Analysis of chlorophyll content in spring barley leaves using hyperspectral imaging and spectrophotometry
- Authors: Podlasova E.Y.1, Novikova A.A.1
-
Affiliations:
- Federal Research Centre of Biological Systems and Agrotechnologies of the Russian Academy of Sciences
- Issue: Vol 107, No 4 (2024)
- Pages: 337-346
- Section: Geoponics and crop production
- URL: https://bakhtiniada.ru/2658-3135/article/view/278540
- DOI: https://doi.org/10.33284/2658-3135-107-4-337
- ID: 278540
Cite item
Full Text
Abstract
The article presents the results of research on the search for universal vegetation indices on spring barley plants grown on a hydroponic system in a closed climate chamber. Using a spectrophotometer, the concentrations of chlorophyll in the leaves of spring barley during the tillering phase ranged in chlorophyll Cl a from 0.17 to 0.35 mg/cm2, chlorophyll Cl b from 0.11 to 0.31 mg/cm2, chlorophyll Cl a+b from 0.11 to 0.25 mg/cm2 and carotenoids (Car) from 0.11 to 0.19 mg/cm2. To quantify the chlorophyll content, several vegetation indices were derived, calculated on the basis of the reflection coefficient at certain wavelengths. By collecting spectral images of spring barley leaves and using Spearman correlation, we found a close correlation between CVI and OSAVI indices with Cl a+b at r2= 0.93 and r2= 0.91. This work has shown that the use of vegetation indices is promising for assessing the content of photosynthetic pigments in the leaves of spring barley. Thus, hyperspectral assessment can be used as a non-destructive and effective method in selection and seed production of this crop.
Full Text
Введение.
Содержание хлорофилла указывает на физиологическое состояние растений и является количественным показателем фотосинтетической способности, наиболее полно отражающим продукционный процесс (Бесалиев И.Н. и Панфилов А.Л., 2023; Новикова А.А. и др., 2022). Хлорофилл отвечает за управление световой энергии и передачу её другим молекулам, которые участвуют в синтезе органических соединений. Этот пигмент играет важную роль в поддержании баланса кислорода и углекислого газа в атмосфере, что делает его необходимым для жизни растений (Короткова А.М. и др., 2019).
Концентрацию пигментов можно исследовать с помощью хромотографии и спектрофотомерии, однако данные методы являются очень трудоёмкими и, что важно для селекционного процесса, разрушающими для объекта исследования. Поэтому более удобным методом, который стремительно развивается в настоящее время, является метод дистанционной оценки на основе анализа спектров электромагнитного излучения (Dai W et al., 2016). Данные методы основаны на том факте, что различные пигменты по-разному поглощают излучение различных длин волн. Таким образом, каждый пигмент имеет свой собственный характер спектрального отражательного излучения, который можно идентифицировать с помощью спектрометра высокого разрешения в определенном диапазоне длин волн.
Спектральные измерения в чувствительном к фотосинтетическим пигментам диапазоне спектра электромагнитного излучения стали возможными благодаря использованию мультиспектральных и гиперспектральных камер. Последние способны сканировать интересующий диапазон длины волн в высоком разрешении. Было показано, что длины волн, примыкающие к полосам 700 нм и 500 нм, более чувствительны к содержанию хлорофилла (Wang H et al., 2016). Сбор и обработка спектральных изображений позволяет бесконтактно обнаруживать и определять концентрацию хлорофилла у таких растений как земляника (Arief MAA et al., 2023), тополь (Shan L et al., 2018), кукуруза (Qingfeng S et al., 2023), клён (Игнатова М.А. и др., 2024), соя (Zolotukhina A et al., 2023) и другие. Активное развитие дистанционного мониторинга и оценка содержания хлорофилла в растениях с помощью мультиспектральных и гиперспектральных снимков являются важными методами определения содержания хлорофилла. В настоящее время для получения мультиспектральных и гиперспектральных изображений используют специальные методы, которые отличаются технологией реализации сенсора, шириной спектрального интервала, спектральным и пространственным разрешением (Zhang H et al., 2022).
Однако гиперспектральная камера выводит полученные данные, содержащие спектральные характеристики и пространственные координаты изображения растений. Пользоваться такими данными можно только после того, как они будут преобразованы в вегетационный индекс с использованием различных формул.
Вегетационные индексы представляют собой математические комбинации отражательной способности растений в нескольких спектральных диапазонах (Koch JCO et al., 2022; Qiao L et al., 2022). В связи с этим точный расчёт какого-либо признака, в том числе концентрации хлорофилла, часто требует исчерпывающих исследований спектральной отражательной способности для каждого растения и внедрения моделей индексов, специфичных для культуры. Большинство чувствительных к хлорофиллу вегетационных индексов представляют собой математические функции отражения видимого и ближнего инфракрасного диапазонов, которые могут эффективно выявить фотосинтезирующую способность растений (Kooistra L and Clevers JGPW, 2016). Однако даже для одного вида растения вегетационные индексы признака способны отличаться в зависимости от его типа, стадии вегетации или условий произрастания.
В настоящем исследовании впервые проведён анализ следующих вегетационных индексов: нормальзованный разностный NDVI, индекс хлорофилла CVI, модифицированный индекс коэффициента поглощения хлорофилла MCARI, модифицированный индекс коэффициента поглощения преобразованного хлорофилла TCARI и оптимизированный индекс растительности OSAVI, чувствительных к содержанию хлорофилла, но не чувствительных к площади листовой поверхности, и содержания фотосинтетических пигментов для ярового ячменя.
Цель исследований.
Оценить силу корреляционной связи между концентрациями фотосинтетических пигментов и вегетационными индексами NDVI, CVI, MCARI, TCARI, OSAVI.
Материалы и методы исследования.
Объект исследования. Яровой ячмень сорта Губернаторский.
Схема эксперимента. Исследования проводились на растениях, выращенных в контролируемых условиях на гидропонной системе, в фазу кущения, используя листовую пластину (в трёхкратной повторности, по 5-7 листьев в каждой). В качестве гидропонной системы выступал кокосовый субстрат.
Растения выращивались в кассетах по одному. Условия выращивания были следующими: фотопериод – 16/8 часов (день/ночь) с использованием режимов рассвет/закат, температура ночью – +20 °С, днем – +25 °С, относительная влажность воздуха – 60 % с условиями тумана в утренние часы и ветра в течение светового периода до 3 м/с, средней интенсивностью освещения 100 мкмоль/м2с. Полив производили питательным раствором Кнопа, концентрацией 70 %, рН среды – 6,5. Сроки проведения полива рассчитывались термостатно-весовым методом. Вес кассет с субстратом контролировали с помощью весов, установленных на дне камеры. Способ полива – нижнее затопление.
Листья сканировали с диапазоном 400-1000 нм, спектральным разрешением 2,5 нм, до 1200 спектральных каналов с дополнительным освещением лампами накаливания, интенсивностью света 200 Вт.
На гиперспектральном снимке выделялись зоны интереса путём одноэтапной сегментации с помощью поставки барьера по индексу Carter5 со значением более 1,4.
Вегетационные индексы CVI, NDVI, TCARI, MCARI, OSAVI рассчитывались с использованием среднего коэффициента отражения в спектральных диапазонах зелёный Rgreen 550-650 нм и красный Rred 600-650 нм, коэффициент отражения Nir 800-850 нм (Blackmer TM et al., 1994) Формулы для расчёта вегетационных индексов представлены в таблице 1.
Для получения эталонных значений содержания хлорофилла в листьях ярового ячменя использовали методику Смашевского (Смашевский Н.Д., 2011). Концентрацию хлорофилла оценивали в тех же листьях, где проводили гиперспектральные измерения. В течение 24 часов была проведена гиперспектральная визуализация и деструктивное содержание хлорофилла.
Таблица 1. Вегетационные индексы, использованные для оценки содержания хлорофилла в листьях ярового ячменя в момент кущения
Table 1. Vegetation indices used to estimate the chlorophyll content in spring barley leaves at the time of tillering
Вегетационный индекс / Vegetation index | Формула / Formula | Источник литературы / Reference |
CVI | (RNir/Rgreen)*(R red/Rgreen) | Vincini M et al., 2008 |
NDVI | (RNir-R640)/(RNir+R640) | El-Henawi S et al., 2021 |
MCARI | [(R850 – R715) − 0,2*(R850 − R580)]*(R850/R715) | Daughtry CST et al., 2022 |
OSAVI | [(1 + 0,16)*(R850–R640)/(R850 + R640 + 0,16)] | Daughtry CST et al., 2022 |
TCARI | 3*[(R850 − R640)−0,2*(R850 − R550)*(R850/R640)] | Haboudane D et al., 2002 |
Оборудование и технические средства. Исследования выполнены в ЦКП БСТ РАН (г. Оренбург) (http://цкп-бст.рф) с использованием уникальной установки – Системы цифровых устройств закрытого типа для культивирования биологических объектов типа «Синерготрон ИСР 11.02» (Россия). Оценка вегетационных индексов производилась с использованием гиперсектральной камеры «FigSpec» (Китай). Спектральные данные, представленные в виде необрабатываемого файла, преобразовывали в фото с помощью программного обеспечение «Sinergotron» (Россия) и программы «Finich» (Китай). Концентрацию хлорофилла определяли с использовали спектрофотометр «UNIKO 1201» (Корея).
Статистическая обработка. Обработку проводили с использованием непараметрического коэффициент корреляции Спирмена. Для оценки силы связи использовали шкалу Чеддока. Линейная регрессия использовалась для моделирования зависимости между концентрацией пигмента и значениями вегетационных индексов CVI, NDVI, MCARI, OSAVI, TCARI. Точность модели и её тестов оценивали по средней абсолютной процентной погрешности (MAPE) и значению коэффициента измерения r2. Достоверность различий между вариантами оценивали методами параметрической (t-критерий Стьюдента) статистики. Представленные данные имели статистически значимые различия между вариантами при Р≤0,05.
Результаты исследований.
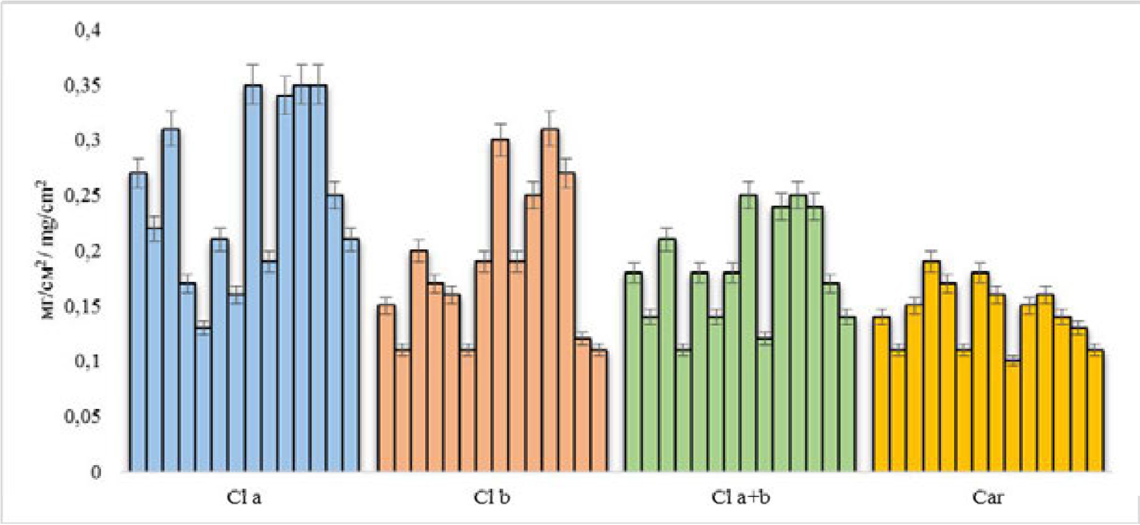
Для того, чтобы подобрать наиболее универсальный вегетационный индекс в данном исследовании был проведён лабораторный опыт по определению содержания фотосинтетических пигментов в листьях ярового ячменя. Для точного измерения содержания хлорофилла вегетационные индексы должны быть проверены по отношению к эталонным измерениям, полученным с помощью спектрофотометрии. На рисунке 1 представлены данные концентрации хлорофилла в листьях ярового ячменя, полученных с помощью спектрофотометрического анализа. Содержание хлорофилла a (Cl a) в листьях находилось в пределах от 0,17 до 0,35 мг/см2, хлорофилла b (Cl b) – от 0,11 до 0,31 мг/см2, хлорофилла a+b (Cl а+b) – от 0,11 до 0,25 мг/см2 и каротиноидов (Car) – от 0,11 до 0,19 мг/см2.
Рисунок 1. Ряды концентрации хлорофилла и каротиноидов в верхних листьях ярового ячменя в момент кущения, мг/см2
Figure 1. Concentration ranges of chlorophyll and carotenoids in the upper leaves of spring barley at the time of tillering, mg/cm2
Мы выбрали пять вегетационных индексов, которые оказались эффективными для измерения концентрации хлорофилла в листьях ярового ячменя. Чтобы установить на сколько тесно данные индексы взаимодействуют с хлорофиллом, рассчитали корреляционную связь по Спирмену (табл. 2).
Таблица 2. Значения коэффициента корреляции Спирмена между концентрацией хлорофиллов в листьях ярового ячменя и значениями вегетационных индексов
Table 2. The values of the Spearman correlation coefficient between the concentration of chlorophylls in the leaves of spring barley and the values of vegetation indices
Концентрация хлорофилла / Chlorophyll concentration | Вегетационные индексы / Vegetation indices | ||||
CVI | OSAVI | TCARI | MCARI | NDVI | |
Cl a | 0,80 | 0,86 | 0,84 | 0,83 | 0,54 |
Cl b | 0,73 | 0,79 | 0,81 | 0,75 | 0,70 |
Cl a+b | 0,93 | 0,91 | 0,83 | 0,86 | 0,64 |
Car | 0,16 | 0,14 | 0,09 | 0,07 | -0,003 |
Из представленных в таблице показателей отмечается весьма высокая корреляционная связь между Cl a+b и вегетационными индексами CVI и OSAVI при r2=0,93 и r2=0,91, и менее выраженная корреляционная связь – с NDVI индексом при r2=0,64.
Почти все вегетационные индексы имеют высокую связь с Cl a коэффициент корреляции превышает значение 0,8, только NDVI имеет умеренную связь при r2=0,54. При сравнении корреляционной связи с Cl b только с вегетационным индексом TCARI была выявлена высокая сила связи при r2=0,81.
Изученные вегетационные индексы показали положительную минимальную корреляционную связь с концентрацией Car, и только NDVI показал отрицательную корреляционную связь.
Обсуждение полученных результатов.
Оценка определения концентрации хлорофилла в листьях требует сбора большого количества статистических данных и приводит к неизбежным неточностям из-за труднопредсказуемых факторов окружающей среды. Для точного определения концентрации хлорофилла необходимо проверять любые модели на основе индексов по текущим эталонным значениям.
Если для конкретной культуры и поля не существует хорошо зарекомендовавшего себя вегетационного индекса, то определение концентрации хлорофилла становится ещё более сложной. В этом случае сначала необходимо определить наиболее подходящий вегетационный индекс, затем указать модель оценки содержания хлорофилла и применить её для расчеёа распределения концентрации хлорофилла (Zolotukhina A et al., 2023).
За последние годы произошла заметная интенсификация по поиску подходящих вегетационных индексов с использованием спектрального сканирования на растениях сои (Zolotukhina A et al., 2023), листьях клёна (Игнатова М.А. и др., 2024), яровой мягкой пшенице (Альт В.В. и др., 2020), салата (Taha MF et al., 2024).
Полученные в наших исследованиях тесные корреляционные связи между вегетационными индексами и концентрацией хлорофилла в листьях ярового ячменя позволяют проводить дальнейшие исследования как в лабораторных, так и в полевых экспериментах по картированию концентрации хлорофилла.
Заключение.
Согласно данным, полученным с помощью линейной корреляции Спирмена, было выявлено, что проанализированные вегетационные индексы имели заметную связь с концентрацией хлорофилла в листьях. Наиболее высокая корреляционная связь была отмечена между Cl a+b и вегетационными индексами CVI и OSAVI при r2=0,93 и r2=0,91.
About the authors
Ekaterina Yu. Podlasova
Federal Research Centre of Biological Systems and Agrotechnologies of the Russian Academy of Sciences
Author for correspondence.
Email: katerina.pryakhina@mail.ru
ORCID iD: 0000-0002-2985-198X
Cand. Sci. (Agriculturе), Junior Researcher
Russian Federation, OrenburgAntonina A. Novikova
Federal Research Centre of Biological Systems and Agrotechnologies of the Russian Academy of Sciences
Email: tony-novikova@yandex.ru
ORCID iD: 0000-0002-6947-9262
Cand. Sci. (Agriculture), Leading Researcher
Russian Federation, OrenburgReferences
- Besaliev IN, Panfilov AL. Duration and conditions of interphase periods of vegetation as produc-tivity factors of spring wheat varieties in Orenburg Cis-Urals. Animal Husbandry and Fodder Pro-duction. 2023;106(3):202-212. https://doi.org/10.33284/2658-3135-106-3-202
- Alt VV, Gurova TA, Elkin OV, Klimenko DN, Maksimov LV, Pestunov IA, Dubrovskaya OA, Genaev MA, Erst TV, Genaev KA, Komyshev EG, Khlestkin VK, Affonikov DA. The use Specim IQ a hyperspectral camera for plant analysis. Vavilov Journal of Genetics and Breeding. 2020;24(3):259-266. doi: 10.18699/VJ19.587
- Zolotukhina AA, Guryleva AV, Gresis VO, Dekhkanova KR, Polyakova SS, Nesterov GV, Pla-tonova NB. Multi-crop determination of chlorophyll concentration using imaging spectroscopy (Conference proseedings) Acoustooptic and Radar Methods for Information Measurements and Processing: Proceedings of the XVI International Scientific and Technical Conference (Suzdal', 09-12 October 2023). Moscow: STC UI RAS; 2023:394-398.
- Korotkova AM, Lebedev SV, Kvan OV, Atlanderova KN. Evaluation of ultrafine particles influ-ence on biometric parameters of wheat germs. Animal Husbandry and Fodder Production. 2019;102(2):7-20. doi: 10.33284/2658-3135-102-2-7
- Ignatova MA, Kozlovsky BL, Dmitrieva AA, Varduny TV, Dmitriev PA. Assessment of the sea-sonal dynamics of photosynthetic pigments in maple leaves using vegetation indices calculated from hyperspectral survey data. AgroEcoInfo: Electronic science-productive magazine. 2024:2. doi: 10.51419/202142206
- Novikova AA, Emelyanova AA, Pustovalova AA, Grechishkina OS, Mishenina TA, Zamerzlyak MV. Assessment of ecological plasticity and stability of spring barley varieties by yield in the con-ditions of Orenburg region. Animal Husbandry and Fodder Production. 2022;105(4):220-231. https://doi.org/10.33284/2658-3135-105-4-220
- Smashevsky ND. Practical training in plant physiology: a textbook. Astrakhan: Astrakhan State University, Publishing House "Astrakhan University"; 2011:77 p.
- Arief MAA, Kim H, Kurniawan H, Nugroho AP, Kim T, Cho BK. Clorophyll fluorescence imaging for early detection of drought and stress in strawberry plants. Plants. 2023;12(6):1387. doi: 10.3390/plants12061387
- Blackmer TM, Shepers JS, Varvel G V. Light reflectance compared with other nitrogen stress measurements in corn leaves. Agronomy Journal. 1994;86(6):934-938.
- Dai W, Girdthai T, Huang Z, Ketudat-Cairns M, Tang R, Wang S. Genetic analysis for anthocyanin and chlorophyll contents in rapeseed. Cienc Rural. 2016;46(5);790-795. doi: 10.1590/0103-8478CR20150564
- Daughtry CST, Walthall CL, Kim MS, De Colstoun EB, McMurtrey JE III. Estimating corn leaf chlorophyll concentration from leaf and canopy reflectance. Remote Sens Environ. 2000;74(2):229-239. doi: 10.1016/S0034-4257(00)00113-9
- El-Hendawi S, Elsayed S, Al-Suhaibani N, Alotaibi M, Tahir MU, Mubushar M, Attiyah A, Hassan VM. Using hyperspectral imaging to assess the growth and content of chlorophyll in spring wheat grown under simulated soil salinity. Plants. 2021;10:101. doi: 10.1038/s41598-019-52802-5
- Haboudane D, Miller JR, Tremblay N, Zarco-Tejada PJ, Dextraze L. Integrated narrow-band vege-tation indices for prediction of crop chlorophyll content for application to precision agriculture. Remote Sens Environ. 2002;81:416-426. doi: 10.1016/S0034-4257(02)00018-4
- Koch JCO, Banerjee BP, Spangenberg G, Kant S. Automated hyperspectral vegetation index deri-vation using a hyperparameter optimisation framework for high-throughput plant phenotyping. New Phytol. 2022;233(6):2659-2670. doi: 10.1111/NPH.17947
- Kooistra L, Clevers JGPW. Estimating potato leaf chlorophyll content using ratio vegetation indi-ces. Remote Sensing Letters. 2016;7(6):611-620. doi: 10.1080/2150704X.2016.1171925
- Qiao L, Tang W, Gao D, Zhao R, An L, Li M, et al. UAV-based chlorophyll content estimation by evaluating vegetation index responses under different crop coverages. Computers and Electronics in Agriculture. 2022;196:106775. doi: 10.1016/J.COMPAG.2022.106775
- Qingfeng S, Fusang L, Hongyi B, Xin-Guang Z. Quantifying contributions of different factors to canopy photosynthesis in 2 maize varieties: development of a novel 3D canopy modeling pipeline. Plant Phenomics. 2023;5: 0075. doi: 10.34133/plantphenomics.0075
- Shan L, Fan L, Wenqiang Y, Zheyi W, Yu L, Kenji O. A robust vegetation index for remotely as-sessing chlorophyll content of dorsiventral leaves across several species in diferent seasons. Plant Methods. 2018;14:15. doi: 10.1186/s13007-018-0281-z
- Taha MF, Mao H, Wang Y, ElManawy AI, Elmasry G, Wu L, Memon MS, Niu Z, Huang T, Qiu Z. High-throughput analysis of leaf chlorophyll content in aquaponically grown lettuce using hyper-spectral reflectance and RGB images. Plants. 2024;13(3):392. doi: 10.3390/plants13030392
- Vincini M, Frazzi E, D’Alessio P. A broad-band leaf chlorophyll vegetation index at the canopy scale. Precis Agric. 2008;9:303-319. doi: 10.1007/s11119-008-9075-z
- Wang H, Shi R, Liu PD, Gao W. The study of vegetation indices for the monitoring of differences in chlorophyll and carotenoid composition in green vegetables. The International Society for Optical Engineering. 2016;36(7):2189-2194. doi: 10.3964/j.issn.1000-0593(2016)07-2189-06
- Zhang H, Ge Y, Xie X, et al. High throughput analysis of leaf chlorophyll content in sorghum using RGB, hyperspectral, and fluorescence imaging and sensor fusion. Plant Methods. 2022;18:60. doi: 10.1186/s13007-022-00892-0
- Zolotukhina A, Machikhin A, Guryleva A, Gresis V, Tedeeva V. Extraction of chlorophyll concen-tration maps from AOTF hyperspectral imagery. Front Environ Sci. 2023;11:1152450. doi: 10.3389/fenvs.2023.1152450
Supplementary files




