Zooplankton condition in lakes of Belarus under climate change
- Authors: Vezhnavets V.V.1
-
Affiliations:
- Scientific and Practical Centre of the National Academy of Sciences of Belarus on Bioresources
- Issue: Vol 17, No 1 (2024)
- Pages: 167-178
- Section: Articles
- URL: https://bakhtiniada.ru/0320-9652/article/view/261540
- DOI: https://doi.org/10.31857/S0320965224010141
- EDN: https://elibrary.ru/yznnsd
- ID: 261540
Cite item
Full Text
Abstract
The analysis of long-term data on zooplankton of mesotrophic lakes of Belarus was carried out in order to determine ways to assess the impact of climate change. The possibilities of using the parameters of zooplankton communities to register climate change are shown. It is indicated that changes in the density of cold-loving species can be used to register the effects of temperature increase.
Keywords
Full Text
ВВЕДЕНИЕ
Внимание на повышение температуры поверхностных вод (тепловое загрязнение) обращали давно (Мордухай-Болтовской, 1975), когда начали использовать водные объекты в качестве водоемов-охладителей ТЭЦ и АЭ. Для прогноза изменений под влиянием климата и потепления полученные данные для водоемов-охладителей экстраполировали на водоемы с естественным температурным режимом (Безносов, Суздалева, 2004). Считается, что повышение температуры изменяет скорость биологического круговорота в водных экосистемах за счет интенсификации биологических процессов, что ведет к повышению их продуктивности и термическому эвтрофированию (Веригин, 1977). Под воздействием климатического фактора происходят значительные перестройки в экосистемах, изменение путей трансформации вещества и энергии, снижение качества воды и биоразнообразия (De Stasio et al., 1996).
Кроме сравнения подогреваемых и естественных зон водоемов, биологические последствия изменения температурного режима водоемов, обусловленные потеплением климата, изучают путем анализа многолетних данных о состоянии естественных водоемов (Фефилова и др. 2014).
Однако методология оценки влияния климата и потепления на малые континентальные водоемы в настоящее время находится на начальной стадии развития (Безносов, Суздалева, 2004).
Цель работы — проанализировать изменения характеристик зоопланктона и его массовых популяций по многолетним данным и оценить возможности их использования для определения влияния климатического фактора.
МАТЕРИАЛ И МЕТОДЫ ИССЛЕДОВАНИЯ
К настоящему времени имеются собственные материалы многолетних исследований зоопланктона для 13 озер Беларуси. На большинстве из них были периодические или неоднократные сборы с 1980‑х гг. Ежегодные наблюдения длительностью ≥10 лет проведены на шести озерах. В основу легли данные по озерам Южный Волос и Северный Волос, где периодические наблюдения были с 1973 г., а полноценные ежегодные сборы проводили с 1985 г. по настоящее время. В сравнительных целях использовали материалы по двум другим мезотрофным озерам Беларуси — оз. Ричи и оз. Сита. До 2010 г. эти озера исследовали трижды, после — ежегодно. Использовали только материалы, полученные в период последней декады июля и первой декады августа, когда поверхностная температура воды была максимальная.
Пробы зоопланктона собирали количественной замыкающейся планктонной сетью Джеди с ячеей фильтрующего конуса ~100 мкм. Все сборы проведены в летнюю межень на станциях с максимальной глубиной послойно через пять метров, от поверхности до дна.
Температуру и содержание кислорода измеряли термометром HANNA HI 76407/20 (Германия) с помощью глубоководного датчика, прозрачность — белым диском Секки. Камеральную обработку проводили под бинокулярным микроскопом в камере Богорова, уточнение морфологических особенностей — с помощью микроскопа Leica MD 1000 (Германия). Для таксономической идентификации животных использовали работы (Кутикова, 1970; Монченко, 1974; Определитель…, 2010) и др. Численность зоопланктона рассчитывали по средней величине в столбе воды, в экз./м3.
Изученные озера димиктические, с максимальной глубиной 28.5–51.9 м, летней термической стратификацией, разной насыщенностью кислородом гиполимниона и разной прозрачностью воды (табл. 1). Озера расположены в Браславском районе Витебской обл. Беларуси.
Таблица 1. Краткая характеристика изученных озер Беларуси (Иванов-Смоленский, 2013)
Озеро | Длина, км | Max. ширина, км | Max. глубина, м | Координаты | |
с.ш. | в.д. | ||||
Ю. Волос | 2.50 | 0.70 | 40.4 | 55.731373° | 27.137375° |
С. Волос | 3.56 | 2.50 | 29.2 | 55.756066° | 27.123986° |
Ричи | 6.27 | 3.73 | 51.9 | 55.701535° | 26.715046° |
Сита | 3.80 | 0.79 | 28.5 | 55.672466° | 26.795650° |
Примечание. Ю. Волос — Южный Волос, С. Волос — Северный Волос.
РЕЗУЛЬТАТЫ И ИХ ОБСУЖДЕНИЕ
Температура. Все изученные озера термически стратифицированы и в летнее время имеют три хорошо обособленные зоны в столбе воды: эпилимнион, металимнион и гиполимнион (рис. 1). В течение длительного времени наблюдений такое расслоение водной толщи не менялось.
Рис. 1. Вертикальное изменение температуры (t, °C) в исследованных озерах: а — Южный Волос (22.07.2020 г.); б — Северный Волос (21.07.2020 г.); в — Сита (23.07.2020 г.); г — Ричи (24.7.2020 г.).
Температура в поверхностном слое была чуть больше 20оС и фактически совпадала во всех исследованных озерах. В придонных слоях воды разница большая: минимальные значения (5.5°С) наблюдали в оз. Южный Волос, максимальные — 7.3°С у дна оз. Северный Волос. Как правило, более низкая температура была в более глубоких водоемах. В гиполимнионе эти величины также были стабильными и характерными для этих озер в течение продолжительного периода времени. Из особенностей распределения температуры следует указать, что металимнион четче выражен в более глубоких озерах.
Самые долговременные ряды изменения температуры получены для озер Южный Волос и Северный Волос. На рис. 2а показаны величины поверхностной температуры только для оз. Южный Волос, но учитывая, что озера соединяются между собой протокой, полученные данные можно экстраполировать и на оз. Северный Волос.
Рис. 2. Изменение поверхностной температуры (t, °C) в озерах Южный Волос (а), Ричи (б) и Сита (б) по многолетним данным.
За почти сорокалетний период изучения при межгодовых колебаниях самая низкая температура (17.5 °С) была отмечена в 1990 г., самая высокая (28.6 °С) – в 2010 г. Наблюдается тенденция повышения температуры. Если разбить исследуемый период на десятилетия и рассчитать для них среднюю температуру, то в оз. Волос с 1983 г. по 1993 г. она достигает 19.9 °C, с 1994 г. по 2004 г. — 22.3, с 2005 г. по 2014 г. — 22.8, с 2015 по 2022 г. — 22.4 °C. Таким образом, средняя величина температуры за время наблюдений поднялась приблизительно на два градуса, но в последние восемь лет происходило не только снижение темпов роста поверхностной температуры, но даже некоторое снижение, вероятнее всего, из-за межгодовых колебаний.
Температура в гиполимнионе летом в этих озерах оставалась почти постоянной, диапазон межгодовых изменений не превышал 2 °С.
Долговременные ряды по температуре получены для трансграничных озер Ричи и Сита (Латвия) ежегодно, начиная с 2008 г. Ход изменения температуры в течение этого периода многолетних наблюдений представлен на рис. 2б.
В оз. Ричи максимальные значения температуры у поверхности (25.8оС) были 28 июля 2010 г., минимальные (19.8оС) – 25 июля 2013 г., средние значения за этот период — 22.0оС. В оз. Сита максимальные значения температуры (26.2оС) в поверхностном слое были тоже в 2010 г., минимальные (19.9оС) – в 2013 г., при средних значениях 23.0оС. В обоих озерах изменения температуры у поверхности проходили синхронно. Согласно тренду за этот период исследований поверхностная температура при межгодовых колебаниях в обоих озерах оставалась фактически постоянной, даже с некоторым снижением, что объясняется высокой температурой в 2010 г., в начале этого периода наблюдений. Придонная температура была более стабильна — при изменениях от 4.1оС в 2012 г. до 6.4оС в 2015 г. Средние значения для изученного периода в оз. Сита были 5.4оС. Наблюдаемые колебания температуры в гиполимнионе оз. Ричи немного выше — 4.8–7.0оС при средней за этот период 6.2оС. Зависимость придонной температуры от поверхностной не выявлена, коэффициент корреляции был 0.15.
Таким образом, несмотря на колебания приповерхностной температуры, у дна димиктических озер температурный режим остается постоянным и не зависит от колебаний у поверхности. За 15 лет наблюдений (с 2008 г. по настоящее время) повышения температуры в изученных озерах не обнаружено. Единственное достоверное повышение температуры (>25оС) было зафиксировано летом 2010 г. Это повышение формировало тенденцию к постоянству и снижению температуры за этот период. Однако при увеличении сроков наблюдений обнаруживается явная тенденция возрастания поверхностной температуры, что подтверждается данными повышения средних значений поверхностной температуры за последние три десятилетия в озерах Беларуси (Кирвель, 2011; Логинов, 2012). Таким образом, только долговременные ряды наблюдений показывают изменения климата, которые проявляются через увеличение температуры в поверхностных слоях воды озер.
Содержание кислорода, в отличие от температуры в толще воды этих озер, значительно различалось (рис. 3). Эпилимнион всех озер был насыщен кислородом, и в пределах этой зоны изменение в концентрации зависело только от температуры и перемешивания.
Рис. 3. Вертикальное изменение концентрации кислорода (О2, мг/л) в толще воды изученных озер: а — Южный Волос; б — Северный Волос; в — Сита; г — Ричи.
В металимнионе наблюдали разные и даже противоположные изменения содержания кислорода. В озерах Южный Волос и Северный Волос в этой зоне фиксировали рост концентрации O2 или металимниальный максимум, в озерах Сита и Ричи, наоборот, — минимум. В гиполимнионе во всех озерах концентрация O2 ко дну снижалась, при этом в оз. Сита наблюдался дефицит O2, а в оз. Северный Волос — его отсутствие. При многолетних наблюдениях концентрация кислорода в гиполимнионе оставалась относительно постоянной в озерах Южный Волос и Ричи, в озерах Северный Волос и Сита изменения концентрации O2 в гиполимнионе были значительны. В оз. Северный Волос содержание O2 ежегодно снижалось до нуля.
В гиполимнионе оз. Сита в зависимости от года исследований складывались самые различные ситуации. Если учитывать, что концентрация кислорода<2 мг/л неблагоприятна для развития планктонных организмов и вычесть из всего столба воды глубины, где она встречается, то в оз. Сита имелись резкие межгодовые колебания так называемой “зоны нормальной жизнедеятельности” с достаточным количеством кислорода (рис. 4).
Рис. 4. Зона нормальной жизнедеятельности (ЗНЖ) в вертикальном столбе воды оз. Сита.
Ранее показано (Vezhnovets, 2018), что если соотнести эту зону с поверхностной температурой, то в годы ее повышения концентрация кислорода снижается и зона становится у́же, что создает неблагоприятные условия для всего зоопланктона и некоторых его популяций. Поскольку для холодолюбивой фауны высокая температура у поверхности — ограничивающий фактор, то в годы с высокой температурой их пространственная ниша резко сокращается.
Прозрачность воды может служить показателем уровня трофности водоема. Известно, что с ростом температуры прозрачность падает (Шабурова, Шевелева, 2014). В водоемах идут естественные процессы эвтрофирования, которые обычно сопровождаются снижением прозрачности. Повышение температуры через интенсификацию процессов продуцирования должно ускорять эвтрофикацию.
В исследованный период средняя величина глубины прозрачности в оз. Южный Волос была 6.7 м, в оз. Северный Волос — 6.0 м. Многолетние тренды показывали рост прозрачности в оз. Южный Волос и ее снижение в оз. Северный Волос. Следует отметить, что до 2005 г. величины прозрачности были близки в обоих озерах и нередко воды Северного плеса оказывались прозрачнее (рис. 5а). Начиная с 2006 г., прозрачность в оз. Южный Волос при ежегодных наблюдениях была всегда выше.
Рис. 5. Изменение глубины прозрачности (м) в озерах: а — Южный Волос (1, 2) и Северный Волос (3, 4); б — Ричи (1, 2) и Сита (3, 4). 1, 3 — изменение по годам; 2, 4 — линии тренда.
Многолетняя динамика величины прозрачности воды показывала постепенное снижение трофности в оз. Южный Волос и увеличение — в оз. Северный Волос.
В озерах Ричи и Сита прозрачность за меньший период наблюдений изменялась почти синхронно (рис. 5б). Более прозрачными были воды оз. Ричи при средней величине 5.5 м, в оз. Сита этот показатель был 4.7 м. Согласно линии тренда в оз. Ричи, прозрачность, как и в оз. Южный Волос, несколько повышается, а в оз. Сита остается постоянной.
Следует отметить, что аналогичные изменения прозрачности зарегистрированы и в других озерах Беларуси, где проводятся многолетние наблюдения. Это связывают с колонизацией озер инвазивным видом моллюсков Dreissena polymorpa (Pallas, 1771), которые относятся к активным фильтраторам и оказывают значительное трансформирующее воздействие на экосистемы, в первую очередь, ускоряя процессы осаждения органического вещества. Этот процесс назвали бентификация (Mayer et al., 2014). Считается, что вследствие бентификации уменьшается содержание органического вещества в толще воды и соответственно происходит рост прозрачности. В нашем случае увеличение прозрачности наблюдается в озерах с достаточным содержанием кислорода в глубоких слоях воды (озера Южный Волос и Ричи). В озерах, где постоянно или периодически наблюдается дефицит кислорода (озера Северный Волос и Сита), возможно, нет таких благоприятных условий для развития этого моллюска, и его фильтрационные возможности реализуются не в такой степени, чтобы повлиять на процессы трансформации органического вещества.
В целом для исследованных озер величина прозрачности не коррелирует с поверхностной температурой, лишь в 2010 г. с аномально высокой температурой некоторое понижение прозрачности наблюдалось почти во всех озерах и сохранялось в последующий 2011 г. (рис. 5).
Таксономическую структуру за длительный период можно проследить в озерах Северный и Южный Волос. Для примера, на рис. 6 показаны изменения в видовом богатстве пелагического зоо- планктона оз. Южный Волос. Среднее значение за период наблюдений (с 1985 по 2021 г) – 33 таксона, определенных до вида. Количество видов изменялось от 22 в 1996 г. до 42 в 1994 г. Самый большой размах колебаний видового богатства был в 90‑е годы XX в. Исходя из представленных данных (рис. 6), наблюдалась слабая тенденция к снижению числа видов в пелагиали. Такие изменения в сторону уменьшения количества видов могут свидетельствовать об идущих процессах эвтрофирования, однако, это противоречит данным по прозрачности. Детальный анализ показал, что в последние годы из коловраток перестали регистрироваться или начали встречаться реже следующие виды: Chromogaster ovalis (Bergental, 1892), Conochilloides natans (Seligo, 1900), Gastropus stylifer Imhof, 1891, Ploesoma truncatum (Levander, 1894).
Рис. 6. Изменение видового богатства в пелагическом зоопланктоне оз. Южный Волос при многолетних наблюдениях.
Несмотря на межгодовые колебания, видовой состав ракообразных оставался относительно постоянным и только “случайные” виды из литорали или прибрежья могли изменять межгодовые значения видового богатства. Из ранее встречавшихся видов дафний необходимо отметить выпадение в последние годы из состава фауны Daphnia longiremis Sars, 1862.
В целом анализ таксономической структуры пелагического планктона за более чем 35-летний период ежегодных наблюдений показал его значительную межгодовую вариабельность, которая происходила за счет всех составляющих зоопланктон групп. Самые значительные колебания в видовом составе происходили в 90‑е годы ХХ века. Видовое богатство пелагического планктона имеет тенденцию к снижению, в основном, за счет некоторых видов коловраток.
Общая численность зоопланктона по имеющимся данным в оз. Южный Волос постепенно снижалась (рис. 7а), о чем свидетельствует тренд изменения этого показателя, начиная с 1985 г. Средняя численность зоопланктона за этот промежуток времени была 48.3 тыс. экз./м3. Согласно анализируемым данным на примере этого озера можно наблюдать процесс деэвтрофикации, о причинах которого сказано выше.
Рис. 7. Изменение общей численности зоопланктона (N, тыс. экз./м3) по многолетним данным: а — оз. Южный Волос; б — оз. Северный Волос; в — оз. Ричи; г — оз. Сита.
Для соседнего оз. Северный Волос изменение численности пелагического зоопланктона за исследованный период приведено на рис. 7б. Средняя численность была 94.0 тыс. экз./м3. Минимальные значения этого показателя (48 тыс. экз./м3) отмечали в 1990 г., следующий минимум численности (60 тыс. экз./м3) был в 1997 г. В последние годы наблюдений также регистрировали значения ниже средней величины, особенно в 2010 г. и 2011 г. За это время зафиксировано четыре максимума плотности зоопланктона: в 1988 г. — 114 тыс. экз./м3, 1994 г. — 148, 2002 г. — 146, 2006 г. — 208. Линия тренда, в отличие от соседнего водоема, показывает постоянство общей численности в многолетнем плане.
По сравнению с оз. Южный Волос, численность была в два раза больше, а ее межгодовые колебания более значительны. Это свидетельствует о более высокой трофности оз. Северный Волос. Одна из возможных причин роста трофности оз. Северный Волос ‒ антропогенное воздействие двух рекреационных объектов, функционирующих на его берегу.
Таким образом, для обоих озер на фоне межгодовых колебаний не наблюдается резкого изменения численности. Несмотря на соединение протокой, озера Южный и Северный Волос значительно отличаются по величине общей численности зоопланктона. В годы с максимальными температурными условиями (2010 г.) только в оз. Северный Волос наблюдали снижение, которое сохранялось в четыре последующие годы.
Тренды снижения общей численности зоопланктона зарегистрированы и в озерах Ричи и Сита (рис. 7в, 7г). В этих озерах в самый теплый год было явное повышение численности с резким снижением в последующие годы наблюдений. Особенно ярко это проявилось в оз. Сита, где в 2011 г. численность снизилась в 3.6 раза.
Если предположить, что повышение температуры должно стимулировать развитие теплолюбивых видов и, наоборот, угнетать популяции холодолюбивых, целесообразно рассмотреть изменение численности их популяций во временном аспекте. Разделение по термопреферендуму сделано нами на основе вертикального расположения популяций в термически стратифицированном столбе воды (Вежновец, Журавлев, 2022). В эпилимнионе обитали теплолюбивые виды, в гиполимнионе — холодолюбивые, для некоторых популяций было сложно определить их отношение к температуре.
К теплолюбивым видам отнесены эпилимниальные копеподы Mesocyclops leuckarti (Claus, 1857), Thermocyclops oithonoides Sars, 1863 и Eudiaptomus graciloides (Lilljeborg, 1888). Однако, если для холодноводного Limnocalanus macrurus Sars,1863 известно, что он моноцикличен и имеет одну генерацию в году, то для перечисленных выше видов нет сведений о циклах развития, и для них возможны колебания плотности в течение года за счет размножения. Поэтому в качестве теплолюбивых видов мы рассматривали ветвистоусых ракообразных, которые размножаются партеногенетически в течение летнего периода, имеют достаточную численность и располагаются в теплых прогреваемых слоях эпилимниона. К таким видам в исследованных озерах относятся почти все виды рода Daphnia, некоторые представители рода Bosmina и Diaphanosoma brachyurum (Lievin, 1848). Наиболее распространена среди дафний Daphnia cucullata Sars, 1862 – легко определяемый вид, в течение лета постоянно встречающийся в пелагическом планктоне. Вместе с этим видом постоянно присутствует и Diaphanosoma brachyurum.
Многолетние данные по численности для этих видов в столбе воды наиболее изученного оз. Южный Волос приведены на рис. 8. Для дафний зарегистрированы значительные межгодовые незакономерные колебания плотности при средних значениях 1002 экз./м3. Линия тренда указывает на постепенное снижение их численности за промежуток времени >35 лет. У другого анализируемого теплолюбивого вида Diaphanosoma brachyurum на фоне значительных колебаний плотности наблюдается явный рост численности за этот же период. Такие разные тенденции динамики численности близких по спектру питания видов возможны за счет конкуренции. В 2010 г. при повышенной температуре численность обоих видов существенно не изменялась, что не позволяет использовать их популяции в качестве индикаторов при повышении температуры.
Рис. 8. Многолетняя динамика численности (N, экз./м3) Daphnia cucullata (1, 3) и Diaphanosoma brachyurum (2, 4) в оз. Южный Волос.
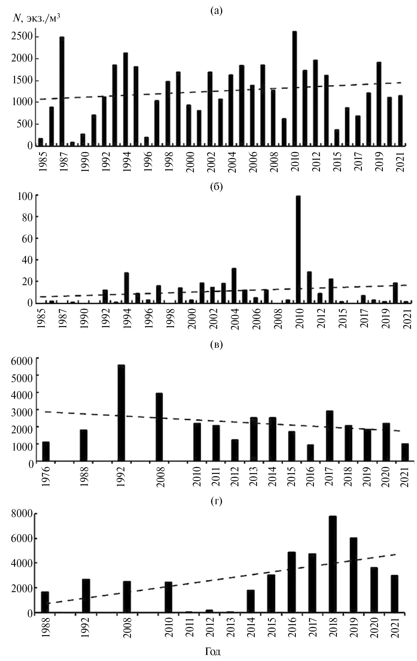
В качестве холодолюбивого вида приведен Limnocalanus macrurus. В оз. Южный Волос при почти ежегодных наблюдениях средняя численность его в столбе воды на станции с максимальной глубиной была 1265 экз./м3, основные значительные колебания плотности отмечены в 1980‑е годы — от 81 экз./м3 в 1985 г. до 2493 экз./м3 в 1987 г. (рис. 9а). Последние годы изменения менее значительны — от 619 в 2009 г. до 2616 экз./м3 в теплом 2010 г. В долговременном ряду наблюдался тренд роста численности. Реакции снижением численности на теплый 2010 г. у холодноводного L. macrurus в этом озере не обнаружено. Вероятно, это связано с высокой степенью устойчивости экосистемы оз. Южный Волос к такому воздействию. Температура у поверхности была максимальной и достигала 28.6 °С — абсолютный рекорд для этого озера за весь период наблюдений. Тем не менее, при такой температуре сохранился металимниальный рост концентрации кислорода, а придонные значения оставались на уровне многолетних — 4 мг/л, что позволяло L. macrurus успешно существовать в непрогреваемом гиполимнионе.
Рис. 9. Многолетняя динамика численности (N, экз./м3) Limnocalanus macrurus в озерах Южный Волос (а), Северный Волос (б), Ричи (в) и Сита (г).
В оз. Северный Волос средняя численность этого реликтового вида не превышала 11 экз./м3, в некоторые годы он не встречался в планктоне. Как и в оз. Южный Волос, в теплом 2010 г. наблюдали максимум численности (рис. 9б). Низкая плотность была вызвана отсутствием или малым количеством кислорода в гиполимнионе оз. Северный Волос, что не позволяло сформироваться здесь постоянной воспроизводимой популяции. По-видимому, живущие здесь животные — часть популяции из соседнего оз. Южный Волос, проникающие сюда во время размножения зимой и ранней весной со стоком из соседнего озера и частично сохраняющиеся в летнее время. Кроме того, при таких низких показателях численности сложно их интерпретировать и использовать для оценки влияния потепления.
В оз. Ричи при наблюдениях не обнаружено влияние теплого лета 2010 г. на популяцию реликта (рис. 9в) – средние значения численности 2221 экз./м3, межгодовые колебания — от 919 экз./м3 в 2016 г. до 5558 экз./м3 в 1992 г. Следует отметить высокое содержание кислорода в гиполимнионе озера (4–5 мг/л), что способствует нормальной жизнедеятельности этого рачка в этом водоеме. В целом, в последнее 10-летие популяция не подвержена резким колебаниям плотности, а наблюдаемая отрицательная тенденция может быть связана с высокой плотностью в 1992 г.
Несмотря на рост численности, согласно линии тренда (рис. 9г), только в оз. Сита повышенная температура в 2010 г. отразилась на популяции лимнокалянуса. Средняя численность за представленные годы достигала 2962 экз./м3 при изменениях от 4 экз./м3 в 2011 г. до 7761 экз./м3 в 2018 г. В год повышенной температуры численность популяции была 2483 экз./м3 и мало отличалась от среднегодового значения, но резко снизилась (до 3 экз./м3) в последующем 2011 г. Восстановление численности популяции длилось четыре года — с 2011 г. по 2014 г., когда плотность в столбе воды достигла 1776 экз./м3. Последующий рост численности до максимума в 2018 г. возможно шел за счет компенсационных механизмов. В последний год наблюдений (2021 г.) плотность популяции приблизилась к среднегодовой. Кроме высокой поверхностной температуры в 2010 г., зарегистрировано резкое снижение концентрации кислорода в гиполимнионе до его полного исчезновения. В результате, жизненное вертикальное пространство (пространственная ниша) для этого холодолюбивого стенотерма критически уменьшилось, что детально описано в работе (Vezhnovets, 2018). Ответной реакцией на такие условия обитания было дневное вертикальное перемещение в узкий слой воды на нижней границе термоклина. Здесь доступность лимнокалянуса для планктоядных рыб значительно возрастала, что и привело к предельно низкой плотности в последующем 2011 г. Кроме этого, при таких условиях могла резко вырасти и его естественная смертность из-за отсутствия кислорода или высокой температуры.
Анализ изменения численности при многолетних наблюдениях представителя холодолюбивой фауны показывает разные тенденции в разных озерах. Реакция на повышение температуры проявляется только в годы с экстремально высокими ее значениями, превышающими 25°С в летнюю межень, но не во всех озерах. Только в одном из изученных озер найдена хорошо выраженная реакция холодолюбивого вида на резкое потепление, схожая с влиянием повышения трофности при сочетании двух лимитирующих факторов — высокой температуры и низкого содержания кислорода в гиполимнионе. При этом наблюдаемое снижение численности было не в год экстремальных значений температуры, а в последующие годы.
ЗАКЛЮЧЕНИЕ
Одним из методов определения влияния потепления в естественных водоемах можно считать многолетние ряды наблюдения за сообществом зоопланктона. Однако при интерпретации результатов возникают трудности с установлением истинной причины наблюдающихся явлений. Из-за идущих процессов эвтрофирования, сезонных и межгодовых изменений бывает сложно выделить как фактор собственно потепление климата. Влияние потепления зачастую нивелируется адаптивными возможностями водных экосистем. Величина этих возможностей может превосходить величину воздействия и тогда эффект влияния не проявляется или остается в пределах сезонных или межгодовых изменений. Многолетние изменения таксономического разнообразия за >35-летний период ежегодных наблюдений показывают значительную межгодовую вариабельность и слабую тенденцию к снижению биоразнообразия за счет выпадения из фауны только некоторых видов коловраток. Холодолюбивые и теплолюбивые формы зоопланктона в разных озерах при одинаковых сроках синхронных наблюдений показали разные тенденции изменения плотности, что ограничивает их возможности для регистрации изменения климата или потепления. Изменения при повышении температуры схожи с эвтрофированием и проявляются через снижение концентрации кислорода в металимнионе и гиполимнионе. Однако, вместо ожидаемого роста численности зоопланктона в большинстве наблюдаемых озер идет ее понижение. Это несоответствие возможно объяснить только с позиций бентификации, причина которой — колонизация озер чужеродным моллюском Dreissena polymorpha. Наряду с постепенным ростом, когда температура остается в пределах границ толерантности для водных животных, в отдельные годы регистрируют значительное повышение ее в поверхностных слоях воды и достижение критических величин для водных животных средней полосы, что наблюдали в водоемах Европы в 2010 г., во время “теплой европейской волны” (Barriopedro et al., 2011). Опосредованное влияние на зоопланктон в димиктических озерах летом в такие годы может проявляться через активизацию процессов трансформации вещества и энергии в верхних слоях воды. Это приводит к интенсивному потреблению кислорода на окислительные процессы органического вещества в нижележащих горизонтах и дефициту кислорода, возникновению бескислородных зон. Создающиеся неблагоприятные условия ведут к уменьшению жизненного пространства для глубоководных пелагических видов зоопланктона и рыб (Vezhnovets, 2018). В этом случае для полноценного анализа получаемых данных необходимо иметь достаточно длинный ряд ежегодных наблюдений, охватывающий не только момент воздействия, но и предыдущий и последующий периоды. Последствия могут проявляться не только в этот год, но и после воздействия теплового фактора с лаг-эффектом в последующие годы наблюдений. При этом, наиболее уязвимы представители холодолюбивого комплекса, которые обитают в гиполимнионе и для которых существенно уменьшается пространство для нормальной жизнедеятельности или выживания из-за высокой температуры в верхних горизонтах и дефицита кислорода в гиполимнионе. Достоверно под влиянием потепления отмечено лишь резкое снижение численности холодолюбивого реликтового вида Limnocalanus macrurus в мезотрофном озере с недостатком кислорода в гиполимнионе.
ФИНАНСИРОВАНИЕ
Работа выполнена при поддержке грантов Белорусского республиканского фонда фундаментальных исследований Б21АРМ-006 и Б23МС-001.
Сокращения: ЗНЖ – зона нормальной жизнедеятельности, N – численность, t – температура, О2 – содержание кислорода.
About the authors
V. V. Vezhnavets
Scientific and Practical Centre of the National Academy of Sciences of Belarus on Bioresources
Author for correspondence.
Email: vezhn47@mail.ru
Belarus, Minsk
References
- Безносов В.Н., Суздалева А.Л. 2004. Возможные изменения водной биоты в период глобального потепления климата // Вод. ресурсы. Т. 31. № 4. С. 498.
- Вежновец В.В., Журавлев М.Д. 2022. Вертикальная структура зоопланктона в стратифицированных озерах Беларуси с разной степенью трофии // Биология внутр. вод. № 6. С. 725. https://doi.org/10.31857/S0320965222060195.
- Веригин Б.В. 1977. О явлении термического евтрофирования водоемов // Гидробиол. журн. Вып. 13(5). С. 98.
- Иванов-Смоленский В. Г. 2013. Все озера Беларуси: справочник. Минск: РИФТУР ПРИНТ.
- Кирвель П. И.2011. Рост температуры воды в озерах Беларуси в условиях изменения климата // Сахаровские чтения 2011 года: экологические проблемы XXI века: Матер. 11 й Междунар. науч. конф. (Минск, 19–20 мая 2011 г.). Минск. С. 451.
- Кутикова Л.А. 1970. Коловратки фауны СССР. Л.: Наука.
- Логинов В.Ф.2012. Радиационные факторы и доказательная база изменений климата. Минск: Бел. навука.
- Монченко В.И. 1974. Челюстноротые циклообразные. Циклопы (Cyclopidae) // Фауна Украины. Киев: Наук. думка. Т. 27. Вып. 3.
- Мордухай-Болтовской Ф.Д. 1975. Проблема влияния тепловых и атомных электростанций на гидробиологический режим водоемов // Тр. ИБВВ АН СССР. Вып. 27(30). С. 7.
- Определитель зоопланктона и зообентоса пресных вод Европейской России. 2010. Т. 1. Зоопланктон. М.: Тов-во науч. изданий КМК․
- Шабурова Н.И., Шевелева Н.Г. 2014. Сукцессия зоопланктона оз. Северное (северо-западное побережье Байкала) после подледного замора // Бюл. Москов. об-ва испыт. природы. Отд. биологии. Т. 119. Вып. 1. С. 28.
- Фефилова Е.Б., Батурина М.А., Кононова О.Н. и др. 2014. Многолетние изменения в сообществах гидробионтов в Харбейских озерах // Журн. Сибир. фед. ун-та. Биология. 3. С. 240.
- Barriopedro D. Fischer E.M., Luterbacher J. et al. 2011. The hot summer of 2010: redrawing the temperature record map of Europe. (Trigo, R.M. and García-Herrera, R.) // Science. V. 332. Iss. 6026. P. 220.
- De Stasio B.T., Hit D.K., Kleinhans J.M. et al. 1996. Potential effects of global climate change on small north-temperate lakes: Physics, fish, and plankton // Limnol., Oceanogr. V. 41. № 5. P. 1136. https://doi.org/10.4319/lo.1996.41.5.1136
- Mayer C.M. et al. 2014. Benthification of freshwater lakes: exotic mussels turning ecosystems upside down. Quagga and Zebra mussels // Biology, impact and control. Ch. 36. London: Taylor & Francis Group, Р. 575.
- Vezhnovets V.V. 2018. Change of Limnocalanus macrurus (Copepoda, Calanoida) Population State under High Summer Temperature // Hydrobiol. J. V. 54. № 3. P. 24.
Supplementary files











