Reaction of 2,3,4,5,6-Pentafluorobenzamide with Potassium Hydride: Unexpected Activation of the C–F Bond and Dimerization of Organofluorine Ligand
- Authors: Yambulatov D.S.1, Astaf´eva T.V.1, Voronina J.K.1, Nikolaevskii S.A.1, Kiskin M.A.1, Eremenko I.L.1
-
Affiliations:
- Kurnakov Institute of General and Inorganic Chemistry, Russian Academy of Sciences
- Issue: Vol 50, No 6 (2024)
- Pages: 402-410
- Section: Articles
- URL: https://bakhtiniada.ru/0132-344X/article/view/269428
- DOI: https://doi.org/10.31857/S0132344X24060061
- EDN: https://elibrary.ru/MVCLGI
- ID: 269428
Cite item
Full Text
Abstract
The reaction of potassium hydride with 2,3,4,5,6-pentafluorobenzamide (FBAm) in dimethoxyethane results in activation of the C–F bond in the para-position to the C(O)NH2 group followed by dimerization of FBAm to form a potassium salt with one free amide group. The structure of the binuclear reaction product {(DME)2K+[C6F5–C(O)N–C6F4–C(O)NH2]–}2 (I) was determined by X-ray diffraction (CCDC 2311402), the purity of the product was confirmed by NMR spectroscopy.
Full Text
Фторированные органические соединения представляют значительный интерес для химии материалов, фармацевтической и агрохимии, органической химии и химии полимеров [1–6]. Представители данного класса соединений успешно применяются в качестве противораковых, антиоксидантных, фунгицидных и других агентов, обладающих широким спектром биологической активности [7–10]. С другой стороны, соединения с фторсодержащими группами являются перспективными реагентами для получения самых разнообразных классов органических производных [11]. В связи с этим разработка эффективных методов получения фторорганических соединений, а также развитие методов активации связи C–F являются актуальными задачами современной химии и наук о материалах [12–18].
К настоящему времени известно большое число каталитических и некаталитических реакций активации связи C–F с участием соединений переходных металлов, в том числе металлов платиновой группы. Например, реакции кросс-сочетания фторсодержащих ароматических соединений, катализируемые соединениями никеля [19–21], палладия [22–24], рутения [25] и др. металлов; разрыв связи C–F с внедрением производного переходного металла [26–29]; каталитическое гидродефторирование [30–33] и многие другие [5]. С другой стороны, большое количество работ посвящено активации связи C–F с помощью производных неметаллов и соединений металлов главных групп без участия переходных металлов (значительный массив работ подробно рассмотрен в обзорной работе [17]). Реакции внедрения соединений непереходных металлов по связи C–F и реакции замещения атома фтора в ароматических фторидах как в присутствии родиевых или никелевых катализаторов, так и без дополнительного катализатора рассмотрены в работе [18]. В ряде работ описаны реакции восстановительного каталитического гидродефторирования фторбензолов гидридами металлов (NaH, LiAlH4) в присутствии незначительных количеств солей переходных металлов [34–36], а также реакции замещения атома фтора в ароматическом кольце по механизму SNAr на кислород-, сера- и углеродсодержащие нуклеофильные группы с участием гидридов натрия с получением различных функциональных (в том числе гетероциклических) производных [37–42].
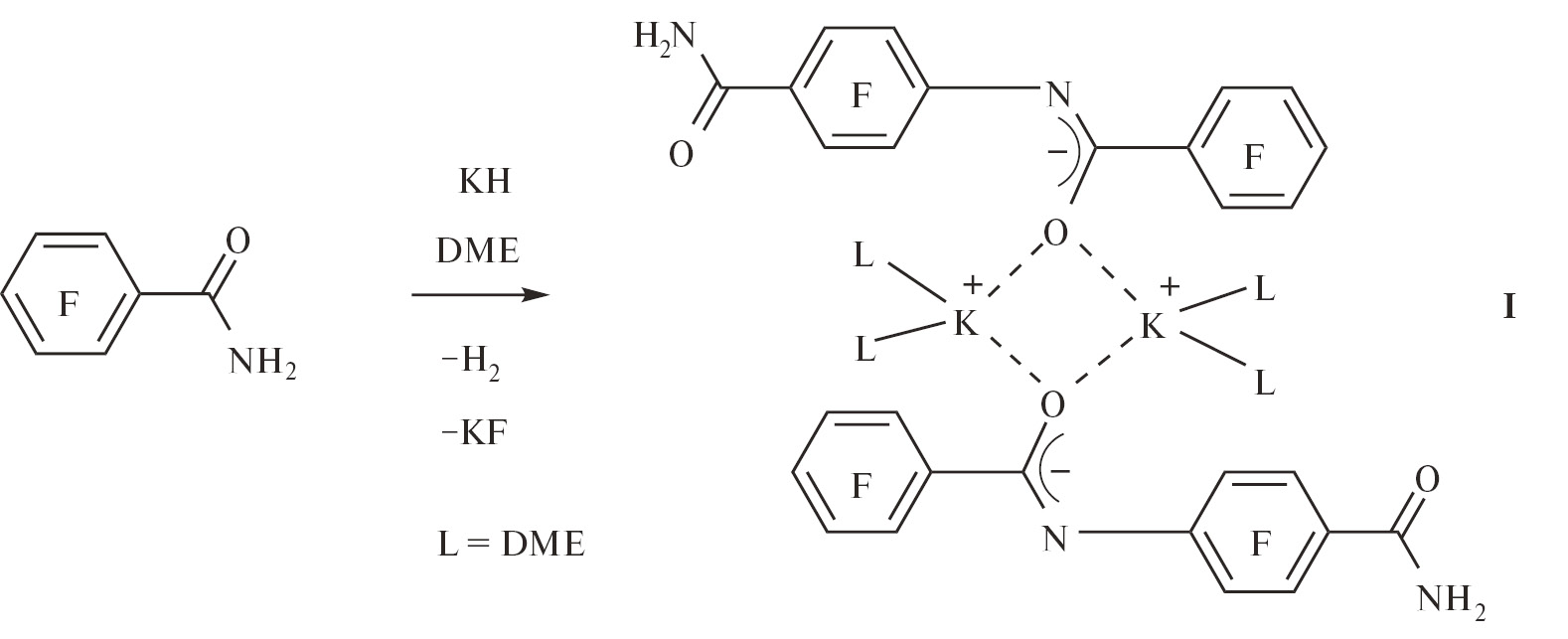
В настоящей работе мы показали, что взаимодействие пентафторбензамида с гидридом калия в среде диметоксиэтана также протекает с замещением атома фтора в пара-положении фенильного кольца одной молекулы пентафторбензамида на пентафторбензамидную группу другой с образованием калиевой соли вида {(DME)2K+[C6F5–C(O)N–C6F4–C(O)NH2]–}2 (I).
ЭКСПЕРИМЕНТАЛЬНАЯ ЧАСТЬ
Все операции по синтезу соединения I проводили в инертной атмосфере с использованием стандартной техники Шленка. Коммерчески доступную суспензию гидрида калия в минеральном масле (Aldrich) предварительно обрабатывали абсолютированным гексаном с целью выделения порошкообразного KH, который хранили и взвешивали в сухом боксе. Диметоксиэтан (DME, Acros) осушали металлическим натрием, хранили над бензофенонкетилом натрия и отбирали методом вакуумной конденсации непосредственно перед реакцией; 2,3,4,5,6-пентафторбензамид (98%, ПиМ Инвест) использовали без предварительной очистки. ИК спектр соединения I регистрировали в диапазоне 400–4000 см–1 на спектрофотометре Perkin Elmer Spectrum 65, оснащeнном приставкой Quest ATR Accessory (Specac), методом нарушенного полного внутреннего отражения (НПВО). Спектры ЯМР 1Н и 19F записывали на спектрометре Bruker AVANCE-300 с частотой 300 МГц, внутренний стандарт — тетраметилсилан, растворитель — ДМСО-d6.
Синтез {(DME)2K+[C6F5–C(O)N–C6F4–C(O) NH2]–}2 (I). В стеклянную ампулу поместили 2,3,4,5,6-пентафторбензамид (0.211 г, 1 ммоль), откачивали в динамическом вакууме в течение 20 мин, далее конденсировали 15 мл DME и охлаждали раствор с помощью жидкого азота, не допуская замерзания реакционной смеси. Гидрид калия (0.040 г, 1 ммоль) добавляли порциями для контроля температуры реакционной среды и потока водорода. После добавления всего количества гидрида калия и прекращения выделения газа (2 ч) реакционная смесь представляла собой слегка желтоватый прозрачный раствор. Дальнейшее концентрирование (до 5 мл) и выдерживание раствора при 6°C (24 ч) позволили получить кристаллы, пригодные для РСА. Маточный раствор декантировали, продукт промывали холодным DME. Выход кристаллического продукта I составил 0.113 г (34%).
Найдено, %: C 43.27; H 3.80. Для C96H104N8O28F36K4 Вычислено, %: С 43.38; Н 3.94.
ИК-спектр (ν, см–1): 3247 сл, 3002 сл, 2937 сл, 2899 сл, 2836 сл, 2727 сл, 1684 ср, 1650 ср, 1566 с, 1517 ср, 1478 с, 1407 с, 1363 с, 1289 сл, 1256 ср, 1196 ср, 1124 ср, 1090 с, 1062 с, 1033 ср, 988 оч.с, 941 ср, 904 ср, 853 ср, 795 ср, 742 ср, 652 ср, 570 сл, 486 ср, 438 сл, 409 сл. ЯМР 1H (300 МГц; ДМСО-d6; δ, м.д.): 3.22 (с., 12H, CH3), 3.42 (с., 8H, CH2), 7.81 (с., 1H, NH2), 8.11 (с., 1H, NH2). ЯМР 19F (282 МГц; ДМСО-d6; δ, м.д.): –165.03 (м., 2F), –161.55 (м., 1F), –151.42 (м., 2F), –148.87 (м., 2F), –145.19 (м., 2F).
РСА монокристалла комплекса I выполнен на дифрактометре Bruker APEX II (CCD-детектор, MoKα-излучение, λ = 0.71073 Å, графитовый монохроматор) [43]. Введена полуэмпирическая поправка на поглощение [44]. С помощью программного обеспечения Olex2 [45] структура решена на основе уникальных отражений домена I с помощью ShelXT [46] и уточнена с помощью hkl5 с пакетом уточнения olex2.refin [45] с минимизацией методом наименьших квадратов относительно F2 в анизотропное приближение для неводородных атомов. Атомы водорода при атомах углерода органических лигандов генерированы геометрически и уточнены в модели “наездника“. Расчеты проведены с использованием программного пакета OLEX2 [45]. Уточнение структуры выполнено с учетом разупорядочения одной координированной и сольватной молекул диметоксиэтана и использованием стандартных ограничений ISOR, DFIX, EADP. Кристаллографические параметры и детали уточнения структур для I · 2DME: C96H104F36K4N8O28, М = 2658.27, размер кристалла 0.15 × 0.12 x 0.09 мм, T = 120(2) K, триклинная сингония с пространственной группой P¯1, a = 11.745(8), b = 12.516(8), c = 22.832(14) Å, α = 97.731(13)°, β = 90.291(14)°, γ = 116.601(14)°, V = 2966(3) Å3, Z = 1, ρ = 1.488 г/см3, μ = 0.280 мм–1, θ = 1.81o –25.00o, –13 ≤ h ≤ 13, –14 ≤ k ≤ 14, 0 ≤ l ≤ 27; измерено отражений 19101, количество независимых отражений 10167, отражений с I ≥ 2σ(I) 7394, Rint = 0.0460, Tmin/Tmax = 0.2752/0.3813, GOOF = 1.048, R1 = 0.1002, wR2 = 0.2597 (при I ≥ 2σ(I)), R1 = 0.1281, wR2 = 0.2812 (для всех данных), Δrmin/Δrmax = –0.904/0.962 е Ǻ–3.
Кристаллографические параметры структуры I депонированы в Кембриджском банке структурных данных (CCDC № 2311402; deposit@ccdc.cam.ac.uk; http://www.ccdc.cam.ac.uk).
РЕЗУЛЬТАТЫ И ИХ ОБСУЖДЕНИЕ
Взаимодействие гидрида калия с перфторбензамидом в диметоксиэтане приводит не просто к образованию калиевой соли перфторбензамида, а к активации связи фтор-углерод в пара-положении арильной группы с получением димерного продукта I с одной свободной амидной группой (схема 1).
Схема 1.
Соединение I выделено в кристаллическом виде и охарактеризовано с помощью ЯМР 1H, 19F и ИК-спектроскопии, рентгеноструктурного анализа.
В спектре ЯМР 1Н соединения I протоны группы C(O)NH2 проявляются в виде двух синглетов при 7.81 и 8.11 м.д. (ДМСО-d6), которые смещены в более сильное поле по сравнению с таковыми для исходного пентафторбензамида (8.16 и 8.31 м.д., [47]), также в спектре присутствуют сигналы от протонов диметоксиэтана (синглеты при 3.22 и 3.42 м.д.). По данным спектроскопии ЯМР 19F, в соединении I присутствуют пять неэквивалентных групп атомов фтора с соотношением интенсивностей 2 : 2 : 2 : 2 : 1, что согласуется со структурными данными.
По данным РСА, соединение I кристаллизуется в триклинной пространственной группе P¯1 с двумя центросимметричными независимыми молекулами [K2L2(DME)4] (молекулы A и B, рис. 1) и двумя сольватными молекулами DME в кристаллической ячейке. Исходя из строения, длин связей и углов (табл. 1), геометрия молекул [K2L2(DME)4] имеет близкое строение и может быть рассмотрена на примере одной из них. Центр инверсии расположен между атомами калия (K…K 4.083(3) и 3.996(3) Å, здесь и далее для молекул A и B соответственно), каждый из которых координирует по две хелатные молекулы DME и два мостиковых атома кислорода двух фрагментов C6F5–C(O)N– молекул L. Длины связей K–O с мостиковыми атомами кислорода варьируются в диапазоне 2.696(5)–2.756(5) Å. В лиганде L длины связей во фрагменте C6F5–C(O)N– (C=O 1.235(7) и 1.255(7) Å, C–N 1.310(8) и 1.324(8) Å) и амидном фрагменте (C=O 1.229(7) и 1.220(7) Å, C–N 1.314(8) и 1.310(8) Å) соответствуют известным литературным данным. Угол между фрагментом C(O)N и кольцом C6F5 составляет 61.5(5)о и 66.7(5)о, угол с кольцом C6F4 – 72.3(4)о и 64.5(6)о, угол между амидным фрагментом и кольцом C6F4 – 82.4(5)о и 70.0(5)о. Протоны координированных молекул DME в [K2L2(DME)4] участвуют в образовании внутримолекулярных взаимодействий C–H…π, C=O…π, C–H…O и C–H…F (табл. 2, 3).
Рис. 1. Молекулярные структуры двух независимых молекул А (а) и B (б) в комплексе I (термические эллипсоиды с вероятностью 30%, сольватные молекулы и разупорядочение молекул DME в молекуле А не показаны).
Таблица 1. Основные длины связей (Å) и углы (град) в структуре I
Связь | Молекула А | Молекула B | Угол | Молекула А | Молекула B |
d, Å | ω, град | ||||
K–O(L) | 2.722(4), 2.739(4) | 2.696(5), 2.756(5) | K(1)O(5)K(1) | 96.79(13) | 94.27(13) |
K–O(DME) | 2.720(4)–2.868(5) | 2.723(4)–2.854(5) | O(5)K(1)O(5) | 83.21(13) | 85.73(13) |
C(5)–O(5) | 1.235(7) | 1.255(7) | O(5)C(5)C(6) | 118.1(5) | 118.1(5) |
C(22)–O(6) | 1.229(7) | 1.220(7) | O(5)C(5)N(1) | 130.5(5) | 130.7(5) |
C(5)–N(1) | 1.310(8) | 1.324(8) | C(5)N(1)C(12) | 117.6(5) | 116.5(5) |
N(1)–C(12) | 1.405(7) | 1.398(7) | O(6)C(22)N(2) | 125.1(5) | 125.5(5) |
C(22)–N(2) | 1.314(8) | 1.310(8) | O(6)C(22)C(15) | 119.2(5) | 118.8(5) |
C(5)–C(6) | 1.524(8) | 1.531(7) | N(2)C(22)C(15) | 115.7(5) | 115.7(5) |
C(22)–C(15) | 1.511(7) | 1.508(8) | |||
Таблица 2. Параметры взаимодействий C‒Y⋅⋅⋅π в кристаллической упаковке I (Cgi ‒ центроид ароматического цикла; Y–Perp — кратчайшее расстояния от атома Y до плоскости цикла; Cg1–C(6B) → C(11B), Cg2–C(12B) → C(17B), Cg3–C(6A) → C(11A), Cg4–C(12A) → C(17A)
Взаимодействие | Y⋅⋅⋅Cg, Å | Y–Perp, Å | γ, град | C–Y⋅⋅⋅Cg, град | С⋅⋅⋅Cg, Å |
C(1B)–H(1BA)…Cg1 (–x, 2–y, –z) | 2.86 | 2.75 | 16.39 | 143 | 3.707(9) |
C(2A)–H(2AD)…Cg3 (1–x, 2–y, 1–z) | 2.81 | 2.69 | 16.82 | 144 | 3.662(8) |
C(18B)–H(18C)…Cg2 | 3.00 | 2.87 | 16.61 | 109 | 3.449(8) |
C(19A)–H(19E)…Cg4 | 2.97 | 2.08 | 19.52 | 113 | 3.477(8) |
C(22A)–O(6A)…Cg1 (x, y, 1+z) | 3.470(6) | 3.058 | 28.21 | 145.5(5) | 4.537(7) |
C(22B)–O(6B)….Cg3 | 3.347(6) | 2.978 | 27.17 | 162.7(5) | 4.527(7) |
Таблица 3. Параметры взаимодействий D–H⋅⋅⋅A в кристалле I
Водородная связь | D–H, Å | H⋅⋅⋅A, Å | D⋅⋅⋅A, Å | D–H⋅⋅⋅A, град |
N(2A)–H(2AA)...O6B (–x, 1–y, 1–z) | 0.88 | 2.03 | 2.909(7) | 174 |
N(2A)–H(2AB)...N(1A) (–x, 1–y, 1–z) | 0.88 | 2.03 | 2.910(7) | 173 |
N(2B)–H(2BA)...O(6A) (–x, 1–y, 1–z) | 0.88 | 2.06 | 2.932(7) | 173 |
N(2B)–H(2BB)...N(1B) (–x, 1–y, –z) | 0.88 | 2.08 | 2.926(7) | 161 |
C(1SA)–H(1SA)...F(8B) (–x, 1–y, –z) | 0.98 | 2.48 | 3.306(19) | 141 |
C(18B)–H(18B)...O(5B) | 0.98 | 2.57 | 3.377(8) | 139 |
C(21A)–H(21I)...F(13A) | 0.98 | 2.35 | 3.103(15) | 132 |
Кристаллическая упаковка I определяется набором межмолекулярных невалентных контактов, в том числе π-стекинг-взаимодействий между тетрафторзамещенными фенильными ароматическими кольцами (табл. 4), контактами C=O…π, N–H…O и N–H…N (табл. 2, 3). Межмолекулярные взаимодействия аромати ческих колец и H-связи между атомом N во фрагменте C6F5–C(O)N– и амидной группой приводят к формированию супрамолекулярных цепочек (рис. 2). Цепочки молекул A выстраиваются вдоль вектора [1 1 0], молекул B — вдоль вектора [0 1 0] или оси 0b, угол между этими векторами составляет 55.4o. Цепочки образуют подрешетки из слоев параллельно плоскости 0ab за счет ван-дер-ваальсовых взаимодействий, включая слабые контакты C–H…F (H…F 2.49, 2.63 Å). Каждая пара цепочек соседних подрешеток связана друг с другом парой H-связей между амидными группами и контактами C=O…π (рис. 2). В результате каждая молекула I участвует в формировании супрамолекулярной цепочки, которая связана с соседними неколлинеарно направленными цепочками, что приводит к формированию слоев, связанных в трехмерную сетку.
Таблица 4. Параметры взаимодействий π⋅⋅⋅π в кристаллической упаковке I*
Взаимодействие | Cg⋅⋅⋅Cg, Å | Cg⋅⋅⋅Perp, Å | α, град | Сдвиг, Å |
Cg2⋅⋅⋅Cg2 (–x, 1–y, –z) | 3.592(4) | 3.479(2) | 0 | 0.895 |
Cg4⋅⋅⋅Cg4 (–x, 1–y, 1–z) | 3.640(4) | 3.473(2) | 0 | 1.093 |
* Cgi — центроид фенильного цикла; Cg–Perp — кратчайшее расстояние от Cg до плоскости соседнего цикла; α — угол между плоскостями Cg, Cg2–C(12)B → C(17B), Cg4– C(12A) → C17A; сдвиг — расстояние между центроидом Cgi и проекцией центроида Cgj на плоскость кольца i.
Рис. 2. Фрагмент упаковки I в кристалле (атомы водорода при молекулах DME и сольватные молекулы не показаны; пунктиром обозначены H-связи и взаимодействия C=O…π, π…π).
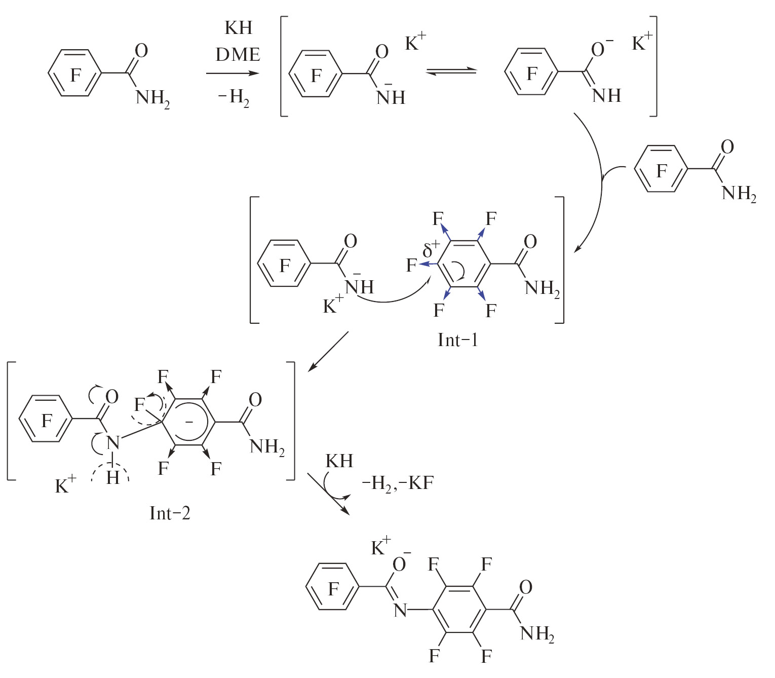
Следует отметить, что способность калиевых солей типа C6F5–XK к активации связей C–F известна достаточно давно. Одним из первых примеров такой активации, по-видимому, является получение поли(тетрафторфениленсульфида) (C6F4S)n путем нагревания пентафтортиофенолята калия C6F4–SK в вакуумированной запаянной ампуле при температуре 240°C в течение трех часов [48, 49]. Предполагаемый механизм замещения атома фтора в FBAm с образованием димера представлен на схеме 2. В ходе реакции мы наблюдали выделение водорода, это позволяет предположить, что на первом этапе образуется монокалиевая соль пентафторбензамида, которая далее реагирует со свободным перфторбензамидом с промежуточным образованием слабосвязанного интермедиата Int-1, из которого при переносе отрицательного заряда на перфторированное кольцо пентафторбензамида образуется интермедиат Int-2, перераспределение зарядов и связей в котором с выделением протона и фторид-аниона в присутствии второй молекулы KH приводит к выделению водорода и фторида калия с образованием конечного продукта I. Данный механизм можно рассматривать как нуклеофильное замещение атома фтора в ароматическом кольце SNAr, описанное в ряде работ [5, 37–42].
Схема 2.
Таким образом, взаимодействие гидрида калия с перфторбензамидом в диметоксиэтане приводит к активации связи фтор–углерод в пара-положении и образованию димерного продукта {(DME)2K+[C6F5–C(O)N–C6F4–C(O)NH2]–}2, строение которого установлено методом РСА, а его индивидуальность подтверждена методом ЯМР-спектроскопии.
Авторы сообщают, что у них нет конфликта интересов.
БЛАГОДАРНОСТИ
РСА, ЯМР, элементный анализ и ИК спектроскопия выполнены с использованием оборудования ЦКП ФМИ ИОНХ РАН.
ФИНАНСИРОВАНИЕ
Работа выполнена при финансовой поддержке Российского научного фонда (проект 19-13-00436-П).
About the authors
D. S. Yambulatov
Kurnakov Institute of General and Inorganic Chemistry, Russian Academy of Sciences
Author for correspondence.
Email: yambulatov@yandex.ru
Russian Federation, Moscow
T. V. Astaf´eva
Kurnakov Institute of General and Inorganic Chemistry, Russian Academy of Sciences
Email: yambulatov@yandex.ru
Russian Federation, Moscow
J. K. Voronina
Kurnakov Institute of General and Inorganic Chemistry, Russian Academy of Sciences
Email: yambulatov@yandex.ru
Russian Federation, Moscow
S. A. Nikolaevskii
Kurnakov Institute of General and Inorganic Chemistry, Russian Academy of Sciences
Email: sanikol@igic.ras.ru
Russian Federation, Moscow
M. A. Kiskin
Kurnakov Institute of General and Inorganic Chemistry, Russian Academy of Sciences
Email: yambulatov@yandex.ru
Russian Federation, Moscow
I. L. Eremenko
Kurnakov Institute of General and Inorganic Chemistry, Russian Academy of Sciences
Email: yambulatov@yandex.ru
Russian Federation, Moscow
References
- Hiyama T. Organofluorine Compounds: Chemistry and Applications. Berlin: Springer, 2000. 272 p.
- Reichenbächer K., Süss H.I., Hulliger J. // Chem. Soc. Rev. 2005. V. 34. P. 22.
- Kirsch P. Modern Fluoroorganic Chemistry: Synthesis, Reactivity, Applications, Weinheim (Germany): Wiley-VCH, 2013. 320 p.
- Nenajdenko V. Fluorine in Heterocyclic Chemistry. V. 1, 2. Switzerland: Springer International Publishing, 2014. 681 p.
- Amii H., Uneyama K. // Chem. Rev. 2009. V. 109. P. 2119.
- Yang K., Song M., Ali A. I. M. et al. // Chem. Asian J. 2020. V. 15. P. 729.
- Purser S., Moore P.R., Swallow S. // Chem. Soc. Rev. 2008. V. 37. P. 320
- Wang J., Sánchez-Roselló M., Aceña J.L. et al. // Chem. Rev. 2014. V. 114. № 4. P. 2432.
- Nosova E.V., Lipunova G.N., Charushin V.N., Chupakhin O.N. // J. Fluor. Chem. 2018. V. 212. P. 51.
- Mei H., Han J., Klika K.D. et al. // Eur. J. Med. Chem. 2020. V. 186. P. 111826.
- Politanskaya L.V., Selivanova G.A., Panteleeva E.V. et al. // Russ. Chem. Rev. 2019. V. 88. P. 425.
- Ahrens T., Kohlmann J., Ahrens M., Braun T. // Chem. Rev. 2015. V. 115. P. 931.
- Yang S.-D. // Homogeneous Catalysis for Unreactive Bond Activation / Ed. Shi Z.-J., John Wiley & Sons, Inc., 2015. P. 203.
- Unzner T.A., Magauer T. // Tetrahedron Lett. 2015. V. 56. P. 877.
- Politanskaya L., Tretyakov E. // J. Fluor. Chem. 2020. V. 236. P. 109592.
- Fu L., Chen Q., Nishihara Y. // Chem. Rec. 2021. V. 21. P. 3394.
- Ai H.-J., Ma X., Song Q., Wu X.-F. // Sci. China Chem. 2021. V. 64. P. 1630.
- Chen W., Bakewell C., Crimmin M.R. // Synthesis. 2017. V. 49. P. 810.
- Tobisu M., Xu T., Shimasaki T., Chatani N. // J. Am. Chem. Soc. 2011. V. 133. P. 19505.
- Zhang T., Nohira I., Chatani N. // Org. Chem. Front. 2021. V. 8. P. 3783.
- Nohira I., Chatani N. // ACS Catal. 2021. V. 11. P. 4644.
- Kim Y. M., Yu S. // J. Am. Chem. Soc. 2003. V. 125. P. 1696.
- Mikami K., Miyamoto T., Hatano M. // Chem. Commun. 2004. V. 18. P. 2082.
- Cargill M. R., Sandford G., Tadeusiak A. J. et al. // J. Org. Chem. 2010. V. 75. P. 5860.
- Kawamoto K., Kochi T., Sato M. et al. // Tetrahedron Lett. 2011. V. 52. P. 5888.
- Reinhold M.; Grady J.E., Perutz J. // J. Am. Chem. Soc. 2004. V. 126. P. 5268.
- Burling S., Elliott P.I.P., Jasim N. A. et al. // Dalton Trans. 2005. V. 22. P. 3686.
- Nova A., Erhardt S., Jasim N. A. et al. // J. Am. Chem. Soc. 2008. V. 130. P. 15499.
- Chan P.K., Leong W.K. // Organometallics. 2008. V. 27. P. 1247.
- Ishii Y., Chatani N., Yorimitsu S., Murai S. // Chem. Lett. 1998. V. 27. P. 157.
- Vela J., Smith J.M., Yu Y. et al. // J. Am. Chem. Soc. 2005. V. 127. P. 7857.
- Kuehnel M.F., Lentz D., Braun T. // Angew. Chem. Int. Ed. 2013. V. 52. P. 3328.
- Yan G. // Chem. Eur. J. 2022. V. 28. Art. e202200231.
- Li H., Liao S., Xu Y. // Chem. Lett. 1996. V. 25. P. 1059.
- Zhang Y., Liao S., Xu Y. et al. // Synth. Commun. 1997. V. 27. P. 4327.
- Fuchibe K., Akiyama T. // Synlett. 2004. V. 2. P. 1282.
- Robertson D.W., Krushinski J.H., Fuller R.W., Leander J.D.J. // Med. Chem. 1988. V. 31. P. 1418.
- Schultz A.G., Guo Z. // Tetrahedron Lett. 1995. V. 36. P. 659.
- Kowalczyk B.A. // Synthesis. 1997. V. 7. P. 1411.
- Boivin J., Boutillier P., Zard S. Z. // Tetrahedron Lett. 1999. V. 40. P. 2529.
- Rogers J.F., Green D.M. // Tetrahedron Lett. 2002. V. 43. P. 3585.
- Ishihara K., Hasegawa A., Yamamoto H. // Synlett. 2002. P. 1299.
- SMART (Control) and SAINT (Integration) Software. Version 5.0. Madison (WI, USA): Bruker AXS Inc., 1997.
- Krause L., Herbst-Irmer R., Sheldrick G.M., Stalke D. // J. Appl. Crystallogr. 2015. V. 48. P. 3.
- Dolomanov O.V., Bourhis L.J., Gildea R.J. et al. // J. Appl. Crystallogr. V. 42. 2009. P. 339.
- Sheldrick G.M. // Acta Crystallogr. C. 2015. V. 71. P. 3.
- Prakash G.K.S., Munoz S.B., Papp A. et al. // Asian J. Org. Chem. 2012. V. 1. P. 146.
- Kawazura H., Taketomi T. // J. Polym. Sci. B. 1972. V. 10. P. 265. https://doi.org/10.1002/pol.1972.110100406
- Sergeev V.A., Shitikov V.K., Nedel´kin V.I. // Russ. Chem. Rev. 1978. V. 47. P. 1095. https://doi.org/10.1070/RC1978v047n11ABEH002295
Supplementary files






