздуха
90 %; 3 – значения THI в коровнике при максимальной температуре и относительной влажности
воздуха 60 %; 4 – значения THI в коровнике при максимальной температуре и относительной
влажности воздуха 90 %; 5 – значения THI вне коровника
Fig. 7. Calculated values of the temperature and humidity index for the next day: 1 – THI in the
cow barn under the average air temperature and relative humidity of 60%; 2 – THI in the cow barn
under the average air temperature and relative humidity of 90%; 3 – THI in the cow barn under the
maximal air temperature and relative humidity of 60%; 4 – THI in the cow barn under the maximal air
temperature and relative humidity of 90%; 5 – THI outside the cow barn
Анализ графика (рис. 7) свидетельствует о том, что неблагоприятный для животных температурно-влажностный режим THI >75 в отдельных зонах коровника при высокой относительной влажности воздуха может присутствовать до 18 часов в сутки. В дневное время при THI >80 температурно-влажностный режим в коровнике может стать критическим и сопровождаться резким снижением молочной продуктивности коров.
Снизить влияние теплового стресса можно организацией повышенного воздухообмена коровника или выгулом скота на площадках, оборудованных солнцезащитными навесами, при поении животных водой.
Обсуждение и заключение
Разработана система для круглосуточного измерения параметров микроклимата, состоящая из девяти блоков датчиков, трех блоков регистрации-архивации и общего блока питания [24]. Интервал записи данных в регистратор-архиватор составляет 10 минут с дальнейшей аналитической обработкой в программе Excel.
С использованием системы измерения параметров микроклимата проведены экспериментальные исследования температурно-влажностных режимов в коровнике на 200 голов [4]. В результате исследований получены корреляционные модели формирования температурного режима коровника и расчета THI в зависимости от температуры и относительной влажности воздуха коровника и наружного воздуха.
Разработана информационно-прогнозная модель формирования температурно-влажностных режимов внутри коровника в зависимости от внешних погодных условий. Модель позволяет при постоянно обновляемой базе данных в режиме реального времени контролировать состояние температурно-влажностного режима коровника, формировать прогноз состояния параметров микроклимата на ближайшие несколько суток. Это поможет заблаговременно принимать управленческие решения при критических ситуациях, связанных с перегревом или переохлаждением животных.
1 Mylostyvyi R., Sejian V., Hoffmann G. Problems Related to Ensuring the Cow Comfort in Uninsulated Cowsheds during the Hot Season // Proceedings of the 1st International Scientific and Practical Conference AWCGCC, 21–22 April 2020, Dnipro. Dnipro, 2020. Pp. 75–77. URL: https://www.researchgate.net/publication/341114318_PROBLEMS_RELATED_TO_ENSURING_THE_COW_COMFORT_IN_UNINSULATED_COWSHEDS_DURING_THE_HOT_SEASON#fullTextFileContent (дата обращения: 01.03.2021).
2 Валге А. М. Использование систем Excel и Mathcad при проведении исследований по механизации сельскохозяйственного производства (Методическое пособие). СПб: ГНУ СЗНИИМЭСХ Россельхозакадемии, 2013. 200 с.
Об авторах
Валерий Федорович Вторый
Институт агроинженерных и экологических проблем сельскохозяйственного производства – филиал ФГБНУ «Федеральный научный агроинженерный центр ВИМ»
Email: vvtoryj@yandex.ru
ORCID iD: 0000-0003-0026-6979
ResearcherId: Z-1809-2019
главный научный сотрудник Института агроинженерных и экологических проблем сельскохозяйственного производства, доктор технических наук
Россия, 196625, г. Санкт-Петербург, Фильтровское ш., д. 3Сергей Валерьевич Вторый
Институт агроинженерных и экологических проблем сельскохозяйственного производства – филиал ФГБНУ «Федеральный научный агроинженерный центр ВИМ»
Автор, ответственный за переписку.
Email: 2vt_1981@list.ru
ORCID iD: 0000-0002-7169-1625
ResearcherId: Z-1812-2019
старший научный сотрудник Института агроинженерных и экологических проблем сельскохозяйственного производства,кандидат технических наук
Россия, 196625, г. Санкт-Петербург, Фильтровское ш., д. 3Владислав Владимирович Гордеев
Институт агроинженерных и экологических проблем сельскохозяйственного производства – филиал ФГБНУ «Федеральный научный агроинженерный центр ВИМ»
Email: vladgordeev@mail.ru
ORCID iD: 0000-0001-6181-396X
ResearcherId: Y-9104-2019
заведующий научно-исследовательским отделом технологий и технических средств в животноводстве Института агроинженерных и экологических проблем сельскохозяйственного производств, кандидат технических наук
Россия, 196625, г. Санкт-Петербург, Фильтровское ш., д. 3Список литературы
- Милостивий, Р. В. Добробут молочної худоби в умовах глобальних кліматичних змін /Р. В. Милостивий, В. Седжіан. – doi: 10.32819/2019.71009 // Theoretical and Applied Veterinary Medicine.– 2019. – Т. 7, № 1. – С. 47–55. – URL: https://bulletin-biosafety.com/index.php/journal/article/view/214 (дата обращения: 01.03.2021). – Рез. англ.
- Иванов, Ю. А. Повышение качества среды обитания животных на основе совершенствования управления оборудованием систем микроклимата / Ю. А. Иванов, Н. Н. Новиков // Вестник ВНИИМЖ. – 2013. – № 3 (11). – С. 44–51. – URL: https://clck.ru/UJW8J (дата обращения:01.03.2021). – Рез. англ.
- Вторый, В. Ф. Исследования температурно-влажностного режима коровника в зимневесенний период / В. Ф. Вторый, С. В. Вторый, Р. М. Ильин. – doi: 10.24411/2078-1318-2019-11134 // Известия Санкт-Петербургского государственного аграрного университета. – 2019. –№ 1 (54). – С. 134–140. – URL: https://doi.org/10.24411/2078-1318-2019-11134 (дата обращения:01.03.2021).
- Оценка состояния температурно-влажностного режима в коровнике с использованием графического информационного моделирования / В. Ф. Вторый, В. В. Гордеев, С. В. Вторый, Е. О. Ланцова / Вестник ВНИИМЖ. – 2016. – № 4 (24). – С. 67–72. – URL: https://clck.ru/UJZK6 (дата обращения: 01.03.2021). – Рез. англ.
- Dahl, G. E. Effects of Late-Gestation Heat Stress on Immunity and Performance of Calves /G. E. Dahl, S. Tao, A. P. A. Monteiro. – doi: 10.3168/jds.2015-9990 // Journal of Dairy Science. –2016. – Vol. 99, Issue 4. – Pp. 3193–3198. – URL: https://www.sciencedirect.com/science/article/pii/S0022030216000576?via%3Dihub (дата обращения: 01.03.2021).
- Herbut, P. Environmental Parameters to Assessing of Heat Stress in Dairy Cattle – a Review /P. Herbut, S. Angrecka, J. Walczak. – doi: 10.1007/s00484-018-1629-9 // International Journal of Biometeorology. – 2018. – Vol. 62, Issue 12. – Pp. 2089–2097. – URL: https://link.springer.com/article/10.1007/s00484-018-1629-9 (дата обращения: 01.03.2021).
- Symposium Review: The Influences of Heat Stress on Bovine Mammary Gland Function /S. Tao, R. M. Orellana, X. Weng [et al.]. – doi: 10.3168/jds.2017-13727 // Journal of Dairy Science. –2018. – Vol. 101, Issue 6. – Pp. 5642–5654. – URL: https://www.sciencedirect.com/science/article/pii/S0022030218300195?via%3Dihub (дата обращения: 01.03.2021).
- Вторый, С. В. Влияние внешних погодных условий на продуктивность коров при привязном содержании / С. В. Вторый, Р. М. Ильин. – doi: 10.24411/0131-5226-2019-10172 // АгроЭкоИнженерия. – 2019. – № 2 (99). – С. 269–277. – URL: https://doi.org/10.24411/0131-5226-2019-10172 (дата обращения: 01.03.2021). – Рез. англ.
- Daily Rumination Time of Lactating Dairy Cows under Heat Stress Conditions / T. Müschner-Siemens, G. Hoffmann, C. Ammon, T. Amon. – doi: 10.1016/j.jtherbio.2019.102484. ‒ Текст : электронный // Journal of Thermal Biology. – 2020. – Vol. 88. – URL: https://www.sciencedirect.com/science/article/pii/S0306456519304644?via%3Dihub (дата обращения: 01.03.2021).
- Scientific Report of EFSA Prepared by the Animal Health and Animal Welfare Unit on the Effects of Farming Systems on Dairy Cow Welfare and Disease / B. Algers, G. Bertoni, D. M. Broom [et al.] //Annex to the EFSA Journal. – 2009. – Vol. 1143. – Pp. 1–38. – URL: https://clck.ru/UJbzm (дата обращения: 01.03.2021).
- Polsky, L. Invited Review: Effects of Heat Stress on Dairy Cattle Welfare / L. Polsky,M. A. G. Keyserlingk. – doi: 10.3168/jds.2017-12651 // Journal of Dairy Science. – 2017. –Vol. 100, Issue 11. – Pp. 8645–8657. – URL: https://www.sciencedirect.com/science/article/pii/S0022030217308494?via%3Dihub (дата обращения: 01.03.2021).
- Bohmanova, J. Temperature-Humidity Indices as Indicators of Milk Production Losses Due to Heat Stress / J. Bohmanova, I. Misztal, J. B. Cole. – doi: 10.3168/jds.2006-513 // Journal of Dairy Science.– 2007. – Vol. 90, Issue 4. – Pp. 1947–1956. – URL: https://www.sciencedirect.com/science/article/pii/S0022030207716818?via%3Dihub (дата обращения: 01.03.2021).
- Schüller, L. K. Effect of Short- and Long-Term Heat Stress on the Conception Risk of Dairy Cows under Natural Service and Artificial Insemination Breeding Programs / L. K. Schüller,O. Burfeind, W. Heuwiese. – doi: 10.3168/jds.2015-10080 // Journal of Dairy Science. – 2016. –Vol. 99, Issue 4. – Pp. 2996–3002. – URL: https://www.sciencedirect.com/science/article/pii/S0022030216000916?via%3Dihub (дата обращения: 01.03.2021).
- A Predictive Model of Equivalent Temperature Index for Dairy Cattle (ETIC) / X. Wang,H. Gao, K. G. Gebremedhin [et al.]. – doi: 10.1016/j.jtherbio.2018.07.013 // Journal of Thermal Biology.– 2018. – Vol. 76. – Pp. 165–170. – URL: https://www.sciencedirect.com/science/article/pii/S0306456518301050?via%3Dihub (дата обращения: 01.03.2021).
- Heat Stress Risk in European Dairy Cattle Husbandry under Different Climate Change Scenarios –15. ‒Текст : электронный // Earth Syst. Dynam. Discuss. – 2019. – URL: https://esd.copernicus.org/preprints/esd-2019-15/esd-2019-15.pdf (дата обращения: 01.03.2021).
- Мартынова, Е. Н. Зона размещения животных в здании – фактор влияния на молочную продуктивность / Е. Н. Мартынова, Е. А. Ястребова. ‒ Текст : электронный // Современные проблемы науки и образования. – 2013. – № 3. – URL: https://www.science-education.ru/pdf/2013/3/290.pdf(дата обращения: 01.03.2021). – Рез. англ.
- Математическое моделирование свободной (естественной) конвекции в животноводческих помещениях большой вместимости / И. Я. Федоренко, Н. И. Капустин, В. Н. Капустин,И. Н. Бырдин // Вестник Алтайского государственного аграрного университета. – 2010. – № 11(73). – С. 66–70. – URL: https://clck.ru/UPiLR (дата обращения: 01.03.2021).
- Modelling of Heat Stress in a Robotic Dairy Farm. Part 2: Identifying the Specific Thresholds with Production Factors / B. Ji, T. Banhazi, A. Ghahramani [et al.]. – doi: 10.1016/j.biosystemseng.2019.11.005 //Biosystems Engineering. – 2019. – Vol. 199. – Pp. 43–57. – URL: https://www.sciencedirect.com/science/article/pii/S1537511019308797?via%3Dihub (дата обращения: 01.03.2021).
- A Software to Estimate Heat Stress Impact on Dairy Cattle Productive Performance / C. G. S. Teles Junior, R. S. Gates, M. Barbari [et al.]. – doi: 10.15159/ar.19.110 // Agronomy Research. – 2019. –Vol. 17, Issue 3. – Pp. 872–878. – URL: https://dspace.emu.ee/xmlui/handle/10492/4798 (дата обращения: 01.03.2021).
- Microclimate and Gas Emissions in Cold Uninsulated Dairy Buildings / F. Teye, H. Gröhn,M. Pastell [et al.]. – doi: 10.13031/2013.20936. ‒ Текст : электронный // Proceedings of ASAE Annual Meeting. – Michigan : American Society of Agricultural and Biological Engineers, 2006. – URL:https://elibrary.asabe.org/abstract.asp?JID=5&AID=20936&CID=por2006&T=1 ( дата обращения:01.03.2021).
- Papez, J. Heating and Ventilation in Milking Parlours / J. Papez, P. Kic // Agronomy Research. –2015. – Vol. 13, Issue 1. – Pp. 245–252. – URL: https://www.researchgate.net/publication/281735325_Heating_and_ventilation_in_milking_parlours (дата обращения: 01.03.2021).
- Kic, P. Effect of Construction Shape and Materials on Indoor Microclimatic Conditions inside the Cowsheds in Dairy Farms / P. Kic // Agronomy Research. – 2017. – Vol. 15, Issue 2. – Pp. 426–434. –URL: https://www.researchgate.net/publication/317744473_Effect_of_construction_shape_and_materials_on_indoor_microclimatic_conditions_inside_the_cowsheds_in_dairy_farms ( дата обращения:01.03.2021).
- Vtoryi, V. Investigations of Temperature and Humidity Conditions in Barn in Winter / V. Vtoryi,S. Vtoryi, R. Ylyin. – doi: 10.22616/ERDev2018.17.N300 // Proceedings of 17th InternationalScientific Conference “Engineering for Rural Development”, 23–25 May 2018, Jelgava. – Jelgava,2018. – Pp. 265–269. – URL: http://www.tf.llu.lv/conference/proceedings2018/Papers/N300.pdf (дата обращения: 01.03.2021).
- Ильин, Р. М. Графические модели температурно-влажностных режимов животноводческого помещения / Р. М. Ильин // Известия Санкт-Петербургского государственного аграрного университета. – 2019. – № 3. – С 173–178. – URL: https://clck.ru/UQrpQ (дата обращения:01.03.2021).
- Карпенко, А. В. Модели управления микроклиматом в помещении / А. В. Карпенко, И. Ю. Петрова // Фундаментальные исследования. – 2016. – № 7. – С. 224–229. – URL:http://www.fundamental-research.ru/ru/article/view?id=40488 (дата обращения: 01.03.2021). –Рез. англ.
- Spatial Distribution of Thermal Variables, Acoustics and Lighting in Compost Dairy Barn with Climate Control System / F. A. Damasceno, C. E. A. Oliveira, G. A. S. Ferraz [et al.]. – doi: 10.15159/ar.19.115 // Agronomy Research. – 2019. – Vol. 17, Issue 2. – Pp. 385–395. – URL: https://dspace.emu.ee/xmlui/handle/10492/4839 (дата обращения: 01.03.2021).
Дополнительные файлы




























