Мультикомпонентная циклизация этилтрифторацетоацетата с ацетальдегидом и 1,3-диаминами в гетероаннелированные пиридины
- Авторы: Кущ С.О.1, Горяева М.В.1, Сурнина Е.А.1, Бургарт Я.В.1, Салоутин В.И.1
-
Учреждения:
- Институт органического синтеза им. И.Я. Постовского Уральского отделения РАН
- Выпуск: Том 60, № 1 (2024)
- Страницы: 120-131
- Раздел: Статьи
- URL: https://bakhtiniada.ru/0514-7492/article/view/272388
- DOI: https://doi.org/10.31857/S0514749224010118
- EDN: https://elibrary.ru/EMQGGT
- ID: 272388
Цитировать
Полный текст
Аннотация
Разработан четырехкомпонентный метод синтеза цис- и транс-диастереомерных частично гидрированных пиридо[1,2-a]пиримидинов и пиридо[2,1-b]хиназолинов на основе циклизации этилтрифторацетоацетата с 2 молекулами ацетальдегида и 1,3-диаминопропаном или 2-аминометиланилином. В качестве побочного продукта реакции с 1,3-диаминопропаном выделена цвиттер-ионная соль тетрагидропиримидина, а с 2-аминометиланилином — 7-гидрокси-7-(трифторметил)-5,5a,6,7,8,11-гексагидро-9H-пиридо[2,1-b]хиназолин-9-он, который формируется при участии одной молекулы альдегида. Диастереомерное строение синтезированных гетероциклов установлено методами спектроскопии ЯМР 1Н, 19F, 13С и рентгеноструктурного анализа. Предложен механизм образования новых гетероаннелированных пиридинов.
Полный текст
ВВЕДЕНИЕ
В настоящее время самым современным, удобным и экологичным методом синтеза новых соединений являются многокомпонентные реакции, которые позволяют получать сложные молекулы в одну стадию из доступных исходных реагентов в мягких условиях [1, 2]. Трифторацетоуксусный эфир широко используется в качестве исходного субстрата в мультикомпонентных взаимодействиях для получения разнообразных гетероциклов [3–8]. Самыми известными превращениями на основе трифторацетоуксусного эфира являются реакции Биджинелли [9] и Ганча [10], в которых при циклизации с аминами и альдегидами формируется пиримидиновый и пиридиновый остов, соответственно. В этих реакциях трифторацетоуксусный эфир вступает во взаимодействие с альдегидами по активированной метиленовой группе, а с аминами — по трифторацильному заместителю.
Нами разрабатывается мультикомпонентый подход, основанный на циклизации трифторацетоуксусного эфира и его полифторированных аналогов с метил(цикло)кетонами и динуклеофильными реагентами, в котором задействован дикарбонильный реакционный сайт для формирования различных карбо- и гетероциклических молекул [11]. Такое направление взаимодействий становится возможным только для соединений, в которых карбонильная группа активирована электроноакцепторным фторированным заместителем. Недавно обнаружено, что замена метилкетонов на метиленсодержащие альдегиды в циклизации с полифторалкил-3-оксоэфирами и этилендиамином позволяет получать замещенные имидазо[1,2-а]пиридины [12], что обеспечивается вариативностью реакции формирования ключевого пиридинового цикла с участием дикарбонильного или метиленкарбонильного фрагмента. При этом по дикарбонильному участку реализуются трехкомпонентные превращения, а альтернативная циклизация по метиленкарбонильному остатку идет по четырехкомпонентному пути, поскольку циклообразованию предшествует альдольная конденсация альдегидов в a,b-непредельные производные, которые затем взаимодействуют по реакции Михаэля с активированной метиленовой группой 3-оксоэфира, а формирование пиридинового цикла осуществляется по этоксикарбонильному или полифторацильному заместителю. Маршрут циклизации зависит, в основном, от строения фторированного заместителя оксоэфирного реагента.
Целью настоящей работы являлось исследование возможности применения мультикомпонентной циклизации трифторацетоуксусного эфира 1 с ацетальдегидом 2 и 1,3-диаминами 3a,b для синтеза новых фторсодержащих гетероаннелированных пиридинов, при этом для получения пиридо[1,2-a]-пиримидинов использован 1,3-диаминопропан 3a, а для пиридо[2,1-b]хиназолинов — 2-аминометиланилин 3b.
Отметим перспективность синтеза новых пиримидо- и хиназолинаннелированных пиридинов как потенциальных биологически активных веществ, так как на основе производных пиридо[1,2-a]пиримидинов созданы лекарственные препараты [13–16], а пиридо[2,1-b]хиназолиновый каркас входит в структуру природных алкалоидов [17, 18]. Нельзя не подчеркнуть в этой связи важность синтеза фторсодержащих аналогов, поскольку присутствие электроотрицательного атома фтора придает им уникальные физико-химические и биологические свойства [19].
РЕЗУЛЬТАТЫ И ОБСУЖДЕНИЕ
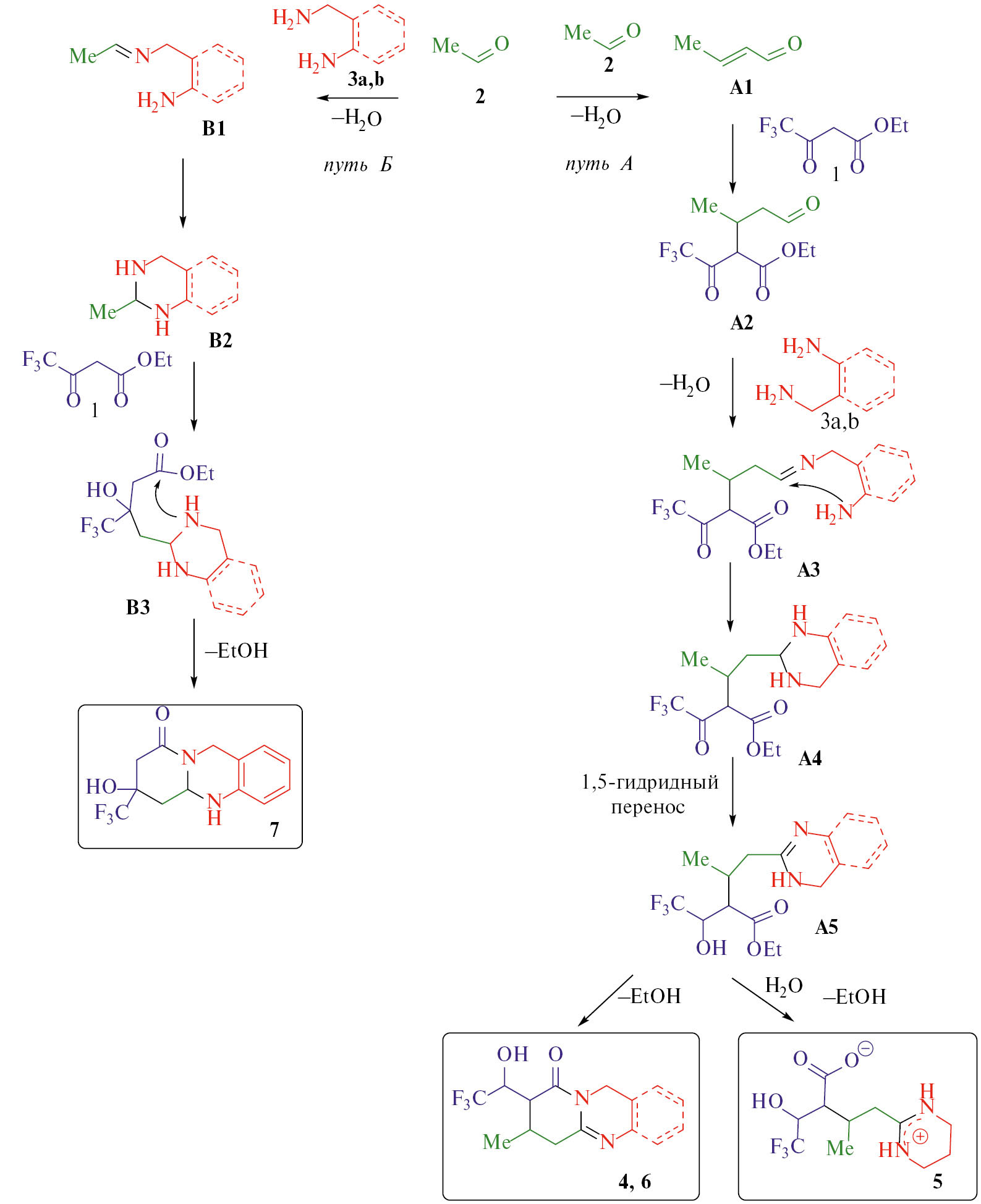
Для проведения реакций этилтрифторацетоацетата 1 с ацетальдегидом 2 и 1,3-диаминами 3a,b нами выбраны условия: 1,4-диоксан, комнатная температура. Ранее эти условия оказались оптимальными для аналогичных превращений с этилендиамином и позволили получить транс-изомер гексагидроимидазо[1,2-a]пиридин-5-она в результате трехкомпонентной циклизации по дикарбонильному участку оксоэфира 1 и этокси-карбонилзамещенный октагидроимидазо[1,2-a]-пиридин — продукт четырехкомпонентного превращения с участием метилентрифторацетильного фрагмента эфира 1 [12].
Нами найдено, что эфир 1 реагирует с уксусным альдегидом 2, взятым в двойном избытке, и 1,3-диаминопропаном 3a в 1,4-диоксане при комнатной температуре с формированием продукта четырехкомпонентного взаимодействия по метиленэтоксикарбонильному фрагменту гексагидропиридо[1,2-a]пиримидин-6-она 4, содержащего гидрокситрифторэтильную группу, в виде смеси цис- и транс-диастереомеров (схема 1), в которой преобладает транс-диастереомер 4транс. Кроме того, в небольшом количестве из реакционной массы была выделена внутренняя соль тетрагидропиримидина 5, содержащая открытоцепной кислотный фрагмент.
Схема 1
Продукты удалось разделить вследствие их различной растворимости. Так, соль 5 была практически нерастворима в органических средах и выпадала в осадок, а соединение 4цис имело более низкую растворимость по сравнению с изомером 4транс и легко кристаллизовалось при упаривании реакционной массы.
Исследование реакционной массы методом ГХ-МС не выявило присутствие в ней продукта трехкомпонентной циклизации по дикарбонильному фрагменту эфира 1, ожидаемого по аналогии с превращениями с этилендиамином [12]. Проведение синтеза с 1 эквивалентом ацетальдегида 2 привело к образованию тех же соединений 4 и 5, но с меньшими выходами, поскольку, по данным ГХ-МС, исходные реагенты 1 и 3 частично оставались непрореагировавшими.
Далее в реакцию эфира 1 с двукратным избытком уксусного альдегида 2 ввели 2-аминометиланилин 3b в качестве динуклеофильного реагента (схема 2). Оказалось, что эта циклизация проходит менее селективно с формированием смеси продуктов, из которой удалось выделить 2 изомера тетрагидропиридо[2,1-b]хиназолин-9-она 6транс и 6цис, содержащих фторспиртовый заместитель, с небольшим преобладанием цис-изомера. Помимо этого, получен продукт трехкомпонентной циклизации по дикарбонильному фрагменту эфира 1 – гексагидро-9H-пиридо[2,1-b]хиназолин-9-он 7. Разделение продуктов реакции было также основано на их различной растворимости (см. экспериментальную часть).
Схема 2
Строение синтезированных соединений 4–7 установлено на основании совокупных данных ИК, ЯМР 1H, 19F, 13C спектроскопии, а также масс-спектрометрии высокого разрешения, элементного анализа и рентгеноструктурного анализа (РСА).
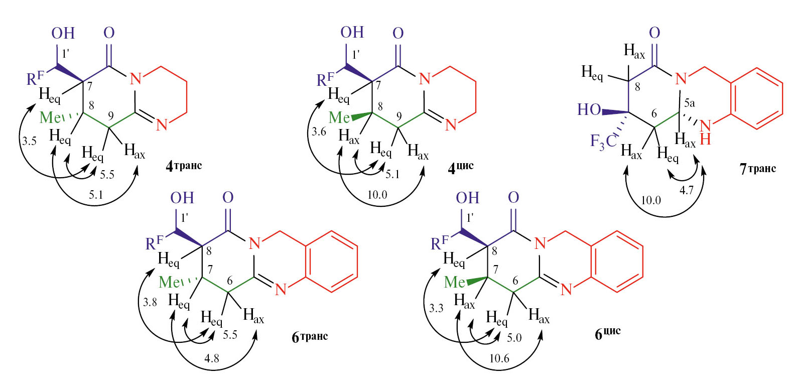
Родственные гетероциклы 4 и 6 содержат при пиридоновом цикле 2 асимметрических центра С7 и С8, поэтому они могут формироваться в виде 4 диастереомерных форм. Однако в каждом случае в исследуемых реакциях образуется по 2 диастереомера. Анализ их спектров ЯМР 1H показал различие в сдвигах и константах спин-спинового взаимодействия (КССВ) диастереотопных протонов H9 и H6 для цис- и транс-диастереомеров 4 и 6, соответственно (таблица). Значения неэквивалентности диастереотопных протонов DAB = dA — dB для гетероциклов 4 и 6, имеющих цис-конфигурацию, лежат в интервале DAB = 0.08–0.14 м.д., тогда как для соединений 4транс и 6транс эти значения имеют бо́льшие величины: DAB = 0.42–0.55 м.д. Геминальные КССВ цис-изомеров 4, 6 имеют величину 2J = 16.3–17.6 Гц, а транс-изомеров 4транс и 6транс _ 2J = 15.2–15.8 Гц. Аналогичные значения неэквивалентности диастереотопных протонов и КССВ ранее нами были выявлены для транс/цис-диастереомеров подобных октагидропиридо[1,2-a]пиридинов и тетрагидропиридо[2,1-b]хиназолинов [11].
Таблица. Основные отличия цис- и транс-изомеров соединений 4 и 6 по данным ЯМР спектроскопии
Соединение | δHA, м.д. | δHВ, м.д. | м.д. | J, Гц | δCF3, м.д. |
4транс | 2.79 | 2.24 | 0.55 | 15.2 | 87.91 |
4цис | 2.54 | 2.46 | 0.08 | 16.3 | 87.29 |
6транс | 2.96 | 2.54 | 0.42 | 15.8 | 87.86 |
6цис | 2.81 | 2.67 | 0.14 | 17.6 | 87.07 |
В спектрах ЯМР 1Н наблюдается также значительная разница в КССВ между вицинальными протонами Heq и Hax транс-изомеров (3J = 4.8–5.1 Гц) 4транс, 6транс и протонами Hax и Hax при тех же атомах углерода цис-изомеров (3J = 10.0–10.6 Гц) 4цис, 6цис (рис. 1). Отметим, что существенных различий в константах для других пар протонов не обнаружено. Экваториальные и псевдоэкваториальные протоны пиридиновых циклов обоих диастереомеров 4, 6 идентифицированы по константе 4J = 3.3–3.8 Гц, которая характерна для W-расположенных протонов (рис. 1). Аналогичные особенности ранее нами зафиксированы при установлении диастереомерного строения тетрагидро- и гексагидроимидазо[1,2-а]пиридинов, которые были подтверждены 2D 1H-1H NOESY экспериментами [12].
Рис. 1. КССВ диастереотопных протонов в гетероциклах 4, 6, 7
Найдены различия в химических сдвигах дублетных сигналов трифторметильной группы в спектрах ЯМР 19F диастереомеров соединений 4 и 6. Так, для соединений 4цис и 6цис химические сдвиги находятся в интервале δ 87.07–87.29 м.д., тогда как для соединений 4транс и 6транс соответствующие значения наблюдаются в более слабом поле δ 87.86–87.91 м.д. (таблица). Дублетная природа сигналов трифторметильной группы обусловлена спин-спиновым взаимодействием атомов фтора с соседним протоном H1’ с константой 2J = 8.3–8.7 Гц.
Правильность нашего определения диастереомерного строения подтверждена данными РСА тетрагидропиридо[1,2-a]пиридинов 4транс и 4цис (рис. 2, 3). Установлено, что гидрокситрифторэтильный и метильный заместители в диастереомере 4транс занимают псевдоаксиальное положение и находятся в транс-конфигурации по отношению друг к другу (рис. 2), тогда как в изомере 4цис гидрокситрифторэтильный заместитель занимает псевдоаксиальное положение, а метильный — псевдоэкваториальное, по отношению друг к другу эти заместители находятся в цис-положении (рис. 3). Кристаллическая упаковка молекул соединений 4транс и 4цис сформирована за счет межмолекулярной водородной связи N3…H2–O2, длина которой составляет 1.686 и 1.783 Å соответственно.
Рис. 2. Общий вид молекулы соединения 4транс по данным РСА в представлении атомов эллипсоидами тепловых колебаний с 30%-ной вероятностью
Рис. 3. Общий вид молекулы соединения 4цис по данным РСА в представлении атомов эллипсоидами тепловых колебаний с 30%-ной вероятностью
Гексагидро-9H-пиридо[2,1-b]хиназолин-9-он 7транс также содержит 2 центра асимметрии C5a и C7. Установить его диастереомерное строение нам удалось на основании анализа КССВ, поскольку вицинальные протоны H5a и H6B имеют константу 3J = 10.0 Гц, свойственную для транс-изомера, в котором оба протона занимают аксиальное положение (рис. 1).
Отличительной особенностью соли 5 является ее хорошая растворимость в воде и плохая растворимость в органических средах. В ИК спектре соли 5 присутствуют характеристические полосы поглощения аминогрупп в области ν 3185–3099 см–1, интенсивная широкая полоса NH+ и ОН при ν 2769 см–1, а также карбоксилатного фрагмента при ν 1655 см–1. В спектре ЯМР 1H имеется полный набор сигналов, за исключением сигналов протонов NH и OH групп, участвующих в дейтерообмене с растворителем D2O. В спектре ЯМР 19F наблюдается дублетный сигнал трифторметильной группы при δ 84.78 м.д. (J = 6.5 Гц), что указывает на ее соседство с sp3-гибридизованным атомом углерода. Спектр ЯМР 13С содержит сигнал карбоксилатного атома углерода C1 при δ 179.7 м.д. [20].
Дополнительно строение соли 5 подтверждено данными РСА (рис. 4), при этом установлено, что в пиримидиновом цикле положительный заряд делокализован между атомами азота по связи N1–C5–N2, а отрицательный заряд — между атомами кислорода по связи O1–C1–O2. Кристаллическая упаковка сформирована за счет 3 межмолекулярных водородных связей O1…H3–O3 (1.655 Å), O2…H2–N2 (1.894 Å) и O1…H1–O1 (1.786 Å).
Рис. 4. Общий вид молекулы соединения 5 по данным РСА в представлении атомов эллипсоидами тепловых колебаний с 30%-ной вероятностью
Полагаем, что формирование продуктов 4, 5 и 6 осуществляется по четырехкомпонентному пути A (схема 3) через стадию самоконденсации 2 молекул ацетальдегида 2 в кротоновый альдегид A1, который далее вступает в реакцию Михаэля с метиленовым фрагментом эфира 1. Полученный интермедиат A2 реагирует с диамином 3, формируя имин А3, который претерпевает внутримолекулярную циклизацию в гетероциклический интермедиат А4. Последний в результате 1,5-гидридного переноса водорода образует полупродукт А5. Формирование спиртовой группы во всех образующихся по этому пути соединениях 4, 5 и 6 можно объяснить реализацией внутримолекулярного переноса водорода донорной NH-группы на акцепторный карбонильный фрагмент. Ранее такой внутренний перенос водорода был описан в литературе [21, 22], аналогичный перенос мы также наблюдали в изученных ранее превращениях этилендиамина [12]. Далее интермедиат А5 подвергается внутримолекулярной циклизации за счет конденсации NH-группы гетероциклического фрагмента по этоксикарбонильному заместителю с формированием ключевого пиридинового цикла, давая гетероциклы 4 и 6. Предполагаемый механизм образования соединений 4–7 представлен на схеме 3.
Схема 3
Образование соединения 5 происходит, по-видимому, в результате основно-катализируемого гидролиза этоксикарбонильного заместителя интермедиата А5 под действием выделяющейся в ходе реакции воды.
В ходе трёхкомпонентной реакции реализуется конкурентный процесс формирования пиридохиназолинона 7 (схема 3, путь Б). В этом случае ацетальдегид 2 конденсируется с 2-аминометиланилином 3b, образуя последовательно енамин B1 и хинозалин B2, метильная группа которого присоединяется к трифторацетильному заместителю эфира 1, давая интермедиат В3. Последний циклизуется с участием этоксикарбонильного заместителя и аминогруппы гетерокольца в соединение 7. Аналогичный путь наблюдали при взаимодействии с этилендиамином [12], однако с 1,3-диаминопропаном 3a реакция в таком направлении не идет, что зафиксировано при анализе реакционной массы методом ГХ-МС.
Следует отметить также, что во всех реакциях с 2-аминометиланилином 3b наблюдалось образование только линейных региоизомеров гетероциклов 4, 6, 7. Отсутствие ангулярных изомеров можно объяснить бо́льшей реакционной способностью алкильной аминогруппы по сравнению с ароматической.
Различия в побочных продуктах, полученных в реакциях 1,3-диаминов 3a,b с эфиром 1 и ацетальдегидом 2, очевидно, обусловлены химическими свойствами соединений 3a,b. Так, 1,3-диаминопропан 3a, более основный за счет присутствия 2 алифатических аминогрупп, катализировал гидролиз сложноэфирного фрагмента, тем самым способствуя формированию соли 5, тогда как 2-аминометиланилин 3b, имеющий более жесткий конформационный остов, приводил к образованию циклического интермедиата B2, благодаря чему стало возможным получение пиридохиназолинона 7.
ЭКСПЕРИМЕНТАЛЬНАЯ ЧАСТЬ
Температуру плавления измеряли в открытых капиллярах на аппарате для определения точки плавления Stuart SMP3 (Великобритания). ИК-спектры записывали в диапазоне 400–4000 см–1 для твердых образцов на ИК-Фурье-спектрометре Perkin-Elmer Spectrum Two (США) с алмазной приставкой НПВО. Спектры ЯМР 1H, 19F и 13C соединений 4цис, 4транс, 5, 6транс и 7транс были зарегистрированы на спектрометре AVANCE 500 (Германия), а соединения 6цис — на спектрометре Bruker DRX-400 (Германия) с использованием внутренних стандартов Me4Si (1H) и C6F6 (19F). Химические сдвиги 13C калибровали с использованием сигнала растворителя ДМСО-d6 (δC 39.5 м.д.). Спектры ЯМР соединений 4, 6, 7 записывали в растворе ДМСО-d6, а соли 5 – в растворе D2O. Элементный анализ выполнен с помощью элементного анализатора Perkin–Elmer PE-2400 Series II (США). Масс-спектры высокого разрешения зарегистрированы для положительно заряженных ионов на масс-спектрометре Bruker maXis impact HD (Германия) в режиме ионизации электрораспылением для растворов в MeCN или MeOH. Хромато-масс-спектры реакционных масс выполняли на газовом хромато-масс-спектрометре Shimadzu GCMS QP2020 (ESI) (Япония). Этил-4,4,4-трифторацетоацетат (1), уксусный альдегид (2), 1,3-диаминопропан (3a), 2-аминометиланилин (3b) – коммерчески доступные реагенты (Alfa Aesar, Acros Organics и Sigma-Aldrich).
Рентгеноструктурное исследование монокристаллов соединений 4транс, 4цис и 5 выполнено на дифрактометре "Xcalibur 3" при 295(2) К (облучение MoKα, графитовый монохроматор, CCD детектор). Кристаллическая структура решена прямыми методами и уточнена методом наименьших квадратов в анизотропном полноматричном приближении для всех неводородных атомов по программе SHELXL-97 [23, 24]. Координаты водорода определены экспериментально и уточнены в изотропном приближении.
Монокристаллы соединения 4транс получали кристаллизацией из ацетонитрила, C11H15F3N2O2, M = 264.25, монокристаллы моноклинные, пространственная группа P21/n, a = 10.2180(12) Å; b = 7.4924(7) Å; c = 16.8623(18) Å; a = 90°, β = = 104.927(12)°, g = 90°, V = 1247.4(2) Å3, Z = 4, dвыч = = 1.407 г/см3, m(MoKa) = 0.127 см–1, F(000) = 552.0. Общее число отражений 8544, число независимых отражений 3369 (Rint = 0.0514), число отражений с I ≥ 2σ(I) 1487, R1 = 0.0652, wR2 = 0.1723 и GOOF = = 1.024.
Монокристаллы соединения 4цис получали кристаллизацией из ацетонитрила, C11H15F3N2O2, M = = 264.25, монокристаллы моноклинные, пространственная группа P21/n, a = 7.0474(5) Å; b = 8.4149(7) Å; c = 20.1243(19) Å; a = 90°, β = 97.043(8)°, g = 90°, V = 1184.43(17) Å3, Z = 4, dвыч = 1.482 г/см3, m(MoKa) = 0.133 см–1, F(000) = 552.0. Общее число отражений 7646, число независимых отражений 3296 (Rint = 0.0411), число отражений с I ≥ 2σ(I) 1793, R1 = 0.0535, wR2 = 0.1321 и GOOF = 0.994.
Монокристаллы соединения 5 получали кристаллизацией из воды, C11H17F3N2O3, M = 282.26, монокристаллы моноклинные, пространственная группа P21/c, a = 9.0730(11) Å; b = 12.4735(11) Å; c = 12.1413(14) Å; a = 90°, β = 104.059(12)(8)°, g = 90°, V = 1332.9(3) Å3, Z = 4, dвыч = 1.407 г/см3, m(MoKa) = 0.129 см–1, F(000) = 592.0. Общее число отражений 10309, число независимых отражений 3602 (Rint = 0.0487), число отражений с I ≥ 2σ(I) 1754, R1 = 0.0589, wR2 = 0.1276 и GOOF = 1.024.
Полные кристаллографические данные соединений 4транс (CCDC 2194819), 4цис (CCDC 2194820) и 5 (CCDC 2194821) депонированы в Кембриджском банке структурных данных и доступны по адресу: http://www.ccdc.cam.ac.uk/conts/retrieving.html.
Продукты 4–7. Общая методика. В виалу объемом 30 мл с герметичной винтовой крышкой загружали смесь 0.92 г (5 ммоль) этил-4,4,4-трифторацетоацетата (1) и 0.35 мл (10 ммоль) ацетальдегида (2) в 2 мл 1,4-диоксана. В отдельную колбу загружали 2 мл 1,4-диоксана и соответствующий амин 3 (0.37 г (5 ммоль) 1,3-диаминопропана (3a) или 0.61 г (5 ммоль) 2-аминометиланилина (3b)). Далее обе смеси помещали для охлаждения в баню со льдом на 10–15 мин и затем объединяли. Реакционную массу перемешивали при комнатной температуре в течение 1–3 дней. Протекание реакции контролировали методом ТСХ и спектроскопии ЯМР 19F.
В случае реакции с 1,3-диаминопропаном 3а в реакционной массе выпадал осадок, который отфильтровывали, промывали горячим этанолом, получали соль 5. Затем фильтраты объединяли, упаривали, образовавшуюся твердую массу несколько раз промывали горячим ацетонитрилом, отфильтровывали, получали продукт 4цис. Далее из фильтрата ацетонитрила после охлаждения выпадал осадок, который отфильтровывали и повторно перекристаллизовывали из ацетонитрила, получали продукт 4транс.
При использовании 2-аминометиланилина 3b в реакционной массе выпадал осадок, который отфильтровывали и перекристаллизовывали из ацетонитрила, получали продукт 6цис. Фильтраты объединяли, упаривали, образовавшуюся твердую массу промывали этанолом. Далее этанольный фильтрат упаривали, образовавшуюся твердую массу промывали диэтиловым эфиром, получали 6транс. Остатки объединяли, очищали колоночной хроматографией (элюент этилацетат), получали продукт 7транс.
(7S*,8S*)-8-Метил-7-(2,2,2-трифтор1-гидро-ксиэтил)-2,3,4,7,8,9-гексагидро-6H-пиридо[1,2-a]-пиримидин-6-он (4транс). Выход 0.819 г (62%), белый порошок, т.пл. 152–154°С. ИК спектр, ν, см–1: 2940–2872 (C–H), 2659–2530 (O–H), 1685 (C=O), 1631 (C=N), 1168–1090 (C–F). Спектр ЯМР 1H, δ, м.д.: 0.99 д (3H, Me, J 7.0 Гц), 1.67–1.80 м (2H, H3), 2.24 д.д (1H, H9B, J 15.2, 5.5 Гц), 2.29–2.34 м (1H, H8), 2.53 т (1H, H7, J 3.5 Гц), 2.79 д.м (1H, H9A, J 15.2 Гц), 3.30 т (2H, H4, J 5.3 Гц, перекрывается H2O), 3.52–3.64 м (2H, H2), 4.54–4.62 м (1Н, H1’), 6.70 д (1Н, OH, J 6.8 Гц). Спектр ЯМР 13C, δ, м.д.: 20.0 (Me), 20.8 (C3), 23.9 (C8), 36.7 (C9), 39.6 (C7, перекрывается ДМСО), 43.9 (C4), 48.9 (C2), 69.3 к (C1’, J 30.0 Гц), 125.5 к (CF3, J 283.2 Гц), 148.9 (C9a), 169.0 (C6). Спектр ЯМР 19F, δ, м.д.: 87.91 д (CF3, J 8.7 Гц). Масс-спектр: найдено m/z 265.1158 [M + H]+; вычислено для C11H16F3N2O2 m/z 265.1159. Найдено, %: C 49.92; H 5.45; N 10.60. C11H15F3N2O2. Вычислено, %: C 50.00; H 5.72; N 10.60.
(7S*,8R*)-8-Метил-7-(2,2,2-трифтор1-гидро-ксиэтил)-2,3,4,7,8,9-гексагидро-6H-пиридо[1,2-a]-пиримидин-6-он (4цис). Выход 0.251 г (19%), бесцветный порошок, т.пл. 204–207°С. ИК спектр, ν, см–1: 2966–2858 (C–H), 2656–2573 (O–H), 1694 (C=O), 1642 (C=N), 1170–1098 (C–F). Спектр ЯМР 1H, δ, м.д.: 0.95 д (3H, Me, J 7.0 Гц), 1.68–1.73 м (2H, H3), 2.24–2.32 м (1H, H8), 2.46 д.д.т (1H, H9B, J 16.3, 10.0, 1.6 Гц, перекрывается ДМСО), 2.53 д.д.д (1H, H9A, J 16.3, 5.1, 0.8 Гц, перекрывается ДМСО), 2.83 т (1H, H7, J 3.6 Гц), 3.23–3.34 м (2H, H4, перекрывается H2O), 3.48–3.63 м (2H, H2), 4.24–4.31 м (1Н, H1’), 6.51 д (1Н, OH, J 6.8 Гц). Спектр ЯМР 13C, δ, м.д.: 15.8 (Me), 20.8 (C3), 26.9 (C8), 36.5 (C9), 39.2 (C7, перекрывается ДМСО), 43.9 (C4), 47.0 (C2), 66.4 к (C1’, J 30.4 Гц), 125.3 к (CF3, J 283.6 Гц), 149.5 (C9a), 168.1 (C6). Спектр ЯМР 19F, δ, м.д.: 87.29 д (CF3, J 8.4 Гц). Масс-спектр: найдено m/z 265.1158 [M + H]+; вычислено для C11H16F3N2O2 m/z 265.1159. Найдено, %: C 49.91; H 5.54; N 10.54. C11H15F3N2O2. Вычислено, %: C 50.00; H 5.72; N 10.60.
4,4,4-Трифтор-3-гидрокси-2-(1-(3,4,5,6-тетрагидропиримидин-1-иум-2-ил)пропан-2-ил)бутаноат (5). Выход 0.185 г (13%), бесцветный порошок, т.пл. 220°С. ИК спектр, ν, см-1: 3185, 3099 (N–H), 3014–2882 (C–H), 2769 (O–H), 1655 (C=O), 1568 (C=N), 1161–1086 (C–F). Спектр ЯМР 1H, δ, м.д.: 1.05 д (3H, Me, J 6.6 Гц), 1.94–1.99 м (2H, H5’’), 2.34–2.45 м (2H, H1’B, H2’), 2.63 д.д (1H, H2, J 11.0, 3.9 Гц), 2.70 д.д (1H, H1’А, J 12.7, 2.7 Гц), 3.41 уш.т (4H, H4’’, H6’’), 4.26–4.32 м (1H, H3). Спектр ЯМР 13C, δ, м.д.: 19.5 (Me), 20.2 (C5’’), 32.5 (C2’), 37.7 (C1’), 41.3 (C4’’, С6’’), 55.2 (С2), 71.6 к (C3, J 29.7 Гц), 128.0 к (CF3, J 282.7 Гц), 165.8 (C2’’), 179.7 (C1). Спектр ЯМР 19F, δ, м.д.: 84.78 д (CF3, J 6.5 Гц). Масс-спектр: найдено m/z 283.1272 [M + H]+; вычислено для C11H18F3N2O3 m/z 283.1264. Найдено, %: C 46.36; H 5.90; N 9.81. C11H17F3N2O3. Вычислено, %: C 46.81; H 6.07; N 9.92.
(8S*,7S*)-7-Метил-8-(2,2,2-трифтор-1-гидро-ксиэтил)-6,7,8,11-тетрагидро-9H-пиридо[2,1-b]-хиназолин-9-он (6транс). Выход 0.453 г (29%), бежевый порошок, т.пл. 157–159°С. ИК спектр, ν, см–1: 3079–2968 (C–H), 2744 (O–H), 1681 (C=O), 1616 (C=N), 1602, 1581 (С=С), 1171–1106 (C–F). Спектр ЯМР 1H, d, м.д.: 1.05 д (3H, Me, J 7.0 Гц), 2.40–2.47 м (1H, H7), 2.54 д.д (1H, H6B, J 15.7, 5.5 Гц, перекрывается ДМСО), 2.70 т (1H, H8, J 3.7 Гц), 2.96 д.д (1H, H6A, J 15.7, 4.8 Гц), 4.58–4.65 м (1H, H1’), 4.80 м (2H, H11, AB-система, ΔAB 0.03, J 17.6 Гц), 6.78 д (1H, OH, J 6.8 Гц), 7.10–7.15 м (2H, Наром), 7.19–7.25 м (2H, Наром). Спектр ЯМР 13C, d, м.д.: 20.0 (Me), 23.6 (C7), 36.1 (C6), 42.0 (C8), 49.1 (С11), 69.1 к (C1’, J 30.3), 122.7 (C11а), 124.7 (Cаром), 125.4 к (CF3, J 285.3 Гц), 126.1 (Cаром), 126.2 (Cаром), 128.2 (Cаром), 139.3 (C4а), 150.9 (C5а), 169.2 (C9). Спектр ЯМР 19F, δ, м.д.: 87.86 д (CF3, J 8.3 Гц). Масс-спектр: найдено m/z 313.1163 [M + H]+; вычислено для C15H16F3N2O2 m/z 313.1158. Найдено, %: C 57.52; H 4.83; N 8.95. C15H15F3N2O2. Вычислено, %: C 57.69; H 4.84; N 8.97.
(8S*,7R*)-7-Метил-8-(2,2,2-трифтор-1-гидро-ксиэтил)-6,7,8,11-тетрагидро-9H-пиридо[2,1-b]-хиназолин-9-он (6цис). Выход 0.656 г (42%), светло-желтый порошок, т.пл. 212–213°С. ИК спектр, ν, см–1: 3079–2969 (C–H), 2753, 2699 (O–H), 1699 (C=O), 1614 (C=N), 1599, 1579 (С=С), 1170–1075 (C–F). Спектр ЯМР 1H, δ, м.д.: 1.03 д (3H, Me, J 6.9 Гц), 2.39–2.46 м (1H, H7), 2.67 д.д (1H, H6B, J 17.6, 10.6 Гц), 2.81 д.д (1H, H6A, J 17.6, 5.0 Гц), 2.94 т (1H, H8, J 3.3 Гц), 4.32–4.36 м (1H, H1’), 4.60 д (1H, H11B, J 16.5 Гц), 4.97 д (1H, H11а, J 16.5 Гц), 6.66 д (1H, OH, J 6.9 Гц), 7.05–7.13 м (2H, Наром), 7.17–7.23 м (2H, Наром). Спектр ЯМР 13C, δ, м.д.: 15.8 (Me), 26.3 (C7), 35.7 (C6), 41.6 (C8), 47.2 (С11), 65.6 (к, C1’, J 30.4 Гц), 122.6 (C11а), 124.3 (Cаром), 125.2 к (CF3, J 283.2 Гц), 125.8 (Cаром), 125.9 (Cаром), 128.1 (Cаром), 139.7 (C4а), 151.9 (C5a), 168.4 (C9). Спектр ЯМР 19F, δ, м.д.: 87.07 д (CF3, J 7.9 Гц). Масс-спектр: найдено m/z 313.1161 [M + H]+; вычислено для C15H16F3N2O2 m/z 313.1158. Найдено, %: C 57.64; H 4.94; N 8.95. C15H15F3N2O2. Вычислено, %: C 57.69; H 4.84; N 8.97.
(7R*,5aS*)-7-Гидрокси-7-(трифторметил)-5,5a,6,7,8,11-гексагидро-9H-пиридо[2,1-b]хиназолин-9-он (7транс). Выход 0.269 г (15%), белый порошок, т.пл. 213–215°С. ИК спектр, ν, см–1: 3322 (NH), 3106 (OH), 2982–2821 (C–H), 1625 (C=O), 1617, 1595 (С=С), 1190–1117 (C–F). Спектр ЯМР 1H, δ, м.д.: 1.90 д.д (1H, H6B, J 12.9, 10.0 Гц), 2.41–2.47 м (2H, H6A, H8B), 2.79 д (1H, H8A, J 16.5 Гц), 4.19 д (1H, H11B, J 17.4 Гц), 4.70 д.д (1H, H5a, J 10.0, 4.7 Гц), 4.88 д (1H, H11B, J 17.4 Гц), 6.29 c (1H, OH), 6.61 c (1H, NH), 6.65 д (1H, Наром, J 7.9 Гц), 6.69 т.д (1H, Наром, J 7.5, 0.9 Гц), 7.01 т.д (1H, Наром, J 7.9, 0.9 Гц), 7.06 д (1H, Наром, J 7.5 Гц). Спектр ЯМР 13C, δ, м.д.: 32.3 (C6), 37.5 (C8), 42.4 (С11), 62.2 (C5a), 69.8 к (C7, J 29.1 Гц), 114.8 (Cаром), 118.3 (Cаром), 118.4 (Cаром), 125.3 (к, CF3, J = 285.4), 126.8 (Cаром), 127.0 (Cаром), 143.0 (C4а), 164.9 (C9). Спектр ЯМР 19F, δ, м.д.: 79.91 с (CF3). Масс-спектр: найдено m/z 287.0999 [M + H]+; вычислено для C13H14F3N2O2 m/z 287.1002. Найдено (%): C, 54.55; H, 4.58; N, 9.79. C13H13F3N2O2. Вычислено (%): C, 54.39; H, 4.57; N, 9.76.
ЗАКЛЮЧЕНИЕ
Показана возможность применения мультикомпонентных реакций трифторацетоуксусного эфира и уксусного альдегида с 1,3-диаминами для синтеза гидрированных пиридо[1,2-a]пиримидинов и пиридо[2,1-b]хиназолинов. Основными продуктами в этих превращениях являются транс- и цис-диастереомерные гетероциклы, формирующиеся при участии 2 молекул ацетальдегида и метиленэтоксикарбонильного остатка 3-оксоэфира. Кроме того, в реакции с 2-аминометиланилином получен гексагидро-9H-пиридо[2,1-b]хиназолин-9-он, образующийся при участии 1 молекулы ацетальдегида и дикарбонильной части оксоэфирного реагента, так же как и в ранее исследованных реакциях циклизации с метилкетонами. Реакция с 1,3-диаминопропаном привела к внутренней соли тетрагидропиримидина, содержащей открытоцепной кислотный фрагмент.
Синтезированные гетероциклы планируется далее протестировать на наиболее значимые виды биологической активности, такие как противораковая, противовирусная, антибактериальная и анальгетическая.
Об авторах
С. О. Кущ
Институт органического синтеза им. И.Я. Постовского Уральского отделения РАН
Автор, ответственный за переписку.
Email: pmv@ios.uran.ru
ORCID iD: 0000-0002-7518-8998
Россия, Екатеринбург
М. В. Горяева
Институт органического синтеза им. И.Я. Постовского Уральского отделения РАН
Email: marinavgoryaeva@gmail.com
ORCID iD: 0000-0002-7853-688X
Россия, Екатеринбург
Е. А. Сурнина
Институт органического синтеза им. И.Я. Постовского Уральского отделения РАН
Email: pmv@ios.uran.ru
ORCID iD: 0000-0003-2961-6450
Россия, Екатеринбург
Я. В. Бургарт
Институт органического синтеза им. И.Я. Постовского Уральского отделения РАН
Email: pmv@ios.uran.ru
ORCID iD: 0000-0001-6061-2410
Россия, Екатеринбург
В. И. Салоутин
Институт органического синтеза им. И.Я. Постовского Уральского отделения РАН
Email: pmv@ios.uran.ru
ORCID iD: 0000-0003-1976-7861
Россия, Екатеринбург
Список литературы
- Zhu J., Bienayme H., Multicomponent Reactions, Wiley-VCH Weinheim, Germany, 2005.
- Ganem. B. Acc. Chem. Res. 2009, 42, 463–472. doi: 10.1021/ar800214s
- Karnakar K., Ramesh K., Reddy K.H.V., Anil Kumar B.S.P., Nanubonula J.B., Nageswar Y.V.D. New J. Chem. 2015, 39, 8978–8983. doi: 10.1039/C5NJ01448D
- Gibadullina N.N., Latypova D.R., Novikov R.A., Tomilov Y.V., Dokicheva V.A. Arkivoc 2017, 222–235. doi: 10.24820/ark.5550190.p010.003
- Zhou L., Yuan F., Zhou Y., Duan W., Zhang M., Deng H., Song L. Tetrahedron 2018, 74, 3761–3769. doi: 10.1016/j.tet.2018.05.059
- Bhatt J.D., Patel T.S., Chudasama C.J., Patel K.D. ChemistrySelect 2018, 3, 3632–3640. doi: 10.1002/slct.201702285
- Dayakar C., Raju B.C., ChemistrySelect, 2018, 3, 9388–9392. doi: 10.1002/slct.201801430
- Du X.-X., Zi Q.-X., Wu Y.-M., Jin Y., Lin J., Yan S.-J. Green Chem. 2019, 21, 1505–1516. doi: 10.1039/C8GC03698E
- Бургарт Я.В., Кузуева О.Г., Прядеина М.В., Каппе С.О., Салоутин В.И. ЖОрХ, 2001, 37, 915–926. [Burgart Ya.V., Kuzueva O.G., Pryadeina M.V., Kappe C.O., Saloutin V.I. Russ. J. Org. Chem. 2001, 37, 869–880.] doi: 10.1023/A:1012473901354
- Shashi R., Prasad N.L., Begum N.S. J. Struct. Chem. 2020, 61, 938–947. doi: 10.1134/s0022476620060141.
- Goryaeva M.V., Kushch S.O., Khudina O.G., Burgart Ya.V., Ezhikova M.A., Kodess M.I., Slepukhin P.A., Volobueva A.S., Slita A.V., Esaulkova I.L., Misiurina M.A., Zarubaev V.V., Saloutin V.I. J. Fluor. Chem. 2021, 241, 109686. doi: 10.1016/j.jfluchem.2020.109686
- Kushch S.O., Goryaeva M.V., Burgart Ya.V., Ezhikova M.A, Kodess M.I., Slepukhin P.A., Saloutin V.I. Asian J. Org. Chem., 2022, 11, e202100709. doi: 10.1002/ajoc.202100709
- Smith R.L., Barrett R. J., Sanders-Bush E., J. Pharmacol. Exp. Ther. 1995, 275, 1050–1057.
- Meltzer H.Y., Simonovic M., Gudelsky G.A. Eur. J. Pharmacol. 1983, 92, 83–89. doi: 10.1016/0014-2999(83)90111-5
- Awouters F., Vermeire J., Smeyers F., Vermote P., Van Beek R., Niemegeers C.J.E. Drug. Dev. Res. 1986, 8, 95–102. doi: 10.1002/ddr.430080112
- Yanagihara Y., Kasai H., Kawashima T., Shida T. Jpn. J. Pharamacol. 1988, 48, 91–101. doi: 10.1254/jjp.48.91
- Shakhidoyatov K.M., Elmuradov B. Z., Chem. Nat. Compd. 2014, 50, 781–800. doi: 10.1007/s10600-014-1086-6
- Kshirsagar U.A. Org. Biomol. Chem. 2015, 13, 9336–9352. doi: 10.1039/c5ob01379h
- Jeffries B., Wang Z., Graton J., Holland S.D., Brind T., Greenwood R.D.R., Le Questel J.Y., Scott J.S., Chiarparin E., Linclau B. J. Med. Chem., 2018, 61, 10602–10618. doi: 10.1021/acs.jmedchem.8b01222
- Преч Э., Бюльманн Ф., Аффольтер К., Определение строения органических соединений, пер. с англ. Б.Н. Тарасевича, Мир, Бином, Лаборатория знаний, Москва, 2006. doi: 10.1007/978-3-662-04201-4
- Hill R.K., Carlson R.M. J. Am. Chem. Soc. 1965, 87, 2772–2773. doi: 10.1021/ja01090a054
- Atkinson, R. S. J. Chem. Soc. D. 1969, 13, 735. doi: 10.1039/c2969000735a
- Dolomanov O.V., Bourhis L.J., Gildea R.J., Ho-ward J.A.K., Puschmann H. J. Appl. Crystallogr. 2009, 42, 339–341. doi: 10.1107/S0021889808042726
- Sheldrick G.M. Acta Crystallogr., Sect. A: Cryst. Phys. 2008, 64, 112–122. doi: 10.1107/S0108767307043930
Дополнительные файлы









