State of thermophylic ichthyofauna in the water bodies of Arkhangelsk Oblast: Report 2. Biological characteristics of fish
- Authors: Novoselov A.P.1, Dvoryankin G.A.1
-
Affiliations:
- Laverov Federal Center for Integrated Arctic Research, Ural Branch, Russian Academy of Sciences
- Issue: Vol 17, No 5 (2024)
- Pages: 776-784
- Section: ИХТИОЛОГИЯ
- URL: https://bakhtiniada.ru/0320-9652/article/view/272439
- DOI: https://doi.org/10.31857/S0320965224050087
- EDN: https://elibrary.ru/XROXKV
- ID: 272439
Cite item
Full Text
Abstract
The biological characteristics of warm-water fish species living in water bodies of the Arkhangelsk region are presented. Changes in size and mass parameters, age and sex structures and reproductive ability of the Severodvinsk sterlet in the temporal aspect were revealed. It has been established that it has good growth rates, a reserve in replenishing the spawning stock and a stable state of the natural reproduction system. The biological parameters of blue bream and rudd, rare species of fish that live in the lakes of the Kenozersky National Park, as well as a number of reservoirs in the Arkhangelsk region, were obtained. The biological characteristics of species that appeared in the river basin are considered. Northern Dvina as a result of self-dispersal - white-eye and asp, as well as the nutrition and feeding relationships of white-eye with native fish species. The attention of specialists to these alien fish species is due to the need to develop an environmental forecast for the development of the situation with their numbers in the context of ongoing global warming.
Full Text
ВВЕДЕНИЕ
Известно, что структура каждой из популяций вида достаточно специфична. Она является видовым и популяционным свойством, отражающим характер взаимосвязей вида и его отдельных популяций со средой, и обладает известной стабильностью. В то же время, структура популяции непрерывно меняется в определенных пределах, приспосабливаясь к изменениям условий жизни. В конкретном выражении структура вида или отдельных его популяций в разных точках ареала представлена соотношением численности размерно-массовых и возрастных групп, характером и сроками наступления половой зрелости, а также соотношением полов (Северцов, 1941; Никольский, 1974).
Цель работы – изучить биологические характеристики теплолюбивых видов рыб в водоемах и водотоках Архангельской обл.: размерно-массовые показатели, особенности воспроизводства, возрастной состав популяций, питание. Состояние популяций теплолюбивых видов рыб в условиях Севера может выступать в качестве своеобразного биологического индикатора изменений состава северной ихтиофауны в условиях глобального потепления. Популяционные характеристики теплолюбивых видов осетровых (стерляди) и карповых (синца, красноперки, белоглазки, жереха) рыб могут служить в качестве фоновых при дальнейших климатических изменениях.
МАТЕРИАЛ И МЕТОДЫ ИССЛЕДОВАНИЯ
Материалом для работы послужили результаты исследований ихтиофауны Архангельской обл. за период с 1980-х годов до настоящего времени. Биологический анализ проводили на свежем материале по методике И.Ф. Правдина (1966). У пойманных рыб измеряли промысловую длину тела в см (от вершины рыла до конца чешуйного покрова), массу тела, визуально определяли пол и стадию зрелости гонад в баллах. Возраст рыб просмотрен по чешуе, которую отбирали из 2–3 рядов над боковой линией перед спинным плавником. Определение возраста и измерение радиусов годовых колец по переднему краю чешуи проводили с помощью бинокуляра МБС-9. Темпы линейного и массового роста рыб рассчитывали по традиционным методикам (Чугунова, 1959) с использованием методических указаний в работе (Мина, 1973). При этом определяли разницу между величиной последнего прироста тела рыбы и величиной прироста предыдущего сезона.
Питание рыб анализировали в соответствии с общепринятой методикой (Методическое…, 1974). Количественный состав пищи выражали в процентном отношении массы отдельных кормовых объектов к массе содержимого желудочно-кишечных трактов. Интенсивность питания рассчитывали в виде общих индексов наполнения желудочно-кишечных трактов и выражали в продецимиллях (‰0). В ходе рассмотрения пищевых (конкурентных) взаимоотношений чужеродных и аборигенных видов рыб анализировали степень пищевого сходства (СП) сравниваемых видов (Шорыгин, 1952), а также индекс перекрывания пищевых ниш (Сλ) (Horn, 1966). Индекс пищевого сходства рассчитывали как сумму наименьших величин из видового состава рациона сравниваемых рыб (рационы в %). При полном совпадении индекс равен 100%, при отсутствии совпадения 0%. Для определения степени перекрывания пищевых ниш разных видов рыб вычисляли индекс Хорна:
,
где xі и yі – значения отдельных компонентов в пищевых комках рыб, %.
РЕЗУЛЬТАТЫ И ИХ ОБСУЖДЕНИЕ
Стерлядь
Acipenser ruthenus L., 1758 – единственный вид осетровых рыб, распространенный реках Архангельской обл. и Республики Коми. Долгое время ее появление в р. Северная Двина связывали со строительством каналов (Догель, 1939; Иоганзен, 1946; Остроумов, 1954, 1955). В то же время, находка останков стерляди в отложениях бассейна р. Онега, датированных II–III тысячелетием до н.э., привела к предположению о ее естественном распространении в бассейнах рек Онега и Северная Двина (в последней стерлядь, в отличие от онежской, сохранилась до наших дней) (Никольский, 1943; Берг, 1945). В настоящее время стерлядь встречается в северодвинском бассейне в реках Сухона, Юг (с Лузой), Вычегда (с Сысолой), Baгe, Пинеге и самой р. Северная Двина. В целях расширения ареала и акклиматизации северодвинскую стерлядь неоднократно выпускали в реки Печора, Мезень, Онега (рис. 1) (Новоселов, Дворянкин, 2024).
Рис. 1. Распространение стерляди в бассейне р. Северная Двина (1) и пути ее интродукции на Европейском Севере (2).
По результатам проведенных исследований, размерно-массовый состав обобщенной выборки северодвинской стерляди был представлен особями с колебаниями минимальных и максимальных значений промысловой длины (АD) – от 26 до 72 см и массы от 100 до 3 500 г. При этом ее средняя длина составляла 41.6 см, средняя масса – 617.9 г. Следует отметить, что на разных участках реки стерлядь характеризовалась различными размерно-массовыми показателями (табл. 1).
Таблица 1. Пространственные изменения размерно-массовых показателей северодвинской стерляди (по: Кучина, 1967; Галушина, 1968; Новоселов, 2004)
Показатель | Верхняя Двина (n = 192) | Средняя Двина (n = 215) | Нижняя Двина (n = 80) | Среднее по бассейну (n = 487) |
Длина тела, см | 26.0–62.0 34.4 | 30.0–69.0 46.4 | 26.0–51.0 38.1 | 26.0–72.0 41.6 |
Масса тела, г | 100–1 000 437.6 | 200–3 500 749.4 | 150–3 000 534.8 | 100–3 500 617.9 |
Примечание. Над чертой – min–max, под чертой – среднее. n ‒ число экземпляров.
Наиболее крупную стерлядь, имевшую среднюю длину 46.4 см и массу 749.4 г, отлавливали на среднем участке Северной Двины в районе Двинского Березника. Стерлядь, выловленная на верхнем участке (район г. Котлас) и нижнем участке (район с. Казенщина), имела более низкие средние значения размерно-массовых параметров, составлявшие соответственно по длине 34.4 и 38.1 см, по массе – 437.6 и 534.8 г соответственно.
Возрастная структура. В ихтиологических пробах были отмечены особи стерляди 19 возрастных групп (от 2+ до 20+ лет включительно). В контрольных орудиях лова отсутствовали сеголетки (0+) и двухлетки (1+), а также рыбы старших возрастных групп (>20+ лет). Основу промыслового стада на верхнем и нижнем участках реки составляли рыбы в возрасте от 5+ до 8+ лет, на их долю приходилось 68.7 и 60.0% всей выборки соответственно. На среднем участке доминировали рыбы в возрасте от 8+ до 12+ лет (71.6% всех выловленных рыб) (рис. 2а).
Рис. 2. Возрастная структура (а) и соотношение стадий зрелости гонад в промысловом стаде (б) в период преднерестовых концентраций (май) стерляди р. Северная Двина. 1 – верховья, 2 – среднее течение, 3 – низовья.
Воспроизводительная способность. По литературным данным, естественные нерестилища стерляди располагаются на глубине 7–15 м с чистым каменистым и галечниково-песчаным грунтом. К сожалению, на вопрос о местах нереста северодвинской стерляди до сих пор нет окончательного ответа. Основная масса самцов (64%) впервые созревает в возрасте 3+ лет, самок (84%) – в возрасте 4+ лет. Нерест не ежегодный. Самцы, как правило, нерестятся через 2–3 года, самки через 4–5 лет. Сроки нереста – конец мая–начало июня при температуре воды от +6°С до +13°С. В преднерестовых скоплениях соотношение полов составляет ~1.0 : 1.0. В период миграции производители стерляди имеют половые продукты в различных стадий зрелости (рис. 2б).
В конце мая–начале июня >75% половозрелых рыб характеризуются уже готовыми к нересту гонадами, находящимися на IV, переходной IV–V и текучей V стадиях зрелости. Показатель индивидуальной абсолютной плодовитости северодвинской стерляди изменяется в значительных пределах – от 3.7 тыс. икринок до 97.6 тыс. икринок (в среднем для всего бассейна – 25.3 тыс. икринок). При этом на разных участках Северной Двины показатели абсолютной плодовитости имеют разные значения (рис. 3а). Анализ возрастного состава половозрелых самок стерляди свидетельствует об увеличении абсолютной плодовитости у рыб старших возрастных групп (рис. 3б).
Рис. 3. Пространственные (а) и возрастные (б) изменения абсолютной плодовитости стерляди р. Северная Двина. 1 – верховья, 2 – среднее течение, 3 – низовья.
Миграции. Массовый ход половозрелых рыб совпадает с пиком паводковых вод в р. Северная Двина. После нереста для стерляди характерен скат молоди в личиночном и мальковом возрасте. Согласно нашим наблюдениям, молодь стерляди не задерживается в средней части реки и совершает достаточно протяженные кормовые миграции как вверх, так и вниз по течению.
Питание. Анализ содержимого желудочно-кишечных трактов стерляди в русловой части р. Северная Двина свидетельствует о стенобионтном характере питания. Ее пищевой спектр в период исследований был достаточно узок и состоял всего из трех типов корма, включавших семь групп беспозвоночных и растений на уровне типов, классов, отрядов, семейств. В составе пищи северодвинской стерляди были отмечены членистоногие (Arthropoda), включавшие насекомых (Insecta), а также в незначительном количестве моллюски (Mollusca) и остатки растительной пищи (табл. 2).
Таблица 2. Сравнительный анализ общего характера питания стерляди (%) в разные годы (по: Новоселов и др., 2000)
Пищевые компоненты | Маловодный год | Полноводный 1998 год (n = 9) | Среднее (n = 39) | |
1997 г. (n = 17) | 1999 г. (n = 13) | |||
Mollusca | 0.2 | – | – | 0.1 |
Insecta | 98.9 | 99.4 | 100.0 | 99.4 |
Отряд Diptera | 91.8 | 88.0 | 6.6 | 71.0 |
Сем. Chironomidae | 91.8 | 87.9 | 5.1 | 70.7 |
Сем. Heleidae | – | – | 0.5 | 0.1 |
Сем. Simulliidae | – | – | 1.0 | 0.2 |
Отряд Trichoptera | 7.1 | 0.2 | 80.1 | 21.6 |
Отряд Ephemeroptera | – | 11.2 | 13.3 | 6.8 |
Растительность | 0.8 | 0.6 | – | 0.5 |
В количественном отношении, при анализе объединенной выборки по трем годам наблюдений, питание северодвинской стерляди почти полностью (на 99.4%) состояло из личинок насекомых. Они были представлены отрядами двукрылых Diptera (71.0), ручейников Trichoptera (21.6) и поденок Ephemeroptera (6.8%). Среди двукрылых доминировали личинки хирономид Chironomidae (70.7); личинки симуллиид Simulliidae (0.2) и мокрецов Heleidae (0.1%) были представлены единично. В осенний период анализируемых лет стерлядь в русловой части р. Северная Двина очень редко употребляла моллюсков (0.1) и растительность (0.5%) (Новоселов и др., 2000).
Промысел. В дореволюционный период стерлядь занимала заметное место в промысле на р. Северная Двина и ее среднегодовые уловы достигали ~100 ц (Якобсон, 1915). В 1930–1950-е годы быстрый рост промышленности привел ко все возраставшему антропогенному воздействию на всю речную сеть региона. Из-за развития целлюлозного производства и применения молевого сплава ухудшились гидрологический и гидрохимический режимы р. Северная Двина и ее притоков. В результате постоянного загрязнения сточными водами предприятий условия воспроизводства стерляди стали далеки от оптимальных, что не могло не сказаться на состоянии ее запасов. Так, в период с 1934 по 1950 гг. уловы стерляди снизились в 2 раза (Кузнецов, 1951), а с 1951 по 1985 гг. ее среднегодовой улов не превышал 36 ц. В последние десятилетия численность северодвинской стерляди стала расти, ее среднегодовой вылов в конце прошлого столетия составил 8.3 т (Бушуева и др., 1997). Необходимо также принять во внимание, что стерлядь является объектом интенсивного незаконного (и поэтому неучтенного) вылова, то есть ее фактические запасы, очевидно, выше, чем об этом дает представление существующая промысловая статистика.
Синец
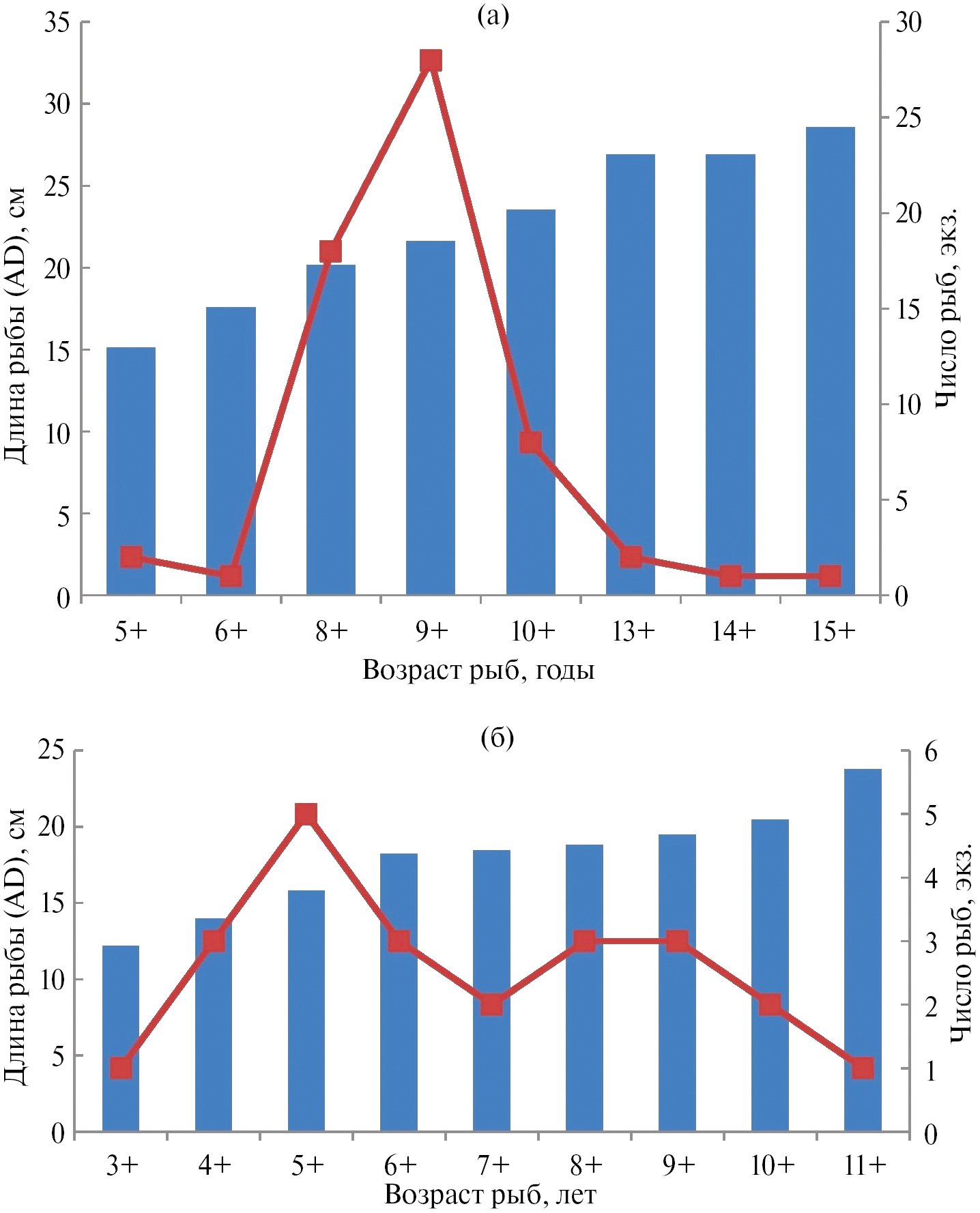
Abramis ballerus L., 1758 является редким для региона видом рыб. Наиболее многочисленная его популяция выявлена в оз. Кенозеро (Кенозерский национальный парк) на юго-западе Архангельской обл. В 2019 г. в ходе контрольного научного лова в Кенозере был выловлен и исследован 61 экз. синца. Кенозерский синец растет медленно, его средняя длина (AD) в выборке колебалась от 14 до 25 см, масса – от 32 до 230 г., ~70% улова составили половозрелые особи в возрасте 7–8 лет длиной 18–22 см и массой 100–150 г. Возрастной ряд исследованных рыб состоял из восьми групп – от 5+ до 15+ лет. В уловах преобладали особи в возрасте 8+ – 9+, на их долю приходилось ~75% всей выборки (рис. 4a).
Рис. 4. Размерно-возрастная характеристика синца (а) и красноперки (б) Кенозера из контрольных уловов в 2019 г. Сплошной линией обозначено число исследованных рыб, экз.
В Кенозере синец созревает в возрасте 5–6 лет при длине (AD) 16–18 см и массе 60–80 г. Основу нерестового стада кенозерского синца составляют рыбы в возрасте 7–8 лет. Соотношение самцов и самок ~1.5 : 1.0. Абсолютная плодовитость самок с возрастом увеличивается от 6 до 14 тыс. икринок (Дворянкин, 2016).
Синец считается промысловой, но малоценной рыбой из-за небольших размеров и невысоких вкусовых качеств. В Кенозере во время нереста в мае он в большом количестве попадает в сетные орудия лова. В ходе любительского рыболовства на территории Кенозерского национального парка вылавливают только половозрелых особей, неоднократно участвовавшие в нересте. Об относительно высокой и стабильной численности популяции этого вида в Кенозере свидетельствуют данные промысловой статистики за 2012–2019 гг. Ежегодные уловы синца в этом водоеме в течение последних шести лет достаточно велики и меняются незначительно. В среднем в Кенозере каждый год добывают 5–5.5 т представителей этого вида (в 2019 г. – 5.9 т). Доля синца в общей добыче рыбы достигает~2.4% (Дворянкин, 2020). Тенденция к увеличению роли синца в структуре рыбного населения наблюдается и в других водоемах северной и центральной части России, в частности, в одном из крупнейших рыбохозяйственных объектов р. Волги – Рыбинском водохранилище, где последние годы фиксируется увеличение урожайности его пополнения (Герасимов и др., 2013).
Красноперка
Scardinius erythrophthalmus L., 1758 встречается в юго-западной части Архангельской обл. в озерах Беломорско-Балтийского водораздела. В контрольных уловах в Чешкозере (Балтийский бассейн) встречались особи семи возрастных групп (от 3 до 9 лет). Средняя длина (AD) местной красноперки колебалась от 8.4 до 21 см, масса – от 11 до 250 г (Дворянкин, 2010). В Кенозере (Беломорский бассейн) красноперка имела более высокие размерно-массовые характеристики – в возрасте 3+ лет представители этого вида имели длину 12 см, массу – 43 г, в возрасте 5+ – ~16 см и 100 г соответственно. К 13 годам длина кенозерской красноперки увеличивается до 24 см, масса – до 325 г (Дворянкин, 2020) (рис. 4б).
В исследованных озерах красноперка созревает на третьем году жизни, нерестится в июне, когда вода нагревается до температуры 16°С. Красноперка Чешкозера созревает при длине 8–11 см и массе 9–11 г. Плодовитость ее возрастает от 900 икринок у рыб в возрасте 3+ до 40 тыс. икринок у особей в возрасте 9+. Соотношение самцов и самок равно 1: 1.5, в старших возрастных группах доля самок еще более возрастает. Абсолютная плодовитость кенозерской красноперки у впервые нерестящихся рыб значительно выше, чем у красноперки Чешкозера – 15–16 тыс. икринок.
В Кенозере красноперка не образует промысловых скоплений из-за своей малочисленности. Целенаправленная ее добыча не ведется и официальной статистикой промысла она не учитывается. В Чешкозере красноперка является второстепенным объектом удебного лова (Дворянкин, 2016). Редкая для региона и изолированная от основного ареала красноперка бассейна Белого моря требует дополнительных исследований для оценки биологического состояния ее популяций и ее систематического статуса. Ряд авторов высказывает сомнения в монотипности этого вида и рассматривает возможность деления красноперки на две географически обособленные группы популяций, заслуживающие видового ранга (Кожара и др., 2020). Дальнейшие генетические исследования помогут дать ответ на этот вопрос.
Белоглазка
Abramis sapa Pallas, 1814 – вид, саморасселившийся в Северодвинском бассейне. По результатам мониторинговых исследований в 2019 и 2020 гг., средняя длина (AD) в р. Северная Двина была 20.3 см, изменяясь в пределах 19.0–20.3 см; масса рыб варьировала от 114.0 до 221.0 г (в среднем 139.6 г). Возрастной ряд проанализированной выборки представляли возрастные группы от 7+ до 9+ лет, с преобладанием рыб в возрасте 7+ и 8+ лет (>85% от всей выборки) (рис. 5а). Средний возраст самцов достигал 7.4 года, самок – 7.9 лет, по обобщенной выборке – 7.7 лет. Репродуктивную часть популяции белоглазки в период проведения исследований представляли самцы и самки на II стадии зрелости гонад с двукратным преобладанием самок.
Рис. 5. Возрастная характеристика белоглазки (а) и жереха (б) в р. Северная Двина, 2019–2020 гг.
Анализ питания и пищевой конкуренции белоглазки с местными видами показал, что между ними сложились достаточно напряженные взаимоотношения. Индекс пищевого сходства (СП) белоглазки и сига был 62.8%, индекс перекрывания пищевых ниш (Сλ) – 89.9%, то есть они в основном питались сходными видами корма. В основе рациона обоих видов были водные личинки насекомых (70 и 58% у белоглазки и сига соответственно), доминировали личинки хирономид (53 и 50% соответственно). Оба вида рыб активно потребляли водную растительность, доля которой в пищевом спектре была 21 и 10% у белоглазки и сига соответственно. Моллюски присутствовали в желудочно-кишечных трактах обоих видов, но сиг потреблял их более интенсивно (18%) по сравнению с белоглазкой (1%). Такую же картину наблюдали и при сравнении характера питания белоглазки и леща (СП = 57.8%, Сλ = 84.1%). Это происходило в результате их питания личинками хирономид (53 и 86% соответственно) и моллюсками (1 и 10% соответственно).
Жерех
Aspius aspius L., 1758 – хищный представитель карповых рыб, саморасселившийся в р. Северная Двина вслед за белоглазкой. При проведении научного контрольного лова в низовье р. Северная Двина жерех был отмечен в сетных орудиях лова с размером ячеи 36 мм. Средняя длина (AD) исследованных особей достигала 37.9 см, масса – 947.8 г. Длина самцов изменялась от 30.7 до 40.0 см, самок – от 38.6 до 42.3 см (в среднем 35.4 и 40.7 см соответственно). Масса самцов варьировала от 495.0 до 1094.0 г (средняя масса 794.5 г), у самок – от 944.0 до 1258.0 г, (средняя масса – 1101.0 г). Число самцов и самок в выборке было равным. Половые продукты рыб находились на II стадии зрелости. Выборка была представлена возрастным рядом от 6+ до 10+ лет (отсутствовали особи в возрасте 7+ лет), 50% всех исследованных особей находилась в возрасте 9+ лет, 33.3% – 8+ и 16.7%– в возрасте 10+ лет (рис. 5б).
ЗАКЛЮЧЕНИЕ
Установлено, что некоторые виды рыб тепловодного комплекса (стерлядь, белоглазка, жерех, синец, красноперка), пережив периоды похолодания в неолите, создали устойчивые популяции в ряде северных водных объектов, распространившись мозаично в западной и центральной частях Архангельской обл. Полученные данные свидетельствуют о тенденциях к увеличению их численности. Биологические характеристики этих тепловодных видов, обитающих в северных водоемах и водотоках, также свидетельствуют о благополучном состоянии популяций. Результаты исследований позволяют прогнозировать расширение ареалов теплолюбивых видов рыб в северном направлении и усиление конкуренции с аборигенными видами.
У стерляди р. Северная Двина наибольшими крупными размерно-массовыми показателями характеризуются особи, обитающие на среднем участке реки и представляющие нерестовую часть стада на местах преднерестовых скоплений. Стерлядь, выловленная на верхнем участке (нагульная часть стада) и в нижнем течении реки (зимовальная часть стада) имела более низкие средние значения размеров и массы тела. Возрастной ряд стерляди достаточно велик и включает 19 возрастных групп. Основа нерестового стада представлена особями в возрасте от 8+ до 12+ лет (>70% всех выловленных рыб). По характеру питания северодвинская стерлядь относится к типичным бентофагам, ее пищевой спектр почти полностью состоит из водных личинок насекомых, среди которых доминируют хирономиды.
Обитающий в одноименном озере Кенозерского национального парка синец является тугорослой рыбой со средней длиной до 25 см, средней массой до 230 г, достигающий половой зрелости в возрасте 5–6 лет при длине тела 16–18 см и массе 60–80 г. Возрастной ряд достаточно широк – от 5+ до 15+ лет с преобладанием рыб 8+ и 9+ лет. Красноперка выявлена в двух озерах Беломорско-Балтийского водораздела на юго-западе Архангельской обл. Популяции этого вида различаются по своим биологическим параметрам. В оз. Кенозеро (Беломорский бассейн) красноперка имеет более высокие размерно-массовые характеристики и абсолютную плодовитость по сравнению с красноперкой из оз. Чешкозеро (Балтийский бассейн). Данные по биологическим особенностям белоглазки и жереха, появившихся в бассейне Северной Двины в результате саморасселения, находятся на стадии активного сбора и накопления. Анализ питания и пищевой конкуренции белоглазки с аборигенными промысловыми видами (сигом и лещом) показал, что между ними складываются достаточно напряженные взаимоотношения, поскольку они питаются сходным кормом – водными личинками насекомых (в основном хирономидами).
Необходимо продолжение мониторинга этих, пока еще редких теплолюбивых видов рыб с целью разработки экологического прогноза развития ситуации с их численностью в условиях продолжающегося глобального потепления.
ФИНАНСИРОВАНИЕ
Работа выполнена за счет средств целевой субсидии на выполнение государственного задания “Исследование закономерностей формирования пресноводной ихтиофауны Европейского северо-востока России в условиях меняющегося климата и воздействия антропогенных факторов” (№ 0332-2019-0001), № гос. регистрации – АААА-А19-119011690119-9 и “Изучение изменений в экосистемах бассейна р. Северная Двина и в водоемах особо охраняемых природных территорий (ООПТ) Архангельской обл. в условиях климатических сукцессий и воздействия антропогенных факторов” (№ регистрации 122011800593-4).
About the authors
A. P. Novoselov
Laverov Federal Center for Integrated Arctic Research, Ural Branch, Russian Academy of Sciences
Author for correspondence.
Email: alexander.novoselov@rambler.ru
Russian Federation, Arkhangelsk
G. A. Dvoryankin
Laverov Federal Center for Integrated Arctic Research, Ural Branch, Russian Academy of Sciences
Email: alexander.novoselov@rambler.ru
Russian Federation, Arkhangelsk
References
- Берг Л.С. 1945. О стерляди в бассейне Белого моря // Природа. № 6. С. 66.
- Бушуева Н.П., Андреев В.А., Ануфриев В.В. и др. 1998. Состояние и охрана окружающей природной среды Архангельской области. Архангельск. Б.и.
- Галушина Т.М. 1968. Некоторые результаты изучения северодвинской стерляди // Биологические ресурсы Белого моря и внутренних водоемов Карелии. Петрозаводск: Изд-во Петрозаводск. гос. ун-та. С. 14.
- Герасимов Ю.В., Стрельников А.С., Бражник С.Ю. 2013. Динамика и состояние запасов рыб Рыбинского водохранилища в период 1950–2010 гг. // Вопр. ихтиологии. Т. 53. № 4. С. 465.
- Дворянкин Г.А. 2016. Рыбы Кенозерского национального парка. Архангельск: Изд-во ООО “Партнер НП”.
- Дворянкин Г.А. 2020. Биология, экология и численность редких и охраняемых видов рыб национального парка “Кенозерский” // Глобальные проблемы Арктики и Антарктики: Матер. Всерос. конф. с междунар. участием, посвящ. 90-летию со дня рождения акад. Н.П. Лаверова. С. 431.
- Догель В.А. 1939. Влияние акклиматизации рыб на распространение рыбной эпизоотии // Изв. ВНИОРХ. Т. 21. С. 112.
- Захаров А.Б., Осипова Т.С., Крылова В.Д. 1997. Стерляди Европейского Северо-востока России, проблемы естественного и искусственного воспроизводства // Тез. докл. Первого Конгресса ихтиологов России. М.: Изд-во ВНИРО. С. 111.
- Захаров А.Б., Крылова В.Д., Осипова Т.С. 1998. Итоги и перспективы интродукции северодвинской стерляди Acipenser ruthenus в бассейн Печоры // Вопр. ихтиологии. Т. 38. № 6. С. 825.
- Иоганзен Б.Г. 1946. Стерлядь бассейна р. Оби // Тр. Томск. гос. ун-та. Т. 97. Томск. С. 67.
- Кожара А.В., Маврин А.С., Мироновский А.Н. 2020. Структура фенетического разнообразия и систематика красноперки Scardinius erythrophthalmus (Cypriniformes, Cyprinidae) водоемов и водотоков России и сопредельных стран // Биология внутр. вод. № 6. С. 538. https://doi.org/10.31857/S0320965220060121
- Кузнецов Н.М. 1951. Рыболовство в реках и озерах Архангельской области. Архангельск: ОГИЗ.
- Кучина Е.С. 1967. Общая характеристика ихтиофауны, стерлядь и лососевые р. Северной Двины // Изв. Коми фил. Всесоюз. геогр. об-ва. Сыктывкар. Т. 2. Вып. 1(11). С. 92.
- Методическое пособие по изучению питания и пищевых отношений рыб в естественных условиях. 1974. М.: Изд-во “Наука”.
- Мина М.В. 1973. Рост рыб (методы исследования в природных популяциях) // Рост животных. Зоология позвоночных: итоги науки и техники. М.: ВИНИТИ. Т. 4. С. 68.
- Никольский Г.В. 1943. К истории ихтиофауны бассейна Белого моря // Зоол. журн. Т. 22. Вып. 1. С. 27.
- Никольский Г.В. 1974. Экология рыб. М.: Высш. шк.
- Новоселов А.П. 2004. Стерлядь бассейна р. Северная Двина//Состояние популяций стерляди в водоемах России и пути их стабилизации. Москва. С. 160.
- Новоселов А.П., Дворянкин Г.А. 2024. Состояние тепловодной ихтиофауны в водных объектах Архангельской обл. Сообщение 1. Формирование и распространение // Биология внутр. вод. № 4. (в печати).
- Новоселов А.П., Студенов И.И., Фефилова Л.Ф. 2000. Характер питания северодвинской стерляди в русловой части реки в условиях разной водности // Осетровые на рубеже ХХI века. Астрахань: Изд-во КаспНИИРХ. С. 87.
- Остроумов Н.А. 1954. Биология северодвинской стерляди // Тез. докл. III экол. конф. Ч. II. Киев: Изд-во Киевский ун-т. С. 109.
- Остроумов Н.А. 1955. О состоянии запасов северодвинской стерляди // Рыб. хоз-во. № 5. С. 36.
- Правдин И.Ф. 1966. Руководство по изучению рыб. М.: Пищепромиздат.
- Северцов С.А. 1941. Динамика населения и приспособительная эволюция животных. М.: АН СССР.
- Чугунова Н.И. 1959. Руководство по изучению возраста и роста рыб. М.: Изд-во АН СССР.
- Шорыгин А.А. 1952. Питание и пищевые взаимоотношения рыб Каспийского моря. М.: Пищепромиздат.
- Якобсон Р.П. 1915. Рыболовство в Двинском бассейне в пределах Архангельской губернии // Матер. к познан. русск. рыболовства.
- Horn Н. 1966. Measurement of overlap in comparative ecological studies // Amer. Natur. № 100. P. 419.
Supplementary files







