Salinity as a Factor Limiting the Crustacean Potential Taxonomic Richness in the World’s Hypersaline Water Ecosystems: a Review
- Authors: Anufriieva E.V.1,2, Shadrin N.V.1,2
-
Affiliations:
- Kovalevsky Institute of Biology of the Southern Seas, Russian Academy of Sciences
- Sevastopol State University
- Issue: No 5 (2023)
- Pages: 680-687
- Section: Articles
- URL: https://bakhtiniada.ru/0320-9652/article/view/134914
- DOI: https://doi.org/10.31857/S0320965223050030
- EDN: https://elibrary.ru/COENQN
- ID: 134914
Cite item
Full Text
Abstract
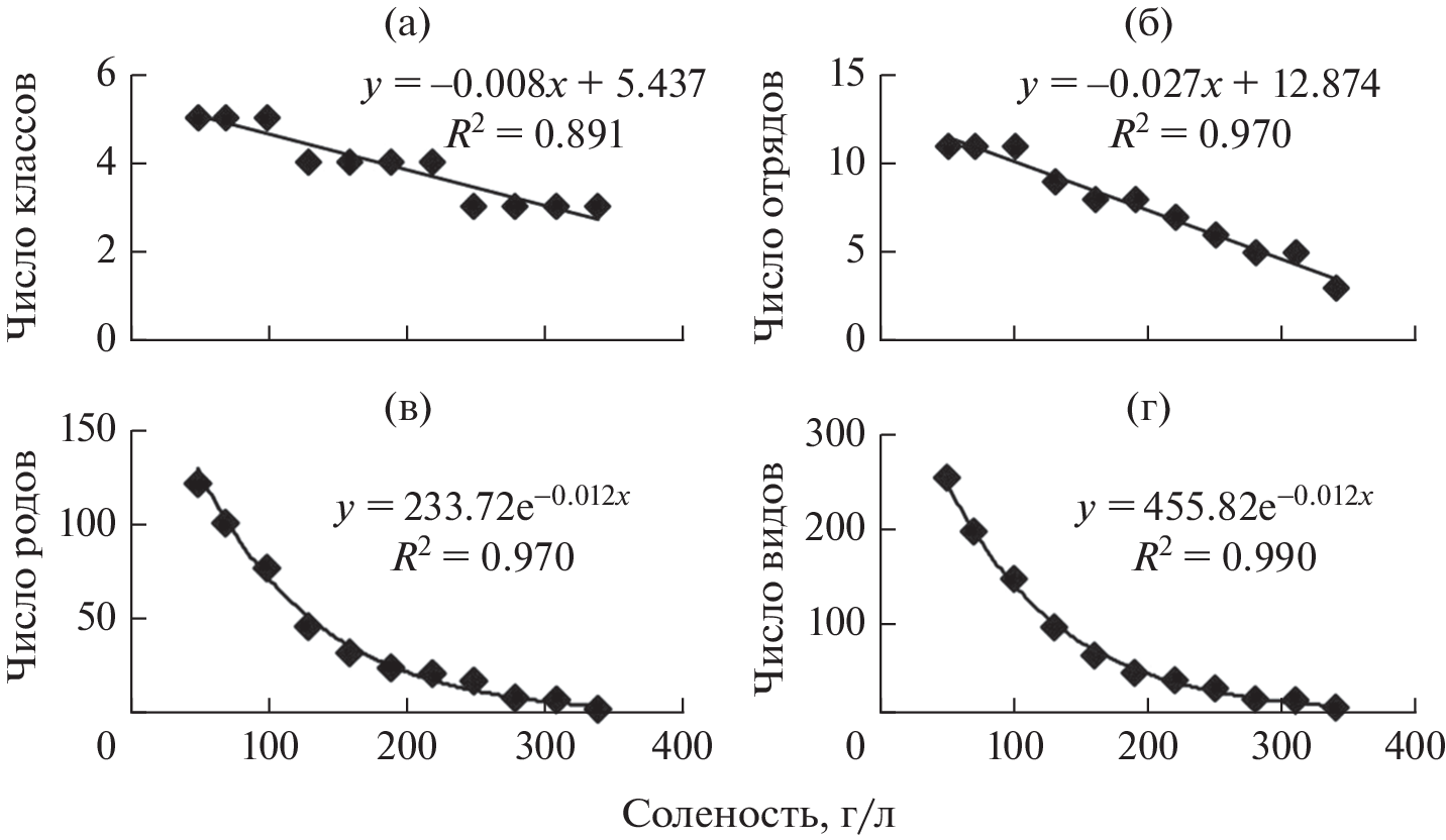
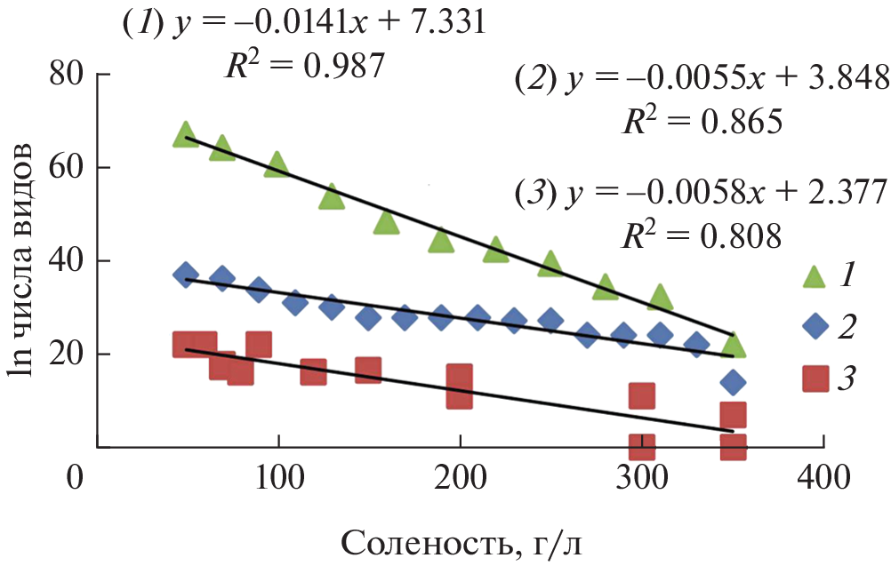
Crustaceans are one of the biosphere’s most diverse and successful groups, also inhabiting various extreme habitats. Summing up our data and 203 literary sources, we analyzed how the degree of environmental extremeness can limit the potential taxonomic richness of crustaceans using the example of hypersaline waters. An analysis showed that, with an increase in salinity, the number of classes and orders of the Crustacea subtype decreased linearly, while the number of genera and species decreased exponentially. It has been established that with an increase in environmental salinity, the contribution of Arthropoda species to the total species richness of animals in hypersaline waters increases from 49 to 100%, the gift of Crustacea species to the total species richness of Arthropoda increases from 66 to 78%, and the contribution of Branchiopoda to the species richness of Crustacea from 19 to 71%. In the Crimean hypersaline water bodies, in the range from 35 to 120 g/L, salinity is not the main factor determining the species richness and composition of the fauna, the combination of all other factors, primarily biotic ones, plays a more critical role. Only at higher values, salinity itself begins to play the role of a hard-environmental filter. Salinity growing above 35 g/L reduces the comfort of the environment for animals and filters out the pool of species that can exist in the ecosystem. In particular water bodies, the realization of this possibility depends not only on salinity but also on the existing biotic relationships and the entire set of abiotic factors.
About the authors
E. V. Anufriieva
Kovalevsky Institute of Biology of the Southern Seas, Russian Academy of Sciences; Sevastopol State University
Author for correspondence.
Email: lena_anufriieva@mail.ru
Russia, Sevastopol; Russia, Sevastopol
N. V. Shadrin
Kovalevsky Institute of Biology of the Southern Seas, Russian Academy of Sciences; Sevastopol State University
Email: lena_anufriieva@mail.ru
Russia, Sevastopol; Russia, Sevastopol
References
- Алимов А.Ф., Богатов В.В., Голубков С.М. 2013. Продукционная гидробиология. СПб: Наука.
- Ануфриева Е.В. 2022. Разнообразие и роль животных в структуре, функционировании и динамике экосистем гиперсоленых вод: Дис. … докт. биол. наук. Севастополь: Ин-т биологии южных морей им. А.О. Ковалевского РАН. 349 с.
- Дгебуадзе Ю.Ю., Фенева И.Ю., Айбулатов Д.Н. 2008. Роль биотических взаимоотношений в динамике сообществ ветвистоусых ракообразных // Успехи соврем. биологии. Т. 128. № 2. С. 160.
- Ивлев B.C. 1955. Экспериментальная экология питания рыб. Москва: Пищепромиздат.
- Сухих Н.М., Лазарева В.И. 2022. Первые результаты молекулярно-генетического анализа европейского вселенца Eurytemora velox (Crustacea, Calanoida) // Биология внутр. вод. Т. 15. № 2. С. 205.https://doi.org/10.31857/S0320965222020140
- Турбанов И.С. 2015. Обзор подземной фауны равноногих ракообразных (Crustacea, Isopoda) Кавказа. Биоразнообразие. Биоконсервация. Биомониторинг: Сб. матер. II Междунар. науч.-практ. конф. (14–16 октября 2015 г.). Майкоп: Изд-во АГУ. С. 82.
- Хлебович В.В. 1974. Критическая соленость биологических процессов. Л.: Наука.
- Хлебович В.В. 2012. Очерки экологии особи. Санкт-Петербург: Зоол. ин-т РАН.
- Хлебович В.В., Аладин Н.В. 2010. Фактор солености в жизни животных // Вестник РАН. Т. 80. № 5–6. С. 527.
- Шадрин Н.В., Ануфриева Е.В. 2018. Экосистемы гиперсоленых водоемов: структура и трофические связи // Журн. общ. биологии. Т. 79. № 6. С. 418.
- Anufriieva E.V., Shadrin N.V. 2018. Extreme hydrological events destabilize aquatic ecosystems and open doors for alien species // Quat. Int. V. 475. P. 11.
- Anufriieva E., Kolesnikova E., Revkova T. et al. 2022. Human-induced sharp salinity changes in the world’s largest hypersaline lagoon bay Sivash (Crimea) and their effects on the ecosystem // Water. V. 14. Iss. 3. Article no. 403 (17 p.).
- Arndt C.E., Swadling K.M. 2006. Crustacea in Arctic and Antarctic Sea ice: distribution, diet and life history strategies // Adv. Mar. Biol. V. 51. P. 197.
- Arrigo K.R. 2014. Sea ice ecosystems // Ann. Rev. Mar. Sci. V. 6. P. 439.
- Bayliss P.R., Laybourn-Parry J. 1995. Seasonal abundance and size variation in Antarctic populations of the cladoceran Daphniopsis studeri // Antarct. Sci. V. 7. Iss. 4. P. 393.
- Bello F.D., Lavorel S., Lavergne S. et al. 2013. Hierarchical effects of environmental filters on the functional structure of plant communities: a case study in the French Alps // Ecography. V. 36. Iss. 3. P. 393.
- Benvenuto C., Knott B., Weeks S. 2015. Crustaceans of extreme environments // Lifestyles and Feeding Biol. Oxford: Oxford Univ. Press. P. 379.
- Boix D., Gascón S., Sala J. et al. 2007. Patterns of composition and species richness of crustaceans and aquatic insects along environmental gradients in Mediterranean water bodies // Pond Conservation in Europe. Dordrecht: Springer. P. 53.
- Bowman T.E. 1981. Thermosphaeroma milleri and T. smithi, new sphaeromatid isopod crustaceans from hot springs in Chihuahua, Mexico, with a review of the genus // J. Crustac. Biol. V. 1. Iss. 1. P. 105.
- Britton R.H., Johnson A.R. 1987. An ecological account of a Mediterranean salina: the Salin de Giraud, Camargue (S. France) // Biol. Conserv. V. 42. Iss. 3. P. 185.
- Bruno D., Gutiérrez–Cánovas C., Sánchez–Fernández D. et al. 2016. Impacts of environmental filters on functional redundancy in riparian vegetation // J. Appl. Ecol. V. 53. Iss. 3. P. 846.
- Brusca R.C., Brusca G.J. 2003. Phylum Arthropoda: Crustacea // Invertebrates. Massachussets: Sinauer Associat. P. 511.
- Bruun A.F. 1940. Observations on Thermosbaena mirabilis Monod from the hot springs of El-Hamma, Tunisia // Vidensk. Medd. Dansk naturh. Foren. V. 103. P. 493.
- Chalmandrier L., Münkemüller T., Gallien L. et al. 2013. A family of null models to distinguish between environmental filtering and biotic interactions in functional diversity patterns // J. Veg. Sci. V. 24. Iss. 5. P. 853.
- Chen X., Li Z., Boda P. et al. 2022. Environmental filtering in the dry season and spatial structuring in the wet: different fish community assembly rules revealed in a large subtropical floodplain lake // Environ. Sci. Pollut. Res. V. 29. P. 69875.
- Chessman B.C., Royal M.J. 2004. Bioassessment without reference sites: use of environmental filters to predict natural assemblages of river macroinvertebrates // J. North Am. Benthol. Soc. V. 23. № 3. P. 599.
- Díaz S., Lavorel S., Chapin F.S. et al. 2007. Functional diversity – at the crossroads between ecosystem functioning and environmental filters // Terrestrial ecosystems in a changing world. Heidelberg: Springer. P. 81.
- Dov F. 2007. Ophel: a groundwater biome based on chemoautotrophic resources. The global significance of the Ayyalon cave finds, Israel // Hydrobiologia. V. 592. P. 1.
- Dumont H.J. 1978. Thermosbaena mirabilis Monod, 1924: situation actuelle de la population du biotope-type et proposition de mesures à prendre (Crustacea, Pancarida, Thermosbaenacea) // Bull. Mus. Natl. Hist. Nat., Zool. 3ième sér. V. 512. № 41. P. 43.
- Gülen D. 1985. The species and distribution of the group Podocopa (Ostracoda: Crustacea) in the freshwaters of western Anatolia // Istanbul Üniversitesi Fen Fakültesi Mecmuasi Seri B50. P. 65.
- Hammer U.T. 1986. Saline lake ecosystems of the world. Dordrecht: Dr. W. Junk Publ.
- Hedgpeth J.W. 1959. Some preliminary considerations of the biology of inland mineral waters // Archivio di Oceanografia e Limnologia. V. 11. P. 111.
- Ivanenko V., Ferrari F.D., Defaye D. et al. 2011. Description, distribution and microhabitats of a new species of Tisbe (Copepoda: Harpacticoida: Tisbidae) from a deep-sea hydrothermal vent field at the Mid-Atlantic Ridge (37 degrees N, Lucky Strike) // Cah. Biol. Mar. V. 52. № 1. P. 89.
- Karanovic I. 2005. A new Candoninae genus (Crustacea: Ostracoda) from subterranean waters of Queensland, with a cladistie analysis of the tribe Candonopsini // Mem. Queensl. Mus. V. 50. № 2. P. 303.
- Klie W. 1939. Zur Kenntnis von Cypris balnearia Moniez (Ostracoda) // Zool. Anz. V. 126. P. 298.
- Kraft N.J., Adler P.B., Godoy O. et al. Community assembly, coexistence and the environmental filtering metaphor // Funct. Ecol. V. 29. Iss. 5. P. 592.
- Külköylüoglu O., Meisch C., Rust R.W. 2003. Thermopsis thermophila n. gen. n. sp. from hot springs in Nevada, U.S.A. (Crustacea, Ostracoda) // Hydrobiologia. V. 499. P. 113.
- Laprida C., Díaz A., Ratto N. 2006. Ostracods (Crustacea) from thermal waters, southern Altiplano, Argentina // Micropaleontology. V. 52. № 2. P. 177.
- Leibold M.A., Economo E.P., Peres-Neto P. 2010. Metacommunity phylogenetics: separating the roles of environmental filters and historical biogeography // Ecol. Lett. V. 13. Iss. 10. P. 1290.
- Marin I. 2017. Troglocaris (Xiphocaridinella) kumistavi sp. nov., a new species of stygobiotic atyid shrimp (Crustacea: Decapoda: Atyidae) from Kumistavi Cave, Imereti, Western Georgia, Caucasus // Zootaxa. V. 4311. № 4. P. 576.
- Menéndez-Serra M., Ontiveros V.J., Cáliz J. et al. 2023. Understanding stochastic and deterministic assembly processes in microbial communities along temporal, spatial and environmental scales // Mol. Ecol. https://doi.org/10.1111/mec.16842
- Moore J.E. 1952. The Entomostraca of southern Saskatchewan // Can. J. Zool. V. 30. № 6. P. 410.
- Oremland R.S., Stolz J.F., Hollibaugh J.T. 2004. The microbial arsenic cycle in Mono Lake, California // FEMS Microbiol. Ecol. V. 48. Iss. 1. P. 15.
- Pedersen R.B., Rapp H.T., Thorseth I.H. et al. 2010. Discovery of a black smoker vent field and vent fauna at the Arctic Mid-Ocean Ridge // Nat. Commun. V. 1. P. 1.
- Pesce G.L. 1981. Some harpacticoids from subterranean waters of Greece (Crustacea: Copepoda) // Ital. J. Zool. V. 48. Iss. 3–4. P. 263.
- Pinder A.M., Halse S.A., McRae J.M., Shiel R.J. 2005. Occurrence of aquatic invertebrates of the wheatbelt region of Western Australia in relation to salinity // Hydrobiologia. V. 543. Iss. 1. P. 1.
- Ramirez-Llodra E., Shank T.M., German C.R. 2007. Biodiversity and biogeography of hydrothermal vent species: thirty years of discovery and investigations // Oceanography. V. 20. № 1. P. 30.
- Sacco M., White N.E., Harrod C. et al. 2021. Salt to conserve: a review on the ecology and preservation of hypersaline ecosystems // Biol. Rev. V. 96. Iss. 6. P. 2828.
- Schram F.R., Koenemann S. 2021. Evolution and Phylogeny of Pancrustacea: A Story of Scientific Method. Oxford: Oxford Univ. Press.
- Sha Z., Wang Y. 2018. Phylogenetic position of Alvinocarididae (Crustacea: Decapoda: Caridea): New insights into the origin and evolutionary history of the hydrothermal vent alvinocarid shrimps // Deep Sea Res. Part I Oceanogr. Res. Pap. V. 141. P. 93.
- Shadrin N.V., Anufriieva E.V., Amat F., Eremin O.Y. 2015. Dormant stages of crustaceans as a mechanism of propagation in the extreme and unpredictable environment in the Crimean hypersaline lakes // Chin. J. Oceanol. Limnol. V. 33. № 33. P. 1362.
- Shadrin N.V., Belyakov V.P., Bazhora A.I., Anufriieva E.V. 2019. The role of salinity as an environmental filtering factor in the determination of the Diptera taxonomic composition in the Crimean waters // Knowl. Manag. Aquat. Ecosyst. № 420. Article no. 3 (7 p.).
- Timms B.V. 2009. Study of the saline lakes of the Esperance Hinterland, Western Australia, with special reference to the roles of acidity and episodicity // Nat. Res. Environ. Iss. V. 15. № 1. P. 215.
- Zhao W., He Z.H. 1999. Biological and ecological features of inland saline waters in North Hebei, China // Int. J. Salt Lake Res. V. 8. Iss. 3. P. 267.
Supplementary files







