Pulse feeding and pulse growth: a highly adaptive strategy of heterotrophic dinoflagellates Oxyrrhis marina
- Authors: Khanaychenko A.N.1, Aganesova L.O.1, Mukhanov V.S.1
-
Affiliations:
- Institute of Biology of the South Seas
- Issue: Vol 17, No 1 (2024)
- Pages: 128-141
- Section: Articles
- URL: https://bakhtiniada.ru/0320-9652/article/view/261535
- DOI: https://doi.org/10.31857/S0320965224010118
- EDN: https://elibrary.ru/yzryky
- ID: 261535
Cite item
Full Text
Abstract
Pulse feeding and growth of the Black Sea strain of dinof lagellates Oxyrrhis marina (Dujardin, 1841) (OXY–IBSS), equivalent spherical diameter (ESD) (23.5 ± 3.1 mm) have been studied under experimental conditions simulating phytoplankton blooms. Microalgae Phaeodactylum tricornutum (P, ESD 3.4 ±0.3 mm), Isochrysis galbana (I, ESD 3.7 ± 0.4 mm), Tetraselmis suecica (T, ESD 6.1 ± 0.9 mm), and Rhodomonas salina (R, 7.4 ± 0.7 µm) were used as food objects in a one-component and three-component suspensions. Microalgae concentrations (~106 cells/mL for T and R; up to ~4 × 106 cells/mL for P and I) were chosen to ensure their equal total carbon biomass ~0.02 mg C/mL in the food mixtures at the beginning of the experiment. Under ad libitum conditions, the maximum clearance rates of the OXY–IBSS reached 0.1–0.5 mL ind./day, and the grazing rate of microalgae was 34–44 cells/(ind h) for P and I, and 2–11 cells/(ind. h) for R and T, respectively. The grazing rate of microalgae in carbon units was significantly higher when feeding on I (3.9 ng C/(ind. day)) and significantly less when fed with a mixture of microalgae TRP (1.5 ng C/(ind. day)). Maximum abundance of OXY–IBSS, achieved within 3 or 4 days (by the time the microalgae concentration decreased below threshold), varied from 19 × 103 ind./mL (P) to 43 × 103 ind./mL (I). In the absence of food, dinof lagellates O. marina turned to cannibalism, and within 4 days the oscillating f luctuations (within 50%) in their number took place. Although the specific population growth rate (m, day-1) of OXY–IBSS was higher when feeding on small cells (~2 days–1 on I), the gross growth efficiency (GGE) of OXY–IBSS was significantly higher when fed on large (T and R) microalgae (26–29% vs. 14–15%). At lower daily rations (DRs) when fed with the mixture TRP, the GGE of OXY–IBSS was significantly higher (41%) when compared to other nutritional conditions. The feeding strategy of opportunistic predator O. marina on diverse (in terms of size and chemotaxonomic characteristics) mixtures of prey lay in a f lexible choice between high specific population growth rate, or high gross growth efficiency, that obviously gives the populations of this species the advantages over other protists under conditions of the pulsed phytoplankton blooms.
Full Text
ВВЕДЕНИЕ
Одноклеточные эукариоты (протисты) служат основой морских пищевых сетей, а их рост и взаимодействие с другими микроорганизмами играют определяющую роль в биогеохимических циклах. Хищные подвижные гетеротрофы получают органический углерод обычно в результате фаготрофного поглощения жертв, преимущественно микроводорослей. Поэтому доминирующие протисты-фитофаги оказывают существенное влияние на видовое разнообразие, размерную структуру и численность фитопланктона, тем самым оказывая влияние на первичную продукцию и на углеродные потоки в море. В свою очередь, сами планктонные фаготрофы, будучи пищей для мезопланктона, считаются важным промежуточным звеном, трансформирующим и перенаправляющим первичную продукцию вверх по пищевой цепи. Морские динофлагелляты Oxyrrhis marina (Dujardin, 1841), убиквитный вид протистов прибрежного и заплескового микропланктона, оказывают значительный прессинг на суточную первичную продукцию прибрежного фитопланктона в связи с их уникальной особенностью — облигатной гетеротрофией.
Способы питания O. marina сочетают разнообразные стратегии: фаготрофию, сапротрофию, и при отсутствии пищи возможен переход к каннибализму. Клетки O. marina, имеющие хорошо развитый цитостом, способны поглощать объекты, относящиеся к различным таксонам и размерным категориям (от 2 до 20 мкм) (Jeong et al., 2018). В условиях высокой концентрации пищевых частиц O. marina присуще так называемое импульсное питание (“pulse feeding”) (Calbet et al., 2013; Anderson, Menden-Deuer, 2017), которое позволяет организму быстро потреблять и усваивать доступные микроводоросли и, соответственно, быстро размножаться, что обусловливает внезапные вспышки его численности, возникающие периодически в разных прибрежных акваториях Мирового океана. Подобное явление при очень высокой численности клеток O. marina в пятнах “цветения” (до 4.4 · 105 кл./мл) зафиксировано в Амурском заливе Японского моря в 2004 г. (Бегун и др., 2004). Динофлагелляты O. marina служат удобным экспериментальным объектом для изучения пищевых связей в микропланктоне. Культуры этого вида используют в экспериментальной биологии и аквакультуре для кормления морских копепод (Parrish et al., 2012). Тем не менее, влияние состава и количества его потенциальных жертв (разных, таксономически различающихся видов микроводорослей) на прирост биомассы его популяций и, соответственно, его роль в трансформации углерода в трофической цепи до настоящего времени недостаточно исследовано.
Цель работы — исследование искусственных популяций гетеротрофных динофлагеллят Oxyrrhis marina при имитации импульсного питания (“pulse feeding”) нанопланктонными микроводорослями, относящимися к разным классам, в вариантах моно- и поликультур, от концентрации ad libitum до полного истощения пищевого ресурса.
МАТЕРИАЛ И МЕТОДЫ ИССЛЕДОВАНИЯ
Культуры гетеротрофных динофлагеллят. Исходно Oxyrrhis marina были найдены в пробах, собранных в июне 2016 г. во временном прибрежном морском водоеме Гераклейского п-ова (на территории Херсонесского заказника, г. Севастополь). В пробах из заплесковых луж обнаружено два вида нанопланктонных протистов, которые на основании морфологических внешних характеристик клеток, исследованных под световым микроскопом, идентифицированы как O. marina и Tetraselmis sp. (рис. 1). Выделенная в монокультуру лабораторная популяция O. marina (штамм OXY–IBSS) была адаптирована к содержанию на стерилизованной морской воде (соленость 18‰) с добавлением смеси нанопланктонных микроводорослей разных таксономических групп (криптофитовых, примнезиофитовых, празинофитовых и диатомовых).
Рис. 1. Микрофотографии исходных клеток: a —живые клетки Tetraselmis sp. из микроценоза заплескового временного водоема (Tetraselmis sp. + Oxyrrhis marina); б — живые клетки Tetraselmis sp. и O. marina из природного водоема; в — клетка O. marina с Tetraselmis sp. внутри и свободные клетки Tetraselmis sp. после фиксации Люголем; г — живая клетка O. marina из лабораторной культуры.
Культуры микроводорослей. Для изучения особенностей питания и характеристик роста лабораторных популяций O. marina (O) использовали четыре вида фотосинтетических нанопланктонных микроводорослей, имеющих оптимальные для питания динофлагеллят параметры клеток, относящихся к широко распространенным в естественных условиях и используемых в аквакультуре таксонам — Bacillariophyceae Phaeodactylum tricornutum (Bohlin, 1897) (P), Prymnesiophyceae Isochrysis galbana (Parke, 1949) (I), Prasinophyceae Tetraselmis suecica ((Kylin) Butcher 1959) (T) и Cryptophyceae Rhodomonas salina ((Wislouch) Hill & Wetherbee 1989) (R). Микроводоросли культивировали в условиях неаксеничных накопительных монокультур в 0.5 л колбах Эрленмейра на стандартной среде Уолна в накопительном режиме при освещенности 5 тыс. лк. Пересевы культур проводили каждые 3–4 сут для поддержания их экспоненциального роста. Для приготовления экспериментальных суспензий использовали аликвоты культур в экспоненциальной фазе роста.
Схема эксперимента. Эксперименты по потреблению микроводорослей и росту популяций гетеротрофных динофлагеллят проводили в однокомпонентных суспензиях (при питании одним видом микроводорослей), в двух вариантах многокомпонентных суспензий (сочетание трех видов микроводорослей) и одном варианте — суспензия OXY–IBSS (контроль). Количество видов микроводорослей в многокомпонентных смесях было ограничено тремя, поскольку при использовании методики проточной цитометрии, с помощью которой определяли концентрации клеток разных видов микроводорослей, выявлена методическая сложность разделения в смеси кластеров двух мелкоразмерных видов — Phaeodactilum tricornutum и Isochrysis galbana. Поэтому в экспериментах использовали два варианта многокомпонентных смесей: в обоих присутствовали Tetraselmis suecica и Rhodomonas salina, но к одной смеси добавляли Phaeodactylum tricornutum, к другой — Isochrysis galbana. Схема эксперимента включала семь вариантов (в двух повторностях) пищевых условий для гетеротрофных динофлагеллят: четыре варианта монокультур микроводорослей (контроль — в отсутствие и опыт — в присутствии гетеротрофных динофлагеллят), два варианта смешанных культур микроводорослей (в отсутствие и в присутствии динофлагеллят), и один вариант — чистая культура Oxyrrhis marina без водорослей (“хищник” в отсутствие “жертв”).
Исходные концентрации микроводорослей в суспензиях подбирали таким образом, чтобы обеспечить их равные биомассы в начале эксперимента (~0.02 мкг C/мкл), которые соответствовали бы насыщающим (ad libitum) концентрациям для питания O. marina. Они варьировали в диапазоне от ~106 для крупноразмерных клеток Tetraselmis suecica и Rhodomonas salina до ~4 · 106 кл./мл для мелкоразмерных клеток Phaeodactylum tricornutum и Isochrysis galbana.
Экспериментальные смеси фотосинтетических микроводорослей и гетеротрофных динофлагеллят (50 мл) помещали в стерильные стеклянные сосуды и инкубировали их в течение четырех суток в затемненных условиях (для предотвращения нарастания микроводорослей) при оптимальной температуре 21 ± 1°С и скорости перемешивания 100 rpm с помощью орбитального шейкера ELMI S-3, оценивая изменения концентрации жертв (микроводорослей) и хищника (гетеротрофных диноффлагеллят). Подготавливали суспензии путем разбавления исходных культур микроводорослей стерильной морской водой до получения необходимых начальных концентраций в экспериментальной суспензии.
Для каждого отдельного эксперимента в каждой повторности ежесуточно и единовременно определяли численность и размеры клеток микроводорослей и Oxyrrhis marina, отбирая и оценивая их в аликвоте (1 мл), взятой из экспериментальных сосудов после тщательного перемешивания.
Цитометрия. Концентрацию клеток и размеры фотосинтезирующих микроводорослей и гетеротрофных динофлагеллят в экспериментальных суспензиях определяли с помощью проточного цитометра CytomicsTM FC 500 (Beckman Coulter, США), оборудованного синим (488 нм) однофазным аргоновым лазером, и анализировали с помощью программного обеспечения CXP аналогично (Khanaychenko et al., 2018). Виды микроводорослей идентифицировали в смесях на основе комбинации их таксономических признаков (внутриклеточное содержание пигментов) и аллометрических характеристик (эквивалентный сферический диаметр — ESD), определяемых в ходе цитометрического анализа (Cucci et al., 1989). Гейтинг популяций клеток проводили в программном пакете Flowing Software v. 2.5.0 (Perttu Terho, Turku Centre for Biotechnology, University of Turku, Finland, www.flowingsoftware.com) на двух параметрических цитограммах прямого светорассеивания (FS), автофлуоресценции хлорофилла а в красной области спектра (канал FL4, 675 нм) и автофлуоресценции фикоэритрина в оранжевой области спектра (канал FL2, 575 нм) на безразмерных логарифмических шкалах (рис. 2). Качество измерений контролировали с помощью калибровочных флуоросфер Flow-Check TM (Beckman Coulter). Измерения размеров клеток (ESD) калибровали с помощью набора полиэстеровых микросфер (Polysciences, Inc.) известного размера в диапазоне 0.5–10 мкм. Средние величины ESD, объема клетки и биообъема определяли для каждой популяции клеток по калибровочным кривым (Olson et al., 1993).
Рис. 2. Гейтинг микроводорослей из трехкомпонентных смесей TRI (а, б) и TRP (в, г) на двухпараметрических цитограммах прямого светорассеивания (FS) и автофлуоресценции в красной (FL4, хлорофилл а) и оранжевой (FL2, фикоэритрин) областях спектра: I — Isochrysis galbana, P — Phaeodactylum tricornutum, T — Tetraselmis suecica, R — Rhodomonas salina.
Расчеты. На основании данных, полученных с помощью проточной цитометрии, проведены расчеты концентрации и изменения размеров клеток; построены графики динамики численности клеток, рассчитаны скорости потребления микроводорослей, удельной скорости роста численности популяции гетеротрофных динофлагеллят; определены скорости осветления среды и потребления микроводорослей в клетках и в углеродном эквиваленте их биомассы; определены суточные удельные рационы и избирательность питания, а также эффективность использования пищи на рост популяций O. marina в зависимости от конкретного вида микроводоросли или их состава в трехкомпонентных смесях.
Скорости потребления (выедания, поглощения) микроводорослей (Gi, кл./(экз · сут)) и скорости осветления среды (Fi, мкл/(экз · сут)) гетеротрофными динофлагеллятами O. marina рассчитывали для каждого суточного интервала по разнице начальных (X0, кл./мл) и конечных (XT, кл./мл) концентраций клеток микроводорослей в экспериментальных и контрольных сосудах согласно (Frost, 1972) собственной модификации (Khanaychenko et al., 2018):
Fi = (Ln X’ – Ln XTЭ)/(Nav × T),
Nav = (NT — N0)/(Ln NT — Ln N0),
X’ = XTК + X0Э — X0К,
Gi = Fi × (XTЭ — X0Э)/(Ln XTЭ — Ln X0Э),
где X0Э и XTЭ — начальная и конечная численности микроводорослей в эксперименте, X0К и XTК — начальная и конечная численности микроводорослей в контроле, N0 и NT — начальная и конечная численности O. marina в эксперименте (экз./мл).
Используя полученные с помощью цитометрии усредненные значения ESD (эквивалентный сферический диаметр) клеток каждого вида в каждый конкретный момент времени измерения, рассчитывали объем клеток (V, мкм3) путем аппроксимации к объему шара V = 4/3 × 3.14 × × (ESD/2)3. Углеродный эквивалент биомассы клеток (VC, пг C/кл.) микроводорослей и гетеротрофных динофлагеллят рассчитывали с использованием объема клеток для конкретных видов (в конкретный момент времени) и коэффициентов пересчeта (конверсионные уравнения пересчeта объeма в углерод) объeма клеток разных таксонов в единицы углерода (Menden-Deuer, Lessard, 2000). Для оценки изменения углеродного эквивалента биомассы микроводорослей пересчитывали углеродный эквивалент биомассы одной клетки на численность их клеток в объеме, аналогично рассчитывали скорость нарастания углеродного эквивалента биомассы O. marina.
Скорость поглощения углерода динофлагеллятами (Gc, пг C/(экз. · сут)) рассчитывали как произведение углеродного эквивалента биомассы поглощенных ими клеток микроводорослей на скорость поглощения клеток Gi. Удельную скорость роста численности популяции (µ, сут-1) вычисляли по стандартной формуле для экспоненциальной фазы роста культур, как µ = = (Ln NT — Ln N0)/T, где NT и N0 – конечная и начальная концентрации клеток O. marina, соответственно, T — прошедшее время в сутках. Аналогично рассчитывали скорость роста углеродного эквивалента биомассы динофлагеллят как µс = = [Ln (VCT × NT) – Ln (VC0 × N0)]/T, где VCT и VC0 – углеродные эквиваленты биомассы клеток при их конечной и начальной концентрации соответственно. Суточный рацион в углеродных единицах (DR) O. marina рассчитывали как DR = = Gc/VCO, где VCO — углеродный эквивалент биомассы клетки O. marina. Для оценки баланса поглощения пищи и использования ее на рост популяции O. marina в углеродных единицах была рассчитана эффективность использования пищи на рост по формуле GGE = µс/DR (Calbet et al., 2013), аналога К1 – коэффициента использования потребленной пищи на рост (Заика, 1972).
Селективность питания O. marina в смеси микроводорослей оценивали, используя модификацию индекса Ивлева, по индексу элективности Ei* (Vanderploeg, Scavia, 1979):
Ei* = (Wi — 1/n)/(Wi + 1/n),
где n — общее количество видов жертв, а Wi, — коэффициент селективности:
Wi = (Gi/Xi)/Σ(Gi/Xi),
где Gi (кл./(экз · сут)) – количество клеток микроводорослей определенного вида, потребленного гетеротрофной динофлагеллятой за сутки, а Xi — концентрация клеток микроводорослей определенного вида в среде.
Обработку полученных данных проводили с помощью программы Excel. Рассчитывали средние арифметические величины (М), стандартные отклонения (± SD) и достоверность (p < 0.05) различий средних с помощью t-критерия Стьюдента.
Цифровые фотографии получали при увеличении ×40 под микроскопом Nikon Eclipse.
РЕЗУЛЬТАТЫ ИССЛЕДОВАНИЯ
В экспериментальных условиях с применением проточной цитометрии определяли значения концентрации и ESD клеток микроводорослей и гетеротрофных динофлагеллят в процессе динамики их изменения в каждом эксперименте скорости потребления пищи и удельной скорости роста численности популяции. Выявлены достоверные различия селективности питания и эффективности использования пищи на рост лабораторных популяций OXY-IBSS в культурах, питавшихся четырьмя видами водорослей.
Гетеротрофные динофлагелляты OXY–IBSS в начале эксперимента находились в оптимальных трофических условиях при концентрациях клеток пищевых объектов ad libitum. Исходные концентрации клеток микроводорослей соответствовали концентрации углерода ~0.02 мкг С/мл. Начальная обеспеченность OXY-IBSS пищей в суспензиях находилась в пределах (0.2 × 103 (R. salina) – 20 × 103 (I. galbana) кл./экз., что соответствовало ~10 нг С/экз.
Эквивалентный сферический диаметр ESD микроводорослей в экспериментальных суспензиях варьировал в пределах 3.4 ± 0.3 мкм (P. tricornutum, P); 3.7 ± 0.4 мкм (I. galbana,); 6.1 ± ± 0.9 мкм (T. suecica, T); 7.4 ± 0.7 мкм (R. salina, R). Значения ESD динофлагеллят варьировали в зависимости от вида микроводорослей, которым они питались, обеспеченности пищей и фазы роста популяции, однако значимых (P < 0.05) различий между средними для разных пищевых суспензий не обнаружено: ESD O–O = 23.0 ± 2.4; ESD O–P = 20.4 ± 1.1; ESD O–R = 25.3 ± 1.7; ESD O–T = 23.6 ± 1.2; ESD O–I = 23.9 ± 6.1; ESD O–TRP = 24.4 ± 1.7; ESD O–TRI = 23.9 ± 1.7 мкм.
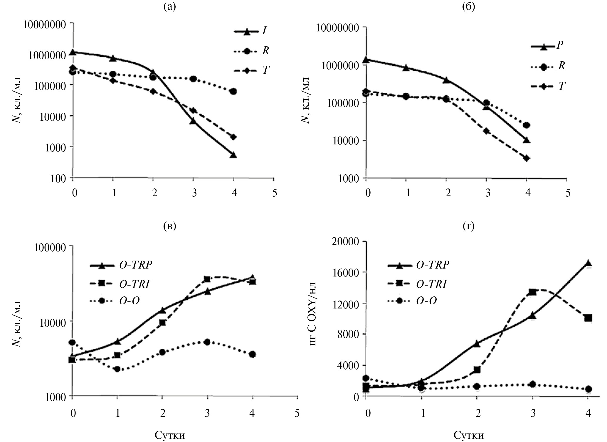
Динамика изменения численности микроводорослей и популяции Oxyrrhis marina в разных экспериментальных вариантах. Все варианты суспензий микроводорослей индуцировали быстрый рост численности гетеротрофных динофлагеллят. В течение 4 сут эксперимента в процессе питания и размножения численность клеток OXY–IBSS возрастала от ~2–4 до 15–43 экз./мкл, концентрации клеток микроводорослей в суспензиях разных экспериментальных вариантов снижались от максимальных исходно высоких (7 × 105 R — 4 × 106 P кл./мл) до минимальных пороговых (0.2 × 103 I — 5× 104 T кл./мл) (рис. 3).
Рис. 3. Динамика изменения численности клеток (N, кл./мл) микроводорослей и Oxyrrhis marina в однокомпонентных суспензиях: а — с Isochrysis galbana (I); б — с Phaeodactylum tricornutum (P); в — с Rhodomonas salina (R); г — с Tetraselmis suecica (T). O–P, O–I, O–T, O–R — численность O. marina при питании соответствующими микроводорослями.
Характер динамики численности популяции O. marina зависел от условий питания. Максимально достигаемые значения численности и остановка роста численности популяций гетеротрофных динофлагеллят варьировали в зависимости от вида или смеси видов микроводорослей, которыми они питались. Остановка роста численности O. marina происходила внезапно в разное время при исчерпании пищевого ресурса, т.е. при снижении его концентрации ниже пороговых значений.
Так, численность популяции OXY–IBSS (рис. 3) возрастала на протяжении 3 сут при питании в однокомпонентных суспензиях мелкоразмерных микроводорослей P и I. Пороговые концентрации ниже 4 · 104 кл./мл P приводили к остановке роста численности OXY–IBSS на 3-и сут, при достижении максимума численности 19 экз./мкл. Быстрое снижение концентрации клеток I с 3 · 106 до 103 кл./мл за первые 2 сут эксперимента в результате их быстрого выедания приводило к достижению максимума численности OXY–IBSS 43 экз./мкл на 3-и сут эксперимента. На 4-е сут происходило резкое снижение численности динофлагеллят из-за полного исчерпания пищевого ресурса (Isochrysis galbana) и перехода к каннибализму, аналогично экспериментальному варианту, в котором исходно отсутствовали микроводоросли-фотосинтетики (рис. 4в, 4г).
В суспензиях крупноразмерных нанопланктонных микроводорослей численность популяции O. marina продолжала стабильный рост в течение 4 сут. В суспензии R численность динофлагеллят достигала максимума 25 экз./мкл, и прекращала рост, когда концентрация микроводорослей снижалась до 8 · 103 кл./мл. При питании T численность динофлагеллят нарастала медленно в течение 2 сут, но начиная с 3 сут быстро возрастала, достигнув 39 экз./мкл, и продолжала рост на 4-е сут, при концентрации микроводорослей 5 · 104 кл./мл. Далее состояние популяции O. marina не отслеживали, поскольку в остальных однокомпонентных суспензиях рост прекратился.
В вариантах трехкомпонентных смесей микроводорослей численность популяции O. marina нарастала до максимума 36 экз./мкл в течение 3 сут при питании в смеси микроводорослей TRI (Tetraselmis suecica + Rhodomonas salina + Isochrysis galbana) (рис. 4в), при питании в смеси микроводорослей TRP (Tetraselmis suecica + Rhodomonas salina + Phaeodactylum tricornutum) экспоненциальный рост популяции O. marina продолжался и на 4-е сут по достижении концентрации 39 экз./мкл (рис. 4в). Незначительное снижение численности Oxyrrhis marina на 4-е сут в суспензии TRI (рис. 4в) сопровождалось резким падением углеродного эквивалента биомассы популяции (рис. 4г), в то время как углеродный эквивалент биомассы популяции в суспензии TRP продолжал расти на 4-е сут.
В отсутствие пищевого ресурса (вариант O–O) клетки гетеротрофных динофлагеллят переходят к каннибализму, и в течение 4 сут наблюдаются осциллирующие колебания численности клеток O. marina (в пределах 2500 кл./мл) от 5 до 2 экз./мкл-1 (рис. 4в). При этом общий углеродный эквивалент биомассы OXY–IBSS в отсутствие микроводорослей в течение 4 сут снижался незначительно (рис. 4г).
Рис. 4. Динамика изменения численности клеток (кл./мл) микроводорослей в трехкомпонентных смесях TRI (а) и TRP (б); динамика изменения численности клеток Oxyrrhis marina (кл./мл) в смесях TRI и TRP и в отсутствие микроводорослей (O-O) (в); динамика изменения углеродного эквивалента биомассы O. marina в смесях TRI и TRP и в отсутствие микроводорослей (O-O) (г). Здесь и на рис. 5, 6: I — Isochrysis galbana; N — численность; O — Oxyrrhis marina, P –Phaeodactylum tricornutum, R — Rhodomonas salina, T — Tetraselmis suecica.
Скорость потребления микроводорослей и скорость осветления среды O. marina. Гетеротрофные динофлагелляты OXY–IBSS потребляли клетки всех видов микроводорослей, и в монокультурах, и в смешанных культурах, с высокой скоростью, однако, интенсивность их потребления варьировала в зависимости от вида. Скорости осветления среды OXY–IBSS не превышали 0.1–0.5 мкл/(экз. · сут), скорости потребления клеток находились в зависимости от вида микроводорослей и концентрации их клеток в среде. В однокомпонентных суспензиях микроводорослей скорость осветления среды была максимальна в 1-е сут эксперимента при обеспеченности пищей ad libitum, в диапазоне от 0.1 мкл/(экз. · сут) в суспензии R до 0.5 мкл/(экз. · сут) в суспензии I (рис. 5а). На 2-е сут скорость осветления среды резко сокращалась во всех суспензиях (в связи с падением концентрации микроводорослей) до 0.1 мкл/(экз. · сут), но динофлагелляты продолжали осветлять среду с прежней скоростью до 0.5 мкл/(экз. · сут) до снижения концентрации ниже пороговой.
Рис. 5. Скорости фильтрации (F, нл/(экз. · сут)) и потребления клеток микроводорослей (Gi, кл./(экз. ·сут)) и углеродного эквивалента их биомассы (Gc, пг С/(экз. · сут)) динофлагеллятами от ad libitum до пороговых концентраций в однокомпонентных суспензиях.
Максимальная скорость поглощения клеток (наблюдаемая в течение 1-х сут эксперимента при обеспеченности пищей ad libitum) варьировала в зависимости от размерных характеристик микроводорослей. В экспериментах с монокультурами скорости потребления клеток обоих видов мелкоразмерных P и I были значимо выше (P < 0.05) по сравнению со скоростями поглощения более крупных видов (T и R). Максимальное количество клеток гетеротрофные динофлагелляты потребляли в суспензии I к началу 2-х сут (в среднем 44 кл./(экз. · ч)), несколько ниже была скорость поглощения клеток P (34 кл./(экз. · ч)), еще ниже (11 кл./(экз. · ч)) – в суспензии T, и наименьшее (2 кл./(экз. · ч)) при питании R, вида с наиболее крупными размерами клеток. Среди четырех видов микроводорослей скорость потребления клеток была минимальной (2 кл./(экз. · ч)/57 кл./(экз. · ч)) в суспензии R, а максимальной (44 кл./(экз. · ч)/103 кл./(экз. · ч)) – в суспензии I (рис. 5б).
Выраженная в углеродных единицах скорость потребления микроводорослей динофлагеллятами OXY–IBSS в 1-е сут эксперимента в условиях повышенных концентраций микроводорослей, также оказалась достоверно более высокой (P <0.05) при питании I (3.9 нг С/ (экз. · сут) (рис. 5в), и достоверно более низкой — при питании смесью микроводорослей TRP (1.5 нг С/(экз. · сут)) (P <0.05). Суточная скорость потребления углерода динофлагеллятами в остальных экспериментальных условиях варьировала от 2.3 (R) до 3 нг С/(экз. · сут) (P).
Максимальный суточный рацион (DR) в процентах (%) от углеродного эквивалента биомассы черноморского штамма O. marina OXY–IBSS в период избыточного питания (1-е сут эксперимента) был от 490% (O–T) – 680% (O–R) до 1400% (O–P) – 2900% (O–I) в однокомпонентных суспензиях, и 370% (O–TRI) – 650% (O–TRP) в трехкомпонентных суспензиях микроводорослей.
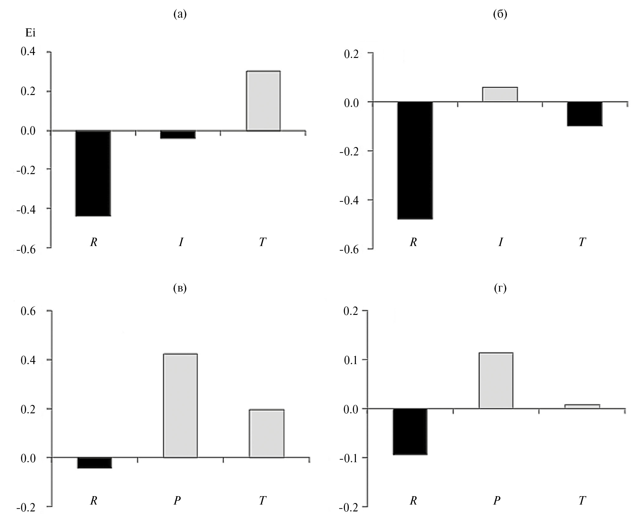
Избирательность питания микроводорослями гетеротрофных динофлагеллят. Избирательность питания O. marina оценивали в двух вариантах многокомпонентных смесей TRI (Tetraselmis suecica + Rhodomonas salina + Isochrysis galbana) и TRP (Tetraselmis suecica + Rhodomonas salina + + Phaeodactylum tricornutum). Оказавшись в 1-е сут эксперимента в условиях трехкомпонентной смеси микроводорослей TRI при пропорции клеток T. suecica 20%, R. salina 15%, I. galbana 65% в общей концентрации клеток всех трех видов 1816 кл./мкл (т.е. в условиях обеспеченности пищей ad libitum), динофлагелляты проявляли избирательность только по отношению к T (индекс элективности Ei* = +0.30); I отфильтровывали пропорционально их концентрации в среде (Ei* = –0.04), а R потребляли в пропорции значительно меньшей, чем их вклад в суммарную концентрацию клеток микроводорослей в среде (Ei* = –0.44) (рис. 6а). На 2-е сут при значительном снижении общей концентрации клеток всех трех микроводорослей (до 1124 кл./мкл), динофлагелляты избирательно (Ei* = +0.14) потребляли клетки I, концентрация которых за сутки снизилась вдвое; отфильтровывали клетки T почти пропорционально их концентрации в среде (Ei* = –0.02), и в значительно меньшей пропорции поглощали клетки R (Ei* = –0.58). Снижение общей концентрации разных микроводорослей до 489 кл./мл в среде (с долей I 51% общей концентрации клеток) на 3-и сут эксперимента приводило к повышению индекса избирательности I до Ei* = +0.51, поглощению T пропорционально их концентрации в среде (Ei* = +0.02), и R в пропорции значительно меньше их процентного содержания в среде (Ei* = – 0.58).
Рис. 6. Индексы элективности (Ei ) клеток микроводорослей из трехкомпонентных смесей TRI (а, в) и TRP (б, г) в 1-е сут эксперимента (а, б) и за 3 сут совокупно (в, г).
При столкновении с тремя различными жертвами в трехкомпонентной смеси TRP при насыщающей суммарной концентрации клеток 1920 кл./мкл (19% T. suecica; 9% R. salina и 72% P. tricornutum) в течение первых суток OXY–IBSS выедал P пропорционально концентрации его клеток в среде (Ei* = +0.06), в меньшей степени фагоцитировал клетки T (Ei* = –0.1), и еще в меньшей степени поглощал клетки (Ei* = –0.48) (рис. 6в). На 2-е сут динофлагелляты проявляли незначительную избирательность по отношению к P (Ei* = +0.14), потребляя T (Ei* = –0.53) в пропорции значительно ниже их пропорций в смеси и избегали R (Ei* = –0.55). При снижении общей концентрации всех трех видов водорослей в смеси TRP до 192 кл./мкл, а P до 81 кл./мкл (42%) на 3-и сут динофлагелляты начинали активно выбирать T (Ei* = +0.21), и, в меньшей степени, P (Ei* = +0.13), продолжая отлавливать клетки R в значительно более низкой пропорции по сравнению с их концентрацией в среде (Ei* = –0.66).
Однако, если рассматривать избирательность питания OXY–IBSS в трехкомпонентных суспензиях, основываясь на совокупном выедании клеток за период 3 сут, то можно утверждать, что в смеси TRI динофлагелляты проявляют значительную селективность исключительно по отношению к I (Ei* = +0.43), и в меньшей степени к T (Ei* = +0.20), поглощая почти пропорционально нахождению в среде клетки R (Ei*= –0.04) (рис. 6б). В суспензии TRP за период питания ею в течение трех суток совокупно избирательность динофлагеллятами мелкоразмерных клеток P можно оценить как незначительную (Ei* = +0.11), в то время как оба вида крупноразмерных микроводорослей OXY–IBSS потреблял приблизительно пропорционально их концентрации в среде, т.е. по мере столкновения с их клетками, с Ei* = +0.01 для T и Ei* = –0.09 для R (рис. 6г).
Удельная скорость роста популяций динофлагеллят в разных трофических условиях. Динамика роста популяций O. marina и удельная скорость роста их численности значительно различались в зависимости от вида микроводорослей, которыми они питались. Скорость удельного роста популяции (µ, сут-1) в течение первых 2 сут возрастала при питании любыми микроводорослями, достигая в течение короткой фазы экспоненциального роста в среднем 0.6–0.8 сут-1, за исключением I, при питании которыми максимальная скорость удельного роста превысила 2 сут-1, а в среднем была 1.5 сут-1.
Оценка эффективности трансформации углеродного эквивалента биомассы микроводорослей в углеродный эквивалент биомассы гетеротрофных динофлагеллят (GGE, %).
В связи с разнородностью динамики роста численности динофлагеллят (длиной лаг-фазы, длительностью роста популяции и др.) оценку эффективности трансформации углеродного эквивалента биомассы микроводорослей в углеродный эквивалент биомассы гетеротрофных динофлагеллят (GGE, %) проводили за суммарный период от начала эксперимента до 3 сут. При питании в однокомпонентных суспензиях GGE (за трое суток) OXY–IBSS повышался от мелкоразмерных (14.5 и 15.0% для P и I соответственно) к более крупным нанофлагеллятам (25.9. и 29.3 % для T и R соответственно) (рис. 7).
Рис. 7. Эффективность использования углерода потребленных микроводорослей на прирост углеродного эквивалента биомассы гетеротрофных динофлагеллят O. marina (GGE, %) при питании в однокомпонентных смесях (O–P — Phaeodactylum tricornutum; O–R — Rhodomonas salina; O–T — Tetraselmis suecica; O–I — Isochrysis galbana) и в трехкомпонентных смесях микроводорослей (O–TRI — Tetraselmis suecica, Rhodomonas salina, Isochrysis galbana и O–TRP — Tetraselmis suecica, Rhodomonas salina, Phaeodactylum tricornutum).
Трехкомпонентные диеты динофлагеллят, обе содержавшие крупноразмерных T и R, показали значимую разницу эффективности трансформации в сравнении с мелкоразмерным компонентом (P или I). Эффективность трансформации углеродного эквивалента биомассы микроводорослей динофлагеллятами при питании смесью TRP с P (GGE = 40.7%) оказывалась значимо (P <0.05) выше, чем при их содержании в смеси TRI с I (GGE = 24.3%) (рис. 7).
ОБСУЖДЕНИЕ РЕЗУЛЬТАТОВ
Морские планктонные организмы претерпевают значительные колебания количества и качества пищи в течение жизни. Известно, что многие динофлагелляты имеют разнообразные механизмы адаптации к изменениям условиям среды, повышающие выживаемость их популяций (Стельмах, Мансурова, 2021; Khanaychenko et al., 2019; Telesh et al., 2021). Степень изменчивости пищевых ресурсов гетеротрофных динофлагеллят, населяющих преимущественно прибрежные временные или полузамкнутые водоемы с их высокоизменчивым качественным и количественным составом фитопланктона, вызывает соответствующие адаптивные реакции. Анализ полученных данных позволяет высказать несколько предположений о влиянии варьирующих трофических условий на характеристики роста их популяций. Штамм O. marina OXY–IBSS продемонстрировал высокие максимальные скорости потребления пищи, высокую скорость роста численности и эффективное использование импульсного питания на рост популяции, а также значительную выживаемость в процессе голодания.
Безусловно, концентрация пищи играет определяющую роль для скорости потребления и роста численности. Все пищевые суспензии, в которых развивались экспериментальные популяции OXY–IBSS, в начале эксперимента имели концентрации клеток ad libitum, сопоставимые по углеродному эквиваленту биомассы, и были составлены из оптимальных по размеру фотосинтезирующих нанофлагеллят. Однако, скорость потребления микроводорослей, скорость и длительность роста численности популяций после избыточного импульсного питания, и эффективность использования пищи на рост OXY–IBSS значимо варьировали в зависимости от вида микроводоросли в однокомпонентных или в различных сочетаниях микроводорослей в трехкомпонентных суспензиях.
Известно, что основной способ питания O. marina — фагоцитоз, эти гетеротрофные динофлагелляты могут питаться широким спектром разных таксонов фотосинтетических микроводорослей. Характерное пищевое поведение O. marina включает поиск добычи до контакта с ней, захват “жертвы” жгутиком и ее фагоцитоз. Согласно нашим микроскопическим наблюдениям, при контакте с пищей OXY–IBSS ведут себя очень активно, одна особь может легко и быстро поглотить от двух до четырех клеток T и R, ESD которых в ~2–4 раза меньше клетки O. marina; в случае более мелких P и I (ESD в 7–8 раз меньше клетки O. marina), количество одновременно заглоченных клеток могло увеличиваться до 5–7. Значимые различия получены в скорости потребления клеток микроводорослей динофлагеллятами, которая возрастала обратно пропорционально их размерам (объему) клеток. Клетки мелкоразмерных микроводорослей потреблялись быстрее, чем крупноразмерных, эти различия не исчезали, даже если скорость поглощения оценивали в углеродных единицах. Очевидно, более высокая концентрация мелкоразмерных микроводорослей (P и I) и, соответственно, более высокая вероятность “встречи” обеспечивает более быстрое их потребление по сравнению с более разряженной концентрацией крупноразмерных (T и R).
Максимальные скорости потребления пищи (в углеродных единицах) и скорости осветления среды OXY–IBSS, полученные в наших экспериментах при питании разными микроводорослями: 1.5 (суспензия TRP); 2.3 (R); 3 (P); 3.9 нг С/(экз. · сут) (I) – при максимальных скоростях осветления среды 0.1–0.5 мкл/(экз. · сут), оказались сопоставимы с характеристиками питания других штаммов этого вида динофагеллят, со скоростью осветления среды и скоростью потребления углерода в пределах 0.002–0.015 мкл/(экз · ч) и 0.07–2.8 нг С/(экз. · сут) соответственно (Roberts et al., 2011; Calbet et al., 2013). Максимальные суточные рационы (DR) в процентах (%) от углеродного эквивалента биомассы OXY–IBSS в период избыточного питания Rhodomonas salina — 680% оказались сопоставимы с DR ~500% штамма OXY–BCN при питании R. salina (Calbet et al., 2013). Подобные суточные рационы наблюдали у инфузорий (70–200%) и у жгутиконосцев (320–510% биомассы) даже при низких температурах в природных условиях (Романова и др., 2013).
Длительность нарастания численности популяции OXY–IBSS от начала импульсного избыточного питания варьировала от трех (Isochrysisgalbana и Phaeodactylum tricornutum) до более четырех суток (Tetraselmissuecica и Rhodomonas salina). Клетки Oxyrrhis marina в экспериментальных популяциях переставали делиться при концентрациях мелкоразмерных клеток Isochrysis galbana и Phaeodactylum tricornutum ~ 5 · 104 кл./мл, но продолжали размножаться при снижении концентрации Rhodomonas salina до 7 · 103 кл./мл. Численность O. marina в наших экспериментах в условиях питания ad libitum возрастала со скоростью µ ~1 сут-1 при скорости потребления Rhodomonas salina 57 кл./(экз. · сут), превышая вдвое скорость роста численности O. marina штамма OXY–BCN (µ = 0.44), который потреблял клетки Rhodomonas salina с аналогичной скоростью (Calbet et al., 2013). Максимальные удельные скорости роста численности популяции OXY–IBSS (до 2.2 сут-1 при избыточном питании Isochrysis galbana за короткий промежуток времени строго логарифмического роста популяции, который может не превышать одних суток), значимо превышают скорость роста численности микроводорослей, и сходны со скоростью роста инфузорий, которая может превышать скорость роста численности их жертв в два–три раза за счет высокой эффективности использования потребленного органического вещества на рост популяции (Goldman et al., 1989). Полученные нами средние величины скорости роста численности OXY-IBSS сопоставимы с вариациями в скорости роста, полученными для других штаммов O. marina — 0.8–1.3 сут-1 (Droop, 1959; Goldman et al., 1989; Calbet et al., 2013), но ниже, чем у OXY–IBSS при избыточном питании Isochrysis galbana. Однако, между началом фагоцитоза клеток микроводорослей и делением Oxyrrhis marina может наблюдаться расхождение во времени (лаг-фаза) как перед началом, так и перед окончанием экспоненциальной фазы роста. Это позволяет предположить, что гетеротрофные динофлагелляты могут по-разному расходовать, трансформировать и накапливать полученные с пищей соединения. Высокую скорость потребления клеток Isochrysis galbana в начале эксперимента при их концентрации ad libitum и продолжение роста численности Oxyrrhis marina уже после снижения концентрации пищи ниже пороговой можно объяснить тем, что в данном варианте O. marina сочетает два механизма: “роскошное” избыточное питание (“luxury feeding”) и компенсаторный рост (“compensatory growth”) согласно стехиометрической пластичности данного вида (Meunier et al., 2012). Для быстрого роста клетки должны иметь большой набор рибосом, обеспечивающий обширный синтез белка, необходимый для высоких скоростей роста, и O. marina выбирает наиболее подходящие пищевые объекты, используя хемотаксис (Meunier et al., 2012).
Выявленные нами видоспецифические особенности селективности питания гетеротрофных динофлагеллят OXY–IBBS свидетельствуют, что в основе механизма “отбора” пищи играют роль не только размерно-морфологические характеристики клеток, но и хеморецепторная оценка пищевых частиц, которая может различаться не только для разных видов микроводорослей, но и зависеть от состояния их клеток. Все микроводоросли, которые использованы в нашем эксперименте, отобраны из культур в экспоненциальной фазе роста, содержавшихся на среде Уолна с избыточным количеством минеральных компонентов, соответственно, нельзя предположить, что микроводоросли могли быть отвергнуты O. marina из-за их плохого состояния. Поэтому в рассмотренных суспензиях механизм селекции, вероятнее всего, связан с размерными характеристиками клеток и с различным хемотаксономическим составом жертв, определяемых хеморецепторным аппаратом O. marina, как, например, активная селекция штаммом OXY–IBBS микроводоросли Isochrysis galbana из трехкомпонентной смеси TRI.
Скорость биоконверсии (трансформации биомассы микроводорослей в биомассу гетеротрофов) зависит также не только от концентрации и размеров пищевых частиц, но и от содержания в них определенных незаменимых соединений. Согласно нашим экспериментальным данным, при избытке I. galbana гетеротрофы с высокой скоростью поглощают их биомассу и быстро трансформируют ее в собственную, что приводит к быстрому размножению и резкому всплеску численности OXY–IBSS. После избыточного двухсуточного питания, при снижении I. galbana <103 кл./мл, и, соответственно, снижению рациона ниже порогового, динофлагелляты продолжают делиться. Описана способность O. marina консервировать значительную часть азота (55–77%), усвоенного из пищи в период еe изобилия, к наступлению стационарной фазы роста популяции, т.е. не только эффективно конвертировать биомассу поглощeнных жертв в собственную протоплазму, но и до некоторой степени “растягивать” запасы на период голодания (Goldman et al., 1989). Однако, через сутки голодания ресурсы, полученные динофлагеллятами при предшествовавшем голоданию избыточном питании I. galbana, быстро расходуются, и клетки Oxyrrhis marina переходят к каннибализму. Напротив, при более низком (по числу клеток и углеродному эквиваленту биомассы) рационе питания при потреблении Rhodomonas salina, питательные вещества и энергия значительно эффективнее расходуются на размножение Oxyrrhis marina, приводя к более стабильному росту популяции при средних значениях удельной скорости роста, При питании Tetraselmis suecica даже в условиях ad libitum сначала происходит задержка размножения (лаг-фаза) O. marina, но после лаг-фазы наблюдается стабильный рост численности популяции более длительное время, чем на других пищевых ресурсах. Возможно, поэтому, мы наблюдали сбалансированное по росту сосуществование популяций “хищника” и “жертвы” – Tetraselmis sp. и Oxyrrhis marina во временном прибрежном морском водоеме, из которого выделен штамм OXY–IBSS.
Высокая эффективность использования пищи на рост GGE за короткий промежуток времени у гетеротрофных динофлагеллят связана с преимущественной формой их питания — фагоцитозом. Известно, что планктонные микроводоросли — первичные продуценты высоконенасыщенных жирных кислот n-3 ВНЖК, тогда как организмы более высоких трофических уровней получают эти питательные вещества, в основном, путем биоаккумуляции. Микроводоросли, которыми питались экспериментальные популяции O. marina, имеют существенные хемотаксономические различия, особенно в составе липидов и ненасыщенных жирных кислот, наиболее важные из которых для морских пищевых цепей — 20:5n-3 (ЭПК, эйкозапентаеновая) и 22:6n-3 (ДГК, докозагексаеновая). Клетки примнезиофитовых Isochrysis galbana содержат значительное количество липидов и из ненасыщенных жирных кислот, преимущественно ДГК и незначительное количество ЭПК; для криптофитовых Rhodomonas salina характерно содержание в большей степени ЭПК по сравнению с ДГК; диатомовые Phaeodactylum tricornutum имеют очень высокое содержание ЭПК, но очень низкое ДГК; в составе зеленых Tetraselmis suecica полностью отсутствует ДГК, имеется незначительное количество ЭПК, и высокое — 18:3ω3. В отличие от планктонных ракообразных, которые могут только биоаккумулировать жирные кислоты из микроводорослей, но не элонгировать их, жирно-кислотный состав гетеротрофных динофлагеллят O. marina почти не зависит от жирно-кислотного состава его “жертв” – микроводорослей, и оказывается весьма стабильной величиной, варьируя в незначительных пределах (30–36% 22:6n-3 и 1.4–3.7% 20:5n-3). Это связано с практически доказанной особенностью, свойственной O. marina биохимической стратегией — преобразованием жирнокислотного состава поглощаемой пищи путем десатурации и удлинения жирной кислоты 18:3ω3 до 20:5n-3 и до 22:6n-3 (Parrish et al., 2012).
Высокое содержание ДГК в Isochrysis galbana, несомненно, способствует быстрой трансформации биомассы этих микроводорослей в биомассу гетеротрофов, поскольку не требует энергии для десатурации и удлинения предшественников данной ЖК, необходимой для метаболизма Oxyrrhis marina. Для поимки мелкоразмерных клеток Isochrysis galbana при резком снижении их концентрации в среде необходимы значительные энергозатраты, которые не компенсируются малым количеством ЭПК, что приводит к столь же быстрому истощению внутренних энергетических запасов O. marina при голодании. Возможно, поэтому, несмотря на значительно более высокие DR при питании OXY-IBSS мелкоразмерными Isochrysis galbana и Phaeodactylum tricornutum, получен наиболее низкий индекс GGE (~15%). Самый высокий индекс GGE динофлагеллят, зарегистрированный в условиях однокомпонентных суспензий (Rhodomonas salina), очевидно, связан с тем, что их клетки содержат значительное количество ЭПК и ДГК, и на поимку одной клетки затрачивается меньше энергии, но она обеспечивает значительно бóльшим пищевым ресурсом по сравнению с мелкоразмерными микроводорослями. Высокие значения GGE при питании трехкомпонентными смесями (TRI 24.3% и TRP 40.7%) свидетельствуют о более сбалансированном метаболизме динофлагеллят в условиях наличия разнообразных незаменимых пищевых компонентов из разных микроводорослей.
ЗАКЛЮЧЕНИЕ
Результаты исследования показали, что гетеротрофные динофлагелляты Oxyrrhis marina высокоадаптированы к гетерогенным или нестабильным условиям и быстро потребляют микроводоросли любого таксона адекватного размера в условиях импульсного избыточного питания. Этот вид быстро размножается и может выедать ~45% биомассы крупных нанофлагеллят и ~75% биомассы мелких нанофлагеллят при их высокой концентрации, элиминируя за несколько суток биомассу фитопланктона от максимально возможной концентрации до пороговых значений. Необходимы дальнейшие исследования биолого-физиологических и биохимических характеристик O. marina в экологических, токсикологических и марикультурных экспериментах, поскольку эти организмы, обладая оптимальной стратегией питания и выживания в экстремальных условиях, служат важным промежуточным компонентом морских пищевых цепей между первичными продуцентами (микроводорослями) и вторичными продуцентами (зоопланктоном). Способность O. marina быстро элиминировать, усваивать и трансформировать биомассу нанопланктонных микроводорослей с любым жирнокислотным составом в собственную биомассу с высоким содержанием высоконенасыщенных n-3 жирных кислот (ЭПК и ДГК) позволяет играть им важную роль в морских пищевых цепях, определяя продукцию планктонных копепод — наиболее полноценного животного корма для ранних личинок рыб, определяющего их выживаемость и рост.
ФИНАНСИРОВАНИЕ
Работа выполнена в рамках государственного задания Института биологии Южных морей по темам: “Исследование механизмов управления продукционными процессами в биотехнологических комплексах с целью разработки научных основ получения биологически активных веществ и технических продуктов морского генезиса” (№ 124022400152-1) и “Структурно-функциональная организация, продуктивность и устойчивость морских пелагических экосистем” (№ 124030400057-4).
About the authors
A. N. Khanaychenko
Institute of Biology of the South Seas
Author for correspondence.
Email: a.khanaychenko@gmail.com
Russian Federation, Sevastopol
L. O. Aganesova
Institute of Biology of the South Seas
Email: a.khanaychenko@gmail.com
Russian Federation, Sevastopol
V. S. Mukhanov
Institute of Biology of the South Seas
Email: a.khanaychenko@gmail.com
Russian Federation, Sevastopol
References
- Бегун А.А., Орлова Т.Ю., Селина М.С. 2004. Случай “цветения” воды в Амурском заливе Японского моря, вызванный динофитовой водорослью Oxyrrhis marina Dujardin, 1841 // Биология моря. T. 30. № 1. С. 68.
- Заика В.Е. 1972. Удельная продукция водных беспозвоночных. Киев: Наук. думка.
- Романова Н.Д., Мазей Ю.А., Тихоненков Д.В. и др. 2013. Сообщества гетеротрофных микроорганизмов на границе “вода–дно” в Карском море // Океанология. Т. 53. Вып. 3. С. 375. https://doi.org/10.7868/s0030157413030106
- Стельмах Л.В., Мансурова И.М. 2021. Физиологический механизм выживания динофитовых водорослей в условиях биогенного лимитирования // Биология внутр. вод. № 2. С. 1987. https://doi.org/10.31857/S0320965221020157.
- Anderson S.R., Menden-Deuer S. 2017. Growth, grazing, and starvation survival in three heterotrophic dinoflagellate species // J. Eukaryotic Microbiol. V. 64. № 2. P. 213. https://doi.org/10.1111/jeu.12353
- Calbet A., Isari S., Martínez R.A. et al. 2013. Adaptations to feast and famine in different strains of the marine heterotrophic dinoflagellates Gyrodinium dominans and Oxyrrhis marina // Mar. Ecol. Prog. Ser. V. 483. P. 67. https://doi.org/10.3354/meps10291
- Cucci T.L., Shumway S.E., Brown W.S., Newell C.R. 1989. Using phytoplankton and flow cytometry to analyze grazing by marine organisms // Cytometry: The Journal of the International Society for Analytical Cytology. V. 10. № 5. P. 659. https://doi.org/10.1002/cyto.990100523
- Droop M.R. 1959. Water-soluble factors in the nutrition of Oxyrrhis marina // J. Mar. Biol. Assoc. U K. V. 38. № 3. P. 605. https://doi.org/10.1017/s0025315400007037
- Frost B.W. 1972. Effects of size and concentration of food particles on the feeding behavior of the Marine planktonic copepod Calanus pacificus // Limnol., Oceanogr. V. 6. P. 805. https://doi.org/10.4319/lo.1972.17.6.0805
- Goldman J.C., Dennett M.R., Gordin H. 1989. Dynamics of herbivorous grazing by the heterotrophic dinoflagellate Oxyrrhis marina // J. Plankton Res. V. 11. № 2. P. 391. https://doi.org/10.1093/plankt/11.2.391
- Jeong H.J., You J.H., Lee K.H. et al. 2018. Feeding by common heterotrophic protists on the mixotrophic alga Gymnodinium smaydae (Dinophyceae), one of the fastest growing dinoflagellates // J. Phycol. V. 54. № 5. P. 734. https://doi.org/10.1111/jpy.12775
- Khanaychenko A., Mukhanov V., Aganesova L. et al. 2018. Grazing and feeding selectivity of Oithona davisae in the Black Sea: importance of cryptophytes // Turkish J. Fish and Aquat. Sci. V. 18. № 8. P. 937. http://doi.org/10.4194/1303-2712-v18_8_02
- Khanaychenko A.N., Telesh I.V., Skarlato S.O. 2019. Bloom-forming potentially toxic dinoflagellates Prorocentrum cordatum in marine plankton food webs // Protistology. V. 13. P. 95. https://doi.org/10.21685/1680-0826-2019-13-3-1
- Menden-Deuer S., Lessard E.J. 2000. Carbon to volume relationships for dinoflagellates, diatoms, and other protist plankton // Limnol., Oceanogr. V. 45. № 3. P. 569. https://doi.org/10.4319/lo.2000.45.3.0569
- Meunier C.L., Hantzsche F.M., Cunha-Dupont A.Ö. et al. 2012. Intraspecific selectivity, compensatory feeding and flexible homeostasis in the phagotrophic flagellate Oxyrrhis marina: three ways to handle food quality fluctuations // Hydrobiologia. V. 680. № 1. P. 53. https://doi.org/10.1007/s10750-011-0900-4
- Olson R.J., Zettler E.R., DuRand M.D. 1993. Phytoplankton analysis using flow cytometry // Handbook of methods in aquatic microbial ecology. Publishers, Boca Raton, FL. P. 175. https://doi.org/10.1201/9780203752746-23
- Parrish C.C., French V.M., Whiticar M.J. 2012. Lipid class and fatty acid composition of copepods (Calanus finmarchicus, C. glacialis, Pseudocalanus sp., Tisbe furcata and Nitokra lacustris) fed various combinations of autotrophic and heterotrophic protists // J. Plankton Res. V. 1. № 34(5). P. 356. https://doi.org/10.1093/plankt/fbs003
- Roberts E.C., Wootton E.C., Davidson K. et al. 2011. Feeding in the dinoflagellate Oxyrrhis marina: Linking behaviour with mechanisms // J. Plankton Res. V. 33. P. 603. https://doi.org/10.1093/plankt/fbq118
- Telesh I., Schubert H., Skarlato S. 2021. Abiotic stability promotes dinoflagellate blooms in marine coastal ecosystems // Estuarine Coastal Shelf Sci. V. 251. P. 107239. https://doi.org/10.1016/j.ecss.2021.107239
- Vanderploeg A.H., Scavia D. 1979. Two electivity indices for feeding with special reference to zooplankton grazing // J. Fish Res. Board Can. V. 36. P. 362. https://doi.org/10.1139/f79-055
Supplementary files









