Spatio-temporal changes in the phytoplankton in Lake Baikal during late Summer. II. Biomass
- Authors: Krashchuk L.S.1, Silow E.A.1, Rusanovskaya O.O.1, Shimaraeva S.V.1
-
Affiliations:
- Irkutsk State University
- Issue: Vol 17, No 1 (2024)
- Pages: 88-98
- Section: Articles
- URL: https://bakhtiniada.ru/0320-9652/article/view/261527
- DOI: https://doi.org/10.31857/S0320965224010071
- EDN: https://elibrary.ru/zahgri
- ID: 261527
Cite item
Full Text
Abstract
The results of phytoplankton biomass study in different regions of the Lake Baikal according to data of 15 expeditions from 1994 to 2013 are presented in the paper. Spatial distribution and interannual dynamics of biomass of phytoplankton in all three throughs of the lake are analyzed. The general biomass of phytoplankton during late Summer is not high. The multiyear average phytoplankton biomass equals 169 ± 5 mg/m3 for open waters of the lake. It is distributed relatively uniformly around the Southern Baikal. Higher multiyear average values are along Eastern shore in the Middle and Northern Baikal. The late summer phytoplankton biomass in Southern and Middle throughs does not differ. Average multiyear biomass of phytoplankton of Northern through is accurately lower than one for two other throws. There is no increase of biomass for any region of the lake demonstrated. The relations of general biomass of phytoplankton with water temperatures are very slight.
Keywords
Full Text
ВВЕДЕНИЕ
Байкал — одно из величайших озер мира с наибольшим объемом массы пресной воды. Пелагиаль оз. Байкал занимает ~93% акватории, поэтому именно в ней >90% всего потока энергии и круговорота вещества, обеспечивающих жизнь населения озера, что роднит организацию экосистемы с таковой Мирового Океана (Байкаловедение, 2012). Будучи первичным продуцентом органического вещества, фитопланктон служит энергетической и материальной базой всех форм жизни и лежит в основе процесса биологического продуцирования в озере. Длительные многолетние исследования фитопланктона важны для объективной оценки состояния озера.
Фитопланктон оз. Байкал достаточно хорошо изучен. В течение года он, как и фитопланктон подавляющего большинства димиктических озер умеренных широт, массово развивается дважды в сезоны стратификации подо льдом и в период позднего лета (Яснитский, 1930; Кожов, 1955, 1962). В многолетних исследованиях установлены видовой состав, сезонная и межгодовая изменчивость численности и биомассы фитопланктона на постоянных станциях в Южном Байкале (Яснитский, 1930; Антипова и Кожов, 1953; Яснитский и Скабичевский, 1957; Кожова, 1956, 1959; Антипова, 1963, 1974; Кожова и Загоренко, 1982; Kozhova, 1987; Kozhova, Izmest’yeva, 1998; Изместьева и др., 2006; Shimaraeva et al., 2010; Izmest’eva et al., 2011; Зилов и др., 2016). Однако особенности пространственного распределения фитопланктона по всей акватории озера выявлены, главным образом, для весеннего периода года (Поповская, 1977, 1978, 1987а, 1987б, 1991; Popovskaya, 2000, Поповская и др., 2015). Сведения о качественном и количественном развитии фитопланктона во всех трех котловинах (южной, средней и северной) озера в другие сезоны года, в том числе — во время его массового развития, немногочисленны (Кожова, Шастина, 1985; Кобанова и др., 2006; Belykh et al., 2007; Бондаренко 2022, Бондаренко и др., 2022). В предыдущей статье (Кращук и др., 2020) авторы обсуждали особенности изменчивости численности фитопланктона по всей акватории оз. Байкал в позднелетний период.
Цель настоящей работы — дать анализ пространственного распределения и межгодовой изменчивости общей биомассы фитопланктона во всех котловинах оз. Байкал в период позднего лета с 1994 по 2013 гг. В последующих публикациях планируется рассмотреть изменчивость структуры фитопланктона в пелагиали озера.
МАТЕРИАЛ И МЕТОДЫ ИССЛЕДОВАНИЯ
Сотрудники Научно-исследовательского института биологии Иркутского государственного университета проводят многолетние исследования фитопланктона оз. Байкал, которые включают регулярные круглогодичные наблюдения за планктоном на стационарной станции “Точка № 1” в районе пос. Большие Коты и периодические съемки по всей акватории озера в период позднего лета. Схема отбора проб по всему озеру разработана М.М. Кожовым в 1948 г. и откорректирована О.М. Кожовой в 1994 г. Она включает 20 стандартных разрезов и 69 станций в южной, средней и северной котловинах озера.
Материал для настоящей работы получен в 15 экспедициях, проходивших в конце августа–сентябре 1994–1998, 2000–2006, 2009, 2012 и 2013 гг. Работы проводили на научно-исследовательском судне “Профессор М.М. Кожов” на стандартных разрезах, охватывающих все озеро. Станции располагались на середине разреза и на расстоянии 1.5–2 км от берега (рис. 1). Следует отметить, что станции в 1.5–2 км от берега также пелагические и глубоководные, расположены по направлению от центра к западному и восточному берегам. Для удобства районирования они обозначены как “станции у западного берега (побережья)” и “станции у восточного берега (побережья)”.
Рис. 1. Карта-схема расположения станций по акватории оз. Байкал. Пунктирными линиями обозначены границы котловин. ●– станция.
Пробы фитопланктона отбирали батометром Молчанова из поверхностного слоя воды и на глубине 10 м, фиксировали раствором Утермеля и обрабатывали счетным методом (Кожова, Мельник, 1978). Для идентификации водорослей и оценки их численности использовали методы световой микроскопии. Биомассу подсчитывали с учетом объемов клеток отдельных видов, принимая удельный вес водорослей равным единице. Объемы клеток вычисляли по известным для данного водоема размерам клеток и по приравниванию их к определенным геометрическим фигурам. Всего собрано ~1900 проб. Их обрабатывали сотрудники института Н.А. Заусаева, Т.И. Романенко, Г.С. Святенко, С.В. Александрова, Г.И. Кобанова. Одновременно с отбором проб фитопланктона измеряли температуру воды встроенным в батометр ртутным термометром.
Впадина озера разделена на три хорошо разграниченные друг от друга части: южную, среднюю и северную. Южная часть, начинаясь от южной оконечности озера, простирается до дельты р. Селенга. Максимальная глубина южной впадины >1400 м. Средняя впадина озера наиболее глубокая, ограничена с юга Селенгинско-Бугудельской подводной возвышенностью, с севера — подводным Академическим хребтом. Максимальные глубины средней впадины достигают >1600 м. К северу от Академического хребта расположена северная часть впадины с глубинами ≤890 м, она простирается до северной оконечности озера. Байкальская впадина ассиметрична — склоны восточного сектора относительно пологие, западного — очень крутые (Кожов, 1972).
Для каждой станции рассчитаны средние значения температуры воды и биомассы фитопланктона в слое 0–10 м. Во всех котловинах озера выделено по три района — середина пелагиали, у западного и у восточного берегов. Для каждого района также рассчитаны средние значения биомассы фитопланктона по всем входящим в район станциям.
Достоверность различий между средними значениями выборок оценивали с помощью t-критерия на 5%-ном уровне значимости (Закс, 1976). Для проверки временного ряда на наличие тренда использовали знаковый критерий Кокса и Стюарта и фазочастотный критерий Валлиса и Мура (Закс, 1976).
Поповская Г.И. (1977) по уровню развития весеннего фитопланктона годы исследований разделила на три градации: высокопродуктивные (биомасса фитопланктона в продуцирующем слое >1000 мг/м3), среднепродуктивные (500–1000 мг/м3) и малопродуктивные (<500 мг/м3). Поскольку биомасса фитопланктона в позднелетний период невысока и обычно не достигает значений, характерных для весеннего периода года, применение градации лет по уровню развития весеннего фитопланктона, предложенной Г.И. Поповской, не позволило бы достаточно точно оценивать межгодовую изменчивость биомассы в позднелетний период. Нами предложена градация продуктивности вод оз. Байкал по биомассе фитопланктона для позднелетнего периода.
Для идентификации биомассы фитопланктона в озере в позднелетний период разных лет применяли такой же подход, как при анализе численности. Водные массы в период позднего лета отнесены к высокопродуктивным, если средняя годовая биомасса фитопланктона значимо выше (р ≤ 0.05) средней многолетней для данного района, малопродуктивным — значимо ниже (р ≤ 0.05) средней многолетней, среднепродуктивным — достоверно не отличается (р > 0.05) от средней многолетней. Выделенные градации вод в каждый год наблюдения оценили в единицах биомассы. Средняя биомасса для каждой градации колебалась в разных котловинах озера в сравнимых пределах (табл. 1). Ориентируясь на средние значения, можно представить градацию вод по биомассе фитопланктона в слое воды 0–10 м в позднелетний период в следующем виде: наиболее продуктивные – >250, среднепродуктивные — от 130 до 250, малопродуктивные – <130 мг/м3.
Таблица 1. Средняя биомасса фитопланктона (мг/ м3) в слое 0–10 м в водах разной продуктивности отдельных котловин оз. Байкал в период позднего лета
Продуктивность вод | Район | ||
Южный Байкал | Средний Байкал | Северный Байкал | |
Высокопродуктивные | 273–619 | 208–539 | 204–512 |
Среднепродуктивные | 133–270 | 111–332 | 108–223 |
Малопродуктивные | 46–154 | 51–152 | 59–125 |
РЕЗУЛЬТАТЫ ИССЛЕДОВАНИЯ
В период позднего лета биомасса фитопланктона в слое 0–10 м на отдельных станциях колеблется от 4 до 1026 мг/м3. Среднее значение для всей акватории озера за 15 лет достигает 169 ± 5 мг/м3 (коэффициент вариации Cv 84%). Пространственное распределение биомассы фитопланктона в разных котловинах различно. В Южном Байкале оно наиболее равномерное. По средним многолетним данным (табл. 2), биомасса фитопланктона у западного берега немного выше, чем в пелагиали и у восточного берега, статистически эти различия незначимы.
В распределении фитопланктона в южной котловине встречаются различные варианты. Наиболее типично распределение с максимумом биомассы у западного берега, у восточного берега биомасса может быть такой же, как в пелагиали (в 1995, 1997, 2000 гг.), либо ниже (в 2001, 2009), либо выше (в 2012 г.), чем в пелагиали. Достаточно часто биомасса фитопланктона максимальна в пелагиали (в 1996, 1998, 2002, 2003 и 2006 гг.) и убывает к берегам. Реже наибольшие значения наблюдаются у восточного берега (в 2005, 2013 гг.), либо водоросли распределяются по акватории котловины равномерно (в 1994 и 2004 гг.).
В Среднем Байкале повышенной биомассой фитопланктона выделяется район у восточного берега, включающий обширное Селенгинское мелководье, образованное при впадении самого крупного притока оз. Байкал — р. Селенга. Средняя многолетняя биомасса в 1.2–1.3 раза убывает от восточного берега к середине пелагиали и западному берегу (табл. 2), при этом различие средних при сравнении прибрежных районов достоверно. Подобное распределение водорослей в средней котловине — типичное, отмечается наиболее часто (1995–1998, 2002, 2005, 2012 и 2013 гг.). Возможно также убывание биомассы от берегов к середине пелагиали, при этом у восточного берега биомасса выше, чем у западного (в 1994 и 2003 гг.). Редко максимальные значения биомассы регистрируют в пелагиали (2000, 2001 и 2009 гг.) или у западного берега (в 2004 и 2006 гг.).
Таблица 2. Биомасса фитопланктона в слое 0–10 м в разных районах оз. Байкал в 1994–1998, 2000–2006, 2009, 2012 и 2013 гг.
Показатель | Район | |||
середина пелагиали | у западного берега | у восточного берега | вся котловина | |
Южная котловина | ||||
Число проб | 176 | 176 | 210 | 562 |
Средняя биомасса, мг/м3 | 191 ± 18 | 196 ± 18 | 185 ± 15 | 191 ± 10 |
Min–max | 23–1026 | 23–960 | 25–790 | 23–1026 |
Cv, % | 91 | 84 | 82 | 85 |
Средняя котловина | ||||
Число проб | 176 | 146 | 240 | 562 |
Средняя биомасса, мг/м3 | 172 ± 15 | 151 ± 12 | 198 ± 15 | 177 ± 9 |
Min–max | 21–952 | 22–481 | 26–875 | 21–952 |
Cv, % | 84 | 67 | 81 | 80 |
Северная котловина | ||||
Число проб | 238 | 294 | 244 | 776 |
Средняя биомасса, мг/м3 | 137 ± 11 | 137 ± 9 | 168 ± 12 | 147 ± 7 |
Min–max | 22–567 | 4–585 | 19–746 | 4–746 |
Cv, % | 81 | 78 | 82 | 81 |
Все озеро | ||||
Число проб | 590 | 616 | 694 | 1900 |
Средняя биомасса, мг/м3 | 163 ± 8 | 157 ± 7 | 183 ± 8 | 169 ± 5 |
Min–max | 21–1026 | 4–960 | 19–875 | 4–1026 |
Cv, % | 88 | 81 | 82 | 84 |
Примечание. Cv — коэффициент вариации.
В Северном Байкале средняя многолетняя биомасса максимальна у восточного берега и в 1.2 раза уменьшается к середине пелагиали и к западному берегу. Различия средних значений у восточного берега и в центре пелагиали, а также у восточного и западного берегов достоверны. Середина пелагиали и западный прибережный район по средней биомассе фитопланктона наименее продуктивны не только в северной котловине, но и во всем озере.
Пространственное распределение фитопланктона по акватории северной котловины в годы исследований различается. Наиболее часто биомасса убывает от восточного к западному берегу (в 1995, 1997, 2001, 2003, 2006 и 2013 гг.), реже (в 1996, 2000, 2002 и 2009 гг.) от берегов к центру пелагиали, при этом у восточного берега она выше, чем у западного. Максимум биомассы регистрировали и у западного берега (1994, 1998, 2004 и 2012 гг.), в единичном случае (2005 г.) – в центре пелагиали.
Таким образом, пространственное распределение биомассы фитопланктона в Южном Байкале относительно равномерное, в Среднем и Северном Байкале повышенная биомасса фитопланктона характерна для районов восточного берега.
Сравнение котловин озера показывает, что средняя многолетняя биомасса фитопланктона в Южном Байкале (191 мг/м3) выше, чем в Среднем Байкале (177), но эти различия недостоверны. В период наших исследований Южный и Средний Байкал по биомассе фитопланктона не различались. Обе котловины были более продуктивны, чем северная котловина. В Северном Байкале средняя многолетняя биомасса фитопланктона (147 мг/м3) достоверно ниже, чем в Южном (в 1.3 раза) и Среднем Байкале (в 1.2 раза).
Межгодовые изменения биомассы фитопланктона в разных районах оз. Байкал (рис. 2) имеют как черты сходства, так и различия. В Южном и Среднем Байкале эти изменения в общих чертах похожи как в разных районах котловин, так и между котловинами. Диапазон изменений биомассы этих котловин чаще всего различен, в разных районах северной котловины различия в межгодовой динамике более заметны.
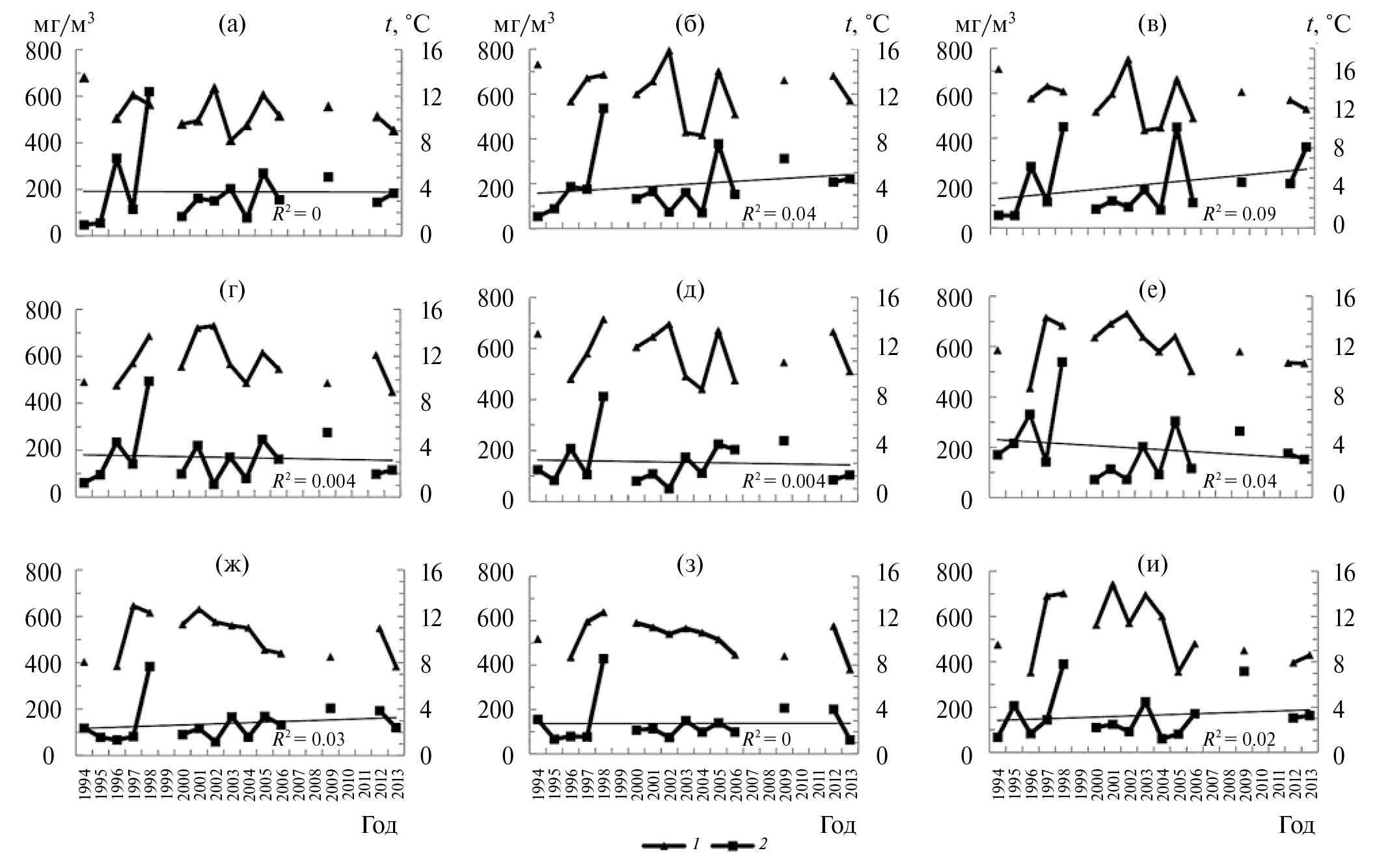
Рис. 2. Межгодовая динамика температуры воды (1) и общей биомассы фитопланктона (2) в слое воды 0–10 м в Южном Байкале: в пелагиали (а), у западного (б) и восточного (в) берегов; в Среднем Байкале: в пелагиали (г), у западного (д) и восточного (е) берегов; в Северном Байкале: в пелагиали (ж), у западного (з) и восточного (и) берегов в период позднего лета. (R2 – достоверность аппроксимации).
В южной котловине высокая продуктивность фитопланктона отмечена в 1996 и 1998 гг. в пелагиали, в 1998, 2005 и 2009 гг. — у западного берега, в 1996, 1998, 2005 и 2013 гг. — у восточного берега. Самое интенсивное развитие фитопланктона было в 1998 г., когда средняя биомасса достигала 619 ± 130 мг/м3 в середине пелагиали, 536 ± 125 у западного берега и 450 ± 25 мг/м3 у восточного берега.
Низкую продуктивность чаще наблюдали у восточного берега южной котловины. Воды этого района характеризовались как малопродуктивные в 1994, 1995, 1997, 2000–2002, 2004 и 2006 гг. Центральная часть пелагиали имела низкую продуктивность в 1994, 1995, 1997, 2000, 2004, 2006 гг., районы у западного берега отнесены к малопродуктивным только в 1994, 1995, 2002, 2004. В остальные годы все районы южной котловины были среднепродуктивными. Таким образом, в Южном Байкале в центре пелагиали и у западного берега общая биомасса фитопланктона в половине лет наблюдений соответствует среднему уровню продуктивности, у восточного берега — низкому уровню.
Все районы средней котловины были наиболее продуктивными в 1998 г. и 2009 г., а также в 1996 г. у западного берега и в 2005 г. в пелагиали и у восточного берега. Самая высокая средняя биомасса фитопланктона, как и в южной котловине, зарегистрирована в 1998 г. Она достигала 539 ± 66 у восточного берега, 494 ± 110 в середине пелагиали, 412 ± 42 мг/м3 у западного берега. Низкая продуктивность вод в двух районах средней котловины отмечена чаще, чем средняя продуктивность. Воды характеризовались как малопродуктивные в пелагиали в 1994, 1995, 2000, 2002, 2004, 2012, 2013 гг. и у западного берега в 1994, 1995, 1997, 2000–2002, 2012, 2013 гг. В остальные годы эти районы были среднепродуктивными. У восточного берега и в Селенгинском мелководье одинаково часто регистрировали как низкий, так и средний уровень продуктивности фитопланктона, но низкая биомасса в этом районе отмечена только в 2000‑е гг. (2000, 2001, 2002, 2004, 2006, 2013). Таким образом, в средней котловине в центре пелагиали и у западного берега общая биомасса фитопланктона в половине случав соответствовала низкому уровню, у восточного берега до двухтысячных годов — среднему уровню продуктивности, с двухтысячного года — низкому уровню.
В северной котловине озера наиболее высокую продуктивность вод наблюдали в 1998 и 2009 гг. Максимальная средняя биомасса фитопланктона, зафиксированная в 1998 г., изменялась от 428 ± 23 у западного берега до 384 ± 34 мг/м3 в середине пелагиали и 390 ± 19 мг/м3 у восточного берега. Она была в 1.2–1.6 раза ниже, чем в южной и средней котловинах, за исключением района у западного берега, где средняя биомасса фитопланктона в северной и средней котловинах одинакова.
Низкую продуктивность северной котловины отмечали чаще в прибрежных районах: в 1995–1997, 2001, 2002, 2004, 2006, 2013 гг. — у западного берега, в 1994, 1996, 2000–2002, 2004, 2005 гг. — у восточного берега. В остальные годы эти районы были среднепродуктивными. Середина пелагиали характеризовалась как малопродуктивная в 1995–1997, 2000, 2002, 2004 гг., как среднепродуктивная — в 1994, 2001, 2003, 2005, 2006, 2012, 2013 гг. Таким образом, в Северном Байкале в центре пелагиали общая биомасса фитопланктона в половине случаев соответствовала среднему уровню продуктивности, у берегов — низкому уровню.
В период с 1994 по 2013 гг. во всех трех котловинах оз. Байкал низкую и среднюю биомассу фитопланктона регистрировали намного чаще, чем высокую. Воды озера характеризовались или как мало-, или как среднепродуктивные. Одинаковый уровень развития фитопланктона одновременно во всех котловинах оз. Байкал встречался редко. В рассматриваемый период по всей акватории озера высокая биомасса фитопланктона отмечена только в 1998 г., средняя — только в 2003 г., низкая — ни разу.
В многолетней динамике фитопланктона с 1994 г. по 2013 г. ни в одном из районов озера не обнаружены отчетливые тренды повышения средней биомассы. Тенденция к повышению биомассы прослеживается у берегов Южного Байкала, однако проверка с использованием критерия Кокса и Стюарта (Закс, 1976) показывает, что она статистически незначима.
Не выявлено зависимости биомассы фитопланктона от температуры воды. В большинстве районов озера коэффициенты корреляции (r) между этими параметрами ниже 0.30 и только у западного берега Северного Байкала установлено умеренное влияние температуры на биомассу фитопланктона (r = 0.45, p < 0.05).
ОБСУЖДЕНИЕ РЕЗУЛЬТАТОВ
Биомасса позднелетнего фитопланктона оз. Байкал невелика, за 15 лет исследований она была в среднем 169 ± 5 мг/м3 и в 2–4 раза ниже таковой весной. По данным сотрудников Лимнологического института СО РАН среднегодовая биомасса весеннего фитопланктона в 1964–1990 гг. достигала 736, в 2007–2011 гг. — 718 мг/м3 (Поповская и др., 2015), максимальная биомасса обычно была 2000, иногда 4000 мг/м3 (Popovskaya et al., 2006). В период наших исследований поздним летом на отдельных станциях биомасса не превышала 1000 мг/м3 и только единожды достигала этого значения в Южном Байкале. Следует отметить, что в количественном отношении позднелетний фитопланктон довольно обилен и по численности не уступает весеннему (Кращук и др., 2020). Невысокие значения общей биомассы связаны с тем, что в позднелетний период возрастает количество водорослей с мелкими клетками и сокращается количество крупноклеточных форм.
Фитопланктон по акватории оз. Байкал распределяется неравномерно. Главным фактором его пространственной изменчивости выступают термические условия, которые в свою очередь на общем фоне климатических межгодовых колебаний определяются гидрологическими и синоптическими условиями. Комплекс теплолюбивых видов распространяется за пределы мелководий за счет постоянных и ветровых течений, в том числе сгонно-нагонных перемещений водных масс. Гомогенному распределению фитопланктона препятствуют различия в сроках прогрева озера (особенно в меридиональном направлении) и его гидродинамическая подвижность, обуславливающая контакт литоральных и пелагических зон, а также прибрежно-соровой зоны и открытого оз. Байкал (Кожова, 1991).
В период наших исследований пространственная неоднородность фитопланктона прослеживалась и для численности, и для биомассы. Пространственная изменчивость биомассы менее значительна, чем численности. По данным для всего оз. Байкал коэффициент вариации биомассы (Cv = 84%) ниже, чем коэффициент вариации численности (Cv = 99). Полного совпадения пространственного распределения биомассы и численности фитопланктона в разные годы не обнаружено, но средние значения этих показателей изменяются одинаково во всех котловинах. Отдельные районы открытого оз. Байкал характеризуются более высокими показателями и численности, и биомассы. К ним относятся районы у восточного берега Среднего и Северного Байкала, где средние численность и биомасса достоверно (в 1.2–1.5 раза) выше, чем у западного берега. В Южном Байкале, напротив, численность и биомасса у западного берега незначительно выше, чем у восточного, но разница средних значений достоверна для численности и недостоверна для биомассы. Более обильное развитие водорослей у восточного берега озера в значительной мере обусловлено обширными мелководьями, сорами, заливами и поступлением вод самого крупного притока озера — р. Селенга (Вотинцев и др., 1975). Средняя температура воды у восточного берега на 0.3–0.7°С выше, чем у западного. В весенний период восточное побережье озера по численности и биомассе водорослей богаче западного во всех котловинах (Поповская, 1977). В позднелетний период эта закономерность подтверждается данными и по численности, и по биомассе фитопланктона в Среднем и Северном Байкале. В разных районах Южного Байкала достоверных различий биомассы фитопланктона не выявлено, однако численность у западного берега достоверно выше, чем у восточного. Это обстоятельство может быть связано с более высокой рекреационной нагрузкой на западное побережье Южного Байкала. При этом биомасса водорослей более стабильна, чем их численность. Запаздывание отклика биомассы водорослей на усиление антропогенной нагрузки отмечено в Рыбинском вдхр., где стабилизации биомассы способствует увеличение числа мелкоклеточных водорослей и сокращение числа крупноклеточных (Корнева, 1993).
Сравнение котловин озера показывает, что биомасса фитопланктона в Южном и Среднем Байкале не различалась, и обе котловины были более продуктивны, чем северная. Средняя многолетняя биомасса в Северном Байкале достоверно ниже, чем в Южном и Среднем Байкале. В позднелетний период различия биомассы фитопланктона в разных котловинах озера не столь значительны, как весной, когда Южный и Средний Байкал по биомассе в три раза богаче, чем Северный (Поповская, 1991).
В некоторые годы различия биомассы фитопланктона в котловинах озера не прослеживались. Так, поздним летом 2009 г. в Южном и Среднем Байкале биомасса была одинаковой и в 1.7–2.3 раза ниже, чем в весенний период в этих же котловинах (табл. 3). В Северном Байкале максимальная биомасса фитопланктона оказалась выше, чем в Южном и Среднем Байкале, и почти в пять раз превышала весеннюю биомассу в этой котловине. Средние значения позднелетней биомассы в 2009 г. были одинаковы во всех трех котловинах. Наибольшие значения биомассы (741 мг/м3) зарегистрированы у восточного берега Северного Байкала у м. Хакусы. В этом районе и ранее (в 1967, 1968, 1973–1976 гг.) отмечали максимальную встречаемость и максимальную численность водорослей (Кожова, Шастина, 1985). Таким образом, в 2009 г. в весенний период Северный Байкал был традиционно беднее фитопланктоном, чем Южный и Средний, а поздним летом он не уступал по биомассе фитопланктона двум другим котловинам.
Таблица 3. Общая биомасса фитопланктона (мг/м3) в разных районах оз. Байкал в 2009 г.
Район | Конец мая — начало июня (по: Поповская и др., 2015) | Конец августа — сентябрь (данные авторов) |
Южный Байкал | 220–950 | 129–411 (256) |
Средний Байкал | 255–753 | 141–443 (259) |
Северный Байкал | 10–151 | 120–741 (256) |
Примечание. В скобках — средние значения биомассы.
Высокую биомассу фитопланктона на протяжении 15 лет наших наблюдений регистрировали редко. В Южном Байкале ее отмечали только дважды в центральной части, трижды — у западного берега и четыре раза — у восточного. В центре пелагиали и у западного берега общая биомасса фитопланктона в половине случаев соответствовала среднему уровню продуктивности, у восточного берега — низкому уровню. Воды всех районов Среднего Байкала отнесены к высокопродуктивным только в трех случаях. В центре пелагиали и у западного берега общая биомасса фитопланктона в половине случаев соответствовала низкому уровню продуктивности, у восточного берега до 2000 г. — среднему уровню, позже — низкому. В Северном Байкале воды всех районов характеризовались как высокопродуктивные дважды. В центре пелагиали общая биомасса фитопланктона в половине случаев соответствовала среднему уровню продуктивности, а у берегов — низкому уровню.
В итоге, за весь период наблюдения 11–13 лет характеризовались как мало- или среднепродуктивные и только два–четыре года — как высокопродуктивные. “Урожайные” годы наблюдали в 1990‑е и 2000‑е гг. Полного совпадения продуктивности вод, оцененной по биомассе и по численности фитопланктона, нет. Продуктивность по биомассе может быть выше и ниже, чем по численности.
В настоящее время обсуждаются две проблемы состояния оз. Байкал — влияние климатических изменений, в частности повышения температуры воды, на биоту озера и эвтрофикация вод в отдельных районах литоральной зоны озера в результате интенсификации антропогенного влияния (Тимошкин и др., 2014а, 2014б; Izmest’eva et al., 2016; Бондаренко, 2022; Малашенков и др., 2022). На основе палеолимнологических исследований, анализа долговременных рядов наблюдений, в экспериментах с мезокосмами убедительно показано, что изменения пресноводных экосистем (в том числе показателей фитопланктона) в результате глобального потепления и эвтрофирования фактически идентичны. Они, в частности, проявляются в росте биомассы фитопланктона (Jeppesen et al., 2010, 2014; Касаткина и др., 2021). Фитопланктон озер и прудов северных регионов Аляски, Канады, Гренландии и Скандинавии реагирует на поступление фосфора и на климатические изменения ростом первичной продукции и биомассы (Rautio et al., 2011; Lehnherr et al., 2018). Для водохранилищ р. Волга также показано изменение трофического статуса под действием потепления климата и эвтрофирования (Сахарова, Корнева, 2018; Mineeva, 2022). В свое время произошла “смена парадигмы” лимнологии. До этого было принято, что каждая лимноэкосистема индивидуально отвечает на конкретные свои условия существования. Было предположено, что есть всеобщий однонаправленный тренд показателей, обусловленный глобальными изменениями условий среды (изменения климата и загрязнение) (Gerten, 2008; Livingstone, 2008). Именно тогда и была провозглашена почти обязательность роста биомассы фитопланктона (Winder, Sommer, 2012).
По результатам наблюдений в байкальских экспедициях с 1977 г. по 2003 г. выявлено повышение температуры воды у поверхности в августе–сентябре в среднем на 2.0°С по всей акватории озера, но значимое только в средней и северной котловинах озера. Содержание хлорофилла a на протяжении 27 лет увеличилось на 46%, однако его повышение было значимым только в южной котловине (Izmest’eva et al., 2016). По нашим данным, в период с 1994 по 2013 гг. не выявлено статистически значимых трендов повышения биомассы фитопланктона ни в одном из районов озера, хотя в Южном Байкале у обоих берегов отмечена тенденция к повышению ее среднегодовых значений. Зависимость общей биомассы фитопланктона от температуры воды также не выявлена. В рассматриваемый период не установлено устойчивое достоверное повышение численности и биомассы фитопланктона в пелагиали оз. Байкал.
Это согласуется с наблюдаемыми на обширном статистическом материале несоответствиями ожидаемым проявлениям воздействия роста температуры воды на параметры лимноэкосистем (Winslow et al., 2018), нелинейностям ответа экосистем озер на рост температуры воды и концентраций биогенных элементов (Merz et al., 2023; Rose et al., 2023), иногда заставляющим лимнологов искать другие факторы (до астрономических), способные воздействовать на гидробиоценозы (Kasatkina et al., 2023). По нашему мнению, наблюдаемая для фитопланктона оз. Байкал картина вполне объяснима в рамках высказанной на основе анализа фитопланктона двух десятков озер средних широт (24–58° с. ш.) гипотезы — для олиготрофных экосистем биомасса фитопланктона определяется в первую очередь биоразнообразием сообщества, в более продуктивных и теплых водоемах именно приток биогенов диктует рост биомассы (Chang et al., 2022).
Таким образом, нет оснований утверждать, что в открытых глубоководных районах озера в период позднего лета происходит эвтрофирование вод, по крайней мере, до 2014 г. Хотя тенденция к увеличению численности и биомассы фитопланктона прослеживается в пелагических районах Южного Байкала, прилегающих к берегам. Желательно возобновить проведение байкальских экспедиций в настоящее время с целью оценки состояния планктона в пелагиали озера.
ЗАКЛЮЧЕНИЕ
В позднелетний период 1994–2013 гг. во всех исследованных районах оз. Байкал средняя многолетняя биомасса фитопланктона невысока — 169 ± 5 мг/м3. Пространственное распределение биомассы фитопланктона в Южном Байкале относительно равномерное. В этой котловине средняя биомасса у западного берега немного выше, чем у восточного, но разница средних недостоверна. В Среднем и Северном Байкале повышенной биомассой фитопланктона характеризуются районы у восточного берега, где средняя биомасса достоверно выше, чем у западного берега. В период наших исследований Южный и Средний Байкал по биомассе фитопланктона не различались. Обе котловины более продуктивны, чем северная котловина. В Северном Байкале средняя многолетняя биомасса фитопланктона достоверно ниже, чем в Южном и Среднем Байкале. В межгодовой динамике биомассы фитопланктона в пелагиали оз. Байкал на протяжении двух десятилетий не выявлено однонаправленных изменений и не обнаружено значимого повышения биомассы позднелетнего фитопланктона. Среднегодовая биомасса фитопланктона колеблется вокруг среднемноголетнего уровня. Количественные характеристики фитопланктона позволяют оценить его состояние как стабильное без достоверных признаков эвтрофирования вод, однако угроза эвтрофирования пелагиали у берегов Южного Байкала существует.
ФИНАНСИРОВАНИЕ РАБОТЫ
Настоящая работа выполнена при финансовой поддержке Министерства науки и высшего образования РФ (FZZE-2023-0005) и Фонда поддержки прикладных экологических разработок и исследований “Озеро Байкал”.
About the authors
L. S. Krashchuk
Irkutsk State University
Author for correspondence.
Email: krashchuk@gmail.com
Research Institute of Biology
Russian Federation, IrkutskE. A. Silow
Irkutsk State University
Email: Krashchuk@gmail.com
Research Institute of Biology
Russian Federation, IrkutskO. O. Rusanovskaya
Irkutsk State University
Email: krashchuk@gmail.com
Research Institute of Biology
Russian Federation, IrkutskS. V. Shimaraeva
Irkutsk State University
Email: krashchuk@gmail.com
Research Institute of Biology
Russian Federation, IrkutskReferences
- Антипова Н.Л. 1963. Сезонные и годовые изменения фитопланктона в озере Байкал // Тр. Лимнол. ин-та СО АН СССР. Т. 2(22). Ч. 2. С. 12.
- Антипова Н.Л. 1974. Межгодовые изменения в фитопланктоне Байкала в районе Больших Котов за период 1960–1970 гг. // Продуктивность Байкала и антропогенные изменения его природы. Иркутск: Изд-во БГНИИ при ИГУ. С. 75.
- Антипова Н.Л., Кожов М.М. 1953. Материалы по сезонным и годовым колебаниям численности руководящих форм фитопланктона оз. Байкал // Тр. Иркутск. гос. ун-та. Сер. биол. Т. 7. Вып. 1, 2. С. 63.
- Байкаловедение. 2012. Новосибирск: Наука.
- Бондаренко Н.А. 2022. Пространственно-временной анализ развития нанопланктонных динофитовых в оз. Байкал // Биология внутр. вод. № 3. С. 247. https://doi.org/10.31857/S0320965222030020.
- Бондаренко Н. А., Русанов И. И., Черницына С. М. и др. 2022. Структура и продукционный потенциал летнего фитопланктона озера Байкал // Водн. ресурсы. Т. 49. № 1. С. 66. https://doi.org/10.31857/S0321059622010059.
- Вотинцев К.К., Мещерякова А.И., Поповская Г.И. 1975. Круговорот органического вещества в озере Байкал. Новосибирск: Наука.
- Закс Л. 1976. Статистическое оценивание. М.: Статистика.
- Зилов Е.А., Кращук Л.С., Онучин К.А. и др. 2016. История организации мониторинга и современное состояние планктона озера Байкал // Актуальные вопросы деятельности академических естественно-научных музеев: Матер. III Всерос. научн.-практ. конф. (25–28 сентября 2016 г., пос. Листвянка, Иркутская область). Иркутск: Изд-во ин-та географии им. В.Б. Сочавы СО РАН. С. 32.
- Изместьева Л.Р., Мур М.В., Хэмптон С.Э., Зилов Е.А. 2006. Сезонная динамика массовых родов фитопланктона в озере Байкал // Изв. Самарск. науч. центра РАН. Т. 8. № 3. С. 191.
- Касаткина Е.А., Шумилов О.И., Макаров Д.В., Денисов Д. Б. 2021. Диатомовый сдвиг в озерах Арктики: реакция на глобальное потепление или изменение спектральных характеристик излучения солнца? // Изв. РАН. Серия физическая. T. 85. № 3. С. 353. https://doi.org/10.31857/S036767652103011X.
- Кобанова Г.И., Изместьева Л.Р., Кращук Л.С. 2006. Фитопланктон Байкала в период позднего лета // Изв. Самарск. науч. центра РАН. Т. 8. № 1. С. 197.
- Кожов М.М. 1955. Сезонные и годовые изменения в планктоне озера Байкал // Тр. Всесоюз. Гидробиол. об-ва. Т. 6. С. 133.
- Кожов М.М. 1962. Биология озера Байкал М.: Изд-во АН СССР.
- Кожов М.М. 1972. Очерки по байкаловедению. Иркутск: Вост.-Сиб. кн. изд-во.
- Кожова О.М. 1956. Фитопланктон озера Байкал: Автореф. дис. … на соискание ученой степени кандидата биол. наук. Иркутск. 20 с.
- Кожова О.М. 1959. О подледном “цветении” фитопланктона в озере Байкал // Ботан. журн. Т. 44. № 7. С. 1001.
- Кожова О.М. 1991. Гидробиологический мониторинг Байкала. Иркутск: Изд-во Иркутск. ун-та.
- Кожова О.М., Загоренко Г.Ф. 1982. О состоянии фитопланктона Байкала // Вод. ресурсы. № 4. С. 149.
- Кожова О.М., Мельник Н.Г. 1978. Инструкция по обработке проб планктона счетным методом. Иркутск: Изд-во Иркутск. ун-та.
- Кожова О.М., Шастина Н.А. 1985. Исследование пространственного распределения фитопланктона в озере Байкал методом экологического картирования // Совершенствование регионального мониторинга состояния озера Байкал. Л.: Гидрометеоиздат. С. 199.
- Корнева Л.Г. 1993. Фитопланктон Рыбинского водохранилища: состав, особенности распределения, последствия эвтрофирования // Современное состояние экосистемы Рыбинского водохранилища. СПб.: Гидрометеоиздат. С. 50.
- Кращук Л.С., Шимараева С.В., Зилов Е.А. 2020. Пространственно-временные изменения фитопланктона в оз. Байкал в период позднего лета. I. Температура воды и численность фитопланктона // Биология внутр. вод. № 1. С. 27. https://doi.org/10.31857/S0320965220010106.
- Малашенков Д.В., Мошарова И.В., Ильинский В.В., Мошаров С.А. 2022. Функциональная классификация фитопланктона и микробиологические параметры для оценки состояния прибрежных вод Южного Байкала // Биология внутр. вод. № 1. С. 3. https://doi.org/10.31857/S0320965222010089.
- Поповская Г.И. 1977. Динамика фитопланктона пелагиали (1964–1974) // Биологическая продуктивность пелагиали Байкала и ее изменчивость. Новосибирск: Наука. С. 5.
- Поповская Г.И. 1978. Фитопланктон // Проблемы Байкала. Новосибирск: Наука. С. 158.
- Поповская Г.И. 1987а. История изучения и основные результаты исследований фитопланктона // Путь познания Байкала. Новосибирск: Наука. С. 199.
- Поповская Г.И. 1987б. Фитопланктон глубочайшего озера мира // Тр. АН СССР. Зоол. ин-т. Л. Т. 172. С. 107.
- Поповская Г.И. 1991. Фитопланктон Байкала и его многолетние изменения (1958–1990 гг.): Дис. … на соискание ученой степени доктора биол. наук. Новосибирск. 32 с.
- Поповская Г.И., Усольцева М.В., Домышева В.М. и др. 2015. Весенний фитопланктон пелагиали озера Байкал в 2007–2011 годы // География и природные ресурсы. № 3. С. 74.
- Сахарова Е.Г., Корнева Л.Г. 2018. Фитопланктон литорали и пелагиали Рыбинского водохранилища в годы с разным температурным и уровенным режимами // Биология внутр. вод. № 1. С. 11. https://doi.org/10.7868/S0320965218010023.
- Тимошкин О.А., Бондаренко Н.А., Волкова Е.А. и др. 2014а. Массовое развитие зеленых нитчатых водорослей родов Spirogira и Stigeoclonium (Chlorophyta) // Гидробиол. журн. Т. 50. № 5. С. 15.
- Тимошкин О.А., Мальник В.В., Сакирко М.В., Будекер К. 2014б. Экологический кризис на озере Байкал: Ученые ставят диагноз // Наука из первых рук. Т. 5. № 59. С. 75.
- Яснитский В.Н. 1930. Результаты наблюдений над планктоном Байкала в работах Биологической станции за 1926–1928 гг. // Изв. Биолого-географического научно-исследовательского ин-та при Иркутском ун-те. Т. 4. Вып. 4. С. 191.
- Яснитский В.Н., Скабичевский А.П. 1957. Фитопланктон Байкала // Тр. Байкальск. лимнол. станции. Т. 15. С. 212.
- Belykh O.I., Pomazkina G.V., Tikhonova I.V., Tomberg I.V. 2007. Characteristics of Lake Baikal summer phytoplankton and autotrophic picoplankton // Int. J. Algae. V. 9. Iss. 3. P. 247.
- Chang C.-W., Miki T., Ye H. et al. 2022. Causal networks of phytoplankton diversity and biomass are modulated by environmental context // Nature Communications. V. 13 (1). 1140. P. 12. https://doi.org/10.1038/s41467-022-28761-3
- Gerten D. 2008. Climatic change, aquatic science, multiple shifts in paradigms // Int. ReV. Hydrobiol. V. 93. P. 397. https://doi.org/10.1002/iroh.200711043
- Izmest’eva L.R., Moore M.V., Hampton S.E. et al. 2016. Lake-wide physical and biological trends associated with warming in lake Baikal // J. Great Lakes Res. V. 42. P. 6. https://dx.doi.org/10.1016/j.jglr.2015.11.006
- Izmest’eva L.R., Silow E.A., Litchman E. 2011. Long-Term dynamics of Lake Baikal pelagic phytoplankton under climate change // Inland Water Biol. V. 4. № 3. P. 301. https://doi.org/10.1134/S1995082911030102
- Jeppesen E., Moss B., Bennion H. et al. 2010. Interaction of climate change and eutrophication // Climate change impacts on freshwater ecosystems. Chichester: Blackwell Publ. P. 119.
- Jeppesen E., Meerhoff M., Davidson T.A. et al. 2014. Climate change impacts on lakes: an integrated ecological perspective based on a multi-faceted approach, with special focus on shallow lakes // J. Limnol. V.73 (s1). P. 88. https://doi.org/10.4081/jlimnol.2014.844
- Kasatkina E.A., Shumilov O.I., Denisov D.B., Makarov D.V. 2023. Recent shift in diatom record from Lake Rabbvatnet: response to global warming or solar variability? // Acta Botanica Brasilica. V. 37. e20220269. Р. 10. https://doi.org/10.1590/1677-941X-ABB-2022-0269
- Kozhova O.M. 1987. Phytoplankton of Lake Baikal: structural and functional characteristics // Arch. Hydrobiol. Beih. Ergebn. Limnol. V. 25. P. 19.
- Kozhova O.M., Izmest’yeva L.R. 1998. Lake Baikal: Biodiversity and Evolution. Leiden: Backhuys Publishers. P. 447.
- Lehnherr I., St. Louis V.L., Sharp M. et al. 2018. The world’s largest high arctic lake responds rapidly to climate warming // Nat. Commun. V. 19. P. 1290. https://doi.org/ 10.1038/s41467-018-03685 z www.nature.com/naturecommunications
- Livingstone D.M. 2008. A change of climate provokes a change of paradigm: taking leave of two tacit assumptions about physical lake forcing // Int. reV. Hydrobiol. V. 93. P. 404. https://doi.org/10.1002/iroh.200811061
- Merz E., Saberski E., Gilarranz L.J. et al. 2023. Disruption of ecological networks in lakes by climate change and nutrient fluctuations // Nature Climate Change. V. 13. P. 389. https://doi.org/10.1038/s41558-023-01615-6
- Mineeva N. 2022. Chlorophyll and its role in freshwater ecosystem on the example of the Volga River reservoirs // Chlorophylls. London: Intech Open. http://dx.doi.org/10.5772/intechopen.105424
- Popovskaya G.I. 2000. Ecological monitoring of phytoplankton in Lake Baikal // Aquat. Ecosystem Health and Man. V. 3. P. 215.
- Popovskaya G.I., Likhoshway Ye.V., Genkal S.I., Firsova A.D. 2006. The role of endemic diatom algae in the phytoplankton of Lake Baikal // Hydrobiologia. V. 568(S). P. 87.
- Rautio M., Dufresne F., Laurion I. et al. 2011 Shallow freshwater ecosystems of the circumpolar Arctic // Ecoscience. V. 18. № 3. P. 204. https://doi.org/10.2980/18-3-3463
- Rose K.C., Bierwagen B., Bridgham S.D. et al. 2023 Indicators of the effects of climate change on freshwater ecosystems // Climatic Change. V. 176. № 23. P. 20. https://doi.org/10.1007/s10584-022-03457-1 et al.
- Shimaraeva S., Izmestyeva L., Silow E. 2010. Long-term dynamics of under-ice community of Baikal phytoplankton and climate change // 13th World Lake Conference Papers. Shiga: ILEC. P. 4. http://wldb.ilec.or.jp/data/ilec/WLC13_Papers/others/13.pdf
- Winder M., Sommer U. 2012. Phytoplankton response to a changing climate // Hydrobiologia. V. 698. P. 5. https://doi.org/10.1007/s10750-012-1149-2
- Winslow L.A., Leach T.H., Rose K.C. 2018. Global lake response to the recent warming hiatus // Environ. Res. Lett. V. 13. № 054005. https://doi.org/10.1088/1748-9326/aab9d7
Supplementary files




