First Data on Species Composition and Development Cladocera (Crustacea: Branchiopoda) in Mire Ecosystems (Kaliningrad Region, Russia)
- Authors: Semenova A.S.1,2, Napreenko M.G.3
-
Affiliations:
- Atlantic Branch of the Russian Federal Research Institute of Fisheries and Oceanography (“AtlantNIRO”)
- Papanin Institute for Biology of Inland Waters, Russian Academy of Sciences
- Immanuel Kant Baltic Federal University
- Issue: No 5 (2023)
- Pages: 590-605
- Section: Articles
- URL: https://bakhtiniada.ru/0320-9652/article/view/134893
- DOI: https://doi.org/10.31857/S032096522305011X
- EDN: https://elibrary.ru/SJONTD
- ID: 134893
Cite item
Full Text
Abstract
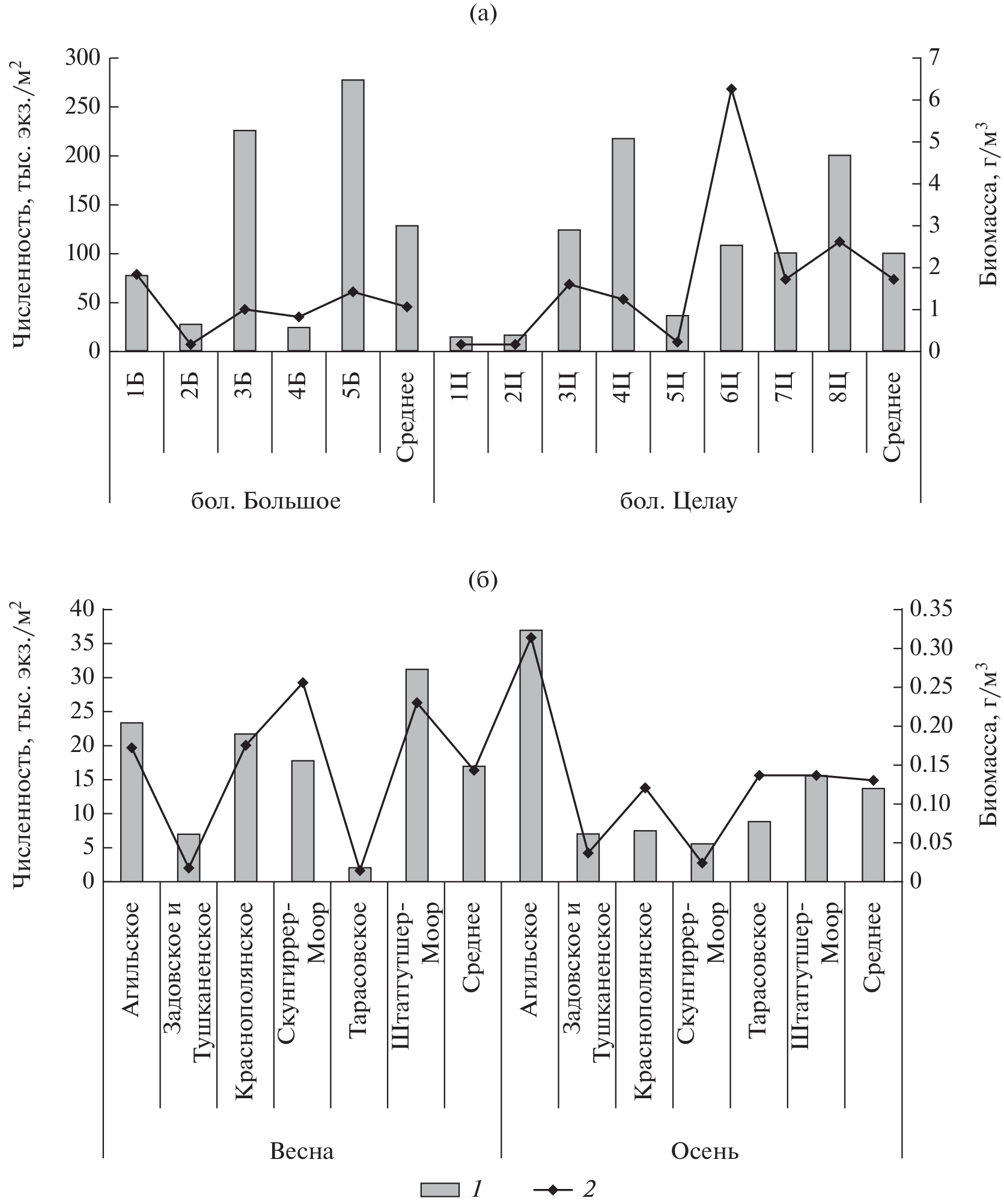
The original data on Cladocera fauna in standing-water and stream habitats of mire ecosystems were obtained for the first time in the Kaliningrad region during the research study on large raised bogs (Zehlau and Bolshoye) and drainage canals of 6 peatlands affected by peat extraction. In the studied wetland ecosystems, 41 species of Cladocera were recorded in total, including a number of rare and vulnerable taxa (Flavalona rustica, Scapholeberis microcephala, Streblocerus serricaudatus and Holopedium gibberum). The four species of Cladocera are new species for the Kaliningrad region which were not reported here before. Cladocera played a vital role in the studied bog pools and waterlogged habitats in peatlands as a key group of organisms that forms here a significant part of the zooplankton biomass due to the abundance and intensive production in the water bodies. The secondary filter feeders and predators were the most abundant in bog ecosystems. The cladoceran fauna in the intact bog ecosystems, especially the Zehlau raised bog, was the most diverse and unique. Nevertheless, the cladoceran assemblages in the disturbed ecosystems of drainage canals retained certain features of the natural water bodies. The latter fact is important in applied respect enabling to consider these canals as refugia that have potentials for natural restoration of the cladoceran fauna during the peatland rewetting programme on the Carbon Polygon in the Kaliningrad region.
About the authors
A. S. Semenova
Atlantic Branch of the Russian Federal Research Institute of Fisheries and Oceanography (“AtlantNIRO”); Papanin Institute for Biology of Inland Waters, Russian Academy of Sciences
Author for correspondence.
Email: a.s.semenowa@mail.ru
Russia, Kaliningrad; Russia, Nekouzskii raion, Yaroslavl oblast, Borok
M. G. Napreenko
Immanuel Kant Baltic Federal University
Email: a.s.semenowa@mail.ru
Russia, Kaliningrad
References
- Аксенова М.Д., Чертопруд Е.С., Новичкова А.А. и др. 2020. Cladocera и Copepoda горных болот Северного Кавказа: состав и закономерности формирования видовых комплексов // Зоол. журн. Т. 99. № 10. С. 1187. https://doi.org/10.31857/S0044513420100037
- Андроникова И.Н. 1992. Основные итоги исследования ветвистоусых ракообразных гумифицированных водоемов // Современные проблемы изучения ветвистоусых ракообразных. СПб.: Гидрометеоиздат. С. 81.
- Боч М.С., Напреенко М.Г. 1999. Болото Целау // Водно-болотные угодья России. Ценные болота. М.: Wetlands Int. Publ. Т. 2. № 49. С. 39.
- Гришуткин О.Г., Ершкова Е.В., Соколова И.С. 2022. Водные сосудистые растения на болотах Приволжской возвышенности: распространение, встречаемость, экология // Биология внутр. вод. № 6. С. 677.https://doi.org/10.31857/S0320965222060080
- Зайцева В.Л., Филиппов Д.А., Лобуничева Е.В. 2016. Зоопланктон мочажин верховых болот центральной части Вологодской области // Biological Communications. № 2. С. 4.
- Зайцева В.Л., Филиппов Д.А., Лобуничева Е.В. 2017. Состав и сезонная динамика зоопланктона ручья верхового болота // Уч. записки Петрозаводск. гос. ун-та. № 2 (163). С. 69.
- Коровчинский Н.М., Котов А.А., Бойкова О.С. и др. 2021а. Ветвистоусые ракообразные (Crustacea: Cladocera) Северной Евразии. Т. 1. М.: Тов-во науч. изданий КМК.
- Коровчинский Н.М., Котов А.А., Синeв А.Ю. и др. 2021б. Ветвистоусые ракообразные (Crustacea: Cladocera) Северной Евразии. Т. 2. М.: Тов-во науч. изданий КМК.
- Красная книга Калининградской области. 2010. Калининград: Изд-во РГУ им. И. Канта.
- Лобуничева Е.В., Филиппов Д.А. 2009. Зоопланктон мочажин печорско-онежских олиготрофных болот (Вологодская область) // Вестн. Томск. гос. пед. ун-та. № 3. С. 82.
- Лобуничева Е.В., Филиппов Д.А. 2011. Зоопланктон пойменных болот и рек Северо-Запада Вологодской области // Биология внутр. вод. № 2. С. 9. https://doi.org/10.1134/S1995082911020313
- Лобуничева Е.В., Филиппов Д.А. 2012. Зоопланктон пойменных болот и рек Северо-Запада Вологодской области // Вестн. Костром. гос. ун-та. Т. 18. № 5. С. 9.
- Лобуничева Е.В., Филиппов Д.А. 2017. Зоопланктон внутриболотных первичных озер Шиченгского болота (Вологодская область) // Тр. Ин-тa биологии внутр. вод РАН. № 79(82). С. 95.
- Лоскутова О.А., Хохлова Л.Г., Патова Е.Н. и др. 2010. Биоразнообразие беспозвоночных и водорослей в озерах болотного заказника “Океан” // Изв. Самар. науч. центра РАН. Т. 12. № 1–4. С. 957.
- Методика изучения биогеоценозов внутренних водоемов. 1975. М.: Наука.
- Напреенко М.Г., Напреенко-Дорохова Т.В., Карелина В.И., Пеленс Е.Д. 2022. Мониторинг видового состава и эколого-ценотических характеристик сфагновых мхов на карбоновом полигоне “Росянка” (Калининградская область) // Вест. Балтийского фед. ун-та им. И. Канта. № 1. С. 73.
- Напреенко М.Г. 2000. Болота Калининградской области: их роль в сохранении биоразнообразия и окружающей среды в регионе // Вест. Калининград. гос. ун-та. С. 99.
- Напреенко-Дорохова Т.В., Напреенко М.Г. 2015. Развитие природного комплекса Целау (по данным строения торфяной залежи) // Вест. Балтийского фед. ун-та им. И. Канта. № 1. С. 50.
- Науменко Е.Н. 2008. Видовой состав зоопланктона Куршского и Вислинского заливов Балтийского моря // Тр. Зоол. ин-та РАН. Т. 312. № 1/2. С. 155.
- Неронов В.В., Королева Е.Г. 2013. Биогеографическая уникальность и антропогенная трансформация экосистем верхового болота Целау (Калининградская область) // Изв. РАН. Сер. геогр. № 3. С. 55.
- Подшивалина В.Н., Шевелева Н.Г., Баянов Н.Г. 2012. Биология и экология Holopedium gibberum (Branchiopoda: Cladocera: Ctenopoda) в Палеарктике // Гидробиол. журн. Т. 48. № 4. С. 22.
- Подшивалина В.Н. 2012. Особенности биологии и распространения Holopedium gibberum Zaddach (Crustacea, Cladocera) на территории зоны южной тайги Низменного Заволжья // Поволжский экол. журн. № 3. С. 295.
- Полунина Ю.В. 2013. Зоопланктон реки Преголи // Биологические сообщества реки Преголи (бассейн Вислинского залива, Балтийское море). Калининград: Старбукс. С. 112.
- Уманская М.В., Быкова С.В., Мухортова О.В. и др. 2020. Комплексный анализ планктонного сообщества двух полигумозных болотных озер европейской части России // Биология внутр. вод. 2020. № 6. С. 523. https://doi.org/10.31857/S0320965220060194
- Филиппов Д.А., Прокин А.А., Пржиборо А.А. 2017. Методы и методики гидробиологического исследования болот: учебное пособие. Тюмень: Изд-во Тюмен. гос. ун-та.
- Черевичко А.В. 2009. Зоопланктон разнотипных водоемов Полистово-Ловатской болотной системы // Биология внутр. вод. № 3. С. 73. https://doi.org/10.1134/S1995082909030109
- Черевичко А.В. 2012. Зоопланктон разнотипных водоемов Малоземельской тундры // Arctic Environ. Res. № 3. С. 66.
- Чуйков Ю.С. 1981. Методы экологического анализа состава и структуры сообществ водных животных. Экологическая классификация беспозвоночных, встречающихся в планктоне пресных вод // Экология. № 3. С. 71.
- Чуйков Ю.С. 2018. Трофическая структура сообществ зоопланктона: история и некоторые итоги изучения // Астраханский вестник экологического образования. № 3 (45). С. 175.
- Шевелева Н.Г., Подшивалина В.Н., Шабурова Н.И. 2014. Особенности таксономического состава, структуры и количественных показателей зоопланктона верховых болотных водоемов // Бюлл. Москов. общ-ва испыт. природы. Отдел биол. Т. 119. № 3. С. 25.
- Шевелева Н.Г., Мишарина Е.А., Пенькова О.Г. 2017. Редкие виды ракообразных (Crustacea: Branchiopoda, Maxillopoda) в водоемах Иркутской области // Изв. Иркутск. гос. ун-та. Сер. Биология. Экология. Т. 19. С. 78.
- Błędzki L.A., Rybak J.I. 2016. Freshwater Crustacean zooplankton of Europe. Cladocera & Copepoda (Calanoida, Cyclopoida). Key to species identification, with notes on ecology, distribution, methods and introduction to data analysis. Switzerland: Springer. https://doi.org/10.1007/978-3-319-29871-9
- Clarke K.R, Gorley R.N. 2006. PRIMER v 6: User Manual. Tutorial. Plymounth: Plymounth Marine Laboratory.
- Flößner D. 2000. Die Haplopoda und Cladocera (ohne Bosminidae) Mitteleuropas. Leiden, Netherlands: Backhuys Publishers.
- Fryer G. 1993. Variation in acid tolerance of certain freshwater crustaceans in different natural waters // Hydrobiologia. V. 250. P. 119. https://doi.org/10.1007/BF00008233
- Haney J.F., Hall D.J. 1973. Sugar-coated Daphnia: Apreservation technique for Cladocera // Limnol., Oceanogr. V. 18. № 2. P. 331. https://doi.org/10.4319/lo.1973.18.2.0331
- Kotov A.A. 2006. Adaptations of Anomopoda Crustaceans (Cladocera) to the benthic mode of life // Zoologicheskiy Zhurn. V. 85. P. 1043. https://doi.org/10.1134/S0013873806110157
- Napreenko M.G., Antsiferova O.A., Aldushin A.V. et al. 2021. New approaches to sustainable management of wetland and forest ecosystems as a response to changing socio-economic development contexts // Innovations and Traditions for Sustainable Development, World Sustainability Series. Cham: Springer. P. 395. https://doi.org/10.1007/978-3-030-78825-4
- Semenova A.S., Tchougounov V.K. 2018. The Distribution of Moina micrura Kurz, 1875 (Crustacea: Moinidae) in the Russian Part of the Vistula Lagoon (Baltic Sea) // Rus. J. Biol. Invasions. V. 9. № 2. P. 175. https://doi.org/10.1134/S207511171802011X
- Shibaeva M.N., Masyutkina E.A., Shibaev S.V. 2017. Hydrobiological characteristics of water bodies in the Kaliningrad Region // Terrestrial and inland water environment of the Kaliningrad region. P. 285. https://doi.org/10.1007/698_2017_99
- Steinecke F. 1916. Die Rotatorien und Gastrotrichen des Zehlaubruches // Schriften der physikalisch–ökonomischen Gesellschaft zu Königsberg. Königsberg, Leipzig u. Berlin. Faunistische Sektion A. 57. S. 84.
- Van Damme K., Maiphae S., Sa-Ardrit P. 2013. Inland swamps in South East Asia harbour hidden cladoceran diversities: species richness and the description of new paludal Chydoridae (Crustacea: Branchiopoda: Cladocera) from Southern Thailand // J. Limnol. 72. P. 174. https://doi.org/10.4081/jlimnol.2013.s2.e10
- Zaddach E.G. 1855. Holopedium gibberum, ein neues Crustaceum aus der Familie der Branchiopoden // Arch. Naturgesh. Jahr. 21. № 1. S. 159.
Supplementary files








