Research of Memristor Effect in Crossbar Architecture for Neuromorphic Artificial Intelligence Systems
- Authors: Polyakova V.V.1, Saenko A.V.1, Kots I.N.1, Kovalev A.V.1
-
Affiliations:
- Southern Federal University
- Issue: Vol 53, No 1 (2024)
- Pages: 58-63
- Section: ПРИБОРЫ
- URL: https://bakhtiniada.ru/0544-1269/article/view/259587
- DOI: https://doi.org/10.31857/S0544126924010069
- ID: 259587
Cite item
Full Text
Abstract
This article presents the results of experimental studies of structures formed on the basis of the crossbar architecture of memristor structures made of various materials. TiO2 was used as a working memristor layer. The following materials were used for the contact pads: Al, Ni, Cr, Mo, Ta, Ag. In the course of experimental studies, the optimal combination of materials for the formation of crossbar memristor structures was revealed, which in the future can be used in devices of neuromorphic artificial intelligence systems.
Full Text
ВВЕДЕНИЕ
На сегодняшний день одним из перспективных направлений научно-технического прогресса является развитие и реализация искусственного интеллекта на основе нейронных сетей [1]. Основные задачи, на которые ориентированы нейронные сети, состоят в обработке большого количества данных, реализации машинного обучения и самообучения, а также в распознавании изображений и речи. Современная архитектура фон Неймана, применяемая для решения указанных задач, где память и обработка информации физически разделены, испытывает огромные трудности, в то время как мозг человека работает доли секунд с незначительными энергозатратами — во много раз меньше современных компьютеров [2].
Однако для реализации новой элементной базы нейронных сетей необходимо решить ряд задач. Во-первых, разработать элементы памяти с многоуровневым переключением, которые могут использоваться в нейронных сетях в качестве искусственных аналогов синапсов. Во-вторых, требуется создать быстродействующую энергонезависимую флеш-память большого объема, способную сохранять информацию в течение не менее 10 лет при высокой температуре. В-третьих, нужно разработать универсальную память, которая объединяет высокую скорость работы и возможность многократного перепрограммирования, энергонезависимость флэш-памяти, большую емкость для хранения информации и низкую стоимость.
Для решения всех перечисленных задач мемристорные структуры, сформированные на основе кроссбар-архитектуры, являются многообещающим и перспективными. Мемристорные структуры представляют собой диэлектрическую пленку между двумя металлическими контактами, имеющую обратимый переход между различным сопротивлением при протекании импульса тока. Однако для понимания физики процессов, происходящих в контакте между материалами мемристорного слоя, необходимо проводить исследования для разработки и поиска наиболее подходящих материалов с наилучшими рабочими параметрами мемристорных структур [3].
На сегодняшний день существует множество способов формирования мемристорного слоя, но из-за очень маленького размера мемристорных структур, а также преимущества в возможности контролировать полученные структуры, нами был выбран метод локального анодного окисления (ЛАО) с помощью атомно-силового микроскопа. Метод ЛАО позволяет формировать оксидные наноразмерные структуры различных материалов [4, 5, 6]. Полученные таким образом структуры могут обладать заданными параметрами и свойствами. В работе [6] с помощью метода ЛАО было показано, что оксид титана, сформированный таким образом, проявляет мемристорный эффект. Поскольку данный материал совместим с КМОП-технологией, он имеет параметры быстродействия для TiO2 < 5 нс [7], воспроизводимость количества циклов TiO2 > 2 × 106 [8], что является решающими факторами при разработке и реализации мемристорной структуры, поэтому в нашей работе TiO2 был использован в качестве рабочего мемристивного слоя для построения кроссбар-структуры.
МЕТОДИКА ЭКСПЕРИМЕНТА
На рис. 1 приведен разработанный авторами технологический маршрут изготовления кроссбар-архитектуры мемристорных структур.
Рис. 1. Технологический маршрут формирования кроссбар-архитектуры.
Цифрой 1 показана подложка кремния, цифрой 2 — подложка после напыления оксида кремния, которое проводилось методом магнетронного распыления на настольной вакуумной установке магнетронного напыления VSE-PVD-DESK-PRO (ООО “АкадемВак”). Внешний вид установки представлен на рис. 2. Изолирующий слой толщиной (70 ± 5) нм формировался на указанной установке 210 мин при мощности 75 Вт, давлении 5 × 10–3 мбар и температуре 120°C. Затем (также методом магнетронного распыления) по всей поверхности наносился слой нижнего контакта из Ti. Время напыления составило 1 мин, давление — 5 × 10–3 мбар, температура — 120°C и мощность — 200 Вт. Таким образом, формировался нижний контакт толщиной (20 ± 5) нм. Цифрой 4 на рис. 1 показана маска, которой закрывался образец для нанесения Ti, а цифрой 5 — ступенька из Ti, сформированная магнетронным распылением за время напыления 0.5 мин при давлении 5 × 10–3 мбар, температуре 120°C и мощности 200 Вт. Таким образом, был сформирован слой толщиной (10 ± 5) нм.
Рис. 2. Настольная вакуумная установка магнетронного напыления VSE-PVD-DESK-PRO.
На рис. 1 под номером 6 (белым цветом) показан сформированный мемристорный слой. Его формирование проводилось с помощью зондового микроскопа Solver P47 PRO (ЗАО “НТ-МДТ”, Россия) (рис. 3). Методом ЛАО по поверхности титана в контактном режиме АСМ с кантилеверами NSG 10 с проводящим покрытием Pt была проведена нанолитография. АСМ проводился со следующими параметрами: амплитуда импульсов напряжения составляла 10 В, длительность импульсов напряжения — 100 мс, частота колебаний зонда — 0.03 Гц, ток цепи обратной связи (в программе управления PNL параметр Set Point) — 0.3 нА. Относительная влажность воздуха при ЛАО контролировалась влагомером Oregon Scientific ETHG913R и варьировалась в диапазоне (50 ± 1)%. В результате был сформирован мемристорный слой.
Рис. 3. Зондовый микроскоп Solver P47 PRO.
Цифрой 7 на рис. 1 показано, как с помощью маски проводилось формирование слоя верхних контактов. Напыление металлов в качестве верхнего контакта производилось также на установке МВУ ТМ МАГНА 01 при давлении 5 × 10–3 мбар и температуре 120°C. При этом: для Al мощность при напылении составила 200 Вт, а время — 0.5 мин; для Ni мощность при напылении составила 200 Вт, а время — 0.5 мин; для Cr мощность при напылении составила 150 Вт, а время — 0.45 мин; для Mo мощность при напылении составила 150 Вт, а время — 0.45 мин; для Ta мощность при напылении составила 150 Вт, а время — 0.45 мин; для Ag мощность при напылении составила 150 Вт, а время — 1 мин.
Цифрой 8 на рис. 1 показан сформированный макет рабочих тестовых образцов кроссбар-архитектуры мемристорных структур с мемристорным слоем из TiO2 с различными материалами верхнего контакта. Таким образом было изготовлено шесть макетов структур: Si / SiO2 / Ti / TiO2 / Al, Si / SiO2 / Ti / TiO2 / Ni, Si / SiO2 / Ti / TiO2 / Cr, Si / SiO2 / Ti / TiO2 / Mo, Si / SiO2 / Ti / TiO2 / Ta, Si / SiO2 / Ti / TiO2 / Ag.
Далее были исследованы электрические характеристики шестиизготовленных макетов структур с помощью зондового микроскопа Solver P47 PRO. Измерения параметров и характеристик макетов сформированных структур производилось методом АСМ в контактном режиме. На рис. 4 приведена электрическая схема получения вольт-амперных характеристик (ВАХ) исследуемых кроссбар-структур.
Рис. 4. Схема измерения ВАХ макета кроссбар мемристорных структур.
РЕЗУЛЬТАТЫ И ИХ ОБСУЖДЕНИЕ
Полученная ВАХ кроссбар-мемристорных структур Si / SiO2 / Ti / TiO2 / Al представлена на рис. 5.
Рис. 5. Вольт-амперные характеристики структуры Si/SiO2/Ti/TiO2/Al.
Измерение параметров структуры Si / SiO2 / Ti / TiO2 / Al проводилось в контактном режиме при подаче импульсов напряжения от –5 до 5 В. Напряжение записи Uset составило 4.1 В при токе 14 нА. Напряжение сброса Ures = –3 В при токе –2.5 нА.
Вольт-амперная характеристика кроссбар-мемристорных структур Si / SiO2 / Ti / TiO2 / Ni показана на рис. 6.
Рис. 6. Вольт-амперные характеристики структуры Si/SiO2/Ti/TiO2/Ni.
Измерение параметров структуры Si / SiO2 / Ti / TiO2 / Ni проводилось в контактном режиме при подаче импульсов напряжения от –1.5 до 1.5 В. Напряжение записи Uset составило 1.5 В при токе 26 нA. Напряжение сброса Ures = –0.8 В при токе –28 нA.
Вольт-амперная характеристика кроссбар-мемристорных структур Si / SiO2 / Ti / TiO2 / Cr изображена на рис. 7.
Рис. 7. Вольт-амперные характеристики структуры Si/SiO2/Ti/TiO2/Cr.
Измерение параметров структуры Si / SiO2 / Ti / TiO2 / Cr проводилось в контактном режиме при подаче импульсов напряжения от –4 до 4 В. Напряжение записи Uset составило 3.8 В при токе 14 нA. Напряжение сброса Ures = –3.8 В при токе –18 нA.
Вольт-амперная характеристика кроссбар-мемристорных структур Si / SiO2 / Ti / TiO2 / Mo приведена на рис. 8.
Рис. 8. Вольт-амперные характеристики структуры Si/SiO2/Ti/TiO2/Mo.
Измерение параметров структуры Si / SiO2 / Ti / TiO2 / Mo проводилось в контактном режиме при подаче импульсов напряжения от –4 до 4 В. Напряжение записи Uset составило 1.8 В при токе 10 нA. Напряжение сброса Ures = –3 В при токе –1.1 нA.
Вольт-амперная характеристика кроссбар-мемристорных структур Si / SiO2 / Ti / TiO2 / Ta показана на рис. 9.
Рис. 9. Вольт-амперные характеристики структуры Si/SiO2/Ti/TiO2/Ta.
Измерение параметров структуры Si / SiO2 / Ti / TiO2 / Ta проводилось в контактном режиме при подаче импульсов напряжения от –1 до 1 В. Напряжение записи Uset составило 0.8 В при токе 20 нA. Напряжение сброса Ures = –0.5 В при токе –17 нA.
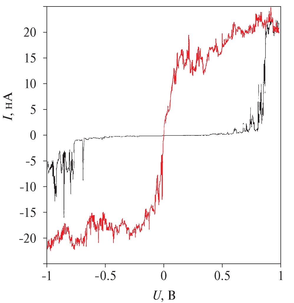
Вольт-амперная характеристика кроссбар-мемристорных структур Si / SiO2 / Ti / TiO2 / Ag представлена на рис. 10.
Рис. 10. Вольт-амперные характеристики структуры Si/SiO2/Ti/TiO2/Ag.
Измерение параметров структуры Si / SiO2 / Ti / TiO2 / Ag проводилось в контактном режиме при подаче импульсов напряжения от –0.5 до 0.5 В. Напряжение записи Uset составило 0,43 В при токе 5.1 нA. Напряжение сброса Ures = –0.3 при токе –18 нA.
Одним из показателей оптимальной работы мемристора является отношение высокоомного сопротивление (HRS) к низкоомному (LRS), которое рассчитано нами для каждой из сформированных и полученных структур.
Высокоомное сопротивление определено по формуле
,
где Ures — напряжение сброса; Ires — ток сброса.
Низкоомное сопротивление вычислено по следующей формуле:
,
где Uset — напряжение записи; Iset — ток записи.
Расчетные значения RHRS / RLRS приведены в табл. 1.
Таблица 1. Расчетные значения RHRS / RLRS
Структура | RHRS | RLRS | RHRS / RLRS |
Si / SiO2 / Ti / TiO2 / Al | 1.200 | 0.20 | 6.0 |
Si / SiO2 / Ti / TiO2 / Ni | 0.020 | 0.05 | 0.4 |
Si / SiO2 / Ti / TiO2 / Cr | 0.210 | 0.27 | 0.7 |
Si / SiO2 / Ti / TiO2 / Mo | 2.700 | 0.18 | 15.0 |
Si / SiO2 / Ti / TiO2 / Ta | 0.020 | 0.04 | 0.5 |
Si / SiO2 / Ti / TiO2 / Ag | 0.016 | 0.08 | 0.2 |
ЗАКЛЮЧЕНИЕ
Таким образом, в ходе исследования мемристорного эффекта в кроссбар-архитектуре структур для нейроморфных систем искусственного интеллекта с различными материалами верхнего контакта было выявлено, что все полученные структуры обладали мемристорным эффектом. Наибольшее значение отношений высокоомного сопротивления (HRS) к низкоомному (LRS) — 15 — показала структура Si / SiO2 / Ti / TiO2 / Mo, а наименьшее значение — 0.2 — структура Si / SiO2 / Ti / TiO2 / Ag. Полученные данные указывают на то, что в результате проведенных экспериментальных исследований выявлено оптимальное сочетание материалов для формирования кроссбар-мемристорных структур, которые в дальнейшем смогут быть использованы в устройствах нейроморфных систем искусственного интеллекта на основе структуры Si / SiO2 / Ti / TiO2 / Mo.
ФИНАНСИРОВАНИЕ
Данная работа выполнена в рамках проекта “Разработка и исследование методов и средств мониторинга, диагностики и прогнозирования состояния инженерных объектов на основе искусственного интеллекта” (задание № FENW-2020-0022). Магнетронное распыление проводилось за счет гранта российского научного фонда № 23-29-00827, https://rfcf.ru/project/23-29-00827/ в Южном федеральном университете.
КОНФЛИКТ ИНТЕРЕСОВ
Авторы заявляют, что у них нет конфликта интересов.
About the authors
V. V. Polyakova
Southern Federal University
Author for correspondence.
Email: vpolyakova@sfedu.ru
Russian Federation, Taganrog
A. V. Saenko
Southern Federal University
Email: vpolyakova@sfedu.ru
Russian Federation, Taganrog
I. N. Kots
Southern Federal University
Email: vpolyakova@sfedu.ru
Russian Federation, Taganrog
A. V. Kovalev
Southern Federal University
Email: vpolyakova@sfedu.ru
Russian Federation, Taganrog
References
- Proydakov E.M. Современное состояние исследований в области искусственного интеллекта // Digital economy. 2018. T. 3. No. 3. P. 50.
- Gafarov F.M. Artificial neural networks and applications. Kazan: Kazan, 2018.
- Zidan M.A., Strachan J.P., Lu W.D. The future of electronics based on memristive systems // Nat. Electron. 2018. V. 1. P. 22.
- Kozhukhov A.S., Scheglov D.V., Fedina L.I., Latyshev A.V. The initial stages of atomic force microscope based local anodic oxidation of silicon AIP Advances 8, 025113 (2018). https://doi.org/10.1063/1.5007914
- Colangelo F., Piazza V., Coletti С., Roddaro S., Beltram F., Pingue P. Local anodic oxidation on hydrogen-intercalated graphene layers: oxide composition analysis and role of the silicon carbide substrate. 2 May 2018. https://doi.org/10.1088/1361-6528/aa59c7.
- Polyakova V.V., Saenko A.V. Local Anodic Oxidation for Crossbar-Array Architecture Technical Physics. 2022. V. 92. No. 8. Р. 1159–1165.
- Rozanov R.Yu., Kondrashov V.A., Nevolin V.K., Chaplygin Yu. A. Development and research of memristors based on metal films of nanoscale thickness // Nanoengineering. 2014. No. 2. Р. 22–28.
- Choi B.J., Torrezan A.C., Norris K.J., Miao F. Electrical Performance and Scalability of Pt Dispersed SiO2 Nanometallic Resistance Switch // Nano Lett. 2013. № 13 (7). Р. 3213–3217.
Supplementary files












