Zooplankton of Volga River reservoirs: structure, abundance and dynamics
- Authors: Lazareva V.I.1, Zhdanova S.M.1, Sabitova R.Z.1, Sokolova E.A.1
-
Affiliations:
- Papanin Institute for Biology of Inland Waters, Russian Academy of Sciences
- Issue: Vol 17, No 1 (2024)
- Pages: 151-166
- Section: Articles
- URL: https://bakhtiniada.ru/0320-9652/article/view/261539
- DOI: https://doi.org/10.31857/S0320965224010136
- EDN: https://elibrary.ru/yznsoe
- ID: 261539
Cite item
Full Text
Abstract
The taxonomic structure and spatial distribution of the late-summer zooplankton in the Volga River from the upper Ivankovo reservoir to Volga Delta near Astrakhan during the period 2020–2021 were studied. Zooplankton biomass in the most of the Volga reservoirs was dominated by cladoceran Daphnia galeata and copepod Mesocyclops leuckarti (up to 45–84%). However different dominant species were observed in the Volgograd reservoir. Cladocerans Chydorus sphaericus and Bosmina cf. longispina formed there up to 43% of the total zooplankton biomass. Rotifers and Ponto-Caspian copepod Heteroscope caspian are dominated in the Volga River below the dam of the Volzhskaya hydropower plant (56% and 18% of the total zooplankton biomass respectively). Among the invasive species, most abundant are East Asian copepod Thermocyclops taihokuensis (up to 230 thsd. ind./m3 and locally >90% of the total biomass) and North American copepod Acanthocyclops americanus (up to 86 thsd. ind./m3 and >35% of the total biomass). The maximum abundance of the zooplankton (0.8–1.6 g/m3) was observed in the Upper Volga reservoirs while the minimum abundance (0.1–0.2 g/m3) – in the Lower Volga. The maximum abundance of zooplankton (0.8–3.3 g/m3) was recorded in the mouth areas of the reservoir tributaries, while the minimum abundance (0.1–1.4 g/m3) – in the pelagic zone of the reservoirs. A decrease in the zooplankton community biomass from Upper to Lower Volga was observed in all biotopes. A negative correlation between the community abundance and daily water inflow into the reservoirs and a positive correlation between the community abundance and water temperature were revealed. Long-term variations in zooplankton biomass and their relationship with water body trophic state, thermal and oxygen regimes were discussed.
Keywords
Full Text
ВВЕДЕНИЕ
Водохранилища р. Волги отличаются высокой динамичностью состава и структуры зоопланктона (Структура…, 2018; Lazareva et al., 2014; Shurganova et al., 2019). Каскад волжских водохранилищ с 1960‑х годов служит транзитным коридором для расселения северных видов на юг, а южных — на север, в том числе чужеродных форм (Мордухай-Болтовской, Дзюбан, 1976; Lazareva, 2019; Slyn’ko et al., 2002). Разнообразие биотопов, различия морфометрии водохранилищ р. Волги и вариации их гидродинамического режима способствуют неравномерному распределению планктона по акватории (Волга…, 1978; Шурганова и др., 2017; Структура…, 2018). Изменчивость термического режима, объема притока вод и скорости водообмена определяют существенные межгодовые колебания обилия зоопланктона в водоемах волжского каскада (Волга…, 1978; Структура…, 2018; Lazareva et al., 2014; Shurganova et al., 2019).
Изучение формирования и динамики биотических сообществ, в том числе зоопланктона, в новых крупных техногенных экосистемах началось в 1950‑х годах после заполнения первых водохранилищ (Рыбинское…, 1972; Волгоградское…, 1977; Иваньковское…, 1978; Куйбышевское…, 1983). Анализ результатов мониторинга зоопланктона р. Волги и отдельных водохранилищ ее каскада представлен в обзорных работах (Волга …, 1978; Структура…, 2018; Mineeva et al., 2022). Распределение и структура зоопланктона, значение в сообществе видов-вселенцев в р. Волге в последнее десятилетие обобщено в работах (Лазарева и др., 2018а, 2022; Lazareva, 2019).
Цель настоящей работы — анализ структуры, обилия зоопланктона каскада волжских водохранилищ и не зарегулированного участка Нижней Волги по данным 2020–2021 гг., оценка роли видов-вселенцев, а также межгодовой вариабельности биомассы сообщества в последнее десятилетие.
МАТЕРИАЛ И МЕТОДЫ ИССЛЕДОВАНИЯ
На р. Волге между городами Тверь и Волгоград расположены восемь водохранилищ, созданных в период с конца 1930‑х до начала 1980‑х годов (табл. 1). Иваньковское, Угличское и Рыбинское вдхр. относятся к региону Верхней Волги, Горьковское, Чебоксарское и Куйбышевское — к Средней Волге, Саратовское и Волгоградское, а также незарегулированный участок реки ниже г. Волгограда — к Нижней Волге (Волга…, 1978). Наибольшую площадь (>4000 км2) водного зеркала и минимальную скорость водообмена (коэффициент условного водообмена (К) <4 год-1) имеют Куйбышевское и Рыбинское вдхр., характеризующиеся большими озеровидными плесами. Максимальная скорость водообмена (К >19 год-1) характерна для водохранилищ долинного типа Чебоксарского и Саратовского, сохраняющих форму медленно текущей реки. Средняя глубина водоемов увеличивается вниз по течению р. Волги с 3.4 до 10 м (табл. 1). Максимальная глубина (30–40 м) отмечена на затопленном русле р. Волги в Куйбышевском, Саратовском и Волгоградском водохранилищах (Волга…, 1978). Глубина в точках отбора проб варьировала в пределах 1.5–5 м в прибрежье и 5–29 м в пелагиали водохранилищ.
Таблица 1. Характеристика водохранилищ р. Волги
Водохранилище | Год заполнения | S, км2 | H, м | К, год-1 | П, м3/с | М, мг/л | Твод, °C |
Данные 30.07–12.09.2021 г. | |||||||
И | 1937 | 327 | 3.4 | 10.6 | – | 199 ± 4 | 24.4 ± 0.6 |
У | 1939–1943 | 249 | 5.0 | 10.1 | 90 | 194 ± 5 | 23.1 ± 0.2 |
Р | 1940–1949 | 4550 | 5.6 | 1.9 | 310 | 139 ± 5 | 22.1 ± 0.1 |
Г | 1955–1957 | 1591 | 5.5 | 6.1 | 1190 | 127 ± 2 | 20.9 ± 0.2 |
Ч | 1981 | 1270 | 4.7 | 20.9 | 1780 | 227 ± 19 | 20.9 ± 0.2 |
К | 1955–1957 | 6150 | 9.3 | 4.2 | 4360 | 250 ± 3 | 20.2 ± 0.2 |
С | 1967–1968 | 1831 | 7.0 | 19.1 | 5400 | 226 ± 2 | 19.3 ± 0.3 |
В | 1958–1960 | 3117 | 10.0 | 8.0 | 5290 | 220 ± 1 | 18.8 ± 0.4 |
Примечание. Здесь и в табл. 2, 4, 5: И — Иваньковское, У — Угличское, Р — Рыбинское, Г — Горьковское, Ч — Чебоксарское, К — Куйбышевское, С — Саратовское, В — Волгоградское водохранилища, НВ — незарегулированный участок р. Волги ниже г. Волгограда. Площадь зеркала (S), средняя глубина (H) и коэффициент условного водообмена (К) даны по: (Литвинов, 2000). Минерализация воды (М) по электропроводности и температура воды (Твод) приведены по замерам в сроки исследования; приток воды (П) указан по данным информера РусГидро (Изменения..., 2023), “–” – отсутствие данных.
Гидрофизические характеристики. В период работ наблюдали очень низкое (<350 м3/с) поступление речных вод в водоемы Верхней Волги, умеренное (1100–1800 м3/с) – в Горьковское и Чебоксарское вдхр. и высокое (>4000 м3/с) в остальные водоемы (табл. 1). Последнее связано с большим объемом вод (2550 м3/с), поступавших в Куйбышевское вдхр. из р. Камы (Изменения..., 2023). Наполнение водохранилищ (исключая Рыбинское) в период исследований было близко к нормальному проектному уровню, поэтому вода, поступающая в водоемы ниже Рыбинской ГЭС, транзитом пропускалась в Каспий. На участках основного русла р. Волги ниже устья р. Камы формировался промывной режим, не способствовавший развитию озерных форм планктона.
В период исследований концентрацию растворенного в воде кислорода, электропроводность и температуру воды измеряли портативным датчиком YSI ProODO (YSI, Inc., USA) от поверхности до дна с интервалом 1 м, в работе указаны средние значения для столба воды. Минерализацию вод р. Волги принимали по электропроводности согласно данным датчика YSI ProODO, при расчете вручную использовали коэффициент 0.75.
Минимальную минерализацию воды (<150 мг/л) наблюдали в Рыбинском и Горьковском водохранилищах, питающихся в основном водами таежных рек (табл. 1). Содержание солей резко возрастало (>220 мг/л) в Чебоксарском вдхр. из-за поступления вод с повышенной минерализацией (>400 мг/л) из правобережных притоков (реки Ока и Сура). Ниже плотины Чебоксарской ГЭС средняя минерализация волжской воды варьировала в пределах 220–250 мг/л, в устьевых областях некоторых притоков (реки Свияга и Курдюм) она возрастала до 300–600 мг/л.
Прогрев вод водоемов Верхней Волги в июле и начале августа был высоким (22–24°C), близким к максимальному для сезона (табл. 1). Похолодание до 11–17°C во второй половине августа привело к значительному снижению прогрева водоемов Средней и Нижней Волги. В Саратовском и Волгоградском водохранилищах в начале сентября температура воды опустилась ниже 20°C. В водоемах Верхней Волги при высокой температуре и минимальном поступлении свежей речной воды отмечали застойные явления с дефицитом растворенного в воде кислорода (O2). В Иваньковском вдхр. содержание O2 снижалось до 3.5 мг/л (<45% насыщения) в слое 0.5 м над дном на 25% станций. В Угличском вдхр. наблюдали 2.3–4.5 мг/л (25–50% насыщения) в слое 2–7 м над дном на 56% станций, в Рыбинском — до 0.9–4 мг/л (10–45%) в слое 1–6 м над дном на 25% станций. Напротив, в р. Волге ниже Рыбинской ГЭС концентрация O2, как правило, была не менее 6–7 мг/л (>70% насыщения), что не ограничивало развитие планктона.
Сбор и анализ зоопланктона. С 30 июля по 12 сентября 2021 г. комплексной экспедицией Института биологии внутренних вод РАН обследованы 110 станций в пелагиали, 14 в литорали и 24 в устьевых областях притоков (до 5 км выше устьевого створа) всех восьми волжских водохранилищ. С 3 по 6 сентября 2020 г. исследованы 17 пелагических станций незарегулированного участка р. Волги от г. Волгограда до дельты у г. Астрахань. Расположение и описание основных точек отбора проб приведено в работе (Лазарева и др., 2018б). При сравнительном анализе данных использованы материалы предшествующих экспедиций по р. Волге и отдельным водохранилищам с 2010 г., частично опубликованные в работах (Лазарева, 2010; Лазарева и др., 2018а; Lazareva et al., 2014), с дополнениями за последующие годы (2022 г).
Пробы зоопланктона отбирали малой сетью Джеди (диаметр входа 12 см, сито с ячеей 74 мкм) тотально от дна до поверхности воды. Весь зоопланктон фиксировали 4%-ным формалином. Объем профильтрованной воды определяли по формуле цилиндра с основанием равным площади входа сети и высотой равной расстоянию ее хода в толще воды.
В лаборатории пробы зоопланктона просматривали в камере Богорова под микроскопами StereoDiscovery v. 12 (Carl Zeiss, Jena) и ADF U300 (ADF, China). Состав видов идентифицировали по работам (Кутикова, 1970; Боруцкий и др., 1991; Степаньянц и др., 2015; Wilke et al., 2018; Коровчинский и др., 2021).
В пробах определяли численность (экз./м3) и биомассу (г/м3 сырой массы) каждого вида, их суммарные значения для трех таксономических групп (Rotifera, Cladocera, Copepoda), также учитывали обилие меропланктона (Dreissena veliger). Биомассу оценивали по формулам связи индивидуальной массы с длиной тела животных (Ruttner-Kolisko, 1977; Балушкина, Винберг, 1979). Численность видов подсчитывали с учетом науплиальных и копеподитных стадий развития Copepoda (Лазарева, 2010). Рассчитывали суммарные численность и биомассу всего зоопланктона. Доминантные виды выделяли по их относительной биомассе (>5% общей биомассы зоопланктона).
Структура зоопланктонного сообщества водохранилищ исследована с помощью кластерного анализа, проведенного методом одиночного присоединения. В качестве меры различия доминантных комплексов использовано нормированное эвклидово расстояние. Индекс сходства структуры доминантных комплексов вычисляли по формуле Чекановского–Съеренсена в форме “b” (Песенко, 1982)
Корреляционный анализ связи между биомассой зоопланктона, притоком вод и температурами воды и воздуха проводили с помощью параметрического коэффициента Пирсона. Для расчетов использовали пакет статистических программ STATISTICA for Windows v. 12.5 (StatSoft Russia).
РЕЗУЛЬТАТЫ ИССЛЕДОВАНИЯ
Доминанты и структура сообщества. В пелагиали водохранилищ в августе основную часть биомассы (70–90%) формировали 16 видов зоопланктона, преобладали ракообразные (12 видов) (табл. 2). В каждом водоеме доминировали 3–7 видов, наиболее высокий уровень доминирования зарегистрирован в Иваньковском, Угличском и Чебоксарском водохранилищах. Здесь кладоцера Daphnia galeata Sars, 1863 образовывала 56–69% общей биомассы зоопланктона. Этот вид и копепода Mesocyclops leuckarti (Claus, 1857) были главными доминантами (в сумме 45–84% биомассы) в большинстве водохранилищ р. Волги. Только в Волгоградском водохранилище ведущее значение в структуре сообщества (в сумме 43% биомассы) переходило к Chydorus sphaericus (Müller, 1776) и Bosmina cf. longispina Leydig, 1860. На незарегулированном участке реки ниже плотины Волжской ГЭС преобладали коловратки (56%) и понто-каспийская копепода Heterocope caspia Sars, 1897 (18%). Наборы второстепенных доминантов (5–25% биомассы) от водоема к водоему заметно различались. Среди них чаще других отмечали гибридную кладоцеру Bythotrephes brevimanus × B. cederstroemii (Горьковское, Чебоксарское и Куйбышевское водохранилища) и чужеродную копеподу Acanthocyclops americanus (Marsh, 1893), преимущественно форму A. spinosus (Чебоксарское, Куйбышевское и Волгоградское водохранилища).
Таблица 2. Доминантные (>5% B) виды летнего зоопланктона пелагиали водохранилищ р. Волги
Таксон | Водохранилище | |||||||||||||||||
И | У | Р | Г | Ч | К | С | В | НВ | ||||||||||
N | %В | N | %В | N | %В | N | %В | N | %В | N | %В | N | %В | N | %В | N | %В | |
Crustacea |
|
|
|
|
|
|
|
|
|
|
|
|
|
|
|
|
|
|
Daphnia galeata | 1.50 | 59 | 6.82 | 69 | 3.94 | 29 | 0.67 | 29 | 3.18 | 56 | 0.32 | 24 | 0.29 | 11 | 0.18 | 6 | 0 | 0 |
Mesocyclops leuckarti | 17.5 | 7 | 22.5 | 15 | 36.6 | 16 | 24.2 | 22 | 7.43 | 9 | 13.1 | 33 | 7.92 | 40 | 5.34 | 17 | 0.18 | – |
Daphnia cucullata | 0.65 | 10 | 0 | 0 | 0 | 0 | 0 | 0 | 0.02 | – | 0 | 0 | 0 | 0 | 0 | 0 | 0 | 0 |
Thermocyclops crassus | 4.65 | 5 | 5.34 | – | 0.68 | – | 0.52 | – | 0.67 | – | 0.35 | – | 0.18 | – | 0.22 | – | 0 | 0 |
Leptodora kindtii | 0.03 | – | 0.14 | 6 | 0.05 | – | 0.03 | – | 0 | – | 0 | 0 | 0 | 0 | 0 | 0 | 0 | 0 |
Limnosida frontosa | 0.02 | – | 0 | 0 | 0.19 | 25 | 0.04 | – | 0.15 | – | 0 | 0 | 0 | 0 | 0 | 0 | 0 | 0 |
Eudiaptomus gracilis | 0 | – | 0.50 | – | 1.58 | 7 | 0.53 | – | 0.15 | – | 0.21 | – | 0.04 | – | 0.02 | – | 0 | 0 |
Chydorus sphaericus | 0.22 | – | 0 | 0 | 0.19 | – | 4.40 | 9 | 0.36 | – | 0.67 | – | 3.59 | 19 | 5.55 | 24 | 0 | 0 |
Bosmina cf. longispina | 0 | – | 0 | 0 | 0 | – | 0.23 | 6 | 0.03 | – |
| – | 0.02 | – | 1.41 | 19 | 0.01 | – |
Bithotrephes brevimanus × B. cederstroemii | 0.03 | – | 0.09 | – | 0.04 | – | 0.01 | 6 | 0.01 | 5 | 0.01 | 9 | 0 | 0 | 0.01 | – | 0 | 0 |
Acanthocyclops americanus | 0.09 | – | 0 | 0 | 0 | 0 | 0 | 0 | 4.79 | 13 | 2.42 | 7 | 0.13 | – | 2.72 | 13 | 0.13 | – |
Heterocope caspia | 0 | 0 | 0 | 0 | 0 | 0 | 0 | 0 | 0 | 0 | 1.57 | 5 | 0 | 0 | 0 | 0 | 0.65 | 18 |
Rotifera |
|
|
|
|
|
|
|
|
|
|
|
|
|
|
|
|
|
|
Asplanchna herricki | 0 | 0 | 0 | 0 | 0.02 | 5 | 0 | 0 | 0 | 0 | 0 | 0 | 0 | 0 | 0 | 0 | 0 | 0 |
Euchlanis dilatata f. lucksiana | 0 | 0 | 0.05 | – | 1.10 | – | 0 | 0 | 0 | 0 | 7.21 | 5 | 0 | 0 | 0 | 0 | 0 | 0 |
Synchaeta pectinata | 16.4 | – | 1.47 | – | 0.16 | – | 0 | 0 | 0 | 0 | 0 | 0 | 0 | 0 | 0 | 0 | 21.2 | 39 |
Brachionus calyciflorus | 0 | 0 | 0 | 0 | 0 | 0 | 0 | 0 | 0 | 0 | 0 | 0 | 0 | 0 | 0 | 0 | 5.2 | 17 |
Примечание. Здесь и в табл. 3: N — медиана численности (тыс. экз./м3), %В — вклад вида в общую биомассу зоопланктона (%), “–” вид не входит в число доминантов. Жирным шрифтом выделены доминантные виды каждого участка р. Волги.
В устьевых областях притоков и на мелководьях водохранилищ в состав доминантов входили 11 видов, среди них отмечены в основном (>50%) те же виды, что и в пелагиали (табл. 3). В водоемах Верхней Волги главными доминантами в указанных биотопах были Daphnia galeata и Mesocyclops leuckarti (в сумме 26% биомассы). В ряде устьевых областей притоков, особенно в реках Себла и Большой Юг, высокой численности (209–755 тыс. экз./м3) достигала южная коловратка Brachionus diversicornis (Daday, 1883). Ее вклад в биомассу зоопланктона был в среднем 12%, локально превышал 40% (>8 г/м3).
Таблица 3. Доминантные (>5% B) виды летнего зоопланктона мелководий и устьевых областей притоков водохранилищ р. Волги
Таксон | Участок | |||||
Верхняя Волга | Средняя Волга | Нижняя Волга | ||||
N | %В | N | %В | N | %В | |
Crustacea |
|
|
|
|
|
|
Daphnia galeata | 3.05 | 15 | 5.01 | 20 | 0.47 | 7 |
Mesocyclops leuckarti | 71.7 | 11 | 19.6 | – | 20.4 | 21 |
Daphnia cucullata | 7.29 | 8 | 1.92 | 8 | 3.77 | 14 |
Diaphanosoma orghidani | 5.30 | 7 | 0.04 | – | 0.04 | – |
Thermocyclops crassus | 20.0 | 6 | 0.69 | – | 3.78 | – |
Diaphanosoma brachyurum | 1.82 | 5 | 0 | 0 | 0 | – |
Chydorus sphaericus | 3.66 | – | 50.3 | 35 | 14.8 | 18 |
Thermocyclops taihokuensis | 0 | 0 | 29.1 | 18 | 1.25 | – |
Acanthocyclops americanus | 0 | 0 | 4.33 | – | 6.05 | 8 |
Rotifera |
|
|
|
|
|
|
Brachionus diversicornis | 36.4 | 12 | 0.2 | – | 0 | 0 |
Asplanchna priodonta | 1.37 | 7 | 0 | 0 | 0 | 0 |
Примечание. Верхняя Волга: Иваньковское, Угличское и Рыбинское водохранилища; Средняя Волга: Горьковское, Чебоксарское и Куйбышевское водохранилища; Нижняя Волга: Саратовское, Волгоградское и незарегулированный участок р. Волги ниже г. Волгограда.
В водохранилищах Средней и Нижней Волги доминантный комплекс сообщества устьевых областей притоков формировали преимущественно ракообразные. В Средней Волге преобладали (в сумме >70% биомассы) Daphnia galeata и Chydorus sphaericus, ниже устья р. Сура к доминантам относился недавний вселенец Thermocyclops taihokuensis Harada, 1931. В устьях притоков водохранилищ Нижней Волги доминировали (в сумме >50%) Mesocyclops leuckarti, Chydorus sphaericus и Daphnia cucullata Sars, 1862. Последний вид был характерен (в среднем 8–14% биомассы) для большинства притоков всех водохранилищ р. Волги. Локально в притоках Рыбинского вдхр. (реки Себла, Кесьма и Сить) на расстоянии 1–5 км от устьевого створа D. cucullata формировала биомассу до 2 г/м3 или 20–50% общей биомассы зоопланктона.
Исключением была р. Ока — крупнейший правобережный приток р. Волги, впадающий в Чебоксарское вдхр. В ее устьевой области в 2021 г. по численности (95%) и биомассе (40–55%) преобладали коловратки, в основном виды рода Brachionus (B. angularis Gosse, 1851, B. calyciflorus Pallas, 1766 и B. budapestinensis Daday, 1885). По этим индикаторным видам шлейф окского планктона прослеживался вдоль правого берега водохранилища до г. Кстово, где коловратки все еще формировали 80% численности и 16% биомассы сообщества. Суммарная численность указанных трех видов достигала 120 тыс. экз./м3 в р. Оке, у г. Кстово она снижалась до 8 тыс. экз./м3.
По структуре доминантного комплекса пелагического зоопланктона водохранилища р. Волги объединялись в три группы (рис. 1). Наибольшее сходство (>60%) наблюдали для Иваньковского, Угличского и Чебоксарского водохранилищ, что определялось высоким вкладом в биомассу сообщества (56–69%) Daphnia galeata во всех трех водоемах (табл. 2). Сопоставимая доля этого вида (24–29%) в зоопланктоне Рыбинского, Горьковского и Куйбышевского водохранилищ стала основой для объединения их еще в одну группу. Наиболее сильно от всех остальных водоемов отличались водохранилища Нижней Волги. Эти различия вызваны уменьшением значения D. galeata (11% биомассы) в сообществе Саратовского вдхр. и сменой главных доминантов в Волгоградском вдхр. (табл. 2). Речной участок р. Волги ниже г. Волгограда почти со всеми водохранилищами не имел общих доминантных видов.
Рис. 1. Группировка водохранилищ р. Волги по уровню различия структуры доминантного комплекса. И — Иваньковское, У — Угличское, Р — Рыбинское, Г — Горьковское, Ч — Чебоксарское, К — Куйбышевское, С — Саратовское, В — Волгоградское водохранилище.
Значение в сообществе видов-вселенцев. В 2015– 2021 г. в р. Волге зарегистрированы шесть понто- каспийских ракообразных вселенцев, три чужеродных вида из других регионов мира, а также три южных вида рода Diaphanosoma, расселяющихся к северу от места слияния р. Волги и р. Камы — границы таежной зоны (табл. 4). Ряд северных бореально-арктических форм постоянно встречались южнее устья р. Камы в степной и полупустынной зоне, часть из них была многочисленна.
В 2021 г. наибольшую численность в волжских водохранилищах формировали два чужеродных вида копепод: недавний вселенец восточноазиатский Thermocyclops taihokuensis (до 230 тыс. экз./м3) и североамериканский Acanthocyclops americanus (до 86 тыс. экз./м3). Вид A. americanus обитал по всему каскаду водохранилищ р. Волги (табл. 4). Локально он формировал 30–60% численности и до 14% биомассы ракообразных в средней части Иваньковского вдхр., а также 40–75% и 11–36% соответственно в озерной части Чебоксарского вдхр.. Вселенец входил в состав доминантов пелагиали и устьевых областей притоков водохранилищ (табл. 2, 3). В 2021 г. Thermocyclops taihokuensis обнаружен от среднего участка Чебоксарского вдхр. у пос. Макарьев до дельты р. Волги у г. Астрахань (табл. 4), вид наиболее многочислен в устьевых областях притоков. На него приходилось ~50% численности и ~30% биомассы ракообразных в устьевой области р. Сура (Чебоксарское вдхр.) и >90% обоих показателей в р. Свияга (Куйбышевское вдхр.).
Средиземноморская копепода Calanipeda aquaedulcis Kritschagin, 1873 обычна от устья р. Кама до дельты р. Волги. Однако в 2021 г. она была немногочисленна и достигала 35% численности (8 тыс. экз./м3) и 40% биомассы только в Волго-Камском плесе Куйбышевского вдхр. Малочисленными были большинство понто- каспийских видов, обитающих в основном в той же части р. Волги. Среди них лишь копепода Eurytemora velox обнаружена единично почти во всем каскаде волжских водохранилищ. Копепода Heterocope caspia достигала численности до 7 тыс. экз./м3 и 20–25% обилия ракообразных в Тетюшинском и Ундорском плесах Куйбышевского вдхр., вид входил в состав доминантов пелагиали водоема (табл. 2). Остальные вселенцы из Каспия отмечены единично.
Среди южных видов в водохранилищах таежной зоны волжского бассейна в 2021 г. наибольшая численность (>50 тыс. экз./м3) зарегистрирована у Diaphanosoma orghidani, в настоящее время обитающей по всей р. Волге (табл. 4). Максимальное обилие этого вида выявлено в устьевых областях притоков Рыбинского водохранилища (реки Себла, Сить, Кесьма, Ухра, Согожа и Больщой Юг), его вклад в численность зоопланктона достигал 10–35%. В притоках Верхней Волги вид входил в состав доминантов и формировал в среднем 7% биомассы зоопланктона (табл. 3).
Таблица 4. Встречаемость ракообразных вселенцев в р. Волге в 2015–2021 гг.
Вид | Годы первых находок | Водохранилище | ||||||||
И | У | Р | Г | Ч | К | С | В | НВ | ||
Понто-каспийские виды | ||||||||||
Cornigerius maeoticus (Pengo, 1879) | 1970‑е | – | – | – | – | – | + | + | + | + |
Podonevadne trigona ovum (Zernov, 1901) | 2000‑е | – | – | – | – | – | – | – | + | + |
Cercopagis pengoi (Ostroumov, 1891) | 1970‑е | – | – | – | – | – | + | – | + | – |
Heterocope caspia Sars, 1897 | 1950‑е | – | – | – | – | – | ++ | ++ | ++ | +++ |
Eurytemora velox (Lilljeborg, 1853) | 2015 | + | + | + | + | + | + | – | – | + |
E. caspica Sukhikh et Alekseev, 2013 | 1890‑е | – | – | – | – | – | ++ | – | ++ | + |
Чужеродные виды других регионов | ||||||||||
Acanthocyclops americanus March, 1893 | 1960‑е | ++ | + | + | ++ | ++ | ++ | ++ | +++ | ++ |
Thermocyclops taihokuensis Harada, 1931 | 2010‑е | – | – | – | – | ++ | + | ++ | ++ | ++ |
Calanipeda aquaedulcis Kritschagin, 1873 | 1960‑е | – | – | – | – | – | ++ | + | ++ | +++ |
Южные виды | ||||||||||
Diaphanosoma orghidani Negrea, 1982 | 2000‑е* | ++ | + | + | ++ | +++ | ++ | + | + | + |
D. mongolianum Ueno, 1938 | 2021* | – | – | – | + | + | + | + | + | + |
D. cf. dubium Manuilova, 1964 | 2016* | – | – | – | – | + | – | – | – | – |
Северные виды | ||||||||||
Limnosida frontosa Sars, 1862 | 1940‑е** | ++ | + | +++ | ++ | ++ | ++ | – | + | – |
Bosmina s. str. coregoni Baird, 1857 | 1940‑е** | ++ | + | ++ | + | ++ | ++ | ++ | +++ | ++ |
B. cf. longispina Leydig, 1860 | 1940‑е** | + | + | ++ | +++ | ++ | ++ | ++ | ++ | +++ |
B. cf. crassicornis (Lilljeborg, 1887) | 1940‑е** | + | + | ++ | ++ | + | ++ | ++ | +++ | ++ |
Bythotrephes brevimanus × B. cederstroemii | 1940‑е** | ++ | +++ | ++ | ++ | ++ | ++ | ++ | ++ | + |
Eudiaptomus gracilis (Sars, 1863) | 1940‑е** | ++ | ++ | +++ | +++ | +++ | ++ | ++ | ++ | + |
E. graciloides (Lilljeborg, 1888) | 1940‑е** | ++ | ++ | ++ | + | + | + | + | + | – |
Примечание. “+++” – вид встречался в большинстве проб (>80%), “++” – вид обычен (30–79% проб), “+” – редок (<30% проб), “–” – не обнаружен; жирным шрифтом выделена граница бореальной зоны.
* Находки севернее устья р. Камы.
** Находки южнее устья р. Камы. Первые находки вселенцев указаны по работам (Мордухай-Болтовской, Дзюбан, 1976; Тимохина, 2000; Лазарева, 2010, 2012; Лазарева и др., 2018а, 2022; Lazareva, 2019; Mineeva et al., 2022).
С 2016 по 2021 гг. в р. Волге отмечено заметное увеличение встречаемости D. mongolianum Ueno, 1938. Вид впервые обнаружен (до 1 тыс. экз./м3) в 2016 г. в Горьковском вдхр. (Костромской разлив и участок у г. Плес) и озерной части Чебоксарского вдхр. вблизи г. Васильсурск. В 2018 г. его зарегистрировали (<100 экз./м3) в устьевой области рек Сура и Ветлуга (Чебоксарское вдхр.). В 2021 г. D. mongolianum впервые найдена в Черемшанском заливе и устьевой области р. Уса (160–290 экз./м3) в Куйбышевском вдхр., максимальная численность (3 тыс. экз./м3) вида отмечена в устьевой области р. Курдюм в Волгоградском вдхр. Также в 2021 г. в устье р. Ока впервые единично зарегистрирована D. cf. dubium. Все три вида приурочены к наиболее прогреваемым участкам водохранилищ (мелководные заливы, устьевые области притоков), их обнаруживали обычно в годы с теплым летом.
Северные виды отмечены фактически по всей р. Волге, к югу от таежной зоны они расселяются с течением реки. Максимальной встречаемостью южнее устья р. Камы характеризовались кладоцеры рода Bosmina и Eudiaptomus gracilis (табл. 4). В 2021 г. все три морфотипа Bosmina (Eubosmina) coregoni Baird, 1857 были наиболее многочисленны в Волгоградском вдхр. Локально в этом водоеме Bosmina cf. longispina достигала 7.5 тыс. экз./м3 или 20% численности ракообразных, что даже выше обилия вида в Рыбинском вдхр. (максимально 2.4 тыс. экз./м3). Вид входил в состав главных доминантов (19% биомассы) пелагиали Волгоградского вдхр. (табл. 2). Наибольшая численность Bosmina s. str. coregoni (9 тыс. экз./м3) и B. cf. crassicornis (1 тыс. экз./м3) также отмечена в Волгоградском вдхр. Однако эти виды встречались реже и не входили в число доминантных. Количество Eudiaptomus gracilis в Нижней Волге не превышало 250 экз./м3.
Численность и биомасса. Наибольшую биомассу зоопланктона (>0.8 г/м3) в конце лета 2021 г. регистрировали в Верхней Волге, ниже плотины Рыбинской ГЭС она не превышала 0.3 г/м3 (рис. 2). Основу биомассы (60–80%) в водохранилищах формировали кладоцеры и лишь в Куйбышевском — копеподы (55%) (табл. 5). Максимум численности зоопланктона (150 ± 46 тыс. экз./м3) наблюдали в Иваньковском вдхр., минимум (20 ± 3 тыс. экз./м3) – в Саратовском (рис. 2). В большинстве водохранилищ основу численности сообщества (~90%) образовывали почти поровну копеподы и коловратки, только в Иваньковском вдхр. заметно преобладали (>60%) коловратки, а в Угличском (>70%) – кладоцеры (табл. 5). На речном участке р. Волги ниже г. Волгограда коловратки формировали 90% численности и 70% биомассы. Количество велигеров моллюсков рода Dreissena было невелико, максимальные значения (>21 тыс. экз. /м3) отмечены в Иваньковском вдхр. (табл. 5). Их вклад в численность сообщества не превышал 15, в биомассу — 8%.
Таблица 5. Численность (N, тыс. экз./м3) и биомасса (В, мг/м3) основных групп зоопланктона в пелагиали водохранилищ р. Волги
Водохранилище | n | Группа зоопланктона | Весь зоопланктон (без велигеров) | ||||||||
Cladocera | Copepoda | Rotifera | Dreissena veliger | ||||||||
N | В | N | В | N | В | N | В | N | В | ||
И | 10 | 22.6 ± 6.4 | 642 ± 231 | 36.4 ± 8.9 | 128 ± 28 | 91.3 ± 38.2 | 78 ± 49 | 21.8 ± 9.1 | 29 ± 14 | 150.3 ± 46.3 | 847 ± 237 |
У | 7 | 7.6 ± 1.2 | 863 ± 168 | 39.0 ± 10.3 | 189 ± 60 | 6.2 ± 2.5 | 2 ± 1 | 1.7 ± 0.5 | 4 ± 2 | 53.0 ± 10.0 | 1055 ± 187 |
Р | 32 | 12.6 ± 2.4 | 1011 ± 213 | 63.6 ± 5.8 | 434 ± 58 | 57.8 ± 13.3 | 122 ± 31 | 13.0 ± 4.0 | 13 ± 3 | 134.0 ± 17.0 | 1567 ± 241 |
Г | 17 | 10.5 ± 2.8 | 207 ± 78 | 33.1 ± 7.0 | 90 ± 18 | 35.3 ± 10.2 | 16 ± 4 | 4.0 ± 0.9 | 3 ± 1 | 78.9 ± 17.0 | 312 ± 94 |
Ч | 11 | 6.1 ± 1.4 | 242 ± 69 | 35.1 ± 6.8 | 97 ± 20 | 22.4 ± 7.3 | 7 ± 2 | 10.7 ± 2.5 | 9 ± 2 | 63.6 ± 11.0 | 347 ± 80 |
К | 14 | 3.1 ± 0.3 | 74 ± 20 | 25.0 ± 2.5 | 114 ± 20 | 17.7 ± 3.7 | 17 ± 4 | 7.4 ± 1.6 | 11 ± 2 | 45.9 ± 5.4 | 205 ± 34 |
С | 10 | 7.2 ± 1.3 | 55 ± 10 | 9.8 ± 1.3 | 50 ± 7 | 2.7 ± 0.7 | 3 ± 1 | 1.4 ± 0.4 | 2 ± 0.5 | 19.7 ± 2.8 | 108 ± 15 |
В | 10 | 13.2 ± 2.9 | 107 ± 22 | 9.8 ± 0.9 | 54 ± 8 | 3.7 ± 0.9 | 4 ± 1 | 2.4 ± 1.1 | 4 ± 2 | 26.7 ± 3.9 | 165 ± 27 |
НВ | 17 | 2.0 ± 0.4 | 5 ± 1 | 2.6 ± 0.4 | 34 ± 9 | 53.3 ± 10.8 | 87 ± 17 | 6.9 ± 1.2 | 10 ± 2 | 57.9 ± 11.0 | 126 ± 21 |
Примечание. Приведено среднее по водохранилищу значение и его стандартная ошибка, материал по водохранилищам дан за 2021 г., на участке незарегулированной Волги — за 2020 г.; n — число проб.
Распределение численности и биомассы сообщества по продольному профилю волжского каскада было близко к отмеченному в предыдущие годы, однако в 2021 г. значения обоих показателей в большинстве водохранилищ оказались немного ниже, чем в 2013–2017 гг. (рис. 2).
Рис. 2. Численность (а) и биомасса (б) пелагического зоопланктона р. Волги. Здесь и на рис. 3 приведено среднее с его стандартной ошибкой; данные 2013–2017 гг. (по: (Лазарева и др. 2018a)) с дополнениями; обозначения водохранилищ, как на рис. 1, НВ — незарегулированный участок р. Волги ниже г. Волгограда.
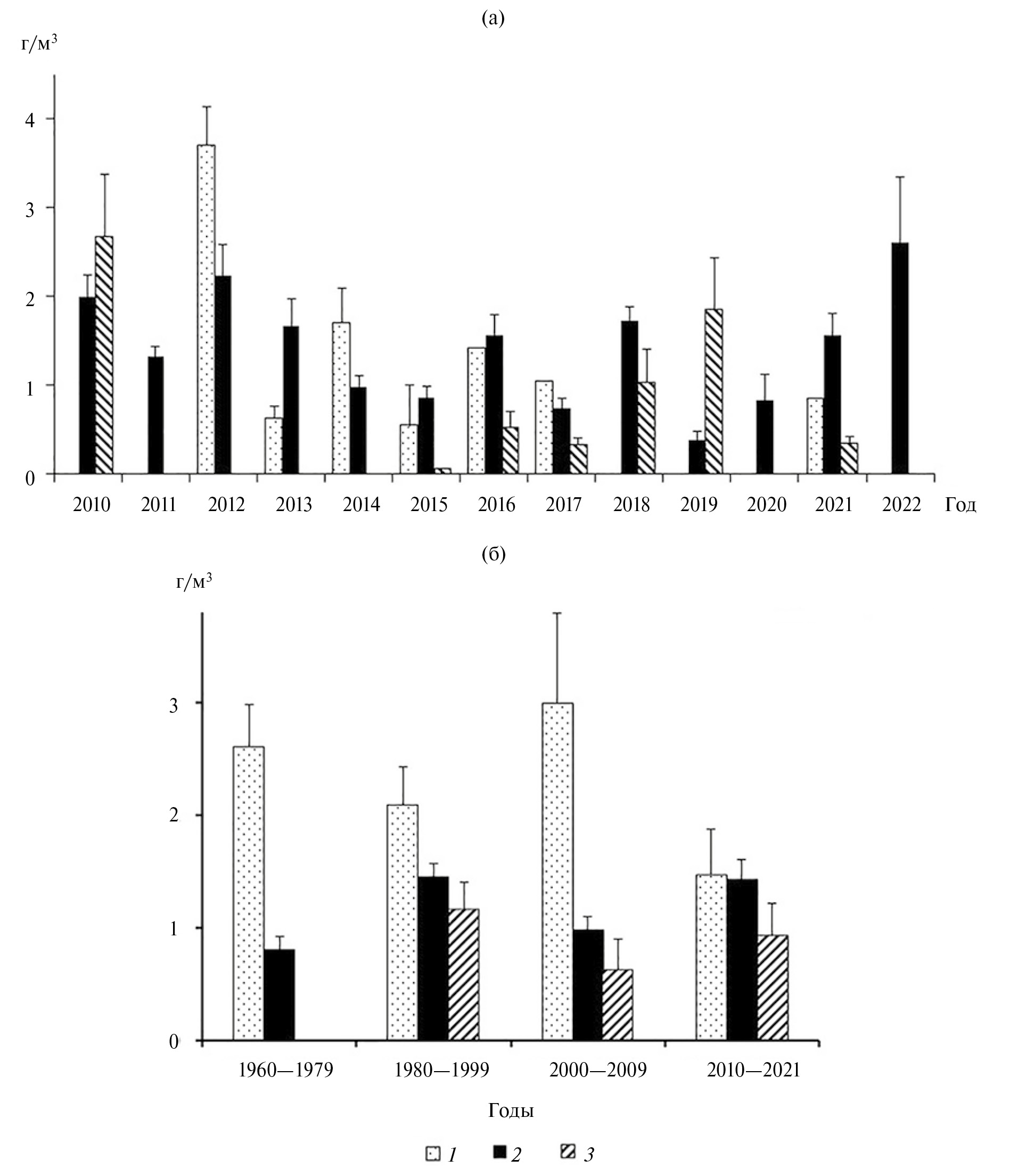
По акватории водохранилищ р. Волги обилие зоопланктона распределено неравномерно. Повсеместно его наибольшее количество регистрировали в устьевых областях притоков, наименьшее — в пелагиали (рис. 3). Уменьшение количества зоопланктона от Верхней Волги к Нижней Волге отмечено во всех биотопах. В период с 2010 по 2022 гг. наблюдали существенные (до семи раз) межгодовые колебания летней (август) биомассы зоопланктона в Иваньковском, Рыбинском и Чебоксарском водохранилищах (рис. 4а). Максимальные значения (>2 г/м3) регистрировали в 2010, 2012 и 2022 гг., минимальные (<1 г/м3) – в 2015 и 2017 гг. Анализ литературных данных показал, что с 1960 по 2021 г. наибольшую биомассу сообщества всегда отмечали в Иваньковском вдхр., минимальную — в Чебоксарском (рис. 4б). В последнее десятилетие в Иваньковском вдхр. наблюдается тенденция к снижению в 1.5–2 раза обилия зоопланктона (с 2–3 до 1.5 г/м3). Для Рыбинского и Чебоксарского водохранилищ выявлены периодические фактически синхронные колебания биомассы с максимумами в 1980–1990‑х и 2010‑х годах. В обоих водоемах уровень биомассы зоопланктона в 2010–2021 гг. был близок к таковому 1980–1999 гг.
Рис. 3. Распределение численности (а) и биомассы (б) зоопланктона по акватории водохранилищ р. Волги в 2021 г. 1 – Верхняя Волга, 2 – Средняя Волга, 3 – Нижняя Волга.
Рис. 4. Вариации летней биомассы зоопланктона некоторых водохранилищ р. Волги в 2010–2022 гг. (а) и в 1960–2021 гг. (б). 1 – Иваньковское, 2 – Рыбинское, 3 – Чебоксарское водохранилища. Данные за период до 2010 г. (по: (Волга…, 1978; Иваньковское…, 1978; Столбунова, 1999, 2009; Шурганова, 2007; Лазарева, 2010; Лазарева и др., 2018а; Структура…, 2018; Lazareva et al., 2014; Shurganova et al., 2019)).
Влияние абиотических факторов среды. Обилие зоопланктона отчетливо снижалось вниз по течению р. Волги. Численность и биомасса пелагического зоопланктона значимо отрицательно коррелировали со среднесуточным притоком вод в водохранилища (r = –0.76, p <0.05). Кроме того, биомасса была положительно связана с температурой воды р. Волги (r = 0.80, p <0.05).
В последние 13 лет (2010–2022 гг.) для озеровидного, наиболее подробно обследованного Рыбинского вдхр., зарегистрирована положительная связь биомассы зоопланктона в августе с температурой воды (r = 0.80, p <0.01), а также с температурой воздуха в месяце (июль), предшествующем отбору проб (r = 0.70, p <0.01). Для Чебоксарского и Иваньковского водохранилищ долинного типа с высоким коэффициентом водообмена подобных связей не выявлено.
В 2021 г. более половины участков затопленного русла р. Волги в Угличском вдхр. характеризовались низким содержанием О2 в слое 2–8 м над дном. На участках в нижней части водохранилища вблизи городов Калязин и Углич регистрировали содержание О2 2.5–4.5 мг/л в слое 7–8 м над дном (до 40% столба воды). При этом наблюдали снижение на 35–40% численности и биомассы сообщества относительно участков без дефицита О2, которое происходило из-за уменьшения количества кладоцер и коловраток (табл. 6). Состав доминантных видов ракообразных не изменялся, но снижалась доля Daphnia galeata и заметно возрастал (до 85%) вклад в численность ракообразных циклопоидных копепод (Mesocyclops leuckarti и Thermocyclops crassus (Fisher, 1853)). В условиях дефицита О2 отмечено фактически полное исчезновение доминантных коловраток рода Synchaeta и замена их мелкими видами родов Pompholyx, Keratella и Trichocerca, которые обычны для эвтрофированных водоемов с дефицитом О2. Общая численность Rotifera снижалась в 5 раз, а количество велигеров моллюсков рода Dreissena уменьшалось вдвое.
Таблица 6. Изменение обилия и структуры зоопланктона Угличского водохранилища при формировании дефицита О2 (<5 мг/л) в августе 2021 г.
Показатель | О2 >5 мг/л во всем столбе воды | О2 <5 мг/л (2.5–4.5 мг/л) в слое 7–8 м над дном | ||
Медиана, тыс. экз./м3 | % N | Медиана, тыс. экз./м3 | % N
| |
N | 67.0 | – | 43.0 | – |
В | 1.22** | – | 0.75** | – |
Nclad | 8.0 | 17.0 | 5.0 | 13.0 |
Ncop | 39.0 | 83.0 | 34.0 | 87.0 |
Veliger | 2.0 | – | 1.0 | – |
Crustacea: |
|
|
|
|
Daphnia galeata | 7.0 | 15.0 | 5.0 | 13.0 |
Mesocyclops leuckarti | 31.0 | 66.0 | 28.0 | 72.0 |
Thermocyclops crassus | 5.0 | 11.0 | 5.0 | 13.0 |
Rotifera: |
|
|
|
|
Nrot | 16.0 | 24.0* | 3.0 | 7.0* |
Synchaeta pectinata | 6.0 | 38.0 | 0.0 | 0.0 |
S. oblonga | 7.5 | 47.0 | 0.0 | 0.0 |
Pompholyx sulcata | 1.2 | 8.0 | 0.9 | 30.0 |
Keratella cochlearis | 0.9 | 6.0 | 0.6 | 20.0 |
Trichocerca similis | 0.0 | 0.0 | 0.5 | 17.0 |
Примечание. Численность: N — общая зоопланктона, Nclad — Cladocera, Ncop — Copepoda, Nrot — Rotifera, Veliger — личинок Dreissena; В — общая биомасса зоопланктона; “–” – показатель не может быть рассчитан.
*Доля в общем количестве зоопланктона (Crustacea + Rotifera).
**Биомасса (В) приведена в г/м3.
ОБСУЖДЕНИЕ РЕЗУЛЬТАТОВ
Результаты исследований 2020–2021 гг. указывают на значимое снижение количества зоопланктона от водохранилищ Верхней Волги к водохранилищам Нижней Волги, которое прослеживалось и ранее (Лазарева и др., 2018а). Выявлена достоверная обратная связь обилия летнего зоопланктона с суточным притоком вод в водохранилища. Промывной режим, формирующийся при максимальном наполнении водохранилищ в межень вдоль русла р. Волги и усиливающийся ниже слияния рек Волги и Камы, лимитирует развитие озерных форм зоопланктона, способных образовывать наибольшую биомассу сообщества. Влияние на зоопланктон водохранилищ особенностей гидрологического режима и, в частности, скорости водообмена отмечали еще в 1960‒1970‑х годах (Волга…, 1978).
Трофический статус водохранилищ р. Волги, определенный по хлорофиллу а фитопланктона, варьируется год от года (Минеева и др., 2020, 2022). В 2019‒2020 гг. статус экосистем Иваньковского, Угличского и Чебоксарского водохранилищ определен как эвтрофный (Минеева и др., 2022). Для Горьковского и Куйбышевского водохранилищ выявлены вариации от мезотрофии до умеренной эвтрофии, водохранилища Рыбинское, Саратовское и Волгоградское отнесены к мезотрофным. Вкупе с гидрологическими факторами это, вероятно, тоже способствует поддержанию существенно более низкого обилия зоопланктона в мезотрофных водохранилищах Нижней Волги. Группировка водохранилищ по структуре зоопланктона (рис. 1) близка к таковой по уровню трофности (Минеева и др., 2022). Это подтверждает влияние трофических условий на развитие летнего зоопланктона.
В августе 2021 г. зарегистрирован очень большой вклад кладоцер (60–80%) в биомассу сообщества во всех водохранилищах р. Волги, за исключением Куйбышевского (35%). Даже в Угличском вдхр., где локально отмечали значительный дефицит растворенного О2, кладоцеры (в основном Daphnia galeata) образовывали в среднем >80% общей биомассы зоопланктона (табл. 2). В этом водоеме с 2013 г. содержание кислорода <5 мг/л наблюдается в слое до 11 м над дном (Лазарева и др., 2018б). В Иваньковском вдхр. ранее отмечали снижение доли кладоцер до ~30% биомассы зоопланктона из-за заморных явлений на русле р. Волги (Лазарева и др., 2018б). Однако 2021 г. в этом водоеме зарегистрирован лишь придонный дефицит О2 на небольшом количестве станций, а вклад кладоцер в биомассу сообщества достигал 75%. Это близко к отмеченному в 1970‒1990‑х годах, когда в конце лета доля кладоцер превышала 60% биомассы зоопланктона (Иваньковское…, 1978; Столбунова, 1999, 2009).
В Чебоксарском вдхр. выделяют отдельную правобережную речную группировку зоопланктона, образованную биостоком из р. Ока, ее шлейф прослеживается вдоль правого берега р. Волги до г. Кстово, иногда до пос. Лысково (>75 км ниже г. Нижнего Новгорода) (Шурганова и др. 2003, 2022; Shurganova et al., 2019). В 2021 г. почти всю численность (>90%) и >40% биомассы зоопланктона устьевой области р. Ока формировали коловратки рода Brachionus, что отмечали и ранее (Шурганова и др. 2003; Лазарева и др., 2018а). Окский планктон прослеживался вдоль правого берега Чебоксарского вдхр. до г. Кстово (>20 км ниже г. Нижнего Новгорода), ниже по течению он размывался волжской водой. Высокую численность коловраток рода Brachionus указывают также для нижнего течения некоторых других крупных притоков р. Волги (р. Цивиль) (Подшивалина, 2021).
В устьевых областях прочих притоков водохранилищ р. Волги в 2021 г. преобладали ракообразные, среди них высокую биомассу образовывали виды рода Daphnia (D. galeata и D. cucullata). Эти два вида, особенно D. cucullata, отмечают как наиболее массовые в эвтрофированных устьевых областях притоков Средней Волги (Подшивалина, 2021; Zhikharev et al., 2022). Там же были многочисленны чужеродные виды копепод Thermocyclops taihokuensis и Acanthocyclops americanus, а в притоках Верхней Волги в массе обнаруживали теплолюбивую южную кладоцеру Diaphanosoma orghidani. Эти три вида и некоторые другие вселенцы (копепода Eurytemora velox, коловратка Keratella tropica) обычны в притоках волжских водохранилищ (Лазарева, 2012; Подшивалина, 2021; Лазарева и др., 2022; Zhikharev et al., 2022). Это подтверждает сделанное ранее заключение об аккумуляции вселенцев с юга в высокопродуктивных и хорошо прогреваемых устьевых областях притоков р. Волги с последующим расселением в акваторию водохранилищ (Лазарева, 2010, 2012; Лазарева и др., 2022). В пелагиали водохранилищ заметную численность и биомассу формировали только два вселенца Acanthocyclops americanus и Heterocope caspia (табл. 2).
С 1990‑х гг. в Куйбышевском вдхр. >50% биомассы зоопланктона формируют копеподы, среди них преобладает H. caspia (Тимохина, 2000; Куйбышевское…, 2008; Лазарева и др., 2018а). Однако в августе 2021 г. численность Calanoida оказалась низкой (в среднем ~3 тыс. экз./м3), в планктоне водохранилища доминировали Cyclopoida (в среднем ~22 тыс. экз./м3), преимущественно Mesocyclops leuckarti. Подобную ситуацию наблюдали также в Саратовском и Волгоградском водохранилищах, здесь тоже значительную часть биомассы сообщества (до 40%) определяли Cyclopoida, а Calanoida даже не входили в состав доминантов (табл. 2). Для сравнения, в 2015‒2017 гг. на долю вселенцев Heterocope caspia и Calanipeda aquaedulcis в этих водоемах приходилось 35‒50% биомассы копепод и 10‒15% общей биомассы зоопланктона (Лазарева и др., 2018а).
В 2021 г. средняя биомасса зоопланктона в Иваньковском вдхр. (0.9 г/м3) фактически не отличалась от зарегистрированной в 2010‑х годах. Ее современный уровень существенно (до двух раз) ниже по сравнению с 1980‒1990‑е годами (2‒3 г/м3) (Столбунова, 1999, 2007). Напротив, в Угличском вдхр., биомасса сообщества (1.1 г/м3) оказалась выше наблюдавшейся в эти сроки (~0.8 г/м3) в середине 1980‑х (Столбунова, 1999). Еще более высокой (1.4 г/м3) она была в 2010‑х годах (Лазарева и др., 2018а). В Рыбинском вдхр. во второй половине лета 2021 г. средняя биомасса зоопланктона (1.6 г/м3) оказалась даже выше, чем жарким летом 2010 г. (1.4 г/м3) (Lazareva et al., 2014). Высокая биомасса (в среднем 1.3 г/м3) отмечена в водоеме и в предыдущие годы (Лазарева и др., 2018а). Это заметно выше обычных ее значений (0.8‒1.0 г/м3) в конце лета, зарегистрированных в 2004‒2009 гг. и 1960‒1970‑х годах (Рыбинское…, 1972; Лазарева, 2010).
Многолетние колебания биомассы зоопланктона водоемов Верхней Волги носят квазипериодический характер с периодом ~20 лет, пик биомассы (до 3 г/м3 в среднем за май‒октябрь) наблюдали в 1980‑х годах (Лазарева, 2010). С 2010 г. в Рыбинском вдхр. происходит очередной подъем биомассы (Лазарева и др., 2018а; Mineeva et al., 2024). Ее средние значения (1.5 ± 0.3 г/м3) в 1980‒1990‑х и 2010‑х годах фактически сравнялись (рис. 4б). В Угличском вдхр. рост биомассы, вероятно, дополнительно усилился за счет повышения трофического статуса экосистемы. С 2015 г. этот водоем классифицируют как стабильно эвтрофный, тогда как в конце прошлого века он был мезотрофным (Минеева и др., 2020, 2022).
Средняя биомасса зоопланктона в Горьковском вдхр. в августе 2021 г. была низкой (0.3 г/м3), на речном участке водоема– <0.1 г/м3, на озерном – ≤0.8 г/м3. Это сопоставимо с таковой (0.2‒0.7 г/м3) в 2000‒2010‑х годах в речной части водоема (Ривьер, 2007; Шурганова, 2007; Lazareva et al., 2014). На его озерном участке в конце лета биомасса обычно выше и достигает 1‒4 г/м3 (Ривьер, 2007; Lazareva et al., 2014; Шурганова и др., 2017; Лазарева и др., 2018а).
Низкой (в среднем 0.4 г/м3) была биомасса сообщества в Чебоксарском вдхр., ее значения совпадают с отмеченными сравнительно холодным летом 2008 г. (Lazareva et al., 2014). Низкие значения (0.1‒0.5 г/м3) указывают как обычные для верхней речной части водохранилища (Шурганова и др., 2003; Шурганова, 2007; Охапкин и др., 2016). В нижней озерной части водохранилища биомасса достигает >4 г/м3 (Шурганова, 2007; Lazareva et al., 2014), однако в 2021 г. на этом участке она тоже была небольшой (<0.8 г/м3).
Низкий уровень биомассы зоопланктона (в среднем 0.2 г/м3, максимум 1.2 г/м3) наблюдали в 2021 г. в Куйбышевском вдхр.. Это близко к отмеченному в те же сроки (в среднем 0.3 г/м3) в 2015–2017 гг. (Лазарева и др., 2018а). Наибольшую биомассу в этом водоеме регистрируют в июне (Тимохина, 2000), в 2017 г. за счет массового развития кладоцер Daphnia galeata и D. cucullata она локально достигала 11 г/м3 (Мухортова, 2018). Летом 2014–2015 гг. в Волжском плесе водохранилища отмечены вариации биомассы зоопланктона от 0.4 до 3.2 г/м3 (Кузьмина и др., 2019). Близкие значения (0.7–3.5 г/м3) зарегистрированы в 1970‑х годах (Куйбышевское…, 1983). В августе 1980‑х годов указывали сравнительно высокую (в среднем 1.4 г/м3) биомассу сообщества в приплотинном участке водоема (Тимохина, 2000).
Минимальную для р. Волги биомассу зоопланктона (в среднем 0.1 г/м3) регистрировали в Саратовском вдхр., то же отмечали в августе 2015 и 2017 гг. (Попов, Мухортова, 2016; Лазарева и др., 2018а). В 2010–2014 гг. средняя за вегетационный период биомасса сообщества достигала ~0.75 г/м3, низкие значения (0.2 г/м3) отмечены в 2014 г. (Малинина и др., 2016). В июле–августе 2007–2011 гг. на пике развития зоопланктона в пелагиали водоема зарегистрирована сравнительно высокая (0.7–0.9 г/м3) биомасса (Попов, Мухортова, 2016). Ранее (2004–2006 гг.) среднесезонная биомасса варьировала в пределах 0.2– 0.9 г/м3, в августе в отдельные годы достигала 4 г/м3 за счет массового развития Heterocope caspia (Попов, 2006).
В Волгоградском вдхр. в конце августа 2021 г. тоже регистрировали низкую биомассу зоопланктона (в среднем 0.17 г/м3), более высокие значения (0.3 г/м3) отмечены летом 2017 и 2018 гг. (Лазарева и др., 2018а; Тюлин, 2019). В начале 2000‑х годов в районе г. Саратов летняя биомасса достигала 0.5 г/м3, эти значения классифицированы как “низкие” по сравнению с наблюдавшимися в 1970‑х годах (Малинина и др., 2005). В конце 1960‑х годов средняя за вегетационный период биомасса (1.3 г/м3) в этом водоеме была почти втрое выше таковой летом в 2000‑х годах (Волгоградское…, 1977).
В начале сентября 2020 г. в р. Волге ниже г. Волгограда биомасса зоопланктона была очень низкой (в среднем 0.13 г/м3), наибольшие значения не превышали 0.22 г/м3. Тот же уровень биомассы зарегистрирован в августе 2017 г. (Лазарева и др., 2018а). Однако другие исследователи в р. Волге выше г. Астрахань летом и осенью 2021 г. отмечали существенно более высокие значения (0.7‒0.9 г/м3) при доминировании в сообществе Cyclopoida (Крайнова и др., 2022). В 1970‑х годах здесь биомасса достигала 0.45 г/м3 (Вольвич, Кравцова, 1976).
ЗАКЛЮЧЕНИЕ
В 2021 г. в большинстве водохранилищ р. Волги основную часть биомассы зоопланктона (45–84%) формировали кладоцера Daphnia galeata и копепода Mesocyclops leuckarti. Смену доминантов отмечали в Волгоградском водохранилище, где ведущее значение в структуре сообщества (>40% биомассы) переходило к кладоцерам Chydorus sphaericus и Bosmina cf. longispina. В 2020 г. в реке ниже плотины Волжской ГЭС преобладали коловратки (56% биомассы) и понто-каспийская копепода Heterocope caspia (18%). Во всех волжских водохранилищах выявлен значительный вклад в структуру и обилие сообщества видов-вселенцев. Наибольшую численность и биомассу формировали восточноазиатский Thermocyclops taihokuensis и североамериканский Acanthocyclops americanus в водохранилищах Средней Волги. Максимальное количество зоопланктона (0.8–1.6 г/м3) наблюдали в Верхней Волге, наименьшее (0.1–0.2 г/м3) – в Нижней Волге. В акватории всех водохранилищ обилие зоопланктона в устьевых областях притоков (0.8–3.3 г/м3) было существенно выше, чем в литорали (0.1–2.0 г/м3) и, особенно, в пелагиали (0.1–1.4 г/м3). Уменьшение биомассы сообщества вниз по течению р. Волги отмечено во всех биотопах. В многолетнем аспекте показаны различные тенденции изменения биомассы зоопланктона в водохранилищах Верхней и Средней Волги. Выявлена обратная корреляция обилия сообщества с суточным притоком воды в водохранилища и прямая корреляция с ее температурой. Установлено, что при значительном дефиците кислорода (2.5–4.5 мг/л в слое до 40% столба воды над дном) на 35–40% снижается обилие зоопланктона, в 5 раз уменьшается количество коловраток и вдвое — велигеров моллюсков, а также почти на 10% возрастает вклад Cyclopoida в численность ракообразных.
ФИНАНСИРОВАНИЕ
Работа выполнена в рамках госзадания № 121051100109-1, тема “Систематика, разнообразие, биология и экология водных и околоводных беспозвоночных, структура популяций и сообществ в континентальных водах”.
About the authors
V. I. Lazareva
Papanin Institute for Biology of Inland Waters, Russian Academy of Sciences
Author for correspondence.
Email: lazareva_v57@mail.ru
Russian Federation, Borok, Nekouzskii raion, Yaroslavl oblast
S. M. Zhdanova
Papanin Institute for Biology of Inland Waters, Russian Academy of Sciences
Email: lazareva_v57@mail.ru
Russian Federation, Borok, Nekouzskii raion, Yaroslavl oblast
R. Z. Sabitova
Papanin Institute for Biology of Inland Waters, Russian Academy of Sciences
Email: lazareva_v57@mail.ru
Russian Federation, Borok, Nekouzskii raion, Yaroslavl oblast
E. A. Sokolova
Papanin Institute for Biology of Inland Waters, Russian Academy of Sciences
Email: lazareva_v57@mail.ru
Russian Federation, Borok, Nekouzskii raion, Yaroslavl oblast
References
- Балушкина Е.В., Винберг Г.Г. 1979. Зависимость между длиной и массой тела планктонных ракообразных // Экспериментальные и полевые исследования биологических основ продуктивности озер. Л.: Зоол. ин-т АН СССР. С. 58.
- Боруцкий Е.С., Степанова Л.А., Кос М.С. 1991. Определитель Calanoida пресных вод СССР. Л.: Наука.
- Волга и ее жизнь. 1978. Л.: Наука.
- Волгоградское водохранилище (население, биологическое продуцирование и самоочищение). 1977. Саратов: Саратов. ун-т.
- Вольвич Л.И., Кравцова Г.В. 1976. Современное состояние планктона Нижней Волги в пределах Волгоградской области // Рыбохозяйственное использование водоемов Волгоградской области. Волгоград: Ниж.-Волж. кн. изд-во. С. 51.
- Иваньковское водохранилище и его жизнь. 1978. Л.: Наука.
- Изменения уровней водохранилищ ГЭС РусГидро. Электронный ресурс. URL: http://www.rushydro.ru/hydrology/informer/ (обращение апрель 2023 г.)
- Коровчинский Н.М., Котов А.А., Синев А.Ю. и др. 2021. Ветвистоусые ракообразные (Crustacea, Cladocera) северной Евразии. Т. 2. М.: Тов-во науч. изданий КМК.
- Крайнова А.В., Мельник И.В., Васильева Е.Г. 2022. Продукционно-экологическая характеристика зоопланктона водоемов нижней и дельтовой частей реки Волги // Вестн. Астрахан. гос. техн. ун-та. Сер: Рыбн. хоз-во. № 4. С. 39. https://doi.org/10.24143/2073-5529-2022-4-39-46.
- Кузьмина К.А., Кузьмина И.А., Кривина Е.С. 2019. Оценка качества воды Волжского плеса Куйбышевского водохранилища по состоянию зоопланктона // Научно-практический журнал Водное хозяйство России. № 2. С. 90. https://doi.org/10.35567/1999-4508-2019-2-7
- Куйбышевское водохранилище. 1983. Л.: Наука.
- Куйбышевское водохранилище (научно-информационный справочник). 2008. Тольятти: Ин-т экологии волжск. бассейна РАН.
- Кутикова Л.А. 1970. Коловратки фауны СССР. Л.: Наука.
- Лазарева В.И. 2010. Структура и динамика зоопланктона Рыбинского водохранилища. М.: Тов-во науч. изданий КМК.
- Лазарева В.И. 2012. Распространение видов рода Diaphanosoma (Crustacea, Cladocera) в водохранилищах Волги и Шексны: влияние факторов среды // Биология внутр. вод. № 3. C. 33.
- Лазарева В.И., Жданова С.М., Сабитова Р.З. 2022. Расселение восточно-азиатской копеподы Thermocyclops taihokuensis (Harada, 1931) (Crustacea, Cyclopoida) в бассейне реки Волги // Биология внутр. вод. № 2. С. 147. https://doi.org/10.31857/S0320965222010065.
- Лазарева В.И., Сабитова Р.З., Быкова С.В. и др. 2018а. Распределение летнего зоопланктона в каскаде водохранилищ Волги и Камы // Тр. Ин-та биологии внутр. вод РАН. Вып. 83(86). С. 62. https://doi.org/10.24411/0320-3557-2018-10030
- Лазарева В.И., Степанова И.Э., Цветков А.И. и др. 2018б. Изменение кислородного режима водохранилищ Волги и Камы в период потепления климата: последствия для зоопланктона и зообентоса // Тр. Ин-та биологии внутр. вод РАН. Вып. 81(84). С. 47. https://doi.org/10.24411/0320-3557-2018-1-0005
- Литвинов А.С. 2000. Энерго- и массообмен в водохранилищах Волжского каскада. Ярославль: Ярослав. гос. техн. ун-т.
- Малинина Ю.А., Далечина И.Н., Филинова Е.И. 2005. Гидробиологическая оценка качества воды Волгоградского водохранилища в зоне влияния промышленного центра // Актуальные проблемы рационального использования биологических ресурсов водохранилищ. Рыбинск: Рыбинский дом печати. С. 200.
- Малинина Ю.А., Джаяни Е.А., Филинова Е.И. и др. 2016. Оценка темпов многолетних изменений качественных и количественных параметров экосистемы Саратовского водохранилища // Современное состояние биоресурсов внутренних водоемов и пути их рационального использования: Матер. Всерос. конф. Казань: Гос. ин-т речн. рыб. хоз-ва. С. 618.
- Минеева Н.М., Семадени И.В., Макарова О.С. 2020. Содержание хлорофилла и современное трофическое состояние водохранилищ р. Волги (2017, 2018 гг.) // Биология внутр. вод. № 2. С. 205. https://doi.org/10.31857/S0320965220020102.
- Минеева Н.М., Семадени И.В., Соловьева В.В., Макарова О.С. 2022. Содержание хлорофилла и современное трофическое состояние водохранилищ р. Волги (2019, 2020 гг.) // Биология внутр. вод. № 4. С. 367. https://doi.org/10.31857/S0320965222040210.
- Мордухай-Болтовской Ф.Д., Дзюбан Н.А. 1976. Изменения в составе и распределении фауны Волги в результате антропогенных воздействий // Биологические продукционные процессы в бассейне Волги. Л.: Наука. С. 67.
- Мухортова О.В. 2018. Зоопланктон Куйбышевского водохранилища // Экологические проблемы бассейнов крупных рек — 6: Матер. междунар. конф., приуроченной к 35-летию Института экологии Волжского бассейна РАН и 65-летию Куйбышевской биостанции (15‒19 октября 2018 г. Тольятти). Тольятти: Анна. С. 224. https://doi.org/10.24411/9999-002А-2018-10096
- Охапкин А.Г., Шурганова Г.В., Пухнаревич Д.А. и др. 2016. О современном гидроэкологическом состоянии зоны речной гидравлики Чебоксарского водохранилища // Приволжский науч. журн. № 1(37). С. 104.
- Песенко Ю.А. 1982. Принципы и методы количественного анализа в фаунистических исследованиях. М.: Наука.
- Подшивалина В.Н. 2021. Особенности распределения зоопланктона в зоне влияния притоков водохранилищ Средней Волги // Биология внутр. вод. № 5. С. 472. https://doi.org/10.31857/S0320965221050156.
- Попов А.И. 2006. Зоопланктон Саратовского водохранилища: общие сведения и роль биоинвазийных видов // Изв. Самар. науч. центра РАН. Т. 8. № 1. С. 263.
- Попов А.И., Мухортова О.В. 2016. Пелагический и литоральный зоопланктон Саратовского водохранилища: видовой состав, биологические инвазии, особенности формирования фауны. Тольятти: Кассандра.
- Ривьер И.К. 2007. Состав, распределение и динамика зоопланктона как кормового ресурса рыб // Экология водных беспозвоночных. Нижний Новгород: Вектор ТиС. С. 242.
- Рыбинское водохранилище и его жизнь. 1972. Л.: Наука.
- Степаньянц С.Д., Хлебович В.В., Алексеев В.Р. и др. 2015. Определитель рыб и беспозвоночных Каспийского моря. Т. 2. СПб.: Тов-во науч. изданий КМК.
- Столбунова В.Н. 1999. Многолетние изменения зоопланктонного комплекса в Иваньковском и Угличском водохранилищах // Биология внутр. вод. № 1–3. С. 92.
- Столбунова В.Н. 2007. Зоопланктон Иваньковского и Угличского водохранилищ в летний период 2003–2004 гг. // Экология водных беспозвоночных. Нижний Новгород: Вектор ТиС. С. 337.
- Столбунова В.Н. 2009. Пелагические Cladocera в водохранилищах Верхней Волги // Биология внутр. вод. № 3. С. 41.
- Структура и функционирование экосистемы Рыбинского водохранилища в начале XXI века. 2018. М.: Российская академия наук.
- Тимохина А.Ф. 2000. Зоопланктон как компонент экосистемы Куйбышевского водохранилища. Тольятти: Ин-т экологии волжск. бассейна РАН.
- Тюлин Д.Ю. 2019. Состояние кормовой базы средней зоны Волгоградского водохранилища и ее влияние на воспроизводство рыб: Автореф. дис. … канд. биол. наук. Астрахань: Астрахан. гос. техн. ун-т. 19 с.
- Шурганова Г.В. 2007. Динамика видовой структуры зоопланктоценозов в процессе их формирования и развития (на примере водохранилищ Средней Волги: Горьковского и Чебоксарского): Дис. … докт. биол. наук. Нижний Новгород: Нижегород. гос. ун-т. 395 с.
- Шурганова Г.В., Жихарев В.С., Гаврилко Д.Е. и др. 2017. Особенности видовой структуры и пространственного размещения сообществ зоопланктона верхнего бьефа Нижегородской ГЭС, зоны речной гидравлики Чебоксарского водохранилища и устьевой области реки Оки // Вестн. Волжск. гос. академии водного транспорта. № 53. С. 116.
- Шурганова Г.В., Жихарев В.С., Гаврилко Д.Е. 2022. Динамика сообществ зоопланктона Чебоксарского водохранилища // Матер. IV-й Всерос. конф. с междунар. участием “Актуальные проблемы планктонологии”. Калининград: Калин. гос. тех. ун-т. С. 74.
- Шурганова Г.В., Черепенников В.В., Артельный Е.В. 2003. Динамика пространственного распределения основных зоопланктоценозов Чебоксарского водохранилища // Поволжск. экол. журн. № 3. С. 297.
- Lazareva V.I. 2019. Spreading of alien zooplankton species of Ponto-Caspian origin in the reservoirs of the Volga and Kama rivers // Rus. J. Biol. Invasions. V. 10. № 4. P. 328. https://doi.org/10.1134/S2075111719040040
- Lazareva V.I., Mineeva N.M., Zhdanova S.M. 2014. Spatial distribution of plankton from the upper and Middle Volga reservoirs in years with different thermal conditions // Biol. Bull. V. 41. № 10. P. 869. https://doi.org/10.1134/S1062359014100070
- Mineeva N., Lazareva V., Litvinov A. et al. 2022. Volga River Basin // Rivers of Europe. Amsterdam: Elsevier. P. 27. https://doi.org/10.1016/B978-0-08-102612-0.00002 x.
- Mineeva N.M., Lazareva V.I., Poddubny S.A. et al. 2024. Structure and functioning of plankton communities оf the Rybinsky Reservoir under the conditions of climate change // Inland Water Biol. V. 17. № 1. P.https://doi.org/10.1134/S1995082924010127
- Ruttner-Kolisko A. 1977. Suggestion for biomass calculation of planktonic rotifers // Arch. Hydrobiol. Ergebn. Limnol. Bd 8. P. 71.
- Slyn’ko Yu.V., Korneva L.G., Rivier I.K. et al. 2002. Caspian-Volga-Baltic invasion corridor // Alien species in European waters. Dordrecht: Kluwer Publ. P. 339.
- Shurganova G.V., Zhikharev V.S., Gavrilko D.E. et al. 2019. Zooplankton communities of the Middle River part of the Cheboksary Reservoir and factors influencing their species structure // Povolzhskiy J. Ecol. № 3. Р. 384. https://doi.org/10.35885/1684-7318-2019-3-384-395
- Wilke T., Ahlrichs W.H., Bininda-Emonds O.R.P. 2018. A comprehensive and integrative re-description of Synchaeta oblonga and its relationship to Synchaeta tremula, Synchaeta rufina and Synchaeta littoralis.
- Zhikharev V., Vodeneeva E., Kudrin I. et al. 2022. The Species structure of plankton communities as a response to changes in the trophic gradient of the mouth areas of large tributaries to a Lowland Reservoir // Water. V. 15. Р. 74. https://doi.org/10.3390/w15010074
Supplementary files






