Analysis of Nonlinear Distortions of Dphemt Structures Based on a GaAs/InGaAs Compound with Double-Sided Delta-Doping
- Authors: Golikov O.L.1, Kodochigov N.E.1, Obolensky S.V.1, Puzanov A.S.1, Tarasova E.A.1, Khazanova S.V.1
-
Affiliations:
- Lobachevsky Nizhny Novgorod State University
- Issue: Vol 53, No 1 (2024)
- Pages: 3-7
- Section: ДИАГНОСТИКА
- URL: https://bakhtiniada.ru/0544-1269/article/view/259575
- DOI: https://doi.org/10.31857/S0544126924010017
- ID: 259575
Cite item
Full Text
Abstract
The paper presents the results of studies of C–V characteristics of GaAs/In0.53Ga0.47As HEMT before and after neutron irradiation with a fluence of (6.3 ± 1.3) × 1014 cm–2. Based on the experimentally obtained characteristics, the effective electron distribution profiles of the structure were calculated before and after radiation impact. The effect of radiation defects on the δ-layers of the structure was analyzed.
Full Text
ВВЕДЕНИЕ
Известно, что при нейтронном воздействии в полупроводниковых материалах и приборах на их основе возникают различные дефекты кристаллической структуры и их комплексы [1]. Размеры дефектов могут достигать несколько десятков нанометров, что становится сравнимо с активными областями современных диодов и транзисторов, и поэтому они могут влиять на протекание тока в структуре. В связи с этим необходимым становится детальный анализ параметров полупроводниковых HEMT-структур как до [2], так и после нейтронного воздействия.
Для определения профилей распределения электронов в полупроводниковых структурах обычно применяют метод вольт-фарадного профилирования [3–5]. Однако стандартный метод, основанный на дифференцировании экспериментально полученных вольт-фарадных характеристик (ВФХ) для гетероструктур с размерами слоев порядка 10 нм, не позволяет определять положение δ-слоя и квантовой ямы с достаточной точностью [6–9]. Последнее, в свою очередь, затрудняет анализ радиационных эффектов в наноразмерных гетероструктурах. В связи с этим требуется разработка дополнительных численных методов, позволяющих проводить анализ деградации параметров структур после радиационного воздействия.
ОБЪЕКТ ИССЛЕДОВАНИЯ
В работе исследовался DpHEMT на основе соединения GaAs/In0.53Ga0.47As с двумя δ-слоями со слоевой концентрацией примеси 2.4 × 1012 и 0.7 × 1012 см–2, изготовленный в МИЭТ, г. Зеленоград. Состав слоев приведен в табл. 1.
Таблица 1. Состав исследуемой структуры GaAs/In0.53Ga0.47As DpHEMT структуры
Состав структуры | H, нм | Nd, м–3 |
Слой, легированный кремнием Al0.23Ga0.77As | 13.0 | 5 × 1022 |
Спейсерный слой GaAs | 0.4 | |
δ-слой GaAs | 3.0 | 1.2 × 1025 |
Спейсерный слой GaAs | 0.4 | |
Спейсерный слой Al0.23Ga0.77As | 2.0 | |
Спейсерный слой GaAs | 15.0 | |
Канальный слой In0.53Ga0.47As | 12.0 | |
Спейсерный слой GaAs | 3.0 | |
Спейсерный слой Al0.23Ga0.77As | 2.0 | |
Спейсерный слой GaAs | 0.4 | |
δ-слой GaAs | 3.0 | 0.7 × 1025 |
Спейсерный слой GaAs | 0.4 | |
Спейсерный слой Al0.23Ga0.77As | 100.0 | |
Буферная гетероструктура GaAs | 440.0 | |
Подложка | 1000.0 |
ЭКСПЕРИМЕНТ
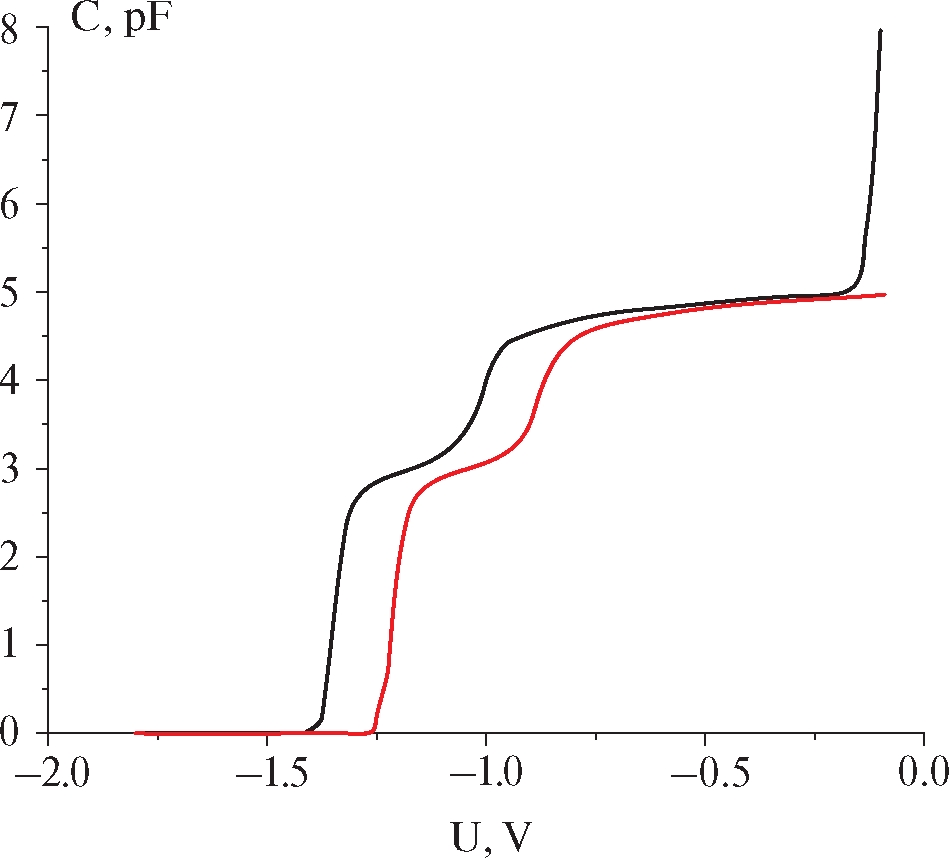
В работе проводились измерения сток-затворных и исток-затворных ВФХ исследуемого HEMT по методике, описанной в работе [10]. Измерения проводились как до, так и после облучения быстрыми нейтронами спектра деления со следующими характеристиками излучения: колоколообразный спектр, изотропность, средняя энергия — 1.26 МэВ, флюенс воздействия — (6.3 ± 1.3) × 1014 у. е. Проводились измерения шести различных образцов. Характерное поведение ВФХ до и после облучения показано на рис. 1.
Рис. 1. Сток-затворные ВФХ исследуемой структуры GaAs/In0.53Ga0.47As:
— до облучения;
— после нейтронного облучения;
○ экспериментальные данные;
○ численный расчет.
МЕТОДИКА РАСЧЕТОВ ПАРАМЕТРОВ ИССЛЕДУЕМОЙ СТРУКТУРЫ
На втором этапе работы проводилось моделирование энергетического спектра и ВФХ исследуемой структуры. Результаты расчетов ВФХ сравнивались с экспериментально полученными данными. Схема расчета основана на численном решении стационарного одноэлектронного уравнения Шрёдингера, согласованного с уравнением Пуассона:
, (1)
где — плавная огибающая волновой функции; V (z) — потенциальная энергия, определяемая разрывом зон и распределением электростатического потенциала, V (z) = ΔEC (z)− qΦ (z);
, (2)
где n, — концентрации электронов и ионизованных примесей соответственно.
Выражение для концентрации носителей n(z) = n3D(z) + n2D(z) определяется размерностью квантования:
, (3)
, (4)
где NC — эффективная плотность состояний в зоне проводимости; F1/2 — интеграл Ферми—Дирака порядка 1/2; EC — энергия дна зоны проводимости; EF — энергия уровня Ферми; Ei — энергия уровня квантования; k — постоянная Больцмана; T — температура.
Концентрация ионизованных примесей определяется выражением
, (5)
где gd — фактор вырождения донорного уровня; Ed — энергия донорного уровня.
Применяемая численная схема решения позволяет находить профили потенциала, уровни размерного квантования и концентрацию электронов в квантовой яме, используя как однородную, так и неоднородную координатную сетку. При этом можно плавно менять приложенное к затвору транзистора напряжение, концентрацию легирующей примеси и ряд других технологических параметров.
Методика расчета ВФХ и профилей наблюдаемой (эффективной) концентрации состоит в получении вольт-кулоновской характеристики Q(Vi). После численного дифференцирования данной зависимости Q (Vi), по данным первой и второй производных в соответствии с работой [4], рассчитываются ВФХ и профиль наблюдаемой концентрации:
. (6)
РЕЗУЛЬТАТЫ РАСЧЕТОВ И ИХ ОБСУЖДЕНИЕ
Вольт-фарадные характеристики рассчитывались для двух температур — 77 и 300 К как до, так и после нейтронного облучения. Результаты моделирования ВФХ для комнатной температуры приведены на рис. 1, для температуры 77 К — на рис. 2. С ростом напряжения обратного смещения происходит последовательное опустошение квантовой ямы от электронов. Так как изменение ширины области пространственного заряда барьера Шоттки блокируется ближайшей квантовой ямой, на ВФХ появляется ступенька, где емкость структуры не зависит от напряжения. Величину квазипостоянной емкости определяет изменение двумерного заряда в квантовой яме в соответствии с выражением (4). Следовательно, ВФХ, а вместе с ней и эффективная концентрация электронов, крайне чувствительна к температуре, так как определяется тепловым уширением края фермиевского распределения. При низких температурах происходит обеднение квантовой ямы, что приводит к появлению более резкой “полочки” на вольт-фарадной характеристике структуры [11].
Рис. 2. Результаты моделирования сток-затворных ВФХ исследуемой структуры GaAs/In0.53Ga0.47As для температуры 77 К: 1 — до облучения; 2 — после нейтронного облучения.
— до облучения
— после нейтронного облучения
Далее рассчитывались зонные диаграммы структуры и эффективный профиль распределения электронов до и после нейтронного воздействия. Результаты расчетов приведены на рис. 3 и 4 соответственно.
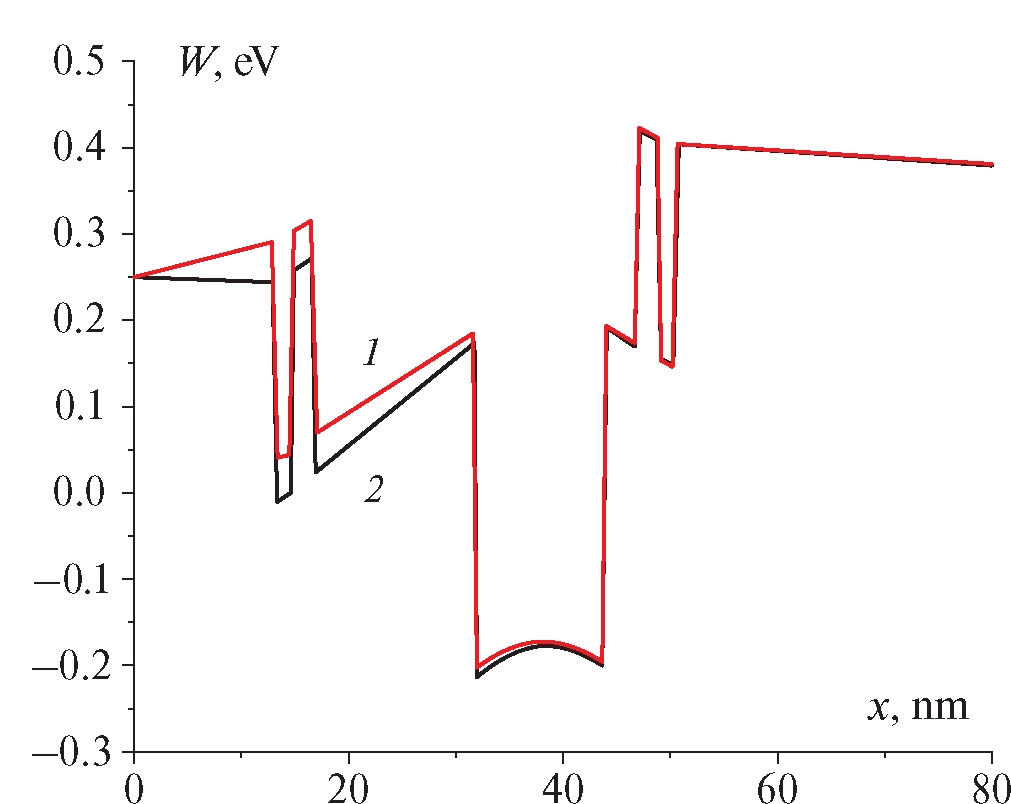
Рис. 3. Результаты моделирования зонной диаграммы исследуемой структуры GaAs/In0.53Ga0.47As: 1 — до облучения; 2 — после нейтронного облучения.
— до облучения
— после нейтронного облучения
Рис. 4. Эффективный профиль концентрации исследуемой структуры GaAs/In0.53Ga0.47As: 1 — до облучения; 2 — после нейтронного облучения.
— до облучения
— после нейтронного облучения
На графике зависимости эффективной концентрации от координаты наблюдаются характерные максимумы, соответствующие основному и подлегирующему δ-слоям. Видно, что после облучения один из подлегирующих слоев частично “размывается”.
Для оценки влияния нейтронного облучения на характеристики δ-слоя была привлечена модель, изложенная в работе [12]. Вероятность обнаружения m кластеров радиационных дефектов Pm в δ-слое толщиной l подчиняется распределению Пуассона [13]:
, (7)
где Fn — флюенс нейтронов; S — площадь исследуемой структуры; N — концентрация атомов вещества; σ — усредненное по спектру нейтронов сечение взаимодействия.
Расчетная оценка показывает, что для флюенса нейтронов, реализованного в эксперименте, в среднем один кластер радиационных дефектов возникает на площади 1–2 мкм2 δ-слоя, в то время как эффективная проекция площади кластера радиационных дефектов составляет порядка 10–4 мкм2. Это позволяет применять одномерное приближение при расчетах, так как на макромасштабе электрическое поле однородно. Так как в области кластера радиационных дефектов кристаллическая структура полупроводника локально повреждается, в запрещенной зоне образуются глубокие уровни, которые заполняются основными носителями заряда. Это приводит к снижению концентрации электронов в δ-слое в области кластера радиационных дефектов и его “размыванию”, изменению концентрации носителей заряда в квантовой яме и к уменьшению тока, протекающего в исследуемом HEMT. Подобный эффект “размытия” был описан в [14].
ЗАКЛЮЧЕНИЕ
В работе проведены исследования GaAs/In0.53Ga0.47As DpHEMT структуры до и после нейтронного облучения. С помощью решения самосогласованного уравнения Шредингера и Пуассона рассчитаны зонные диаграммы структуры и ВФХ на основании экспериментально полученных данных. Моделирование ВФХ позволило интерпретировать изменения в квантоворазмерных слоях исследуемой структуры под действием ионизирующего излучения. Показано, что поведение эффективного профиля концентрации значительно зависит от уровня легирования и положения δ-слоев в структуре.
ФИНАНСИРОВАНИЕ
Работа профинансирована Министерством науки и высшего образования РФ в рамках государственного задания Нижегородского государственного университета им. Н.И. Лобачевского (FSWR-2021–011).
КОНФЛИКТ ИНТЕРЕСОВ
Авторы заявляют, что у них нет конфликта интересов.
About the authors
O. L. Golikov
Lobachevsky Nizhny Novgorod State University
Email: tarasova@rf.unn.ru
Russian Federation, Nizhny Novgorod
N. E. Kodochigov
Lobachevsky Nizhny Novgorod State University
Email: tarasova@rf.unn.ru
Russian Federation, Nizhny Novgorod
S. V. Obolensky
Lobachevsky Nizhny Novgorod State University
Email: tarasova@rf.unn.ru
Russian Federation, Nizhny Novgorod
A. S. Puzanov
Lobachevsky Nizhny Novgorod State University
Email: tarasova@rf.unn.ru
Russian Federation, Nizhny Novgorod
E. A. Tarasova
Lobachevsky Nizhny Novgorod State University
Author for correspondence.
Email: tarasova@rf.unn.ru
Russian Federation, Nizhny Novgorod
S. V. Khazanova
Lobachevsky Nizhny Novgorod State University
Email: tarasova@rf.unn.ru
Russian Federation, Nizhny Novgorod
References
- Agakhanyan T.M., Astvatsaturyan E.R., Skorobogatov P.K. Radiation effects in integrated circuits. M.: Energoatomizdat, 1989. 256 р.
- Tarasova E.A., Obolensky S.V., Khazanova S.V., Grigorieva N.N., Golikov O.L., Ivanov A.B., Puzanov A.S. Compensation for the nonlinearity of the drain-gate current-voltage characteristic in field-effect transistors with a gate length of ~100 nm // Semiconductors. V. 54. No. 9. P. 968–973.
- Petrovskaya A.N., Zubkov V.I. Capacitance-voltage measurements of heterostructures with InGaAs/GaAs quantum wells in the temperature range from 10 to 320 K // Semiconductors. 2009. V. 43. No. 10. P. 1368–1373.
- Frolov D.S., Yakovlev G.E., Zubkov V.I. Technique for electrochemical capacitance-voltage profiling of heavily doped structures with a sharp impurity distribution profile // Semiconductors. 2019. V. 53. No. 2. P. 281–286.
- Enisherlova K.L., Kolkovsky Yu.V., Bobrov E.A., Temper E.M., Kapilin S.A. Effect of defects with deep levels on the C–V characteristics of high-power AlGaN/GaN/SiC HEMT // Microelectronics. 2019. V. 48. No. 1. P. 47–55.
- Khazanova S.V., Degtyarev V.E., Tikhov S.V., Baidus N. V. Modeling of the effective concentration profile in InGaAs/GaAs heterostructures with delta-doped layers // Semiconductors. 2015. V. 49. No. 1. P. 53–57.
- Yakovlev G.E., Dorokhin M.V., Zubkov V.I., Dudin A.L. and others. Features of electrochemical capacitance-voltage profiling of gallium arsenide light-emitting and pHEMT structures with quantum-sized regions // Semiconductors. 2018. V. 52. No. 8. P. 873–880.
- Soltanovich O.A., Yakimov E.B. Analysis of temperature dependences of capacitance-voltage characteristics of light-emitting InGaN/GaN structures with multiple quantum wells // Semiconductors. 2012. V. 46. No. 12. P. 1597–1603.
- Lei W., Offer M., Lorke A. et al. Probing the band structure of InAs/GaAs quantum dots by capacitance-voltage and photoluminescence spectroscopy // APPLIED PHYSICS LETTERS. 2008. V. 92. P. 193111-1–193111-3.
- Tarasova E.A., Obolenskaya E.S., Khananova A.V., Obolensky S.V. et al. Theoretical and experimental studies of current-voltage and capacitance-voltage characteristics of HEMT structures and field-effect transistors // Semiconductors. 2016. V. 50. No. 12. P. 1599–1604.
- Brounkov P.N., Benyattou T., Guillotb G. Simulation of the capacitance-voltage characteristics of a single-quantum-well structure based on the self-consistent solution of the Schrödinger and Poisson equations // J. Appl. Phys. 80 (2), 15 July 1996.
- Obolensky S.V., Volkova E.V., Loginov A.B. and others. Comprehensive study of clusters of radiation defects in GaAs structures after neutron exposure // Technical Physics Letters. 2021. V. 47. No. 5. P. 38–41.
- Ventzel E.S. Probability theory. M.: Nauka, 1969. 576 p.
- Krivulin D.O., Pashenkin I.Yu., Gorev R.V., Yunin P.A., Sapozhnikov M.V., Grunin A.V., Zakharova S.A., Leontyev V.N. Influence of radiation on the magnetic properties of ferromagnetic/IrMn films with exchange shift // Physics and technology of semiconductors. 2023. V. 93. No. 7. P. 907–912.
Supplementary files






