Pike Cannibalism, Paratenic Hosts and Trematode Life Span as Factors Influencing the Distribution of Azygia lucii in the Definitive Host Population
- Authors: Zhokhov A.E.1, Pugacheva M.N.1
-
Affiliations:
- Papanin Institute for Biology of Inland Waters, Russian Academy of Sciences
- Issue: No 1 (2023)
- Pages: 115-124
- Section: ПАРАЗИТОЛОГИЯ ГИДРОБИОНТОВ
- URL: https://bakhtiniada.ru/0320-9652/article/view/134890
- DOI: https://doi.org/10.31857/S0320965223010205
- EDN: https://elibrary.ru/KTZWOZ
- ID: 134890
Cite item
Full Text
Abstract
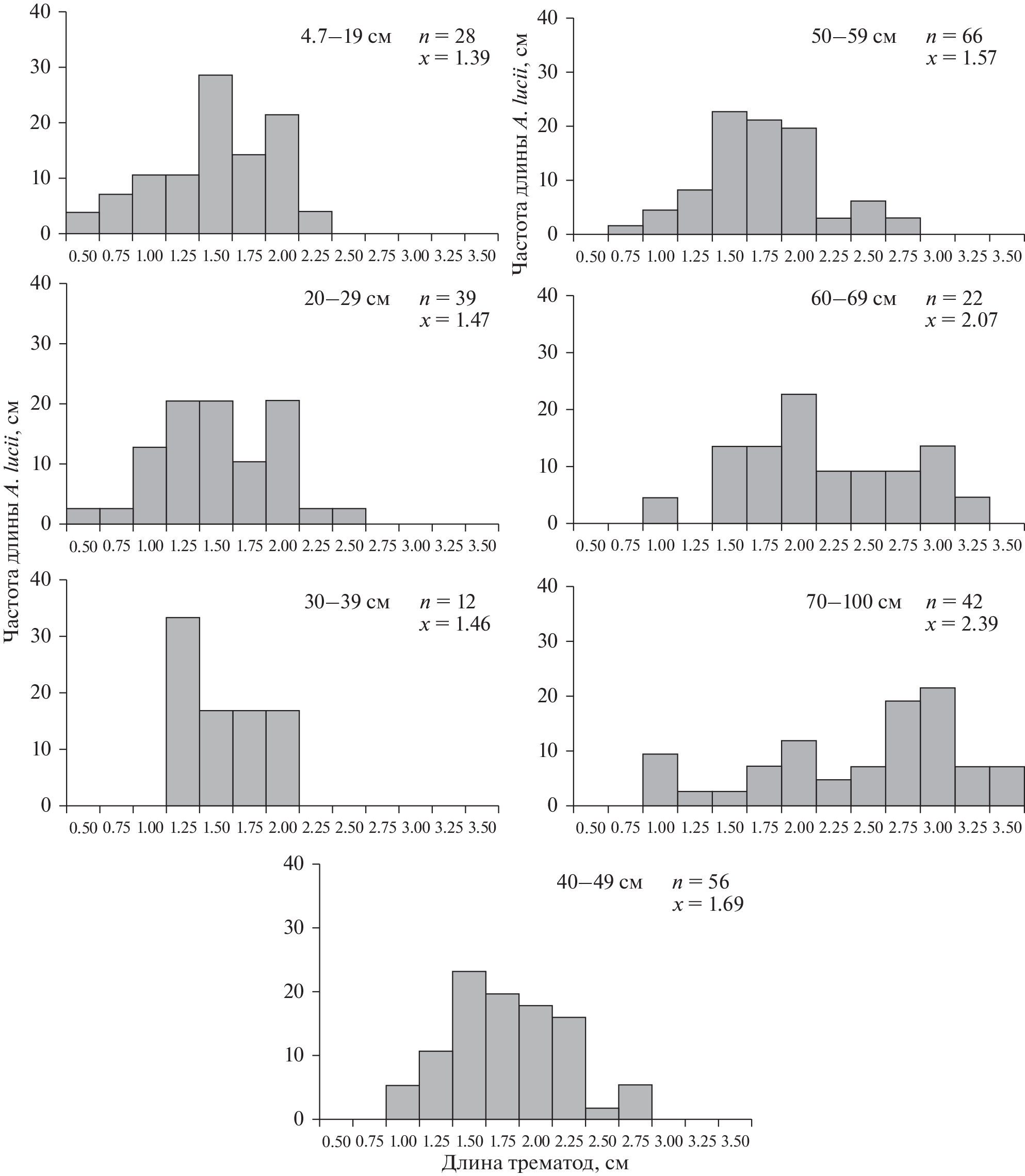
The ratio of the body length of the trematodes Azygia lucii and the body length of pikes in the population of the Rybinsk Reservoir was studied. The material was collected in September–October from 2018 to 2021. A total 386 pike was divided into seven size classes according to body length (range 4.7–83 cm). The prevalence of A. lucii increased from 14.2% in underyearlings to 46.2% in pikes 9+. The distribution of the trematodes in all size classes was aggregated. The usual intensity of invasion was 1–3 trematodes in all classes; the proportion of fish with this intensity of invasion varied from 62.5 to 83.3%. A total of 259 worms were measured. The body length of the found worms ranged from 0.49 to 3.5 cm. The average length of A. lucii increased with host size from 1.39 cm in underyearlings to 2.39 cm in older pikes. The largest trematodes (3–3.5 cm long) were found in the largest pikes. Distribution/redistribution of trematodes in the pike population occurs due to pike cannibalism. Due to this, a group of trematodes is formed in large pikes, consisting of worms of different ages and sizes. An important role in the formation of such groups of trematodes is played by paratenic hosts. Their significance depends on their infection rate and the proportion in diet of pike in a particular reservoir. Features of the biology of A. lucii (large body size, short contact of trematodes with mollusks) suggest a long lifespan of marites.
Keywords
About the authors
A. E. Zhokhov
Papanin Institute for Biology of Inland Waters, Russian Academy of Sciences
Author for correspondence.
Email: zhokhov@ibiw.ru
Russia, Nekouzskii raion, Yaroslavl oblast, Borok
M. N. Pugacheva
Papanin Institute for Biology of Inland Waters, Russian Academy of Sciences
Email: zhokhov@ibiw.ru
Russia, Nekouzskii raion, Yaroslavl oblast, Borok
References
- Балагурова М.В. 1967. Материалы по питанию щуки // Изв. ВНИИОРХ. Т. 62. С. 195.
- Белякова Ю.В. 1975. Зараженность пресноводных моллюсков Казахстана личинками трематод, паразитирующих у рыб // Экология паразитов водных животных. Алма-Ата: “Наука” Казахской ССР. С. 173.
- Березкина Г.В., Старобогатов Я.И. 1988. Экология размножения и кладки яиц пресноводных легочных моллюсков // Тр. Зоол. ин-та АН СССР. Т. 174. Ленинград.
- Быховская-Павловская И.Е., Кулакова А.П. 1987. Класс Трематоды – Trematoda. Определитель паразитов пресноводных рыб фауны СССР. Т. 3. Паразитические многоклеточные. Ленинград: Изд-во “Наука”. С. 77.
- Герасимов Ю.В., Иванова М.Н., Свирская А.Н. 2015. Щука // Рыбы Рыбинского водохранилища: популяционная динамика и экология. Ярославль: Филигрань. С. 184.
- Герасимов Ю.В., Иванова М.Н., Свирская А.Н. 2018. Пространственное распределение и структура популяции щуки Esox lucius Рыбинского водохранилища в период потепления климата // Вопр. ихтиологии. Т. 58. № 1. С. 31. https://doi.org/10.7868/S0042875218010058
- Горбунова М.Н. 1936. Возрастные изменения паразитофауны щуки и плотвы // Уч. записки Ленинград. гос. ун-та. № 7. Cер. биол. 3. С. 5.
- Жохов А.Е., Пугачева М.Н., Молодожникова Н.М., Мироновский А.Н. 2006. Гельминтофауна ерша Gymnocephalus cernuus L. (Perciformes, Percidae) Рыбинского водохранилища: восстановление после депрессии численности хозяина // Вопр. ихтиологии. Т. 46. № 5. С. 702.
- Жохов А.Е., Тютин А.В. 1994. Паразитофауна рыб в условиях ацидификации озер // Структура и функционирование экосистем ацидных озер // Тр. Ин-та биологии внутр. вод РАН. Вып. 70(73). Санкт-Петербург: Наука. С. 186.
- Задульская Е.С. 1960. Питание и пищевые взаимоотношения хищных рыб северной части Рыбинского водохранилища // Тр. Дарвинского гос. заповед. Вып. VI. С. 345.
- Иванова М.Н. 1959. О питании щуки Рыбинского водохранилища // Тр. VI совещ. по проблемам биологии внутр. вод. Москва: Изд-во АН СССР. С. 311.
- Иванова М.Н., Свирская А.Н. 2002. Изменчивость числа позвонков, длины и массы тела сеголеток щуки Esox lucius в зависимости от условий обитания родителей // Вопр. ихтиологии. Т. 42. № 4. С. 503.
- Иванова М.Н., Свирская А.Н. 2009. О проявлении компенсационного роста у молоди щуки Esox lucius // Биологические ресурсы Белого моря и внутренних водоемов Европейского Севера: Матер. XXVIII Междунар. конф. 5–8 октября 2009 г. г. Петрозаводск, Республика Карелия, Россия. Петрозаводск: Карельск. науч. центр РАН. С. 240.
- Иванова М.Н., Свирская А.Н. 2013. О размерной иерархии у молоди щуки Esox lucius // Вопр. ихтиологии. Т. 53. № 3. С. 327. https://doi.org/10.7868/S0042875213030041.
- Изюмова Н.А. 1958. Сезонная динамика паразитофауны рыб Рыбинского водохранилища (лещ, чехонь, судак, окунь) // Тр. биол. ст. “Борок”. Вып. 3. С. 384.
- Изюмова Н.А. 1959а. К вопросу о динамике паразитофауны рыб Рыбинского водохранилища // Тр. ИБВВ АН СССР. Вып. 2(5). С. 174.
- Изюмова Н.А. 1959б. Сезонная динамика паразитофауны рыб Рыбинского водохранилища (плотва, ерш) // Тр. ИБВВ АН СССР. Вып. 1(4). С. 332.
- Когтева Е.П. 1957. Паразиты рыб Псковско-Чудского водоема // Изв. ВНИИОРХ. Т. 42. С. 243.
- Комарова Т.И. 1982. Паразиты молоди рыб Кременчугского водохранилища и их влияние на организм хозяев. Киев: Наукова думка.
- Кулемина И.В. 1969. Возрастные изменения паразитофауны некоторых рыб озера Селигер // Эколого-паразитологические исследования на озере Селигер. Ленинград: Изд-во Ленинград. гос. ун-та. С. 87.
- Либерман Е.Л., Козлов С.А. 2018. Особенности паразитофауны Esox lucius (Linnaeus, 1758) реки Тобол в зимний период жизненного цикла // Изв. Самар. науч. центра РАН. Т. 20. № 2. С. 124.
- Макковеева И.И. 1956. Питание молоди щуки Рыбинского водохранилища // Вопр. ихтиологии. Вып. 7. С. 60.
- Маркова Т.Г. 1958. Сезонные изменения паразитофауны щуки // Зоол. журн. Т. 37. Вып. 12. С. 1801.
- Метельский С. Т. 1995. Связь продолжительности жизни эукариот (животных и растений) с некоторыми их физическими характеристиками // Журн. общей биологии. Т. 56. № 6. С. 723.
- Новоселов А. П. 2021. Видовое и экологическое разнообразие ихтиофауны бассейна р. Печоры // Биология внутр. вод. № 3. С. 261. https://doi.org/10.31857/S0320965221030116
- Оденинг К. 1975. Cercaria splendens Szidat – личинка трематоды Azygia lucii Looss // Паразитология. Т. 9. Вып. 3. С. 232.
- Пермитин И.Е. 1959. Возраст и темп роста щуки Рыбинского водохранилища // Тр. Ин-та биологии водохранилищ. № 2(5). Москва: Изд-во АН СССР. С. 148.
- Петрушевский Г.К., Быховская-Павловская И.Е. 1935. Материалы по паразитологии рыб Карелии. Паразиты рыб района Кончозера // Тр. Бородинской биол. станции в Карелии. Т. 8(1). С. 15.
- Петрушевский Г.К., Мосевич М.В., Щупаков И.Г. 1948. Фауна паразитов рыб рек Оби и Иртыша // Изв. ВНИИОРХ. Т. 27. С. 67.
- Петрушевский Г.К., Позднякова М.Н., Шульман С.С. 1957. Паразиты рыб Браславских озер Белоруссии // Изв. ВНИИОРХ. Т. 42. С. 337.
- Полянский Ю.И., Шульман С.С. 1956. Возрастные изменения паразитофауны рыб // Тр. Карело-Финского филиала АН СССР. Петрозаводск: Гос. изд-во Карело-Финской ССР. С. 3.
- Рейнсоне А.Д. 1955. Материалы по паразитофауне рыб оз. Сивер // Тр. Ин-та биологии АН ЛатвССР. Т. 2. Вып. 1. С. 191.
- Скрябин К.И. 1958. Трематоды животных и человека. Основы трематодологии. Москва: Изд-во АН СССР. Т. 14. С. 670.
- Стенько Р.П. 1976. Жизненный цикл трематоды Crowcrocaecum skrjabini (Ivanitzky, 1928) (Allocreadiata, Opecoelidae) // Паразитология. Т. 10. Вып. 1. С. 9.
- Теплова Е.Н., Теплов В.П. 1953. Питание щуки в бассейне Верхней Печоры // Вопр. ихтиологии. Вып. 1. С. 94.
- Тютин А.В. 1996. Сезонная динамика зараженности окуневых рыб трематодой Bunodera luciopercae в условиях Рыбинского водохранилища // Биология внутр. вод. № 1. С. 73.
- Фортунатов К.Р., Попова О.А. 1973. Питание и пищевые взаимоотношения хищных рыб в дельте Волги. Москва: Изд-во “Наука”.
- Фролова Е.Н. 1975. Личинки трематод в моллюсках Южной Карелии. Ленинград: Изд-во “Наука”.
- Черногоренко М.И. 1983. Личинки трематод в моллюсках Днепра и его водохранилищ. Киев: Наукова думка.
- Шляпникова Р.Л. 1957. Материалы к паразитофауне рыб озера Выртсъярв // Изв. ВНИИОРХ. Т. 42. С. 270.
- Шмидт-Ниельсен К. 1987. Размеры животных: почему они так важны? Москва: Мир. (Knut Schmidt-Nielsen. 1984. Why is animal size so important? Cambridge University Press).
- Шульман Р.Е., Чернышева Н.Б. 1969. Паразитофауна отдельных видов рыб озера Селигер // Эколого-паразитологические исследования на озере Селигер. Ленинград: Изд-во Ленинград. гос. ун-та. С. 59.
- Kozicka J. 1959. Parasites of fishes of Druzno Lake // Acata Parasitologica Polonica. V. 7. P. 1.
- Margolis L., Boyce N.P. 1969. Life span, maturation, and growth of two hemiurid trematodes, Tubulovesicula lindbergi and Lecithaster gibbosus, in Pacific salmon (genus Oncorhynchus) // J. Fish. Res. Board Can. V. 26. P. 893.
- Moravec F. 1982. A contribution to the bionomics of Crepidostomum metoecus (Trematoda: Allocreadiidae) // Vĕst. čs. Společ. Zool. V. 46. P. 15.
- Odening K. 1976. Der Lebenzyklus von Azygia lucii (Trematoda) – Untersuchungen im Gebiet der DDR // Biologisches Zentralblatt. V. 95. № 1. S. 57.
- Odening K., Bockhardt I. 1976. On the seasonal occurrence of Azygia lucii (Trematoda) in Esox lucius (Pisces) // Zoologischer Anzeiger. V. 196. № 3/4. P. 182.
- Pojmanska T. 1985. An analysis of seasonality of incidence and maturation of some fish parasites, with regard to thermal factor. V. Digeneans of the genus Sphaerostoma Rudolphi, 1809. General conclusion // Acta Parasitol. Polonica. V. 30. P. 35.
- Rózsa L., Reiczigel J., Majoros G. 2000. Quantifying parasites in samples of hosts // J. Parasitol. V. 86. P. 228.
Supplementary files






