Распределение, размерно-морфологическая структура и продукция гетеротрофного бактериопланктона Горьковского водохранилища
- Авторы: Кузнецова Е.В.1, Косолапов Д.Б.1, Микрякова И.С.1, Косолапова Н.Г.1, Масленникова Т.С.1, Скопина М.Ю.1
-
Учреждения:
- Институт биологии внутренних вод им. И.Д. Папанина Российской академии наук,
- Выпуск: № 1 (2023)
- Страницы: 7-19
- Раздел: ВОДНАЯ МИКРОБИОЛОГИЯ
- URL: https://bakhtiniada.ru/0320-9652/article/view/134879
- DOI: https://doi.org/10.31857/S0320965223010084
- EDN: https://elibrary.ru/KSONMB
- ID: 134879
Цитировать
Полный текст
Аннотация
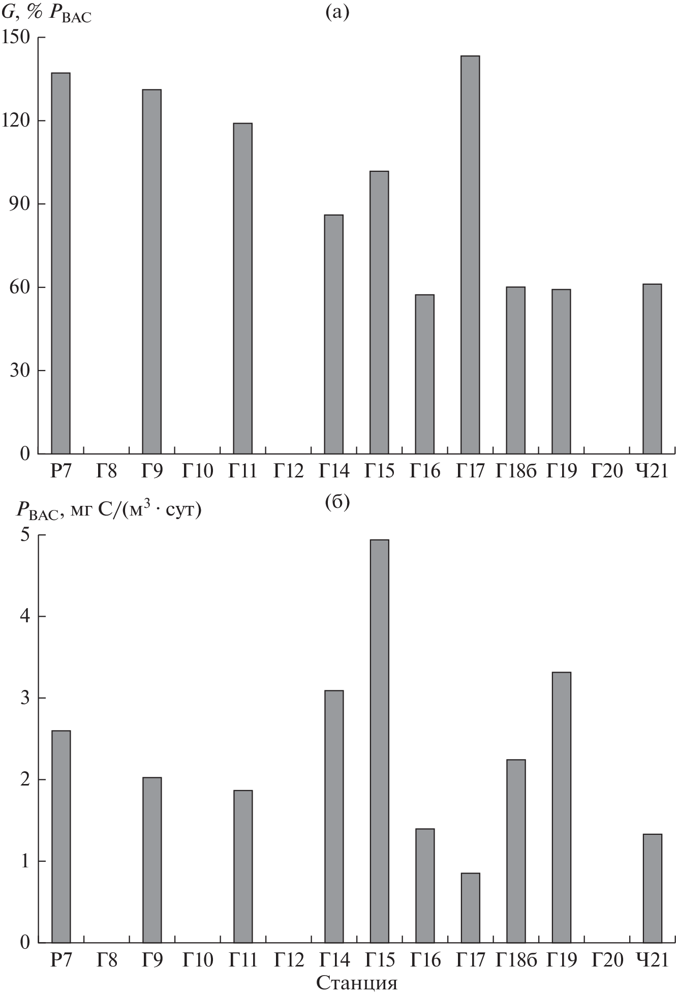
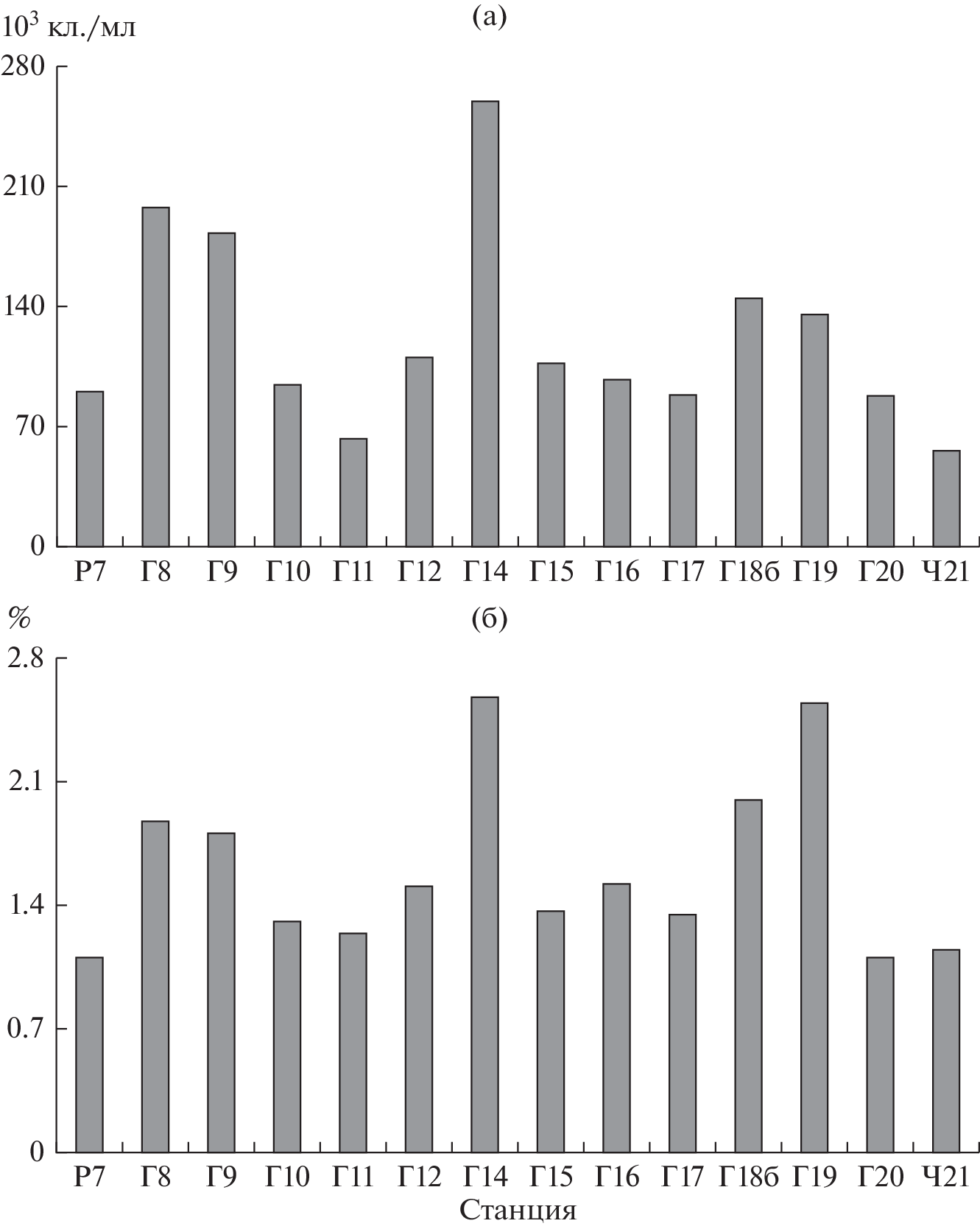
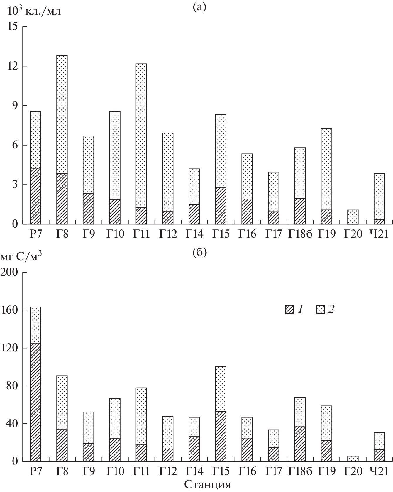
Проведены определения численности, биомассы, размерно-морфологической структуры, скорости роста и продукции бактериопланктона, интенсивности первичной продукции планктона и темновой ассимиляции СО2, а также численности и биомассы гетеротрофных жгутиконосцев в крупном равнинном эвтрофном водоеме (Горьковское водохранилище, Средняя Волга). Численность, биомасса и продукция бактериопланктона были сравнительно высокими и достигали в среднем 7.6 млн кл./мл, 117.9 мг C/м3 и 59.2 мг С/(м3 · сут) соответственно. Гетеротрофные нанофлагелляты также имели высокий уровень количественного развития – в среднем 6.9 тыс. кл./мл, 47.9 мг С/м3. На их биомассу приходилось в среднем 41.6 ± 18.4% биомассы бактериопланктона, т.е. кроме бактерий нанофлагелляты использовали другие источники пищи. Среди размерно-морфологических групп бактерий доминировали мелкие палочки и кокки (36.3 и 33.3% общей численности бактерий соответственно). Наиболее стабильным компонентом сообщества были мелкие палочки, которые в среднем занимали более половины (56.2%) общей биомассы. Возрастание скорости роста и продукции бактерий происходило на тех участках водохранилища, где доля среднеразмерных кокков и коккобацилл в общей численности бактерий была 18.2–29.3%. Наибольшую активность бактерий регистрировали в месте поступления теплых сбросных вод Волгореченской ГРЭС. На основании полученных данных водохранилище можно разделить на верхний речной и нижний озерный участки.
Об авторах
Е. В. Кузнецова
Институт биологии внутренних вод им. И.Д. Папанина Российской академии наук,
Автор, ответственный за переписку.
Email: kuzel@ibiw.ru
Россия, Некоузский р-н, Ярославская обл., пос. Борок
Д. Б. Косолапов
Институт биологии внутренних вод им. И.Д. Папанина Российской академии наук,
Email: kuzel@ibiw.ru
Россия, Некоузский р-н, Ярославская обл., пос. Борок
И. С. Микрякова
Институт биологии внутренних вод им. И.Д. Папанина Российской академии наук,
Email: kuzel@ibiw.ru
Россия, Некоузский р-н, Ярославская обл., пос. Борок
Н. Г. Косолапова
Институт биологии внутренних вод им. И.Д. Папанина Российской академии наук,
Email: kuzel@ibiw.ru
Россия, Некоузский р-н, Ярославская обл., пос. Борок
Т. С. Масленникова
Институт биологии внутренних вод им. И.Д. Папанина Российской академии наук,
Email: kuzel@ibiw.ru
Россия, Некоузский р-н, Ярославская обл., пос. Борок
М. Ю. Скопина
Институт биологии внутренних вод им. И.Д. Папанина Российской академии наук,
Email: kuzel@ibiw.ru
Россия, Некоузский р-н, Ярославская обл., пос. Борок
Список литературы
- Дзюбан А.Н., Косолапов Д.Б., Кузнецова И.А. 2001. Микробиологические процессы в Горьковском водохранилище // Вод. ресурсы. 28. № 1. Р. 47.
- Копылов А.И., Косолапов Д.Б. 2007. Микробиологические индикаторы эвтрофирования пресных вод // Биоиндикация в мониторинге пресноводных экосистем: Сб. матер. междунар. конф. Санкт-Петербург: Изд-во “Лема”. С. 176.
- Копылов А.И., Косолапов Д.Б. 2008. Бактериопланктон водохранилищ Верхней и Средней Волги. Москва: Изд-во Соврем. гуманитар. ун-та.
- Копылов А.И., Косолапов Д.Б., Микрякова И.C. 2020а. Многолетняя динамика гетеротрофного бактериопланктона в крупном эвтрофном водохранилище // Биология внутр. вод. № 5. С. 469. https://doi.org/10.31857/S0320965220050046
- Копылов А.И., Лазарева В.И., Минеева Н.М., Заботкина Е.А. 2020б. Планктонное сообщество крупного эвтрофного водохранилища в период аномально высокой температуры воды // Биология внутр. вод. № 4. С. 315. https://doi.org/10.31857/S0320965220040099
- Корнева Л.Г. 2015. Фитопланктон водохранилищ бассейна Волги. Кострома: Костромской печатный дом.
- Корнева Л.Г., Соловьева В.В., Макарова О.С. 2016. Разнообразие и динамика планктонных альгоценозов водохранилищ Верхней и Средней Волги (Рыбинское, Горьковское, Чебоксарское) в условиях эвтрофирования и изменения климата // Тр. Ин-та биол. внутр. вод. им. И.Д. Папанина РАН. № 76(79). С. 35.
- Косолапов Д.Б., Косолапова Н.Г., Румянцева Е.В. 2014. Активность и эффективность роста гетеротрофных бактерий Рыбинского водохранилища // Изв. РАН. Сер. биол. № 4. С. 355.https://doi.org/10.1134/S1062359014040050
- Кузнецов С.И., Дубинина Г.А. 1989. Методы изучения водных микроорганизмов. Москва: Наука.
- Кузнецова Е.В., Суханова Е.В., Косолапов Д.Б. 2021. Таксономическое разнообразие и размерно-морфологическая структура бактериопланктона Рыбинского водохранилища // Микробиология. Т. 90. № 3. С. 315.
- Кузнецова Е.В., Косолапов Д.Б., Крылов А.И. 2022. Изменения размерно-морфологической структуры бактериопланктона в градиенте трофии пресных водоемов архипелага Шпицберген // Сиб. экол. журн. № 2. С. 176.
- Минеева Н.М. 2004. Растительные пигменты в воде волжских водохранилищ. Москва: Наука.
- Минеева Н.М., Макарова О.С. 2018. Содержание хлорофилла как показатель современного (2015–2016 гг.) трофического состояния водохранилищ Волги // Биология внутр. вод. № 3. С. 107. https://doi.org/10.1134/S0320965218030129
- Минеева Н.М., Семадени И.В., Макарова О.С. 2020. Содержание хлорофилла и современное трофическое состояние водохранилищ Волги (2017–2018 гг.) // Биология внутр. вод. № 2. С. 205. https://doi.org/10.31857/S0320965220020102
- Михайленко Л.Е. 1999. Бактериопланктон днепровских водохранилищ. Киев: Ин-т гидробиологии НАН Украины.
- Романенко В.И. 1985. Микробиологические процессы продукции и деструкции органического вещества во внутренних водоемах. Ленинград: Наука.
- Романенко В.И., Кузнецов С.И. 1974. Экология микроорганизмов пресных водоемов. Лабораторное руководство. Ленинград: Наука.
- Caron D.A. 1983. Technique for enumeration of heterotrophic and phototrophic nanoplankton, using epifluorescence microscopy, and comparison with other procedures // Appl. Environ. Microbiol. V. 46. № 2. P. 491.
- Caron D.A., Dam H.G., Kremer P. et al. 1995. The contribution of microorganisms to particulate carbon and nitrogen in surface waters of the Sargasso Sea near Bermuda // Deep-Sea Res. V. 42. P. 943.
- Cavicchioli R., Ripple W.J., Timmis K.N. et al. 2019. Scientists’ warning to humanity: microorganisms and climate change // Nat. Rev. Microbiol. V. 17. № 9. P. 569.
- Fenchel T. 1986. The ecology of heterotrophic microflagellates // Adv. Microb. Ecol. V. 9. P. 57.
- Gasol J.M., Vaqué D. 1993. Lack of coupling between heterotrophic nanoflagellates and bacteria: A general phenomenon across aquatic systems? // Limnol., Oceanogr. V. 38. № 3. P. 657.
- Gasol J.M., del Giorgio P.A., Massana R., Duarte C.M. 1995. Active versus inactive bacteria: size-dependence in a coastal marine plankton community // Mar. Ecol. Prog. Ser. V. 128. P. 91.
- Hagstrom A., Larsson U., Horstedt P., Normark S. 1979. Frequensy of dividing cells, a new approach to the determination of bacterial growth rates in aquatic environments // Appl. Environ. Microbiol. V. 37. P. 805.
- Kato K., Oh S.-W., Yamamoto H. et al. 1992. Enclosure experiment on the control mechanism of planktonic bacterial standing stock // Ecol. Res. V. 7. P. 267.
- Lind O.T. 2002. Microbial production and reservoir zone trophic states // Lake Reservoir Manage. V. 18. P. 129.
- Norland S. 1993. The relationship between biomass and volume of bacteria // Handbook of Methods in Aquatic Microbial Ecology. Boca Raton: Lewis Publ. P. 303.
- Pernthaler J. 2005. Predation on prokaryotes in the water column and its ecological implications // Nat. Rev. Microbiol. V. 3. P. 537.
- Porter K.G., Feig Y.S. 1980. The use DAPI for identifying and counting of aquatic microflora // Limnol., Oceanogr. V. 25. № 5. P. 943. https://doi.org/10.4319/lo.1980.25.5.0943
- Segovia B.T., Domingues C.D., Meira B.R. et al. 2016. Coupling Between Heterotrophic Nanoflagellates and Bacteria in Fresh Waters: Does Latitude Make a Difference? // Front. Microbiol. V. 7. Art. 114. https://doi.org/10.3389/fmicb.2016.00114
- Straškrabova V., Šimek K., Vrba J. 2005. Long-term development of reservoir ecosystems – changes in pelagic food webs and their microbial component // Limnetica. V. 24. № 1–2. P. 9.
- Thorpe A.P., Jones J.R. 2005. Bacterial abundance in Missouri (USA) reservoirs in relation to trophic state and global patterns // Verh. Int. Ver. Limnol. V. 29. P. 239.
- Tremaine A., Mills A. 1987. Inadequacy of eukaryote inhibitor cycloheximide in studies of protozoan grazing on bacteria at the freshwater – sediment interface // Appl. Environ. Microbiol. V. 53. P. 1969.
- Wieltschnig C., Kirschner A.K.T., Steitz A., Velimirov B. 2001. Weak coupling between hetero-trophic nanoflagellates and bacteria in a eutrophic freshwater environment // Microbiol. Ecol. V. 42. P. 159.
- Wikner J., Hagstrom A. 1988. Evidence for a tightly coupled nanoplanktonic predator-prey link regulating the bacterivores in the marine environment // Mar. Ecol. Prog. Ser. 1988. V. 50. P. 137.
Дополнительные файлы









