SYNTHESIS AND PPOPERTIES OF ZNO/ZNWO4 NANOCOMPOSITES FOR PHOTOELECTROCHEMICAL APPLICATIONS:
- Authors: Ulyankina A.A.1, Tsarenko A.D.1, Molodtsova T.A.1, Gorshenkov M.V.2, Smirnova N.V.1
-
Affiliations:
- Platov South-Russian State Polytechnic University (NPI)
- Department of Physical Materials Science, National University of Science & Technology (MISIS)
- Issue: Vol 59, No 12 (2023)
- Pages: 790-797
- Section: Articles
- URL: https://bakhtiniada.ru/0424-8570/article/view/232690
- DOI: https://doi.org/10.31857/S0424857023120149
- EDN: https://elibrary.ru/VDTVFT
- ID: 232690
Cite item
Full Text
Abstract
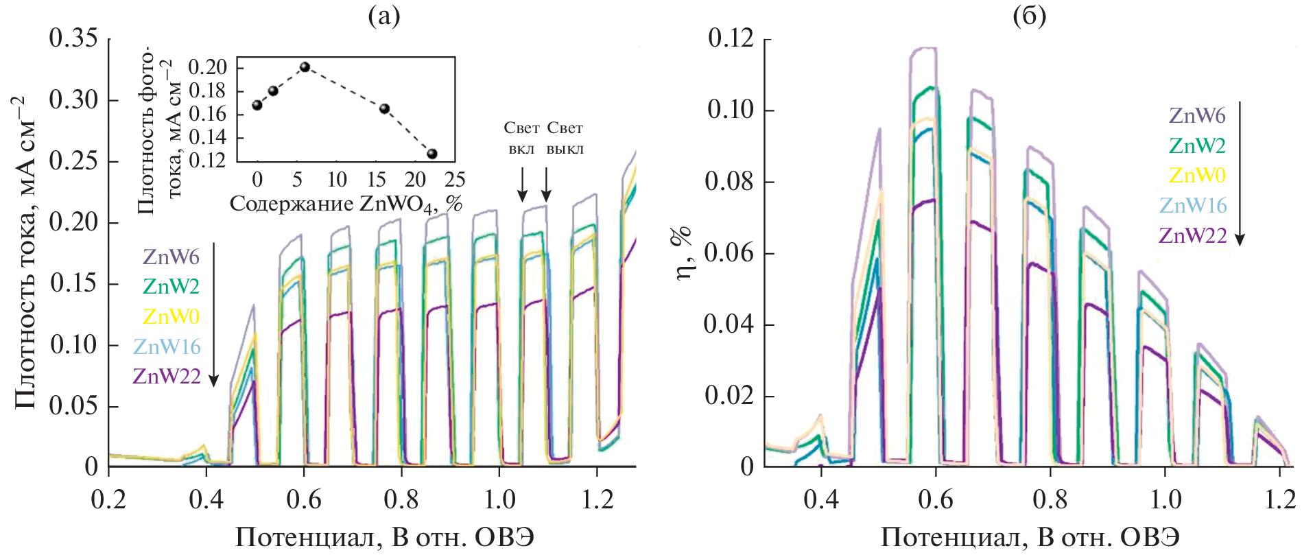
A series of ZnO/ZnWO4 nanocomposites with different ZnWO4 content based on ZnO and WO3 nanopowders electrochemically synthesized under pulse alternating current was obtained. A complex of physicochemical methods (X-ray diffraction, Raman spectroscopy, transmission electron microscopy, energy dispersive X-ray microanalysis) was used to study the composition and structural characteristics of the obtained materials. The nanocomposite with optimal composition (ZnO 90%, ZnWO4 ~6%) was used as a photoanode material for a flow photocatalytic fuel cell with sulfate electrolyte with the addition of organic and inorganic fuel. The maximum values of Eoc and Pmax, which were 850 mV and 85.8 μW/cm2, respectively, were achieved using Na2SO4 with the addition of glucose as a fuel.
About the authors
A. A. Ulyankina
Platov South-Russian State Polytechnic University (NPI)
Email: anya-barbashova@yandex.ru
346428 Novocherkassk, Russia
A. D. Tsarenko
Platov South-Russian State Polytechnic University (NPI)
Email: anya-barbashova@yandex.ru
346428 Novocherkassk, Russia
T. A. Molodtsova
Platov South-Russian State Polytechnic University (NPI)
Email: anya-barbashova@yandex.ru
346428 Novocherkassk, Russia
M. V. Gorshenkov
Department of Physical Materials Science, National University of Science & Technology (MISIS)
Email: anya-barbashova@yandex.ru
119049 Moscow, Russia
N. V. Smirnova
Platov South-Russian State Polytechnic University (NPI)
Author for correspondence.
Email: anya-barbashova@yandex.ru
346428 Novocherkassk, Russia
References
- Isaev, A.B., Shabanov, N.S., Sobola, D., Kaviyarasu, K., Ismailov, A.M., and Omarov, G.M., ZnO/Chalcogenides Semiconductor Heterostructures for Photoelectrochemical Water Splitting, in Nanomaterials for Energy Conversion, Biomedical and Environmental Applications, Kasinathan, K., Elshikh, M.S., and Al Farraj, D.A.-A., Editors. 2022, Singapore: Springer Nature, p. 3-35. https://doi.org/10.1007/978-981-19-2639-6_1
- Grinberg, V.A., Emets, V.V., Maiorova, N.A., Maslov, D.A., Averin, A.A., Polyakov, S.N., Molchanov, S.P., Levin, I.S., and Tsodikov, M.V., Photoelectrochemical Activity of Nanosized Titania, Doped with Bismuth and Lead, in Visible Light Region, Prot. Met. Phys. Chem. Surf., 2019, vol 55, p. 55. https://doi.org/10.1134/S207020511901012X
- Kageshima, Y., Wada, H., Teshima, K., and Nishikiori, H., Hydrogen evolution and electric power generation through photoelectrochemical oxidation of cellulose dissolved in aqueous solution, Appl. Catal. B: Environ., 2023, vol. 327, p. 122431. https://doi.org/10.1016/j.apcatb.2023.122431
- Ismael, M., Latest progress on the key operating parameters affecting the photocatalytic activity of TiO2-based photocatalysts for hydrogen fuel production: A comprehensive review, Fuel, 2021, vol. 303, p. 121207. https://doi.org/10.1016/j.fuel.2021.121207
- Molodtsova, T., Gorshenkov, M., Kolesnikov, E., Leontyev, I., Kaichev, V., Zhigunov, D., Faddeev, N., Kuriganova, A., and Smirnova, N., Fabrication of nano-In2O3 phase junction by pulse alternating current synthesis for enhanced photoelectrochemical performance: Unravelling the role of synthetic conditions, Ceram. Int., 2023, vol. 49, p. 10986. https://doi.org/10.1016/j.ceramint.2022.11.293
- Tsarenko, A., Gorshenkov, M., Yatsenko, A., Zhigunov, D., Butova, V., Kaichev, V., and Ulyankina, A., Electrochemical Synthesis-Dependent Photoelectrochemical Properties of Tungsten Oxide Powders, Chem Engineering, 2022, vol. 62, p. 31. https://doi.org/10.3390/chemengineering6020031
- Mika, K., Syrek, K., Uchacz, T., Sulka, G.D., and Zaraska, L., Dark nanostructured ZnO films formed by anodic oxidation as photoanodes in photoelectrochemical water splitting, Electrochim. Acta, 2022, vol. 414, p. 140176. https://doi.org/10.1016/j.electacta.2022.140176
- Wannapop, S. and Somdee, A., Effect of citric acid on the synthesis of ZnWO4/ZnO nanorods for photoelectrochemical water splitting, Inorg. Chem. Commun., 2020, vol. 115, p. 107857. https://doi.org/10.1016/j.inoche.2020.107857
- Navarro-Gázquez, P.J., Blasco-Tamarit, E., Muñoz-Portero, M.J., Solsona, B., Fernández-Domene, R.M., Sánchez-Tovar, R., and García-Antón, J., Influence of Zn(NO3)2 concentration during the ZnO electrodeposition on TiO2 nanosponges used in photoelectrochemical applications, Ceram. Int., 2022, vol. 48, p. 14460. https://doi.org/10.1016/j.ceramint.2022.01.339
- Chen, Y., Wang, L., Gao, R., Zhang, Y.-C., Pan, L., Huang, C., Liu, K., Chang, X.-Y., Zhang, X., and Zou, J.-J., Polarization-Enhanced direct Z-scheme ZnO-WO3–x nanorod arrays for efficient piezoelectric-photoelectrochemical Water splitting, Appl. Catal. B: Environ., 2019, vol. 259, p. 118079. https://doi.org/10.1016/j.apcatb.2019.118079
- Uchiyama, H., Nagao, R., and Kozuka, H., Photoelectrochemical properties of ZnO–SnO2 films prepared by sol–gel method, J. Alloys Compd., 2013, vol. 554, p. 122. https://doi.org/10.1016/j.jallcom.2012.11.196
- He, G., Mi, Y., Wang, D., Zhang, B., Zheng, D., Bai, Y., and Shi, Z., Synthesis Methods and Applications of Semiconductor Material ZnWO4 with Multifunctions and Multiconstructions, Energy Technol., 2021, vol. 9, p. 2100733. https://doi.org/10.1002/ente.202100733
- Jaramillo-Páez, C., Navío, J.A., Puga, F., and Hidalgo, M.C., Sol-gel synthesis of ZnWO4-(ZnO) composite materials. Characterization and photocatalytic properties, J. Photochem. Photobiol. A: Chem., 2021, vol. 404, p. 112962. https://doi.org/10.1016/j.jphotochem.2020.112962
- Gao, D., Li, H., Wei, P., Wang, Y., Wang, G., and Bao, X., Electrochemical synthesis of catalytic materials for energy catalysis, Chinese J. Catal., 2022, vol. 43, p. 1001. https://doi.org/10.1016/S1872-2067(21)63940-2
- Kromer, M.L., Monzó, J., Lawrence, M.J., Kolodziej, A., Gossage, Z.T., Simpson, B.H., Morandi, S., Yanson, A., Rodríguez-López, J., and Rodríguez, P., High-Throughput Preparation of Metal Oxide Nanocrystals by Cathodic Corrosion and Their Use as Active Photocatalysts, Langmuir, 2017, vol. 33, p. 13295. https://doi.org/10.1021/acs.langmuir.7b02465
- Ulyankina, A., Molodtsova, T., Gorshenkov, M., Leontyev, I., Zhigunov, D., Konstantinova, E., Lastovina, T., Tolasz, J., Henych, J., Licciardello, N., Cuniberti, G., and Smirnova, N., Photocatalytic degradation of ciprofloxacin in water at nano-ZnO prepared by pulse alternating current electrochemical synthesis, J. Water Process. Eng., 2021, vol. 40, p. 101809. https://doi.org/10.1016/j.jwpe.2020.101809
- Mediouni, N., Guillard, C., Dappozze, F., Khrouz, L., Parola, S., Colbeau-Justin, C., Amara, A.B.H., Rhaiem, H.B., Jaffrezic-Renault, N., and Namour, P., Impact of structural defects on the photocatalytic properties of ZnO, J. Hazard. Mater. Adv., 2022, vol. 6, p. 100081. https://doi.org/10.1016/j.hazadv.2022.100081
- Gonçalves, R.F., Longo, E., Marques, A.P.A., Silva, M.D.P., Cavalcante, L.S., Nogueira, I.C., Pinatti, I.M., Pereira, P.F.S., and Godinho, M.J., Structural investigation and photoluminescent properties of ZnWO4:Dy3+ nanocrystals, J. Mater. Sci. Mater. Electron., 2017, vol. 28, p. 15466. https://doi.org/10.1007/s10854-017-7434-0
- Wei, Y., Wang, L., and Chen, C., Yttrium doping enhances the photoelectrochemical water splitting performance of ZnO nanorod array films, J. Alloys Compd., 2022, vol. 896, p. 163144. https://doi.org/10.1016/j.jallcom.2021.163144
- Masoumi, Z., Tayebi, M., Kolaei, M., and Lee, B.-K., Improvement of surface light absorption of ZnO photoanode using a double heterojunction with α–Fe2O3/g–C3N4 composite to enhance photoelectrochemical water splitting, Appl. Surf. Sci., 2023, vol. 608, p. 154915. https://doi.org/10.1016/j.apsusc.2022.154915
- Li, P., Zhao, X., Jia, C.-j., Sun, H., Sun, L., Cheng, X., Liu, L., and Fan, W., ZnWO4/BiOI heterostructures with highly efficient visible light photocatalytic activity: the case of interface lattice and energy level match, J. Mater. Chem. A, 2013, vol. 1, p. 3421. https://doi.org/10.1039/C3TA00442B
- Hao, Y., Zhang, L., Zhang, Y., Zhao, L., and Zhang, B., Synthesis of pearl necklace-like ZnO–ZnWO4 heterojunctions with enhanced photocatalytic degradation of Rhodamine B, RSC Adv., 2017, vol. 7, p. 26179. https://doi.org/10.1039/C6RA28766B
- Savić, T.D., Validžić, I.L., Novaković, T.B., Vuković, Z.M., and Čomor, M.I., A Synergy of ZnO and ZnWO4 in Composite Nanostructures Deduced from Optical Properties and Photocatalysis, J. Clust. Sci., 2013, vol. 24, p. 679.https://doi.org/10.1007/s10876-013-0562-7
- Leeladevi, K., Arunpandian, M., Vinoth Kumar, J., Chellapandi, T., Mathumitha, G., Lee, J.-W., and Nagarajan, E.R., CoWO4 decorated ZnO nanocomposite: Efficient visible-light-activated photocatalyst for mitigation of noxious pollutants, Physica B Condens. Matter, 2022, vol. 626, p. 413493. https://doi.org/10.1016/j.physb.2021.413493
- Kurenkova, A.Y., Yakovleva, A.Y., Saraev, A.A., Gerasimov, E.Y., Kozlova, E.A., and Kaichev, V.V., Copper-Modified Titania-Based Photocatalysts for the Efficient Hydrogen Production under UV and Visible Light from Aqueous Solutions of Glycerol, Nanomaterials, 2022, vol. 12, p. 3106. https://doi.org/10.3390/nano12183106
- Sena, I.C., Sales, D.d.O., Andrade, T.S., Rodriguez, M., da Silva, A.C., Nogueira, F.G.E., Rodrigues, J.L., de Mesquita, J.P., and Pereira, M.C., Photoassisted chemical energy conversion into electricity using a sulfite‑iron photocatalytic fuel cell, J. Electroanal. Chem., 2021, vol. 881, p. 114940. https://doi.org/10.1016/j.jelechem.2020.114940
- He, L., Yang, Z., Gong, C., Liu, H., Zhong, F., Hu, F., Zhang, Y., Wang, G., and Zhang, B., The dual-function of photoelectrochemical glucose oxidation for sensor application and solar-to-electricity production, J. Electroanal. Chem., 2021, vol. 882, p. 114912. https://doi.org/10.1016/j.jelechem.2020.114912
- Yong, Z.-J., Lam, S.-M., Sin, J.-C., Zeng, H., Mohamed, A.R., and Jaffari, Z.H., Boosting sunlight-powered photocatalytic fuel cell with S-scheme Bi2WO6/ZnO nanorod array composite photoanode, Inorg. Chem. Commun., 2022, vol. 143, p. 109826. https://doi.org/10.1016/j.inoche.2022.109826
- Lam, S.-M., Sin, J.-C., Lin, H., Li, H., Lim, J.W., and Zeng, H., A Z-scheme WO3 loaded-hexagonal rod-like ZnO/Zn photocatalytic fuel cell for chemical energy recuperation from food wastewater treatment, Appl. Surf. Sci., 2020, vol. 514, p. 145945. https://doi.org/10.1016/j.apsusc.2020.145945
- Xie, S., Ouyang, K., and Shao, Y., A solar responsive photocatalytic fuel cell with a heterostructured ZnFe2O4/TiO2-NTs photoanode and an air-breathing cathode, Int. J. Hydrogen Energy, 2017, vol. 42, p. 29201. https://doi.org/10.1016/j.ijhydene.2017.10.059
Supplementary files






