Peculiarities of the ketogroup reduction in the synthesis of mono- and dialkyl-substituted derivatives of benzo[b]benzo[4,5]-thieno[2,3-d]thiophene
- Autores: Gudkova I.O.1, Sorokina E.A.1, Zaborin Е.А.1, Polinskaya M.S.1, Borshchev О.V.1, Ponomarenko S.А.1,2
-
Afiliações:
- Enikolopov Institute of Synthetic Polymeric Materials Russian Academy of Sciences
- Lomonosov Moscow State University
- Edição: Volume 60, Nº 7 (2024)
- Páginas: 825-837
- Seção: Articles
- URL: https://bakhtiniada.ru/0514-7492/article/view/279459
- DOI: https://doi.org/10.31857/S0514749224070021
- EDN: https://elibrary.ru/RCEOZL
- ID: 279459
Citar
Texto integral
Resumo
Mono- and dioctyl-substituted benzo[b]benzo[4,5]-thieno[2,3-d]thiophene derivatives, C8-BTBT and C8-BTBT-C8, have been synthesized, widely used as organic semiconductors for the manufacture of various organic electronics devices. The preparation of target molecules was carried out in 2 stages: acylation of BTBT according to Friedel—Crafts and subsequent reduction of the ketogroup. Since the rate-limiting step in the preparation of such compounds is reduction, various approaches to the reduction of acyl-substituted BTBT derivatives have been investigated and possible mechanisms for these reactions have been proposed. It has been shown that the most effective reduction occurs using hydrazine hydrate.
Texto integral
ВВЕДЕНИЕ
В настоящее время органические полупроводники являются одними из наиболее перспективных материалов для применения в различных устройствах микроэлектроники. Такая востребованность объясняется наличием большого разнообразия органических соединений, способных проявлять полупроводниковые свойства и при этом обладающих возможностью тонкой настройки оптоэлектронных характеристик [1, 2]. Такие соединения используются в качестве активных слоев в различных оптоэлектронных устройствах, таких как органические светоизлучающие диоды [3], органические фотовольтаические элементы [4], органические полевые транзисторы (OПТ) [5] и различные сенсоры на их основе [6, 7]. С этой целью значительные усилия были сосредоточены на разработке новых органических полупроводников, обладающих высокой проводимостью и устойчивостью на воздухе [8, 9]. Основными достоинствами органических полупроводников являются их гибкость, низкая стоимость, растворимость, способность к кристаллизации из растворов и возможность получения тонких пленок c высокой кристалличностью с помощью простых производственных процессов [10]. Кроме того, органические полупроводниковые материалы отличаются простой и относительно дешевой технологией изготовления органических электронных устройств, например, с использованием печатных и других растворных методов. Эффективные ОПТ могут быть изготовлены на основе монослоя органического полупроводника, способного к самосборке из раствора, или нанесением Ленгмюровскими методами [11—13].
В качестве полупроводников в органической электронике все чаще используются производные бензо[b]бензо[4, 5]тиено[2,3-d]тиофена (BTBT), что обусловлено их хорошей растворимостью в обычных органических растворителях, высокой кристалличностью и относительно простыми методами получения [14]. Производные BTBT представляют собой класс низкомолекулярных органических полупроводников, обладающих рядом преимуществ, по сравнению с полимерными соединениями, таких как простота модификации функциональных групп и возможность получения соединений с высокой степенью чистоты [15]. Более того, подобные материалы демонстрируют высокую подвижность носителей заряда, высокую термическую стабильность, а также устойчивость к окислению [16]. Представлены широкие возможности применения производных ВТВТ, например, в монослойных ОПТ [17], мемристорах [18, 19] и хемосенсорах [20, 21].
Наличие в молекуле BTBT обширной сопряженной системы из 4 аннелированных ароматических колец, а также присутствие атомов серы способствует пространственному распределению высшей занятой молекулярной орбитали (ВЗМО) и, следовательно, приводит к эффективному транспорту носителей заряда [22, 23]. Производные BTBT с алкильными заместителями (C5H12–C12H25) изучены в качестве активных слоев для ОПТ. Полученные небольшие молекулы, обладающие протяженным ароматическим ядром с длинными алифатическими цепями, являются перспективными кандидатами для исследования в качестве органических полупроводников [24].
Одним из наиболее часто применяемых производных ВТВТ в органической электронике является дизамещенный 2,7-диоктибензо[b]бензо[4, 5]тиено[2,3-d]тиофен (C8-BTBT-C8) [25–27]. Описаны варианты синтеза подобных соединений, основанные на последовательных реакциях ацилирования по Фриделю—Крафтсу и дальнейшем восстановлении кетогруппы [28, 29]. Однако синтез таких соединений ограничен невысокими выходами в реакции восстановления, и поэтому поиск эффективной стратегии получения алкилзамещенных производных BTBT является актуальной исследовательской задачей. В данной работе исследованы подходы к синтезу моно- и диоктилзамещенных производных BTBT.
РЕЗУЛЬТАТЫ И ОБСУЖДЕНИЕ
Лимитирующей стадией получения целевых 2-октилбензо[b]бензо[4, 5]тиено[2,3-d]тиофена (C8-BTBT) и 2,7-диоктибензо[b]бензо[4, 5]тиено[2,3-d]тиофена (C8-BTBT-C8) является восстановление кетогруппы до алканов, при котором образуется большое число побочных продуктов.
На первой стадии синтеза обеих молекул были проведены реакции получения соответствующих моно- и дикетонов методом ацилирования по Фриделю—Крафтсу хлорангидридом октановой кислоты (схема 1).
Схема 1. Моно- и диацилирование BTBT по Фриделю—Крафтсу
Метод диацилирования дает возможность одновременного введения ацильных фрагментов в положения 2 и 7 молекулы ВТВТ, однако побочными продуктами при проведении реакции являются монопроизводное 3 и продукт дизамещения в ядро ВТВТ по положениям 3 и 8 [30], что подтверждается наличием в реакционной смеси, по данным 1Н ЯМР спектроскопии, 7% дизамещенного изомера – 1,1'-(бензо[b]бензо[4, 5]тиено[2,3-d]тиофен-3,8-диил)бис(октан-1-она). Согласно данным гель—проникающей хроматографии (ГПХ), увеличение выхода целевого продукта 2 достигается при длительном перемешивании реакционной смеси (24 ч) при комнатной температуре. Однако, согласно литературным данным [30], для снижения количества побочного продукта дизамещения в положениях 3 и 8 ядра ВТВТ необходимо проводить реакцию при низкой температуре (—70˚С). Соединение 2 очищали методом колоночной хроматографии на силикагеле с использованием горячего толуола в качестве элюента и подогреваемой колонки. В результате были получены исходный ВТВТ 1 (7%), монозамещенный 1-(бензо[b]бензо[4, 5]тиено[2,3-d]тиофен-2-ил)пропан-1-он (3) (19%) и целевой 1,1'-(бензо[b]бензо[4, 5]тиено[2,3-d]тиофен-2,7-диил)бис(пропан-1-он) (2) с конечным выходом 67%.
Получение соединения 3 проводили также по методу Фриделя—Крафтса при пониженной температуре (–70°C). В таких условиях преимущественно образуется монозамещенный C8-BTBT. Очистку соединения 3 проводили методом перекристаллизации из толуола, в результате был получен 1-(бензо[b]бензо[4, 5]тиено[2,3-d]тиофен-2-ил)пропан-1-он (3) с выходом 82%. Важно отметить, что при проведении реакции при пониженной температуре не образуются побочные продукты замещения в других положениях ароматических колец (рис. 1) [30]. Кроме того, реакция моноацилирования открывает широкие возможности для получения несимметричных производных BTBT модификацией положения 7 ароматической системы [31].
Рис. 1. Кривые ГПХ соединений 2 (а) и 3 (b). На хроматограмме (b) самый левый пик соответствует побочному продукту замещения по положениям 3 и 8 ядра BTBT. По оси абсцисс – время, мин; по оси ординат – оптическая плотность вещества, mAU
Полученные кетоны 2 и 3 были охарактеризованы методами 1H и 13C ЯМР спектроскопии и данными элементного анализа. В 1H ЯМР спектрах полученных кетонов в области сильного поля в районе 3.05 м.д. наблюдаются сигналы CH2-групп при карбонильной группе и 2 мультиплета в области 1.72—1.84 м.д. и 1.26—1.36 м.д., соответствующие водородам алкильной цепи.
На второй стадии синтеза C8-BTBT и C8-BTBT-С8 осуществляли реакцию восстановления кетогруппы. Согласно литературным данным, восстановление производных BTBT можно проводить с использованием боргидрида натрия (NaBH4) в присутствии AlCl3 [17, 32], алюмогидрида лития (LiAlH4) [33] или гидрата гидразина [34]. На практике во всех 3 реакциях происходит образование ряда промежуточных и побочных продуктов, а в некоторых случаях и вовсе не удавалось выделить целевой C8-BTBT-С8 (схема 2).
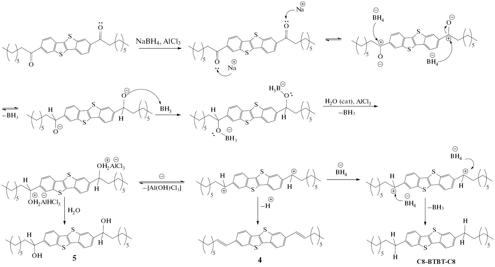
Схема 2. Синтез целевого соединения C8-BTBT-С8 (а) и побочные продукты 4, 5, выделенные из реакционной массы после синтеза (б).
Восстановление кетогруппы с использованием NaBH4 в присутствии AlCl3 проводили в свежеперегнанном ТГФ в атмосфере аргона. Реакционную смесь перемешивали при кипячении в течение 18–26 ч, контроль за ходом реакции осуществляли методами ТСХ и ГПХ с диодным матричным детектором, который позволяет различать вещества в смеси как по гидродинамическому радиусу, так и по максимуму поглощения сопряженного фрагмента молекулы. При проведении реакции наблюдалось постадийное восстановление – от образования промежуточного первичного спирта до полностью восстановленного алкана. Как промежуточный, так и конечный продукты хорошо разделяются на пластине ТСХ (элюент – толуол), где значение Rf спирта (Rf = 0.2) гораздо меньше, чем кетона (Rf = 0.44) и конечного продукта (Rf = 0.87) [17]. В качестве побочного продукта образуются более высокомолекулярные примеси, при этом не выявлена явная причина их образования. Попытки оптимизации процесса при изменении параметров проведения реакции – времени кипячения, избытка/недостатка реагентов, времени хранения реактивов и т.д. – не дали положительных результатов. Однако использование тщательно осушенного ТГФ (содержание воды 18 ppm) позволило снизить содержание высокомолекулярных примесей до 15% согласно данным ГПХ анализа. При длительном кипячении реакционной смеси с NaBH4 и AlCl3 образуется смесь целевого C8-BTBT-С8 и побочного 2,7-ди(окт-1-ен-1-ил)бензо[b]бензо[4, 5]тиено [2,3-d]тиофен (4) в соотношении 1 : 1 (схема 2), что предположительно может быть объяснено следующим механизмом реакции (схема 3).
Схема 3. Предполагаемый механизм реакции восстановления соединения 2 в смеси NaBH4 и AlCl3.
На первом этапе происходит атака кислорода солюбилизированным ионом натрия с разрывом двойной связи и образованием положительного заряда на карбонильном углероде. Затем происходит нуклеофильное присоединение гидрид—аниона от к электрофильному центру с последующим образованием органоборного производного [35] за счет образования связи кислород–бор. Наличие каталитического количества воды в реакции приводит к замещению связи O—B на связь О–Н, а AlCl3, являясь сильной кислотой Льюиса, образует комплекс с кислородом с последующим отщеплением иона состава [Al(OH)Cl3]—, что приводит к образованию карбокатиона, который в условиях недостатка боргидрид-аниона, способен самопроизвольно выбросить протон с образованием побочного диалкена 4. Такой процесс протекает очень быстро и является типичным примером реакции мономолекулярного элиминирования. С другой стороны, полученный карбокатион способен присоединить еще один гидрид—анион с образованием целевого соединения C8-BTBT-C8 [32, 35].
В спектре 1Н ЯМР данной смеси характерными сигналами являются дуплет при 6.46 м.д. и мультиплет при 6.30—6.41 м.д., что соответствует водородам при 2 двойных связях (рис. 2, а). Также подтверждением наличия двойной связи в структуре молекулы является пик поглощения с длиной волны 350 нм (рис. 2, b).
Рис. 2. Фрагмент спектра 1Н ЯМР смеси C8-BTBT-С8 и промежуточного продукта 4 с характерными сигналами (а); фрагмент спектра поглощения побочного соединения 4 с двойной связью (слева) и спектр поглощения целевого С8-BTBT-C8 (справа) (b). По оси абсцисс – длина волны, нм; по оси ординат – интенсивность поглощения, отн. ед.
Поскольку в результате реакции образовалась смесь целевого C8-BTBT-C8 и побочного соединения 4 в примерном соотношении 1 : 1, то для увеличения выхода была проведена реакция гидрирования соединения 4. В качестве восстановителя использовали водород на палладиевом катализаторе, при пропускании водорода через раствор исходного 2,7-ди(окт-1-ен-1-ил)бензо[b]бензо[4, 5]тиено [2,3-d]тиофена в смеси ТГФ–метанол (5 : 1) при комнатной температуре в течение 30 ч удалось получить целевой C8-BTBT-С8 с выходом 80% (схема 4).
Схема 4. Восстановление двойной связи в соединении 4
Второй способ – восстановление с использованием смеси LiAlH4 и AlCl3 в диэтиловом эфире – не дал положительных результатов. При использовании смеси мелкодисперсного LiAlH4 и AlCl3 в максимально сухом эфире (содержание воды ~18 ppm) восстановление проходило до образования побочного продукта 1,1'-(бензо[b]бензо[4, 5]тиено[2,3-d]тиофен-2,7-диил)бис(октан-1-ола) (5), что подтверждается данными 1Н ЯМР— спектроскопии (рис. 3). Следует обратить внимание, что после выделения 1,1'-(бензо[b]бензо[4, 5]тиено[2,3-d]тиофен-2,7-диил)бис(октан-1-ола) (5) и последующего восстановления в тех же условиях образовывался целевой C8-BTBT-С8, однако оптимизация условий с увеличением количества LiAlH4 и AlCl3, вводимых на первой стадии, не изменило основного продукта реакции, а получить целевой C8-BTBT-С8 не удалось.
Рис. 3. Фрагмент спектра 1Н ЯМР спирта 5 – 1,1'-(бензо[b]бензо[4, 5]тиено[2,3-d]тиофен-2,7-диил)бис(октан-1-ола
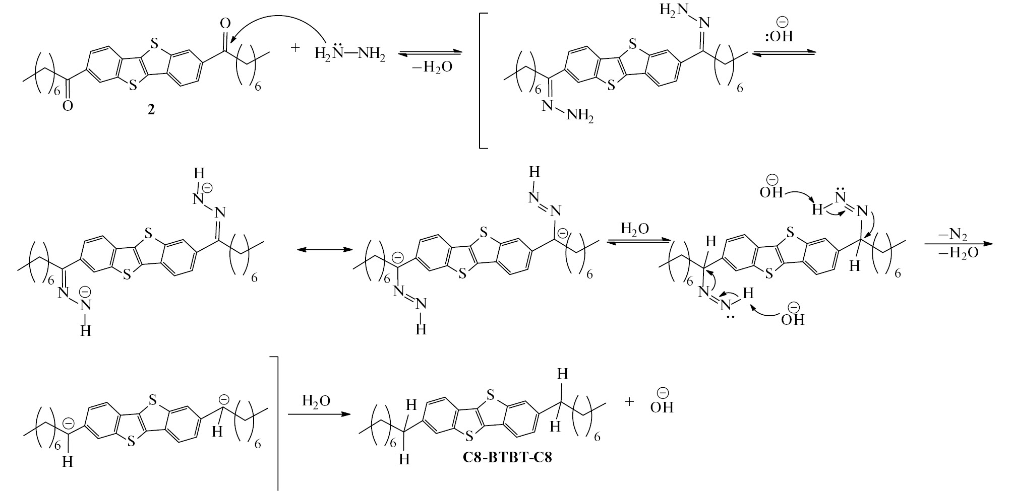
Третий способ – восстановление с использованием N2H4 × H2O – оказался наиболее эффективным. Реакцию восстановления проводили при десятикратном избытке N2H4 × H2O к смеси исходного соединения 2 и щелочи в этиленгликоле, после чего реакционную смесь перемешивали при кипении в течение 4 ч. Контроль за полнотой прохождения реакции осуществляли с помощью ТСХ. В результате очистки методом флэш—хроматографии в толуоле был получен целевой C8-BTBT-С8 с выходом 89%. Предполагаемый механизм реакции показан на схеме 5.
Схема 5. Предполагаемый механизм реакции восстановления соединения 2 по методу Кижнера—Вольфа.
На первом этапе реакции происходит образование гидразона, а затем гидразон-аниона в результате депротонирования конечного азота с помощью основания, что приводит к созданию новой углерод—водородной связи на углеродном конце в делокализованном анионе гидразона. Такой захват протона происходит согласованным образом с вызванным растворителем выделением второго протона на азотном конце. Заключительной стадией восстановления является распад диимидного аниона в присутствии воды, потеря молекулы азота, что приводит к образованию карбаниона, который подвергается быстрой и необратимой кислотно—щелочной реакции под действием воды с образованием алкана [36]. Согласно литературным данным [34], при недостатке щелочи возможно образование побочных продуктов реакции (моно— и дигидразидов), но в таком случае целевое соединение легко очищается с помощью колоночной хроматографии.
Восстановление монозамещенного соединения 3 проводили с использованием системы LiAlH4/AlCl3. Для этого к суспензии алюмогидрида лития и AlCl3 в диэтиловом эфире прикапывали раствор исходного соединения 3 в дихлорметане. Смесь перемешивали под аргоном при комнатной температуре в течение 15 ч. Контроль за ходом реакции осуществляли методом ТСХ. Содержание воды в используемых растворителях составляло: в дихлорметане ~ 13 ppm, в диэтиловом эфире ~18 ppm. В результате был получен целевой C8-BTBT с выходом 82 % (схема 6).
Схема 6. Синтез соединения C8-BTBT
Предполагаемый механизм реакции восстановления [37—39] приведен на схеме 7. На первом этапе образуется активный хлоралюмогидрид (HAlCl2). Далее солюбилизированный ион лития атакует кислород с разрывом двойной связи и образованием положительного заряда на карбонильном углероде. После чего происходит нуклеофильное присоединение гидрид-аниона к электрофильному центру с последующим образованием комплекса с AlCl2+. На следующем этапе происходит отщепление частицы состава [AlOCl2]—, что приводит к образованию карбокатиона, который в условиях недостатка гидрид-аниона способен к самопроизвольному отщеплению протона с образованием побочного алкена (однако выделить такой продукт не удалось, что можно объяснить большим избытком HAlCl2 в реакции). На заключительной стадии происходит присоединение гидрид-аниона к карбокатиону с получением целевого C8-BTBT.
Схема 7. Предполагаемый механизм реакции восстановления соединения 3 в смеси LiAlH4, AlCl3
Такой метод был также опробован для восстановления дизамещенного соединения 2, однако осуществить восстановление в одну стадию не удалось. При использовании LiAlH4 реакция протекает до образования промежуточного спирта 5 и дальнейшее восстановление не идет, несмотря на избыток смеси LiAlH4/AlCl3.
Второй способ восстановления с использованием N2H4 × H2O оказался наиболее эффективным и для моноацилзамещенного BTBT. Прикапывали пятикратный избыток N2H4 × H2O к смеси исходного соединения 3 и щелочи в этиленгликоле. В результате очистки колоночной хроматографией на силикагеле в циклогексане был получен целевой C8-BTBT с выходом 84%.
Все полученные соединения охарактеризованы различными физико—химическими методами, включая 1H— и 13C— ЯМР спектроскопию и элементный анализ. В спектрах 1H ЯМР целевых соединений C8-BTBT и C8-BTBT-C8 наблюдается смещение триплета CH2—группы при бензольном кольце BTBT в область более сильного поля – 2.74 м.д. по сравнению с триплетом при карбонильной группе (3.05 м.д.), а также смещение ароматических протонов в более сильное поле на ~ 0.6 м.д.
ЭКСПЕРИМЕНТАЛЬНАЯ ЧАСТЬ
Спектры ЯМР 1H регистрировали на спектрометре «Bruker WP-250 SY» на частоте 250 МГц с использованием сигнала ДМСО—d6 (2.49 м.д.) и ацетон—d6 (2.04 м.д.) в качестве внутреннего стандарта. Спектры ЯМР 13C записаны на спектрометре «Bruker Avance II 300» на частоте 75 МГц. В случае спектроскопии ЯМР 1Н анализируемые соединения брали в виде 1%-ных растворов в CDCl3. В случае спектроскопии ЯМР 13C анализируемые соединения брали в виде 5%-ных растворов в CDCl3. Затем спектры обрабатывались на компьютере с использованием программного обеспечения «ACD Labs».
Анализ методом гель-проникающей хроматографии (ГПХ) соединений проводили на хроматографической системе: Shimadzu с рефрактометром RID10AVP, диодной матрицей SPD-M10AVP, колонкой длиной 300 мм и диаметром 7.8 мм (300 × 7.8 мм) (Phenomenex, США), заполненной сорбентом the Phenogel (Phenomenex, США), размер пор 500 Å, температура термостатирования —40˚C ± 0.1˚C, элюент – тетрагидрофуран (ТГФ).
В работе использовали коммерчески доступные реагенты: хлорид алюминия (Sigma-aldrich, 99%), алюмогидрид лития (Thermo Scientific, 98%), боргидрид натрия (Sigma-Aldrich, 98%), N2H4 × H2O (Реахим, 99%), KOH (ЭКОС-1, ЧДА), Pd/С (Acros Organics, 5% Pd), сульфат натрия безводный (АО «Ленреактив», ХЧ). В качестве растворителей использовали перегнанный толуол (АО «Вектон», ЧДА), дихлорметан (АО «Вектон», ЧДА), тетрагидрофуран («ЭКОС-1», ХЧ), циклогексан («ЭКОС-1», ЧДА), диэтиловый эфир (АО «Вектон», ЧДА), этиленгликоль («ЭКОС-1», ХЧ), метанол (АО «База № 1 Химреактивов», ХЧ), водород класс Б (АО «Линде Газ Рус», 99.99%).
1,1'-(Бензо[b]бензо[4, 5]тиено[2,3-d]тиофен-2,7-диил)бис(октан-1-он) (2). Трехгорлую колбу объемом 1000 мл, воздушный холодильник и кран для ввода/вывода аргона из холодильника предварительно сушили в сушильном шкафу при 150˚С и собирали горячими в токе аргона. Колбу, содержащую 5.02 г (20.9 ммоль) соединения 1, вакуумировали и аргонировали 3 раза. Затем добавляли в реакционную смесь 500 мл сухого дихлорметана, охлаждали до 5˚С и прибавляли 6.97 г (52.3 ммоль) AlCl3. Полученную реакционную смесь перемешивали при 5˚С в течение 1 ч. Затем реакционную смесь охлаждали до —78˚С и прикапывали 8.5 г (52.3 ммоль) октаноилхлорида. После окончания прикапывания реакционную смесь перемешивали в течение 1.5 ч при низкой температуре (—78˚С), после чего охлаждающую баню убирали и оставляли при перемешивании до достижения комнатной температуры. После 14 ч перемешивания при комнатной температуре смесь выливали в 400 мл ледяной воды и 300 мл дихлорметана, промывали дистиллированной водой (3 × 300 мл), объединенные органические фракции сушили над Na2SO4, после чего растворитель упаривали на ротационном испарителе при пониженном давлении. Продукт очищали методом колоночной хроматографии на силикагеле (элюент – горячий толуол, Rf = 0,44). Выход 6.90 г (67%). Спектр ЯМР 1H (CDCl3), δ, м.д.: 0.89—0.92 м (6Н), 1.25—1.44 м (16Н), 1.79—1.85 м (4Н), 3.05 т (4Н, J 7.4 Гц), 7.80—8.07 м (4H), 8.50 д (2H, J 0.9 Гц). Спектр ЯМР 13С (CDCl3), δ, м.д.: 199.25, 143.00, 136.31, 135.92, 134.72, 132.94, 124.94, 124.57, 38.89, 31.75, 29.44, 29.15, 24.65, 22.61, 13.95. Найдено, %: C 73.16; H 7.39; S 13.01. C30H36O2S2. Вычислено, %: C 73.13; H 7.36; S 13.02.
1-(Бензо[b]бензо[4, 5]тиено[2,3-d]тиофен-2-ил)октан-1-он (3). Трехгорлую колбу объемом 1000 мл, воздушный холодильник и кран для ввода/вывода аргона из холодильника предварительно сушили в сушильном шкафу при 150˚С и собирали в токе аргона. Готовили раствор 2.5 г (10.4 ммоль) соединения 1 в 300 мл сухого дихлорметана. После чего охлаждали реакционную смесь до —10˚С и прибавляли 1.67 г (12.5 ммоль) сухого AlCl3. Реакционную смесь перемешивали при —10˚С в течение 1 ч, после чего охлаждали до —70˚С. После охлаждения прикапывали 2.03 г (12.5 ммоль) октаноилхлорида. После окончания прикапывания реакционную массу перемешивали в течение 1 ч при низкой температуре (—70˚C). Контроль за ходом реакции осуществляли методами ТСХ и ГПХ. После окончания реакции в реакционную смесь прибавляли 10 мл дистиллированной воды. После этого реакционную смесь выливали в 200 мл ледяной воды и 100 мл дихлорметана. Полученную смесь промывали дистиллированной водой (3 × 300 мл), объединенные органические фракции сушили над Na2SO4, после чего растворитель упаривали на ротационном испарителе при пониженном давлении. Полученный продукт очищали методом перекристаллизации из толуола. Выход 3.13 г (82%). Спектр ЯМР 1H (CDCl3), δ, м.д.: 0.92—0.98 м (3Н), 1.40—1.45 м (8Н), 1.79—1.88 м (2Н), 3.07 т (2H, J 7.3 Гц), 7.43—7.53 м (2H), 7.91—7.97 м (3H), 8.04—8.08 м (1Н), 8.56 д (1H, J 1.5 Гц). Спектр ЯМР 13С (CDCl3), δ, м.д.: 199.58, 143.02, 137.30, 136.31, 135.86, 134.88, 134.76, 134.47, 132.90, 124.82, 124.15, 121.98, 121.49, 38.92, 31.81, 29.43, 29.10, 22.76, 14.11. Найдено, %: C 72.12; H 6.09; S 17.41. C22H22OS2. Вычислено, %: C 72.09; H 6.05; S 17.50.
2,7-Диоктилбензо[b]бензо[4, 5]тиено[2,3-d]тиофен (C8-BTBT-C8). I способ. Трехгорлую колбу объемом 100 мл, обратный холодильник и кран для ввода/вывода аргона из холодильника предварительно сушили в сушильном шкафу при 150˚С и собирали горячими в токе аргона. Добавляли в реакционную колбу 1.00 г (2.0 ммоль) соединения 2 и 20 мл сухого ТГФ. Затем осторожно прибавляли 0.384 г (10 ммоль) NaBH4 и 0.677 г (5.0 ммоль) AlCl3. Реакционную смесь перемешивали в течение 2 ч при комнатной температуре, затем нагревали до кипения и перемешивали еще в течение 26 ч. После завершения реакции добавляли 10 мл воды. Затем реакционную смесь выливали в 300 мл ледяной воды и 300 мл диэтилового эфира, после чего промывали дистиллированной водой (3 × 200 мл), объединенные органические фракции сушили над Na2SO4, растворитель упаривали на ротационном испарителе при пониженном давлении. Продукт очищали методом колоночной хроматографии на силикагеле (элюент — толуол, Rf = 0.87). Выход 0.726 г (77%).
II способ. Трехгорлую колбу объемом 500 мл и обратный холодильник предварительно сушили в сушильном шкафу при 150˚С и собирали горячими в токе аргона. К раствору 2.34 г (4.7 ммоль) соединения 2 в 150 мл этиленгликоля при перемешивании прибавляли 0.91 г (16 ммоль) КОН. Реакционную массу нагревали до температуры кипения этиленгликоля (197˚C) и прикапывали 3.5 мл (59 ммоль) 80%-ного раствора гидразина, затем смесь кипятили в течение 4 ч в токе аргона. После окончания реакции полученный раствор охлаждали до комнатной температуры. Для продукта реакции смесь выливали в 300 мл ледяной воды с добавлением 16 мл (16 моль) 1М соляной кислоты и 300 мл диэтилового эфира. Органическую фракцию промывали дистиллированной водой (3 × 200 мл), объединенные органические фракции сушили над Na2SO4, растворитель упаривали на ротационном испарителе при пониженном давлении. Продукт очищали методом колоночной хроматографии на силикагеле (элюент – толуол), Rf = 0.87. Выход 1.96 г (89%), т.пл. = 109—111˚C (108—113˚C [40]). Спектр ЯМР 1H (CDCl3), δ, м.д.: 0.85—0.90 м (6Н), 1.21—1.32 м (20Н), 1.63—1.71 м (4Н), 2.75 т (4H, J 7.8 Гц), 7.28 c (2H), 7.70—7.78 м (4H). Спектр ЯМР 13С (CDCl3), δ, м.д.: 142.35, 140.04, 132.49, 131.14, 125.80, 123.30, 121.04, 36.11, 31.88, 31.73, 29.49, 29.32, 29.26, 22.67, 14.12. Найдено, %: C 77.58; H 8.72; S 13.78. C30H40S2. Вычислено, %: C 77.53; H 8.67; S 13.80.
2-Октилбензо[b]бензо[4, 5]тиено[2,3-d]тиофен (C8-BTBT). I способ. Двугорлую (500 мл) и одногорлые колбы сушили в сушильном шкафу при 150˚С, затем в двугорлой колбе в токе аргона готовили суспензию из 0.85 г (22.5 ммоль) алюмогидрида лития в 13 мл диэтилового эфира. В одногорлой колбе готовили раствор 1.51 г (11.3 ммоль) хлорида алюминия в 20 мл диэтилового эфира, после чего прикапывали его к суспензии алюмогидрида лития. В отдельной колбе готовили раствор исходного соединения 3 (1,65 г, 4,5 ммоль) в 300 мл дихлорметана, а затем прикапывали к смеси алюмогидрида лития и хлорида алюминия. Реакционную смесь перемешивали в токе аргона при комнатной температуре в течение 15 ч. Затем реакционную смесь выливали в 200 мл ледяной воды и 100 мл дихлорметана. Полученную реакционную смесь промывали дистиллированной водой (3 × 200 мл), объединенные органические фракции сушили над Na2SO4, после чего растворитель упаривали на роторном испарителе при пониженном давлении. Продукт очищали методом колоночной хроматографии на силикагеле (элюент – циклогексан, Rf = 0.75). Выход 1.30 г (82%).
II способ. Одногорлую колбу объемом 250 мл и обратный холодильник предварительно сушили в сушильном шкафу при 150˚С и собирали горячими в токе аргона. К раствору 2.0 г (5.46 ммоль) соединения 3 в 100 мл этиленгликоля при перемешивании прибавляли 0.61 г (10.9 ммоль) КОН. Реакционную массу нагревали до температуры кипения этиленгликоля (197˚C) и прикапывали пятикратный избыток 1.66 мл (34.12 ммоль) 80%-ного раствора гидрата гидразина, после чего смесь кипятили в течение 4 ч в токе аргона. После окончания реакции полученный раствор охлаждали до комнатной температуры. Для выделения продукта реакции смесь выливали в 220 мл ледяной воды с добавлением 8 мл (8.0 моль) 1М соляной кислоты и 220 мл диэтилового эфира. Полученную органическую фазу промывали дистиллированной водой (3 × 150 мл), объединенные органические фракции сушили над Na2SO4, после чего растворитель упаривали на ротационном испарителе при пониженном давлении. Продукт очищали методом колоночной хроматографии на силикагеле (элюент – циклогексан, Rf = 0.75). Выход 1.61 г (84%), т.пл. = 99—101˚C. Спектр ЯМР 1H (CDCl3), δ, м.д.: 0.87—0.93 м (3Н), 1.30—1.35 м (10Н), 1.66—1.74 м (2Н), 2.74 т (2H, J 7.8 Гц), 7.18—7.29 м (1H), 7.37—7.47 м (2H), 7.71—7.92 м (4H). Спектр ЯМР 13С (CDCl3), δ, м.д.: 142.52, 142.41, 142.33, 140.04, 132.48, 125.80, 125.71, 123.30, 123.19, 122.80, 122.03, 121.95, 121.24, 121.10, 36.10, 31.90, 31.73, 29.49, 29.32, 29.26, 22.67, 14.12. Найдено, %: C 74.86; H 6.93; S 18.16. C22H24S2. Вычислено, %: C 74.95; H 6.86; S 18.19.
ЗАКЛЮЧЕНИЕ
Проведен и оптимизирован синтез соединений C8-BTBT и С8-BTBT-С8, применяемых для изготовления различных устройств органической электроники. Получение целевых молекул осуществляли в 2 этапа – ацилирование ВТВТ по Фриделю—Крафтсу с последующим восстановлением кетогруппы. Лимитирующей стадией получения целевых соединений является реакция восстановления ацилзамещенных производных BTBT. В ходе работы были опробованы различные подходы к восстановлению, а именно – с использованием NaBH4/AlCl3, LiAlH4/AlCl3 и N2H4 × H2O – и предложены возможные механизмы протекания реакций. Идентифицированы промежуточные продукты – 2,7-ди(окт-1-ен-1-ил)бензо[b]бензо[4, 5]тиено[2,3-d]тиофен и 1,1'-(бензо[b]бензо[4, 5]тиено[2,3-d]тиофен-2,7-диил)бис(октан-1-ол), которые могут быть восстановлены до целевого соединения C8-BTBT-С8. Показано, что наиболее эффективным способом восстановления кетогрупп до алкана с образованием молекул C8-BTBT и C8-BTBT-С8 является использование гидрата гидразина, поскольку в этом случае образуется минимальное количество побочных продуктов, а протекание реакции меньше зависит от качества растворителей и реактивов. Кроме того, установлено, что для восстановления монопроизводного C8-BTBT также подходит метод с использованием алюмогидрида лития, а для получения дизамещенного производного C8-BTBT-С8 можно использовать боргидрид натрия, однако при длительном кипячении реакционной смеси образуется побочный продукт, требующий дополнительного восстановления.
БЛАГОДАРНОСТИ
Авторы выражают благодарность с.н.с., к.х.н. Г.В. Черкаеву (ИСПМ РАН) за регистрацию спектров ЯМР 1H и 13C.
ФОНДОВАЯ ПОДДЕРЖКА
Работа выполнена при финансовой поддержке Российского научного фонда проект № 19-73-30028.
ЯМР спектры регистрировали с использованием оборудования Центра коллективного пользования «Центр исследования полимеров» ИСПМ РАН при финансовой поддержке Министерства науки и высшего образования Российской Федерации (тема FFSM-2021-0005).
КОНФЛИКТ ИНТЕРЕСОВ
Авторы заявляют об отсутствии конфликта интересов.
Sobre autores
I. Gudkova
Enikolopov Institute of Synthetic Polymeric Materials Russian Academy of Sciences
Email: ponomarenko@ispm.ru
Rússia, ul. Profsoyuznaya, 70, Moscow, 117393
E. Sorokina
Enikolopov Institute of Synthetic Polymeric Materials Russian Academy of Sciences
Email: ponomarenko@ispm.ru
Rússia, ul. Profsoyuznaya, 70, Moscow, 117393
Е. Zaborin
Enikolopov Institute of Synthetic Polymeric Materials Russian Academy of Sciences
Email: ponomarenko@ispm.ru
Rússia, ul. Profsoyuznaya, 70, Moscow, 117393
M. Polinskaya
Enikolopov Institute of Synthetic Polymeric Materials Russian Academy of Sciences
Email: ponomarenko@ispm.ru
Rússia, ul. Profsoyuznaya, 70, Moscow, 117393
О. Borshchev
Enikolopov Institute of Synthetic Polymeric Materials Russian Academy of Sciences
Email: ponomarenko@ispm.ru
Rússia, ul. Profsoyuznaya, 70, Moscow, 117393
S. Ponomarenko
Enikolopov Institute of Synthetic Polymeric Materials Russian Academy of Sciences; Lomonosov Moscow State University
Autor responsável pela correspondência
Email: ponomarenko@ispm.ru
Lomonosov Moscow State University, Faculty of Chemistry
Rússia, ul. Profsoyuznaya, 70, Moscow, 117393; Leninskie gory, 1/3, Moscow, 119991Bibliografia
- Bronstein H., Nielsen C.B., Schroeder B.C., McCulloch I. Nat. Rev. Chem. 2020, 4, 66—77. doi: 10.1038/s41570-019-0152-9
- Can A., Facchetti A., Usta H. J. Mater. Chem. C, 2022, 10, 8496—8535. doi: 10.1039/d2tc00684g
- Wong M.Y., Zysman-Colman E. Adv. Mater. 2017, 29, 1605444. doi: 10.1002/adma.201605444
- Ma S., Zhang H., Feng K., Guo X. Chem. Eur. J. 2022, 28, e202200222. doi: 10.1002/chem.202200222
- Mei J., Diao Y., Appleton A. L., Fang L., Bao Z. J. Am. Chem. Soc. 2013, 135, 6724—6746. doi: 10.1021/ja400881n
- Wang Y., Zhang J., Zhang S., Huang J. Polym. Int. 2021, 70, 414—425. doi: 10.1002/pi.6095
- Шапошник П.А., Запуниди С.А., Шестаков М.В., Агина Е.В., Пономаренко С.А. Успехи химии, 2020, 89 (12), 1483—1506 / Shaposhnik P.A., Zapunidi S.A., Shestakov M.V., Agina E.V., Ponomarenko S.A. Russ. Chem. Rev. 2020, 89, 1483—1506. doi: 10.1070/RCR4973
- Cortizo-Lacalle D., Gozalvez C., Olano M., Sun X., Melle-Franco M., Hueso L.E, Mateo-Alonso A. Org. Lett. 2015, 17, 5902—5905. doi: 10.1021/acs.orglett.5b03099
- Nguyen T.P., Roy P., Shim J.H. Phys. Chem. Chem. Phys. 2018, 20, 8658—8667. doi: 10.1039/c7cp07044f
- Minemawari H., Yamada T., Matsui H., Tsutsumi J., Haas S., Chiba R., Kumai R., Hasegawa T. Nature 2011, 475, 364—367. doi: 10.1038/nature10313
- Jiang C. Crystals, 2020, 10, 727. doi: 10.3390/cryst10090727
- Borshchev O.V., Ponomarenko S.A. Polym. Sci. Ser. C, 2014, 56, 33—48. doi: 10.1134/S1811238214010044
- Сизов А.С., Агина Е.В., Пономаренко С.А. Успехи химии, 2018, 87, 1226—1264 / Sizov A.S., Agina E.V., Ponomarenko S.A. Russ. Chem. Rev. 2018, 87, 1226—1264. doi: 10.1070/RCR4839
- He Y., Xu W., Murtaza I., Zhang D., He C., Zhu Y., Meng H. RSC Adv. 2016, 6, 95149—95155. doi: 10.1039/C6RA22999A
- Chaeyoung Y.S., Ho D., Chae W., Earmme T., Kim C., Seo S.-Y. Synth. Met. 2022, 285, 117022. doi: 10.1016/j.synthmet.2022.117173
- Xie P., Liu T., Sun J., Yang J. Adv. Funct. Mater. 2022, 32, 2200843. doi: 10.1002/adfm.202200843
- Borshchev O.V., Sizov A.S., Agina E.V., Bessonov A.A., Ponomarenko S.A. Chem. Commun. 2017, 53, 885—888. doi: 10.1039/c6cc08654c
- Сулейманова А.А., Таланов М.О., Масаев Д.Н., Прудников Н.В., Борщев О.В., Полинская М.С., Скоротецкий М.С., Пономаренко С.А., Емельянов А.В., Демин В.А., Фейгин Л.А., Ерохин В.В. Росс. нанотехнол. 2021, 16 (6), 787—792. doi: 10.1134/S1992722321060248
- Prudnikov N.V., Malakhova Y.N., Emelyanov A.V., Borshchev O.V., Skorotetcky M.S., Polinskaya M.S., Peregudova S.M., Barteneva V.M., Demin V.A., Feigin L.A., Chvalun S.N., Ponomarenko S.A., Erokhin V.V. Phys. Status Solidi RRL, 2022, 16, 2100471. doi: 10.1002/pssr.202100471
- Trul A.A., Chekusova V.P., Polinskaya M.S., Kiselev A.N., Agina E.V., Ponomarenko S.A. Sens. Actuators B Chem. 2020, 321, 128609. doi: 10.1016/j.snb.2020.128609
- Anisimov D.S., Chekusova V.P., Trul A.A., Abramov A.A., Borshchev O.V., Agina E.V., Ponomarenko S.A. Sci. Rep. 2021, 11, 10683. doi: 10.1038/s41598-021-88569-x
- Takimiya K., Nakano M., Sugino H., Osaka I. Synth. Met. 2016, 217, 68—78. doi: 10.1016/j.synthmet.2016.02.018
- Takimiya K., Osaka I., Mori T., Nakano M. Acc. Chem. Res. 2014, 47, 1493—1502. doi: 10.1021/ar400282g
- Ebata H., Izawa T., Miyazaki E, Takimiya K., Ikeda M., Kuwabara H., Yui T., J. Am. Chem. Soc. 2007, 129, 15732—15733, doi: 10.1021/ja074841i
- Elgazzara E., Ozdemirb M., Ustab H., Al-Ghamdic A. A., Dered A., El-Tantawya F., Yakuphanoglu F. Synth. Met. 2015, 210, 288–296. doi: 10.1016/j.synthmet.2015.10.008
- Grigoriadis C., Niebel C., Ruzié C., Geerts Y.H, Floudas G. J. Phys. Chem. B. 2014, 118, 1443—1451. doi: 10.1021/jp412422e
- Yuan Y., Giri G., Ayzner A.L., Zoombelt A.P., Mannsfeld S.C.B., Chen J., Nordlund D., Toney M.F., Huang J., Bao Z. Nat. Commun. 2014, 5, 3005. doi: 10.1038/ncomms4005
- Košata B., Kozmik V., Svoboda J., Novotaná Vanák P., Glogarvá M. Liq. Cryst. 2003, 30, 603—610. doi: 10.1080/0267829031000097484
- Amin A. Y., Reuter K., Meyer-Friedrichsen T., Halik M. Langmuir, 2011, 27, 15340—15344. doi: 10.1021/la203041x
- Košata B., Kozmik V., Svoboda J. Collect. Czech. Chem. Commun. 2002, 67, 645—664. doi: 10.1135/cccc20020645
- Poimanova E.Y., Shaposhnik P.A., Anisimov D.S., Zavyalova E.G., Trul A.A., Skorotetcky M.S., Borshchev O.V., Vinnitskiy D.Z., Polinskaya M.S., Krylov V.B., Nifantiev N.E., Agina E.V., Ponomarenko S.A. ACS Appl. Mater. Interfaces. 2022, 14, 16462—16476. doi: 10.1021/acsami.1c24109
- Ono A., Suzuki N., Kamimura J. Synthesis, 1987, 8, 736–738. doi: 10.1055/s-1987-28068
- Combe C.M.S., Biniek L., Schroedera C. B., McCulloch I., J. Mater. Chem. C. 2014, 2, 538—541. doi: 10.1039/C3TC32058H
- Li Y., Liu C., Lee M.V., Xu Y., Wang X., Shi Y., Tsukagoshi K. J. Mater. Chem. C. 2013, 1, 1352—1358. doi: 10.1039/c2tc00384h
- Brown H.C., Rao B.C.S. J. Am. Chem. Soc. 1959, 81 (24), 6423–6428. doi: 10.1021/ja01533a023
- Taber D.F., Stachel S.J. Tetrahedron Lett. 1992, 33 (7), 903—906. doi: 10.1016/s0040-4039(00)91571-5
- Nystrom R.F., Berger C.R.A. J. Am. Chem. Soc. 1958, 80 (11), 2896—2898. doi: 10.1021/ja01544a075
- Brown B.R., White A.M.S. J. Chem. Soc. 1957, 759, 3755—3757. doi: 10.1039/jr9570003755
- Conover L.H., Tarbell D.S. J. Am. Chem. Soc. 1950, 72 (8), 3586—3588. doi: 10.1021/ja01164a073
- Xie P., Liu T., Sun J., Yang J. Adv. Funct. Mater. 2022, 32, 220084. doi: 10.1002/adfm.202200843P
Arquivos suplementares











