Vitamin В12 in drug delivery systems
- Authors: Skuredina A.A.1, Ialama D.E.1, Le-Deygen I.M.1
-
Affiliations:
- Lomonosov Moscow State University
- Issue: Vol 50, No 6 (2024)
- Pages: 762-779
- Section: Articles
- URL: https://bakhtiniada.ru/0132-3423/article/view/275976
- DOI: https://doi.org/10.31857/S0132342324060047
- EDN: https://elibrary.ru/NFULKV
- ID: 275976
Cite item
Full Text
Abstract
Vitamin B12 is a vital biologically active compound for human and is involved in a wide range of metabolic processes. The widespread vitamin B12 deficiency and vitamin’s low penetrating ability into cells determine the urgency of delivery systems development for the design of formulations with improved biopharmaceutical properties. This work provides a brief discussion of the main chemical and biochemical properties of the vitamin B12, as well as considers oral, injectable and transdermal multicomponent dosage forms of vitamin B12 that are aimed at solving the issue. Moreover, the literature analysis of the prospects of using vitamin B12 as an auxiliary component for both passive and active delivery of other drug molecules, for example, peptide nucleic acids and antitumor drugs, is presented. The review describes in detail the types of proposed delivery systems for biologically active compounds, in which vitamin B12 is one of the components.
Keywords
Full Text
1. ВВЕДЕНИЕ
Витамин В12 (В12) необходим для осуществления многочисленных биохимических процессов, в том числе синтеза и обмена белков, углеводов, липидов, созревания эритроцитов и миелинового слоя. Поскольку В12 не синтезируется in vivo (за исключением некоторых прокариот и архей), он попадает в организм человека посредством приема пищи. Основной источник В12 – продукты животного происхождения (мясо, молоко, рыба и т.д.); лишь небольшую долю вещества можно получить с помощью растительной пищи, например, сушеных зеленых водорослей [1, 2].
Недостаток В12 в клетках может возникать в результате наследственных факторов, которые обусловливают снижение всасываемости витамина В12 в кишечнике: мутациях в генах CUBN и AMN (синдром Имерслунд–Гресбека) или различных мутациях гена GIF (мутации в сайтах сплайсинга, частичная делеция гена и др.) [3, 4]. Кроме того, дефицит В12 наблюдается при повышенной потребности в нем (например, при беременности), неполноценного питания, нарушения всасываемости витамина (в том числе впоследствии хирургических вмешательств в желудочно-кишечный тракт), дефицита транспортных белков и др. При выраженном дефиците В12 наблюдаются системные нарушения со стороны кроветворной, нервной и эндокринной систем, атрофии слизистых оболочек желудочно-кишечного тракта и развитие характерной клиники фуникулярного миелоза (повреждение спинного мозга).
Суточная потребность взрослого человека в витамине В12 составляет 2.4 мкг. Для восполнения дефицита В12 рекомендуется пероральное применение форм препарата или парентеральные (чаще внутримышечные) инъекции. Используют дозы 100–200 мкг/сут через день, а в случае нарушения функции нервной системы дозировку увеличивают до 500 мкг/сут в первую неделю ежедневно, далее – с интервалами между введениями до 5– 7 дней [5]. Остро стоит проблема восполнения дефицита В12 у пациентов с существенными нарушениям ЖКТ, такими как целиакия и болезнь Крона, а также у пациентов после операций (уменьшение желудка и/или перестраивание кишечника вследствие бариатрической хирургии, резекция желудка или кишечника, особенно подвздошной кишки) [6, 7], поскольку пероральный прием препарата не приводит к удовлетворительным результатам, а пожизненная инъекционная терапия снижает качество жизни и сопряжена с развитием местных осложнений.
В качестве альтернативы для таких пациентов могут использоваться назальные формы В12, для которых характерна биодоступность 2–5%, что соответствует показателю при пассивной адсорбции витамина в кишечнике [8]. Результаты клинических испытаний назальной формы В12 CureSupport (Нидерланды) [9], проведенных на 51 пациенте с синдромом хронической усталости, показали увеличение концентрации В12 в плазме крови в 3 раза через 3 месяца введения по 5 мг – по одной капле в каждую ноздрю 2 раза в неделю.
Также в качестве альтернативы существуют сублингвальные формы В12. Согласно ретроспективному анализу перспективности использования таких систем в терапии, было показано [10], что прием сублингвальной формы Contract Pharmacal Corp. (США) позволяет повысить концентрацию В12 в крови до уровня, который примерно соответствует результатам при внутримышечных инъекциях. К достоинствам такой формы введения относятся удобство и простота использования, что положительно сказывается на соблюдении пациентом рекомендаций врачей при длительной терапии.
В последнее время предлагается использовать В12 не в свободной форме, а в комплексе с наноматериалами различной химической природы. При инкапсуляции препарата в систему доставки (носитель) возможно достижение замедленного высвобождения В12 и увеличение его биодоступности. Подобные системы представляют собой перспективные материалы с точки зрения удобной формы В12 для высокоэффективной терапии дефицита витамина [8]. С другой стороны, в литературе предлагается использовать В12 для решения и других важных биомедицинских задач. В частности, в связи с особенностями некоторых свойств В12 возможно его использование с целью направленной регуляции характеристик другой биологически активной молекулы.
Данный обзор посвящен исследованию существующих систем доставки, содержащих В12 в качестве основного или вспомогательного компонента, для определения наиболее перспективной траектории поиска новых высокоэффективных лекарственных форм.
2. ХИМИЧЕСКИЕ И БИОЛОГИЧЕСКИЕ СВОЙСТВА ВИТАМИНА В12
В12 относится к водорастворимым витаминам В-группы (растворимость в воде ~10 мг/мл [11]). С химической точки зрения под термином “витамин В12” зачастую понимают круг корриноидных соединений (макроциклов, схожих с порфиринами). Присутствие иона кобальта обусловливает более распространенное название этой группы соединений – кобаламины (рис. 1): 5'-дезоксиаденозилкобаламин, метилкобаламин, гидроксокобаламин и глутатионилкобаламин и др. Среди всех кобаламинов наиболее часто в работах упоминается цианокобаламин – наиболее стабильная форма В12. Вместе с гидроксикобаламином они представляют собой витамеры, т.е. соединения со схожей структурой и биологической функцией в организме.
Рис. 1. Химические структуры кобаламинов.
Часть молекулы В12, связанная с кобальтом (корриновое кольцо), имеет плоское строение. В перпендикулярной плоскости расположен нуклеотидный фрагмент. Образованная структура носит название кобаламина. Шесть ковалентных связей кобальта распределены следующим образом: четыре связи – с атомами азота корринового кольца, одна связь – с азотом в нуклеотидном фрагменте, а шестая связь – с цианогруппой (для цианокобаламина), метильной группой (для метилкобаламина) и т.д. [12].
Стабильность цианокобаламина зависит от условий среды, в том числе от рН и температуры. Например, в работе [13] показано, что наибольшее значение времени полужизни (t1/2) витамина наблюдается при рН 6 и 4°С (t1/2 = 231 день). При нагреве растворов до 37°С увеличивается скорость деградации В12: наблюдается снижение t1/2 в ~2 раза. Важно отметить, что значение рН в большей степени оказывает влияние на стабильность цианокобаламина. Так, при 37°С для рН 6 t1/2 составляет 116 дней, а при рН 2 t1/2 – 8 дней.
Связанный с белками В12 попадает в пищеварительную систему с пищей (рис. 2). Высвобождение В12 происходит в желудке в результате кислотного гидролиза белков, после чего витамин образует комплекс с белком транскобаламином I, что позволят защитить В12 от возможных химических превращений в агрессивной среде желудка [2].
Рис. 2. Схема метаболизма витамина В12 [32].
Комплекс В12–транскобаламин I разрушается панкреатическими ферментами в двенадцатиперстной кишке. Путем пассивной диффузии энтероциты поглощают не более 2% В12, поэтому ключевым аспектом, усиливающим дальнейший транспорт витамина, является образование его комплекса с гликопротеином внутренним фактором (фактором Кастла), который кодируется геном CUBN. Внутренний фактор обеспечивает поглощение В12 путем рецептор-опосредованного эндоцитоза на апикально экспрессируемом рецепторе (кубулин). При дефиците или в отсутствие фактора Кастла в значительной степени снижается эффективность всасывания витамина В12.
Спустя 2.5–4 ч после первоначального приема В12 попадает в кровь в комплексе с белком транскобаламином II. После рецептор-опосредованного (TCblR) проникновения в целевые клетки свободный В12 высвобождается в результате деградации комплекса в лизосомах. Внутри клеток вне зависимости от формы В12 с помощью ряда ферментов и шаперонов витамин переводится в метилкобаламин (преобладающая форма В12 в плазме крови) или в 5'-дезоксиаденозилкобаламин (преобладающая форма в тканях) [2, 14]. Таким образом, В12 связывается с большим количеством белков, что необходимо учитывать при его использовании в качестве компонента системы доставки. Этот аспект подробнее будет рассмотрен далее.
В12 участвует в большом количестве жизненно важных химических реакций. Так, аденозилкобаламин необходим для получения сукцинил-КоА, интермедиата цикла Кребса, а метилкобаламин – для превращения гомоцистеина в метионин. Преимущественно В12 выступает в качестве кофактора или кофермента. Кобаламин-зависимые ферменты можно разделить на четыре основных класса, которые включают процессы метилирования, изомеризации, восстановительного дегалогенирования. Таким образом, дефицит В12 может повлиять на широкий спектр биохимических реакций, затрагивающих метаболизм ДНК, гормонов, жиров и белков. Кроме того, происходит накопление продуктов метаболизма в плазме и моче, например, метилмалоновой кислоты, которая при высоких концентрациях токсична [8, 12].
3. МЕТОДЫ ПОВЫШЕНИЯ БИОДОСТУПНОСТИ В12
Основной недостаток существующих методов восполнения дефицита В12 при пероральном применении – низкая биодоступность препарата. Принимая во внимание разветвленную схему метаболизма В12 (рис. 2), можно выделить две основные функциональные структуры, которые в наибольшей степени влияют на проникновение препарата в клетки: транспортные белки и поверхность эндоцитов.
Ramalho et al. [15] задавались вопросом о роли биомембран в биодоступности В12 и исследовали взаимодействие В12 с модельными биомембранами с целью выявления роли липидного состава везикул на распределение и проникновение В12. Везикулы были получены на основе мажорных фосфолипидов биомембран эукариот (1,2-димиристоил-sn-глицеро-3-фосфохолин, сфингомиелин и холестерин). Авторы исследовали коэффициент распределения В12, а также локализацию витамина в бислое, его влияние на текучесть липидной мембраны. В12 продемонстрировал высокое сродство к мембранам, при этом наиболее вероятно В12 локализован вблизи гидрофильных фрагментов липидов, но также способен проникать в толщу бислоя. Взаимодействие В12 с везикулами не обусловливает изменение текучести мембран. Авторы пришли к выводу, что количество типов липидов в бислое – это основной фактор, регулирующий взаимодействие В12 с бислоем. Увеличение сложности архитектуры, упорядоченности и жесткости бислоя способствуют снижению возможной диффузии молекул. Тем не менее на основании результатов исследования можно предположить, что низкая биодоступность витамина не обусловлена только невысоким взаимодействием В12 с биологическими мембранами.
Ранее обсуждалось, что недостаток белков, а именно транскобаламинов и внутреннего фактора, может способствовать возникновению дефицита В12. Таким образом, использование комплекса белок–В12 может способствовать увеличению биодоступности вещества. В 2018 г. для увеличения биодоступности В12 в литературе были описаны еще три основных подхода (табл. 1). Важно отметить, что до сих пор не определена наиболее успешная стратегия разработки высокоэффективных терапевтических форм В12.
Таблица 1. Основные методы увеличения биодоступности В12 [48]
№ | Метод | Примеры дополнительных компонентов | Степень изученности в литературе | Недостатки метода |
1 | Использование комплекса В12 с веществами, обусловливающими усиление пероральной адсорбции | Салькапрозат натрия, внутренний фактор, транскобаламин, D-сорбитол и др. | Средняя | Неизвестны задействованные механизмы, неочевиден потенциальный эффект улучшения абсорбции |
2 | Альтернативные методы введения В12 | Пероральные, трансдермальные, сублингвальные формы, внутримышечные инъекции и др. | Средняя | Отсутствуют клинические исследования по сравнению различных форм введения |
3 | Альтернативные биотехнологические подходы | Рекомбинантный внутренний фактор, генно-модифицированные микроорганизмы – продуценты В12 и др. | Низкая | Нерациональность использования и высокая стоимость |
4 | Cистемы доставки | Инкапсуляция В12 в носители различной природы (неорганические и органические) | Средняя | Отсутствуют клинические обоснования для использования у человека |
Наиболее простым решением могут показаться альтернативные способы введения В12. В метаанализе 2024 г. обсуждается вопрос о наиболее эффективном способе приема В12 [16]. Авторы выбрали 13 публикаций, из них 8 – рандомизированные клинические испытания, которые удовлетворяли ряду критериев: исследования проводились на пациентах с дефицитом В12, экспериментальная и контрольные группы получали В12 разными способами, оценивали концентрацию В12 или В12-ассоциированного показателя (фолиевая кислота, гемоглобин, гематокрит, средний объем эритроцитов, гомоцистеин плазмы, метилмалоновая кислота в моче, лейкоциты и тромбоциты). Показано, что повышение уровня В12 в крови наиболее выражено для внутримышечных инъекций, далее идут подъязычные формы и на последнем месте – пероральное применение. Однако, как отмечают авторы, другие исследуемые показатели (общий анализ крови и концентрация гомоцистеина), а также клинические проявления были сопоставимы для всех трех способов введения В12. Таким образом, все перечисленные способы введения В12 в организм обусловливают сравнимый терапевтический результат, но с точки зрения переносимости пациентами, преимуществ и недостатков каждого способа сублингвальный способ предпочтительнее внутримышечного и перорального. Тем не менее требуются более масштабные исследования для подтверждения данного результата.
На сегодняшний день развиваются альтернативные биотехнологические подходы для преодоления дефицита В12 (табл. 1, № 3). Например, в работе [17] предлагается использовать микроводоросли Chlamydomonas reinhardtii в качестве дополнительного источника В12, что особенно актуально для вегетарианцев. Авторы проводят обогащение клеток витамином В12 посредством вставки кодируемого участка человеческого внутреннего фактора в ген PSAD и последующей экспрессии белка в цитоплазме и внеклеточном пространстве. Показано, что в случае цитоплазматического фактора Касла концентрация B12 в клеточных лизатах выше, чем в контрольном штамме. Тем не менее биотехнологические подходы недостаточно изучены и не позволяют определить рациональность использования дополнительных компонентов, которые могут иметь высокую стоимость (в первую очередь, технологии их получения). Кроме того, недостаток исследований не позволяет предсказать, какие механизмы задействованы в регуляции биодоступности В12 и на сколько данный показатель возможно увеличить.
Современные достижения инструментальных методов исследования и разнообразные подходы к дизайну наноматериалов открывают новые возможности для разработки высокоэффективных лекарственных форм. Таким образом, наиболее популярный подход к разработке новых форм В12 – использование различных систем доставки, чаще всего для перорального введения [8].
4. СИСТЕМЫ ДОСТАВКИ ВИТАМИНА В12
4.1. Регуляция физико-химических свойств В12 при инкапсуляции в систему доставки
Описанные в литературе исследования систем доставки В12 в основном нацелены на предотвращение неспецифического распределения витамина, а также разработки систем с контролируемым высвобождением. Данные задачи особенно важны для целенаправленной доставки В12 в костный мозг и нервные клетки для восстановления миелина. Инкапсуляция В12 в разнообразные носители способствует повышению биодоступности витамина, снижению частоты введения препарата, а также снижению стоимости продукции. Таким образом, подобные системы обладают значительными преимуществами для пациентов [8].
Некоторые примеры систем доставки В12 представлены в табл. 2. В качестве носителей в большинстве случаев используются матрицы из органических веществ различной природы: полисахариды, синтетические полиэлектролиты, липиды и полипептиды. Чаще всего предлагаемые носители используют не в чистом виде, их подвергают модификации разнообразными агентами для регуляции свойств полученного высокомолекулярного вещества. Так, во многих работа показано, что сшивка цепей полимера обусловливает более выраженное замедленное высвобождение инкупсулированного В12.
Таблица 2. Системы доставки витамина В12
Тип системы | Химическая структура носителя В12 | Тип включения В12 в систему доставки | Степень включения В12 в систему доставки* | Наиболее важные результаты | Ссылка |
Полимерный носитель | Полиакриловая кислота, модифицированная цистеином | Добавление раствора с последующей лиофильной сушкой | – | Трехкратное увеличение площади под кривой (AUC) у крыс при пероральном введении | [49] |
Полимерные капсулы, полученные путем покрытия частиц карбоната кальция поли(гидрохлоридаллиламином) и поли(4-стиролсульфонатом) | Адсорбция из раствора | ~100% | Формирование ассоциатов В12 в полимерной капсуле | [50] | |
Кубосомы на основе фитантриола и плюроника F127 | Добавление раствора к высушенной липидной пленке | 30% | В12 стабилизирует липидную систему, выступая в роли структурообразующего элемента | ||
Гидрогель на основе желатина и дубильной кислоты | Адсорбция из раствора | – | Замедленное высвобождение В12 из носителя (за 24 ч 50% при рН 1.2 и 70% при рН 7.4) | [51] | |
Микрочастицы из полиакрилата, модифицированного L-цистеином | Добавление раствора к полимеру перед распылительной сушкой | ~1% по массе относительно микрочастиц | Замедленное высвобождение В12 (100% за 3 ч, рН 7.2). Увеличение проницаемости через монослой Caco-2 и слизистой оболочки кишечника крысы в ~3.8 и ~4.8 раза соответственно | [52] | |
рН-чувствительные материалы на основе модифицированных нанослоев монтмориллонита | Адсорбция из раствора | 20–160 мг на 1 г носителя | Отсутствие наблюдаемого высвобождения В12 при рН 1.2 и замедление кинетики высвобождения витамина при рН 7.4 (< 50%) за 400 мин | [53] | |
Полипептиды | Микрочастицы, нановолокна и пленки на основе зеина, проламина кукурузы | Добавление раствора к белку перед распылительной сушкой или электроспиннинга | >60% | Замедленное высвобождение В12 в этанол (100% наблюдается через 140–3000 мин в зависимости от формы носителя и способа его получения) | [54] |
Наночастицы из изолятов соевого белка | Добавление к раствору белка и внесение хлорида кальция | ~10–13% | Увеличение проникновения В12 через монослой Caco-2 в 2–3 раза. Увеличение проникновения в 3–4-й участки тощей кишки крыс по сравнению с раствором свободного В12 | [55] | |
Липидные системы доставки | Твердые липидные наночастицы | Добавление к липидной матрице в жидкокристаллической фазе | ~92% | Замедленное высвобождение при рН 7.4 и 6.8 (только в первые 15 мин). Наночастицы локализуются в цитоплазме и мембране ядра клеточной линии H-Ras 5RP7 фибробластов, в то время как свободный B12 обнаружен преимущественно вне клеток. Усиление цитотоксических свойств препарата (наиболее выраженное усиление составляет 53%) | [56] |
Липосомы и липосомы, функционализированные трансферрином | Добавление к липидной пленке | 14–27% | Выраженное замедленное высвобождение В12: за 9 дней 20% в случае В12, инкапсулированного в липосомы, модифицированные трансферрином, а в случае свободного В12 – 100% (рН 7.4) | [57] | |
Комплексные системы | Наночастицы на основе белков семян ячменя, α-токоферола и соевого фосфатидилхолина, модифицированные янтарным ангидридом | Добавление к исходной смеси компонентов | ~70% | Замедленное высвобождение В12 в присутствии пепсина и без пепсина при рН 2.0 и с панкреатином или без панкреатина при рН 7.4. Улучшение проникновения в монослои Caco-2 в 20 раз, а также высокая степень поглощения клетками в присутствии ингибиторов различных путей эндоцитоза | [58] |
* Если не указано иное, степень включения рассчитывали как отношение количества инкапсулированного В12 относительно количества В12, добавленного в систему.
Тем не менее не все системы доставки способны обеспечить замедленное высвобождение витамина В12. Так, в работе [18] методом распылительной сушки были получены сферические микрочастицы (3 мкм в диаметре) на основе одного из трех биополимеров: хитозана, карбоксилированного хитозана и альгината. В данные системы был инкапсулирован В12 или витамин С. В зависимости от химической природы носителя наблюдалась различная скорость высвобождения в деионизированную воду для обоих препаратов: 100%-ное высвобождение наблюдается в течение 120 мин для хитозана, 15–20 мин – для модифицированного хитозана и альгината. Авторы связывают скорость высвобождения препарата с морфологией микрочастиц – замедление характерно для образцов с более грубой поверхностью.
Предложены гибридные микрогели [19], полученные методом эмульсионной полимеризации, на основе хитозана и непористого силикагеля, модифицированных винильными группами. В зависимости от массового соотношения исходных полимеров были получены образцы микрогелей, способные высвобождать 100% инкапсулированного В12 за 45–60 мин. Столь быстрое высвобождение авторы связывают с высокой гидрофильностью В12, а также с тем фактом, что при рН 1.2 и 7.4 протонированные группы хитозана отталкиваются друг от друга, формируя каналы в геле, что снижает стерические затруднения для витамина В12.
Согласно табл. 2, помимо профиля высвобождения витамина также исследуется и другой важный параметр – степень инкапсуляции В12 в носитель. Как правило, витамин вносится в раствор материала на этапе его получения/синтеза или готовый носитель вымачивается в растворе В12. После очистки системы доставки от несвязавшегося вещества проводят определение степени включения В12 относительно добавленного количества. В целом для В12 характерны степени включения >30%, при этом часто этот параметр достигает значений >80%.
В большинстве работ предложенные нано- и микрочастицы, волокна и гидрогели охарактеризованы с точки зрения морфологии поверхности материала, а также их физико-химических свойств. Результаты испытаний in vitro и in vivo, как правило, получены с использованием клеточного монослоя эукариотических клеток и исследований фармакокинетических параметров на животных моделях (грызунах) соответственно.
Для исследования влияния носителя на проникающую способность В12 в клетки использовали монослой аденокарциномы Caco-2, моделирующий энтероциты, выстилающие тонкую кишку. Проницаемость препаратов изучают в двух направлениях (от апикальной стороны к базолатеральной и наоборот) на монослое 20-дневной клеточной культуры на микропористом фильтре. По изменению концентрации вещества во внешнем растворе с учетом площади клеточной поверхности рассчитывали коэффициент проницаемости Papp (apparent permeability coefficient, см/с), а также индекс асимметрии транспорта. Возможно проведение корреляции между данными in vitro и ожидаемыми результатами in vivo: при значениях Рapp ~ 10–6 см/с препарат полностью (на 100%) адсорбируется в желудочно-кишечном тракте, а при Рaaр ~10–7 см/с адсорбция препарата составляет менее 1%. Оптимальным диапазоном значений Papp считается 10–6–10–5 см/с [20].
Инкапсуляция В12 в системы доставки позволяет увеличить параметр Papp в несколько раз (табл. 2). Во многих работах проводили анализ поглощения В12 клетками Caco-2 (в процентах относительно добавленного), а также определяли процент захваченных частиц. Отмечается, что инкапсуляция витамина в систему доставки приводила к значительному увеличению поглощения В12 (от 2 до 20 раз).
Кроме того, особый интерес вызывает способность В12 обусловливать нейропротекторные свойства in vitro как в свободном виде, так и в системе доставки. Так, в работе [15] была изучена многокомпонентная система для сублингвального и трансдермального применения. Авторы инкапсулировали В12 в наночастицы, полученные из нескольких типов полимеров, и опционально впоследствии частицы помещали в матрицу нановолокна. Нейропротекторный потенциал синтезированных наноматериалов in vitro был изучен на клетках SH-SY5Y. Изначально к клеткам добавляли β-амилоидный пептид (Aβ1–42), который способствовал подавлению жизнеспособности клеток до 28.6%. Предложенные наноматериалы, содержащие В12, проявляли высокий нейропротекторный эффект, вероятно, из-за высокой дозы препарата и контролируемого высвобождения, что перспективно для разработки лекарственных форм с целью предотвращения нейродегенеративных заболеваний.
Таким образом, в качестве носителей для В12 используются вещества различной природы, которые позволяют в значительной степени влиять на физико-химические и биологические свойства В12. Среди предложенных систем доставки наиболее часто исследуются высокомолекулярные соединения в форме нано- или микрочастиц. На сегодняшний день большинство авторов предлагает системы для перорального введения. Интересно, что в работе [21] рассмотрены микрочастицы на основе бычьего сывороточного альбумина для ингаляционного введения В12. Белок дополнительно покрывали мукоадгезивным полисахаридом пуллуланом. Система характеризовалась высокой ступенью загрузки микрочастиц витамином В12 (88%), продемонстрировала выраженное увеличение максимальной концентрации В12 в крови при интратрахеальном введении крысам, а также увеличение биодоступности в 4.5 раза. Тем не менее на сегодняшний день в литературе ингаляционный способ введения В12 описан в недостаточной степени. Помимо вышеперечисленных систем доставки В12 среди исследователей очень популярны системы трансдермальной доставки как наиболее простой и удобный способ введения В12.
4.2. Трансдермальные системы доставки В12
В работе [22] были получены гибридные нановолокна на основе полисахарида хитозана и азолектина методом электроспиннинга. Авторы определили размеры, структуру, морфологию волокон, а также продемонстрировали отсутствие цитотоксичности на культуре клеток фибробластов мыши L929. Загрузку волокон витамином В12 осуществляли путем замешивания исходной смеси хитозана и азолектина с раствором препарата перед проведением электроспиннинга. Показано замедленное высвобождение В12 (100% свободного витамина во внешнем растворе наблюдается по истечении 48 ч). К сожалению, на основе представленных результатов невозможно оценить перспективы использования нановолокон, поскольку не было проведено исследований в системе, моделирующей кожный барьер.
Напротив, Yekrang et al. [23] для своих систем определили не только физико-химические параметры, но и характеристики in vitro с точки зрения механической прочности материала и его биодеградации, а также фармакокинетические параметры В12 in vivo. В работе предложены пластыри на основе нановолокон из поливинилового спирта и хитозана, полученных методом электроспиннинга. В экспериментах in vivo крыс разделили на контрольную группу и группу, в которой животным помещали пластырь на область кожи между лопаток. Для второй группы показано увеличение уровня В12 в крови на 22% (спустя 8 ч после нанесения пластыря), что указывает на успешное проникновение и перенос В12 через кожный барьер, а также поступление препарата в кровоток. Согласно гистологическим исследованиям, нановолокна не способствуют повреждению кожного покрова, а также не обусловливают возникновение воспалительных процессов. Состояние эпидермиса и дермы в обеих группах было одинаковым. Важно отметить, что для регуляции свойств материала предложена модификация нановолокон посредством сшивки цепей хитозана глутаровым альдегидом. При исследовании влияния сшивки на физико-химические параметры пластыря показано более значительное замедление высвобождения В12 (в фосфатный буфер, 37°С), снижение скорости биодеградации (на ~20%) и улучшение механических свойств.
Более глубокое исследование системы трансдермальной доставки В12 провели Ramöller et al. [24], которые предложили в качестве носителя В12 быстрорастворимые микроиглы из поливинилпирролидона. В первую очередь, была исследована возможность проникновения микроигл в модель искусственной кожи (восемь слоев Parafilm M). Определено, что микроиглы заглубляются в толщу слоя до 381 мкм, что составляет ~64% от их общей длины (600 мкм). При нанесении пластыря с микроиглами на кожу новорожденных свиней >100% образца растворяется в течение 2 мин. C помощью вертикальной диффузионной ячейки Франца показано высвобождение В12 в фосфатно-солевой буфер (рН 7.4) при 37°С: 20% через 15 мин и 70% через 5 ч. Таким образом, результаты исследований in vitro указывают на успешное проникновение системы доставки сквозь кожный барьер и эффективное высвобождение препарата.
При исследовании фармакокинетических параметров in vivo мышам вводили подкожно контроль (раствор В12) или помещали образец материала (4 микроиглы) на кожу спины и фикировали пластырем. После удаления пластыря с микроиглами показано полное растворение образца и отсутствие покраснения кожи. При исследовании концентрации В12 в крови в случае контроля (подкожное введение) максимальная концентрация составила ~1.30 ± 0.25 мкг/мл, что в 3.5 раза больше концентрации, достигнутой в случае трансдермального проникновения препарата. Важно отметить, что в пластыре содержалось в 2.7 раза больше В12, чем в подкожной инъекции. Как отмечают авторы, такой результат может быть связан с тем, что не вся микроигла проникает в кожу (64% по результатам in vitro), что значительно снижает биодоступность препарата. Однако при дальнейшем определении содержания В12 в крови обнаружено, что у мышей контрольной группы после 24 ч витамин не был обнаружен, в то время как в случае микроигл у отдельных животных был у отдельных животных зафиксировано присутствие препарата даже через 30 ч после введения.
Таким образом, в литературе предлагаются разнообразные материалы для трансдермальной доставки, в первую очередь, на основе полимерных волокон и микроигл. Однако применение трансдермальных форм В12 все еще ограничено в связи с трудностями по преодолению кожного барьера.
Помимо непосредственно форм В12 для трансдермальной доставки существует несколько работ по изучению влияния В12 на эффективность заживления кожных ран. Например, в работе [25] получены нановолокна на основе поликапролактона и желатина (последний использовался для увеличения гидрофильности поверхности волокон). Добавление В12 значительно усиливало пролиферацию клеток L929 спустя 1 и 3 суток культивирования. Авторы провели исследования in vivo на крысах для сравнения заживляющего потенциала материала. В результате хирургического вмешательства животным проводили удаление кусочка кожи в области спины, после чего закрывали рану пластырем, содержащим В12, “пустым” пластырем или стерильной марлей. При анализе скорости заживления повреждения обнаружено, что за 7 дней в контрольной группе наблюдалось уменьшение размера раны на ~20%, а в случае В12-нановолокон этот показатель составил ~60%. При этом для незагруженных нановолокон достижение 60%-ного заживления раны наблюдалось только за 14 дней, в то время как при использовании В12-пластыря за две недели размер раны уменьшился на 92%. При обсуждении механизма такой выраженной эффективности заживления кожного повреждения авторы ссылаются на другие работы, в которых показано участие В12 в пролиферации резидентных клеток фибробластов и кератиноцитов, а также в усилении синтеза белков, среди которых может быть коллаген.
Подобные исследования указывают на высокий потенциал применения материалов, содержащих В12, для кожных покровов в качестве платформы как для доставки В12, так и для ускорения заживления раневых повреждений. Особый интерес в случае трансдермальной доставки представляют собой носители – наноматериалы, в частности нановолокна, полученные методом электроспиннинга.
4.3. Комбинированные системы доставки B12 с другими витаминами
Существуют и системы доставки с несколькими витаминами, один из которых – витамин B12. Комбинированные лекарственные формы, содержащие ряд биологически активных молекул, перспективны в качестве терапевтических агентов, поскольку позволяют при однократном приеме обеспечивать одновременную доставку нескольких веществ.
В работе [26] предложена система одновременной доставки В12 и витамина В9 на основе частиц сополимера полигликолиевой и полимолочной кислот. Инкапсулирование препаратов в частицы с диаметром 190 нм показало высокий процент загрузки препаратами относительно количества введенного вещества: ~89% для витамина В9 и ~70% для В12. Система доставки обеспечивает значительное замедление высвобождения обоих витаминов в эксперименте с биорелевантными средами, моделирующими прохождение системы через пищеварительный тракт. Так, в общей сложности методом равновесного диализа показано, что за 5 ч из носителя высвободилось < 10% В12, что более чем в 4 раза меньше по сравнению с раствором свободного витамина. Для витамина В9 наблюдалась аналогичная тенденция, однако менее выраженная. Авторы склоняются к тому, что причина выраженной разницы в профилях высвобождения витаминов связана с более высокой гидрофильностью В12. В продолжении эксперимента по высвобождению препарата в работе исследована биодоступность витаминов in vitro. Показано увеличение биодоступности В12 в ~1.8 раза, что обусловлено замедленным высвобождением и защитой носителем от внешних факторов.
Более сложные многокомпонентные системы рассмотрены в работе [27], в которой предложены офтальмологические гели для более эффективного заживления ран роговицы и регенерации нервных волокон. Авторы изучали сшитые и несшитые гиалуронаты с инкапсулированным таурином, витамином В6 и В12, взятыми в различных массовых соотношениях, а также препарат RenerviX с аналогичным качественным составом. Результаты исследований формуляций на клеточной линии роговицы кролика (SIRC) и испытания in vivo на кроликах показали высокую эффективность систем для восстановления функциональных нервов роговицы, защиты клеток от окислительного стресса и высокую скорость заживления ран. Тем не менее для достижения ключевых показателей наличие витаминов было не обязательным фактором, что ставит под сомнение необходимость этих компонентов в формуляции. Однако в более ранней работе [28] в исследованиях на крысах для гелей аналогичного состава (гуалуронат, содержащий таурин и В12) было показано выраженное ускорение реэпителизации роговицы после механической травмы при наличии 0.05% В12.
В целом предлагаемые системы доставки нескольких витаминов аналогичны системам доставки В12: наблюдается замедленное высвобождение препарата и увеличение биодоступности. Тем не менее в литературе не отмечается взаимное влияние В12 на физико-химические и биологические параметры других витаминов, и наоборот. Таким образом, разработка многофункциональной системы на основе нескольких витаминов может быть весьма перспективной с точки зрения удобства для пациентов.
5. ВИТАМИН В12 В КАЧЕСТВЕ КОМПОНЕНТА СИСТЕМЫ ДОСТАВКИ ДЛЯ ДРУГИХ ТЕРАПЕВТИЧЕСКИХ АГЕНТОВ
Во многих исследованиях В12 используется в качестве не основного терапевтического агента, а вспомогательного компонента для улучшения ряда свойств другого препарата. Подобные системы, как правило, нацелены на адресную доставку широкого спектра лекарств, в основном низкомолекулярных соединений, а также макромолекул разных терапевтических групп. При этом возможно использование как свободного В12 или его производных, так и ковалентная пришивка В12 непосредственно к исследуемой молекуле или через спейсер. Наиболее известный пример подобных систем – конъюгат В12–инсулин [29, 30], полученный с целью улучшения доставки белка для эффективной регуляции концентрации глюкозы в крови.
5.1. Конъюгаты В12 и их антибактериальная активность
Для осуществления присоединения В12 посредством формирования ковалентных связей необходимо обратить внимание на доступные функциональные группы В12, по которым возможно провести модификацию [31]. Здесь следует подчеркнуть, что формирование комплексов В12 с белками – важный фактор для химической стабильности и транспорта препарата in vivo (рис. 2). Поэтому необходимо учитывать, какие функциональные группы нежелательно задействовать для формирования новых связей. При этом в литературе отсутствуют работы по изучению влияния структурных изменений В12 на формирование комплексов с белками. Отмечено [2, 32], что Kd комплексов белок–В12 составляют ~10–15 М, при этом комплексы образуются путем “обволакивания” почти всей молекулы В12 белком. Таким образом, В12 прочно удерживается внутри белковой глобулы. Незащищенной остается 5'-гидроксигруппа рибозного фрагмента – основной сайт химической модификации для получения производных В12 или конъюгатов (рис. 1). Также часто подвергают модификации фосфатную группу и периферический ε-пропионамид.
Например, в работе [11] вводили небольшие фрагменты с концевыми карбоксильными группами в цианокобаламин путем образования сложноэфирных связей по 2′- и/или 5′-гидроксильной группе рибозного фрагмента. Синтезированные вещества в 20 раз превосходили исходный витамин по растворимости в фосфатно-солевом буфере и дистиллированной воде. В общей сложности <50% от внесенных в водный раствор конъюгатов поверглись гидролизу за 24 ч.
В литературе также предлагается модифицировать непосредственно макроцикл коррин, что было продемонстрировано в работе [33]. Авторы исследовали влияние структурных особенностей форм В12 на проникновение молекул в бактериальные клетки. Для этой цели на примере кобировой кислоты была внесена флуоресцентная метка (Orgeon green или BoDIPY) через спейсер к С5 корринового кольца. Исследования проводили на нескольких штаммах E. coli, содержащих и не содержащих BtuB-рецептор, ответственный за поглощение В12, а также на M. tuberculosis. Продемонстрировано успешное проникновение модифицированных аналогов кобировой кислоты в M. tuberculosis и E. coli с активным геном btuB, при этом для некоторых штаммов поглощение данных соединений на порядок превосходило поглощение исходного цианокобаламина. Таким образом, при разработке таргетных лекарственных форм с использованием В12 необходимо учитывать не только взаимодействие В12 с транспортными белками, но и особенности молекулярного узнавания витамина на поверхности клеток микроорганизмов.
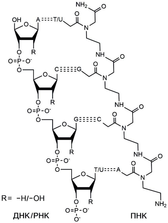
Для разработки эффективных антибактериальных лекарственных препаратов в работах изучаются конъюгаты В12 с пептидно-нуклеиновыми кислотами (ПНК) [34]. ПНК представляют собой олигомерные молекулы, в которых азотистые основания соединены с остовом (рис. 3) – пептидной незаряженной ахиральной структурой, не содержащей пентоз и остатков фосфорной кислоты. В связи с особенностью своего строения ПНК – это в некотором смысле аналоги нуклеиновых кислот, что обусловливает их способность образовывать устойчивые дуплексы ПНК–ПНК, ПНК–ДНК и ПНК–РНК, а также триплексы (ПНК)2(ДНК). При этом, в отличие от нуклеиновых кислот, ПНК исключительно чувствительны к наличию некомплементарных пар в структуре ДНК или РНК [35].
Рис. 3. Схематичное представление взаимодействие цепи ПНК с ДНК/РНК.
Высокая чувствительность и стабильность обусловливает особый интерес к ПНК в вопросах создания новых лекарственных препаратов. Так, в работе [36] в качестве противомикробного компонента авторы синтезировали ПНК, комплементарную 10 остаткам нуклеотидов в мРНК гена acpP, кодирующего белок-переносчик, который участвует в биосинтезе жирных кислот. В12 был присоединен к N-концу ПНК по 5'-ОН группе рибозного фрагмента двумя способами: либо с образованием карбамидной связи через линкер –(СН2)6– и триазол, либо с формированием связи –S–S–.
При исследовании антибактериальной активности образцов на E. coli K-12 MG1655 в бульоне Мюллера–Хинтон (МНВ) не наблюдалось ингибирование роста микроорганизмов. Авторы связывают этот результат с тем, что среда МНВ не селективная, содержит много разнообразных питательных веществ, в том числе и продукты животного происхождения, что может исключать необходимость дополнительного потребления клетками В12-содержащего конъюгата. Выбор другой питательной среды (Cкарлет и Тернер) обусловлен наличием этаноламина в качестве источника азота. Химические превращения этого субстрата сопряжены с ферментом, для которого В12 является кофактором. Для данных условий авторы продемонстрировали выраженную антибактериальную активность синтезированных конъюгатов, причем минимальная ингибирующая концентрация образцов (5 мкМ) была сравнима с конъюгатами, в которых вместо В12 к ПНК был пришит пептид (KFF)3K, который хорошо проникает в клетки. Поскольку использование таких катионных синтетических пептидов, как (KFF)3K, не всегда целесообразно, В12 показал себя перспективным компонентом ПНК для разработки высокоэффективных лекарственных форм.
К аналогичному выводу пришла группа ученых под руководством профессора J. Trylska [37–39]. Авторы исследовали методом компьютерного моделирования механизм проникновения конъюгатов В12–ПНК внутрь бактериальной клетки, а также продемонстрировали антибактериальную активность таких систем на E. coli и S. typhimurium. Важно отметить, что ПНК был пришит к различным функциональным группам витамина В12: кобальту, –ОН 5'-рибозного фрагмента, амидным группам c и е в мезо-положении и –ОН-группе кобинамида. Наиболее выраженная активность продемонстрирована для модификации рибозного фрагмента.
Помимо ПНК возможно использовать и олигонуклеотидные последовательности, которые могут блокировать репликацию белков посредством специфичного взаимодействия с мРНК. Так, показана возможность блокирования гена mrfp1 в плазмиде в клетках E. coli и S. typhimurium [40]. Снижение экспрессии красного флуоресцентного белка в бактериях на 50% указывало на успешное проникновение и ингибирование синтеза белка. Подобные конъюгаты можно использовать в качестве подхода для селективного ингибирования синтеза бактериальных белков.
Таким образом, системы ПНК–В12 и олигонуклеотиды–В12 – это перспективные антибактериальные агенты, которые можно использовать целенаправленно для ингибирования экспрессии необходимых бактериальных белков. Кроме того, данные конъюгаты имеют большое значение для преодоления резистентности микроорганизмов к существующим антибактериальным низкомолекулярным соединениям.
5.2. Светочувствительные конъюгаты В12
Для биомедицинского применения В12 T.A. Shell и D.S. Lawrence [41] предложили обратить внимание на особенности светочувствительности витамина. Авторы собрали свои основные результаты, а также достижения коллег по разнообразным конъюгатам В12, способным разрушаться под действием электромагнитного излучения.
В случае синтезированных алкилкобаламинов связь углерод–кобальт непрочная (<30 ккал/моль), поэтому возможно провести направленный фотогемолиз под действием света в видимой области, который способно поглощать корриновое кольцо (330–560 нм), т.е. В12 можно использовать для разработки фототерапевтических средств с заданными характеристиками активации. Например, авторы рассматривают возможности направленного действия конъюгатов В12– доксорубицин и В12–цАМФ. Оба типа конъюгатов не оказывали никакого воздействия на жизнеспособность и/или морфологию клеточных линий REF52 и HeLa соответственно. При облучении длиной волны 530 нм, при которой происходит фотогомолиз, высвобождаются свободные биологически активные агенты, и, ожидаемо, доксорубицин способствует снижению жизнеспособности клеток, а цАМФ – сокращению и округлению клеток. Интересно отметить, что в случае конъюгата В12–BODYPY расщепление наблюдается при длине волны 650 нм, значение которой выходит за возможности поглощения корринового кольца. Таким образом, флуорофоры могут выступать в качестве “антенн” для длин волн активации до 800 нм.
В качестве сложной комплексной лекарственной формы, включающей в себя все рассмотренные результаты, авторы обсуждают двухкомпонентную систему, в которой представлены конъюгат липид–В12–лекарство и липид–флуорофор. В экспериментах in vitro одновременно исследуются клетки HeLa и эндоциты, содержащие липидные конструкции. На примере противовоспалительного средства дексаметазона показано, что фототерапевтические конструкции изначально находились только на поверхности клеток-носителей; активация заданной длиной волны способствует высвобождению лекарственного препарата, который впоследствии проникает во второй тип клеток.
Важно отметить, что локализация подобных конструкций не ограничивается только поверхностью клеток-носителей, возможно введение в эндосомы, что может быть использовано для высвобождения вещества непосредственно в цитоплазму клеток-носителей. Подобные лекарственные формы были успешно протестированы in vitro на стволовых клетках, способных переходить в глиобластому, а также in vivo. Таким образом, вышеописанные примеры фотоактивных конструкций – перспективные сложные системы доставки лекарств с высокой временной точностью.
5.3. Конъюгаты В12 с противоопухолевыми препаратами
В литературе витамин В12 рассматривается как перспективный компонент многих комплексных лекарственных форм противоопухолевых препаратов. Многие авторы обращают внимание на активный метаболизм раковых клеток. Для клеточного поглощения В12 требуется формирование комплекса витамина с транскобаламином II (рис. 2) с помощью белка рецептора плазматической мембраны (TCblR), кодируемого геном CD320. Поступление В12 в клетки млекопитающих обусловлено высокой аффинностью и селективностью рецептора к комплексу транскобаламин–В12. Важно отметить, что рецептор TCblR поглощается клеткой вместе с комплексом транскобаламин–В12 и деградирует в лизосомах, что способствует высвобождению витамина в цитоплазму. Появление новых рецепторов на поверхности клеток зависит от уровня экспрессии CD320. Данный процесс взаимосвязан с клеточным циклом, т.е. высокое содержание белка наблюдается в активно пролиферирующих клетках, в то время как более низкий уровень экспрессии наблюдается в дифференцированных клетках в G0-фазе. Таким образом, многие линии раковых клеток демонстрируют более высокую экспрессию TCblR, что может использоваться для адресной доставки и увеличения эффективности действия лекарств [42].
Для усиления эффекта от данного подхода можно обратить внимание на еще одну особенность раковых клеток: в опухоли концентрация глутатиона в 4 раза выше, чем в нормальной ткани, т.е. возможно более активное расщепление –S-S-связей посредством реакций тиол-дисульфидного обмена именно в патологической ткани. Так, в работе [43] авторы разработали трехступенчатый синтез конъюгатов В12 с дисульфидной связью в 5′-положении рибозного фрагмента. Получены соединения, содержащие остатки цистеина, глутатиона, олигопептида и др. Дисульфидные конъюгаты перспективны тем, что глутатион/дисульфид глутатиона – хорошо изученная окислительно-восстановительная пара в животных клетках, которая обеспечивает антиоксидантную активность. Похожие системы доставки на основе полимеров подробно изложены в работе [44].
5.4. Использование В12 в системе доставки других лекарственных компонентов
Для доставки низкомолекулярных лекарственных веществ (реже макромолекул) в литературе используют разнообразные носители (табл. 3). В случае подобных многокомпонентных систем с В12 возможно включение витамина в систему посредством нековалентного связывания или путем “декорирования” носителя витамином (ковалентная пришивка), в который впоследствии будет инкапсулирован препарат. Модификацию В12, как правило, проводят по –ОН-группе рибозного фрагмента с использованием спейсера небольшого размера или без спейсера. Согласно табл. 3, авторы используют разнообразные типы носителей с точки зрения химической структуры (однокомпонентные/многокомпонентные, неорганической/органической природы) и формы (нано- и микрочастицы, нановолокна). Особенно часто В12 применяют для доставки противоопухолевых препаратов, по-видимому, вследствие высокой активности CD320.
Таблица 3. Системы доставки активного агента с использованием витамина В12
Система доставки | Активное вещество | Наиболее важные результаты влияния введения витамина В12 в систему доставки | Ссылка | |||
Тип системы | Тип модификации системы В12* | Химическая структура | Название | Краткая характеристика | ||
Системы доставки низкомолекулярных веществ | ||||||
Мицеллы | К | Модификация серицин-поли(γ-бензил-L-глутамата) c использованием N,N-карбонилдиимидазола | Паклитаксел | Противоопухолевое средство | Усиление проникновения паклитаксела в клетки BGC-823/PR через CD320-опосредованный путь эндоцитоза, что способствует более выраженному снижению деления клеток и их пролиферации. Данные эффекты значительно ниже в присутствии свободного В12. Значительное снижение размера опухолей в экспериментах in vivo | [59] |
Силикагель | Н | Пористые наночастицы диоксида кремния с карбоксильными группами | Цисплатин | Противоопухолевое средство, неорганический комплекс | Снижение высвобождения цисплатина из наночастиц на 26% по сравнению с частицами, не содержавшими витамин В12 | [60] |
Частицы производных хитозана | К | Модификация гликоль-хитозана по аминогруппам дезоксихолевой кислотой и В12 | Скутелларин | Противоопухолевое средство | Увеличение проникновения в клетки Caco-2 в 2.5 раза за 2 ч инкубации с Caco-2. Повышение биодоступности скутелларина в ~2–3 раза, выраженное снижение индекса резистентности и уровня экспрессии белков ангиогенеза (VEGF, VEGFR2 и vWF) сетчатки в in vivo экспериментах на крысах с диабетом II типа | [61] |
Микрочастицы диатомовой земли | К | Модификация поверхности носителя с помощью янтарного ангидрида | Цисплатин, 5-фторурацил, комплекс трис-тетраэтил[2,2'-бипиридин]-4,4'-диамин–рутений(II) | Противоопухолевые средства | Значительное усиление адсорбции микрочастиц на поверхность клеток HT-29 и MCF-7 (увеличение количества адсорбированных частиц до 3 раз) | [62] |
Частицы на основе гиалуроновой кислоты | К | Модификация поверхности гиалуроновой кислоты, в качестве линкера использовали колестин | Колестин | Пептид | Снижение нефротоксичности на 20–30% (HEK 293) при сохранении противомикробной активности. Увеличение Papp до 3.5 × 10–6 см/с | [63] |
Модифицированные липидные частицы | К | Твердые липидные частицы, покрытые конъюгатом В12 со стеариновой кислотой | Амфотерицин B | Противогрибковый препарат | Снижение значения IC50 в 2 раза (Leishmania donovani) | [64] |
Системы доставки макромолекул | ||||||
Частицы производных хитозана | К | Модификация триметилхитозана по аминогруппе с использованием янтарного ангидрида | Инсулин | Гормон Белок | Усиление поглощения модифицированных частиц комплексом клеток Caco-2 и HT29-MTX при наличии и отсутствии слизи на клеточной поверхности | [65] |
Мицеллы | К | Модификация декстран-g-полиэтиленоксидного цетилового эфира через 2,2'-(этилендиокси)бис(этиламиновый) спейсер | Циклоспорин А | Иммунодепрессант Полипептид | Увеличение апикального и базолатерального проникновения циклоспорина через монослои Caco-2 клеток в ~2 раза по сравнению с немодифицированными мицеллами | [66] |
* К – ковалентная пришивка В12 к носителю; Н – удержание молекул В12 в носителе посредством нековалентных взаимодействий.
Некоторые работы исследуют комплексные системы с В12, но не выявляют роль витамина в свойствах предлагаемого материала. Например, разработан пластырь из нановолокон из поликапролактона с инкапсулированным В12 и ингибитором ацетилхолинэстеразы донепезилом для терапии болезни Альцгеймера [45]. Материал продемонстрировал двойной профиль высвобождения донепезила, повышение жизнеспособности клеток SH-SY5Y в присутствии Aβ1–42 и снижение экспрессии генов, кодирующих предшественников β-амилоида.
Для низкомолекулярных лекарственных молекул вследствие инкапсуляции в носитель ожидаемо наблюдается замедленное высвобождение препарата. В12 в качестве дополнительного агента в большинстве случаев ковалентно пришивают к системе доставки, т.е. проводят “декорирование” поверхности носителя. Главное преимущество подобных систем – выраженное увеличение эффективности транспортировки основной действующей молекулы через клеточный монослой. Такой результат достигается посредством взаимодействия В12 на поверхности носителя с энтероцитами, что, по-видимому, повышает количество адсорбированных молекул лекарственных форм и последующее их поглощение.
Описанный эффект наблюдается и для биологически активных высокомолекулярных соединений. Особый интерес среди макромолекул представляют собой белки, поскольку в случае пероральной комплексной системы доставки возможно сразу решить две задачи: увеличение стабильности полипептида (ферментативная деградация, низкое значение рН), а также улучшение проникновения в энтероциты, что показано на клеточной линии Caco-2 (табл. 3). Например, в работе [46] были получены альгинатные наночастицы, модифицированные кобаламином. В данные системы инкапсулировали инсулин, который использовали в качестве модельного пептидного лекарственного препарата. Сферические частицы продемонстрировали более высокую способность к проникновению через монослой Caco-2 (увеличение значения Papp в среднем на 10–25%). Эксперименты in vivo показали, что при пероральном введении наночастиц мышам с сахарным диабетом I типа наблюдается более длительное удержание в кишечнике. Кроме того, продемонстрировано более выраженное снижение уровня глюкозы в крови в течение 12 ч (на 54% по сравнению с 25% в случае немодифицированных частиц при одинаковой дозе инсулина). Таким образом, использование В12 в подобных системах имеет большой потенциал для эффективной пероральной доставки пептидных лекарственных средств.
Важно отметить, что также существуют работы по доставке олигонуклеотидов. Для ингибирования быстрого роста и метастазирования рака желудка в работе [47] предлагается декорировать витамином наночастицы двух типов: полиэтиленгликоля и сополимера гликолиевой и молочных кислот. В качестве противоопухолевого препарата авторы используют микроРНК, которая способствует апоптозу клеток рака человека. Для предложенных систем характерно избирательное связывание с CD320 и увеличение количества доставленной микроРНК в клетки BGC-823, что способствует митохондриально-опосредованному апоптозу. Испытания in vivo на мышах показали снижение размеров опухолей на 60–90%.
6. ЗАКЛЮЧЕНИЕ
Витамин В12 – жизненно необходимое соединение для человека. Наследственные заболевания, хирургические вмешательства, нарушение питания, а также низкая проникающая способность в клетки В12 могут приводить к возникновению дефицита витамина. Для более эффективной терапии в литературе предлагается использовать несколько подходов, среди которых – инкапсуляция В12 в системы доставки как наиболее изученный и быстроразвивающийся подход. Системы доставки кобаламинов в существенной форме способствуют замедленному или стимул-чувствительному высвобождению препарата, увеличению проникновения В12 в энтероциты, а также увеличению биодоступности препарата. Степень загрузки В12 может варьироваться в зависимости от природы носителя и в ряде случаев достигает значений >90%.
Поскольку на сегодняшний день отсутствуют крупномасштабные исследования по наиболее эффективному методу введения В12 in vivo с точки зрения терапевтического эффекта, то все предлагаемые системы доставки имеют потенциал для дальнейшего применения. Наиболее популярны в литературе носители на основе модифицированных высокомолекулярных соединений (из одного или нескольких типов полимеров), формирующие наночастицы или волокна для пероральной или трансдермальной доставки соответственно.
Рассмотренные в обзоре системы доставки имеют потенциал последующей коммерциализации и внедрения в клиническую практику для коррекции дефицита витамина В12. С другой стороны, фундаментальный интерес представляет собой использование витамина В12 как вспомогательного компонента для доставки других лекарственных молекул: пептидно-нуклеиновых кислот, пептидов, белков и противоопухолевых препаратов. Здесь потенциал использования витамина В12 существенно шире: рассматривается возможность включения его в лекарственные формуляции для борьбы с социально-значимыми заболеваниями, такими как резистентные инфекции, онкологические и нейродегенеративные заболевания. Это направление требует дополнительных исследований на стыке биоорганической и медицинской химии и потенциально открывает новые перспективы для создания лекарственных препаратов с улучшенными биофармацевтическими свойствами.
СОБЛЮДЕНИЕ ЭТИЧЕСКИХ СТАНДАРТОВ
Настоящая статья не содержит описания исследований, выполненных кем-либо из авторов данной работы, с участием людей или использованием животных в качестве объектов исследований.
КОНФЛИКТ ИНТЕРЕСОВ
Авторы заявляют об отсутствии конфликта интересов.
ВКЛАД АВТОРОВ
Все авторы внесли равный вклад в написание этой статьи.
ДОСТУПНОСТЬ ДАННЫХ
Данные, подтверждающие выводы настоящего ис-следования, можно получить у корреспондирующего автора по обоснованному запросу.
About the authors
A. A. Skuredina
Lomonosov Moscow State University
Author for correspondence.
Email: anna.skuredina@yandex.ru
Department of Chemistry
Russian Federation, Leninskie Gory 1/3, Moscow, 119991D. E. Ialama
Lomonosov Moscow State University
Email: anna.skuredina@yandex.ru
Department of Chemistry
Russian Federation, Leninskie Gory 1/3, Moscow, 119991I. M. Le-Deygen
Lomonosov Moscow State University
Email: anna.skuredina@yandex.ru
Department of Chemistry
Russian Federation, Leninskie Gory 1/3, Moscow, 119991References
- Guéant J.L., Guéant-Rodriguez R.M., Alpers D.H. // Vitam. Horm. 2022. V. 119. P. 241–274. https://doi.org/10.1016/bs.vh.2022.01.016
- Temova Rakuša Ž., Roškar R., Hickey N., Geremia S. // Molecules. 2022. V. 28. P. 240. https://doi.org/10.3390/molecules28010240
- Kozyraki R., Cases O. // Biochimie. 2013. V. 95. P. 1002–1007. https://doi.org/10.1016/j.biochi.2012.11.004
- Tanner S.M., Li Z., Perko J.D., Öner C., Çetin M., Altay Ç., Yurtsever Z., David K.L., Faivre L., Ismail E.A., Gräsbeck R., de la Chapelle A. // Proc. Natl. Acad. Sci. USA. 2005. V. 102. P. 4130–4133. https://doi.org/10.1073/pnas.0500517102
- Клинические рекомендации “Железодефицитная анемия” 2021-2022-2023 (09.09.2021), разработанные Национальным гематологическим обществом, Национальным обществом детских гематологов и онкологов – Утверждены Минздравом РФ.
- Antoine D., Li Z., Quilliot D., Sirveaux M.A., Meyre D., Mangeon A., Brunaud L., Guéant J.L., Guéant-Rodriguez R.M. // Clin. Nutr. 2021. V. 40. P. 87–93. https://doi.org/10.1016/j.clnu.2020.04.029
- Montoro-Huguet M.A., Belloc B., Domínguez-Cajal M. // Nutrients. 2021. V. 13. P. 1254. https://doi.org/10.3390/nu13041254
- Fidaleo M., Tacconi S., Sbarigia C., Passeri D., Rossi M., Tata A.M., Dini L. // Nanomaterials. 2021. V. 11. P. 743. https://doi.org/10.3390/nano11030743
- Van Campen C.M.C., Riepma K., Visser F.C. // Front. Pharmacol. 2019. V. 10. P. 1102. https://doi.org/10.3389/fphar.2019.01102
- Bensky M.J., Ayalon-Dangur I., Ayalon-Dangur R., Naamany E., Gafter-Gvili A., Koren G., Shiber S. // Drug Deliv. Transl. Res. 2019. V. 9. P. 625–630. https://doi.org/10.1007/s13346-018-00613-y
- Wang X., Wei L., Kotra L.P. // Bioorg. Med. Chem. 2007. V. 15. P. 1780–1787. https://doi.org/10.1016/j.bmc.2006.11.036
- Smith A.D., Warren M.J., Refsum H. // Adv. Food Nutr. Res. 2018. V. 83. P. 215–279. https://doi.org/10.1016/bs.afnr.2017.11.005
- Bajaj S.R., Singhal R.S. // J. Food Eng. 2020. V. 272. P. 109800. https://doi.org/10.1016/j.jfoodeng.2019.109800
- Rizzo G., Laganà A.S. // Molecular Nutrition: Vitamins / Ed. Patel V.B. London: Academic Press, 2020. P. 105–129. https://doi.org/10.1016/B978-0-12-811907-5.00005-1
- Ramalho M.J., Andrade S., Coelho M.A.N., Loureiro J.A., Pereira M.C. // Colloids Surf. B. 2020. V. 194. P. 111187. https://doi.org/10.1016/j.colsurfb.2020.111187
- Abdelwahab O.A., Abdelaziz A., Diab S., Khazragy A., Elboraay T., Fayad T., Diab R.A., Negida A. // Ir. J. Med. Sci. 2024. V. 193. P. 1621–1639. https://doi.org/10.1007/s11845-023-03602-4
- Lima S., Webb C.L., Deery E., Robinson C., Zedler J.A.Z. // Biology. 2018. V. 7. P. 19. https://doi.org/10.3390/BIOLOGY7010019
- Estevinho B.N., Carlan I., Blaga A., Rocha F. // Powder Technol. 2016. V. 289. P. 71–78. https://doi.org/10.1016/j.powtec.2015.11.019
- Galdioli Pellá M.C., Simão A.R., Lima-Tenório M.K., Tenório-Neto E., Scariot D.B., Nakamura C.V., Rubira A.F. // Carbohydr. Polym. 2020. V. 239. P. 116236. https://doi.org/10.1016/j.carbpol.2020.116236
- Шохин И.Е., Кулинич Ю.И., Раменская Г.В., Кукес В.Г. // Биомедицина. 2012. Т. 3. С. 91–97.
- Sugandhi V.V., Mahajan H.S. // J. Drug Delivery Sci. Tech. 2022. V. 70. P. 103212. https://doi.org/10.1016/j.jddst.2022.103212
- Mendes A.C., Gorzelanny C., Halter N., Schneider S.W., Chronakis I.S. // Int. J. Pharm. 2016. V. 510. P. 48–56. https://doi.org/10.1016/j.ijpharm.2016.06.016
- Yekrang J., Gholam Shahbazi N., Rostami F., Ramyar M. // Int. J. Biol. Macromol. 2023. V. 230. P. 123187. https://doi.org/10.1016/j.ijbiomac.2023.123187
- Ramöller I.K., Tekko I.A., McCarthy H.O., Donnelly R.F. // Int. J. Pharm. 2019. V. 566. P. 299–306. https://doi.org/10.1016/j.ijpharm.2019.05.066
- Farzanfar S., Kouzekonan G.S., Mirjani R., Shekarchi B. // Biomed. Eng. Lett. 2020. V. 10. P. 547– 554. https://doi.org/10.1007/s13534-020-00165-6
- Ramalho M.J., Loureiro J.A., Pereira M.C. // ACS Appl. Nano Mater. 2021. V. 4. P. 6881–6892. https://doi.org/10.1021/acsanm.1c00954
- Bucolo C., Maugeri G., Giunta S., D’Agata V., Drago F., Romano G.L. // Front. Pharmacol. 2023. V. 14. P. 1109291. https://doi.org/10.3389/fphar.2023.1109291
- Romano M.R., Biagioni F., Carrizzo A., Lorusso M., Spadaro A., Micelli Ferrari T., Vecchione C., Zurria M., Marrazzo G., Mascio G., Sacchetti B., Madonna M., Fornai F., Nicoletti F., Lograno M.D. // Exp. Eye Res. 2014. V. 120. P. 109–117. https://doi.org/10.1016/j.exer.2014.01.017
- Petrus A.K., Vortherms A.R., Fairchild T.J., Doyle R.P. // ChemMedChem. 2007. V. 2. P. 1717–1721. https://doi.org/10.1002/cmdc.200700239
- Clardy-James S., Allis D.G., Fairchild T.J., Doyle R.P. // MedChemComm. 2012. V. 3. P. 1054–1058. https://doi.org/10.1039/c2md20040f
- Wierzba A.J., Hassan S., Gryko D. // Asian J. Org. Chem. 2018. V. 8. P. 6–24. https://doi.org/10.1002/ajoc.201800579
- Petrus A.K., Fairchild T.J., Doyle R.P. // Angew. Chem. Int. Ed. Engl. 2009. V. 48. P. 1022–1028. https://doi.org/10.1002/anie.200800865
- Lawrence A.D., Nemoto-Smith E., Deery E., Baker J.A., Schroeder S., Brown D.G., Tullet J.M.A., Howard M.J., Brown I.R., Smith A.G., Boshoff H.I., Barry C.E., Warren M.J. // Cell Chem. Biol. 2018. V. 25. P. 941–951.e6. https://doi.org/10.1016/j.chembiol.2018.04.012
- Wierzba A.J., Wojciechowska M., Trylska J., Gryko D. // Methods Mol. Biol. 2021. V. 2355. P. 65–82. https://doi.org/10.1007/978-1-0716-1617-8_7
- Анцыпович С.И. // Успехи химии. 2002. Т. 39. № 1. С. 81–96. https://doi.org/10.1070/RC2002v071n01ABEH000691
- Równicki M., Dąbrowska Z., Wojciechowska M., Wierzba A.J., Maximova K., Gryko D., Trylska J. // ACS Omega. 2019. V. 4. P. 819–824. https://doi.org/10.1021/acsomega.8b03139
- Wierzba A.J., Maximova K., Wincenciuk A., Równicki M., Wojciechowska M., Nexø E., Trylska J., Gryko D. // Chemistry. 2018. V. 24. P. 18772–18778. https://doi.org/10.1002/chem.201804304
- Pieńko T., Wierzba A.J., Wojciechowska M., Gryko D., Trylska J. // J. Phys. Chem. B. 2017. V. 121. P. 2968– 2979. https://doi.org/10.1021/acs.jpcb.7b00649
- Pieńko T., Czarnecki J., Równicki M., Wojciechowska M., Wierzba A.J., Gryko D., Bartosik D., Trylska J. // Biophys. J. 2021. V. 120. P. 725–737. https://doi.org/10.1016/j.bpj.2021.01.004
- Giedyk M., Jackowska A., Równicki M., Kolanowska M., Trylska J., Gryko D. // Chem. Commun. 2019. V. 55. P. 763–766. https://doi.org/10.1039/c8cc05064c
- Shell T.A., Lawrence D.S. // Acc. Chem. Res. 2015. V. 48. P. 2866–2874. https://doi.org/10.1021/acs.accounts.5b00331
- Gick G.G., Arora K., Sequeira J.M., Nakayama Y., Lai S.C., Quadros E.V. // Exp. Cell Res. 2020. V. 396. P. 112256. https://doi.org/10.1016/j.yexcr.2020.112256
- Wierzba A., Wojciechowska M., Trylska J., Gryko D. // Bioconjug. Chem. 2016. V. 27. P. 189–197. https://doi.org/10.1021/acs.bioconjchem.5b00599
- Liu L., Liu P. // Front. Mater. Sci. 2015. V. 9. P. 211–226. https://doi.org/10.1007/s11706-015-0283-y
- Ertas B., Onay I.N., Yilmaz-Goler A.M., Karademir-Yilmaz B., Aslan I., Cam M.E. // J. Drug Delivery Sci. Tech. 2023. V. 89. P. 104963. https://doi.org/10.1016/j.jddst.2023.104963
- Long L., Lai M., Mao X., Luo J., Yuan X., Zhang L.M., Ke Z., Yang L., Deng D.Y.B. // Int. J. Nanomedicine. 2019. V. 14. P. 7743–7758. https://doi.org/10.2147/IJN.S218944
- Chen Z., Liang Y., Feng X., Liang Y., Shen G., Huang H., Chen Z., Yu J., Liu H., Lin T., Chen H., Wu D., Li G., Zhao B., Guo W., Hu Y. // Mater. Sci. Eng. C. Mater. Biol. Appl. 2021. V. 120. P. 111722. https://doi.org/10.1016/j.msec.2020.111722
- Brito A., Habeych E., Silva-Zolezzi I., Galaffu N., Allen L.H. // Nutr. Rev. 2018. V. 76. P. 778–792. https://doi.org/10.1093/nutrit/nuy026
- Sarti F., Müller C., Iqbal J., Perera G., Laffleur F., Bernkop-Schnürch A. // Eur. J. Pharm. Biopharm. 2013. V. 84. P. 132–137. https://doi.org/10.1016/j.ejpb.2012.11.024
- Maiorova L.A., Erokhina S.I., Pisani M., Barucca G., Marcaccio M., Koifman O.I., Salnikov D.S., Gromova O.A., Astolfi P., Ricci V., Erokhin V. // Colloids Surf. B. 2019. V. 182. P. 110366. https://doi.org/10.1016/j.colsurfb.2019.110366
- Nath J., Saikia P.P., Handique J., Gupta K., Dolui S.K. // J. Appl. Polym. Sci. 2020. V. 137. P. 49193. https://doi.org/10.1002/app.49193
- Sarti F., Iqbal J., Müller C., Shahnaz G., Rahmat D., Bernkop-Schnürch A. // Anal. Biochem. 2012. V. 420. P. 13–19. https://doi.org/10.1016/j.ab.2011.08.039
- Ramazani Afarani Z., Sarvi M.N., Akbari Alavijeh M. // J. Taiwan Inst. Chem. Eng. 2018. V. 84. P. 19–27. https://doi.org/10.1016/j.jtice.2018.01.002
- Coelho S.C., Laget S., Benaut P., Rocha F., Estevinho B.N. // Powder Technol. 2021. V. 392. P. 47–57. https://doi.org/10.1016/j.powtec.2021.06.056
- Zhang J., Field C.J., Vine D., Chen L. // Pharm. Res. 2015. V. 32. P. 1288–1303. https://doi.org/10.1007/s11095-014-1533-x
- Genç L., Kutlu H.M., Güney G. // Pharm. Dev. Technol. 2015. V. 20. P. 337–344. https://doi.org/10.3109/10837450.2013.867447
- Andrade S., Ramalho M.J., Loureiro J.A., Pereira M.C. // Int. J. Pharm. 2022. V. 626. P. 122167. https://doi.org/10.1016/j.ijpharm.2022.122167
- Liu G., Yang J., Wang Y., Liu X., Guan L.L., Chen L. // Food Hydrocoll. 2019. V. 92. P. 189–197. https://doi.org/10.1016/j.foodhyd.2018.12.020
- Guo W., Deng L., Chen Z., Chen Z., Yu J., Liu H., Li T., Lin T., Chen H., Zhao M., Zhang L., Li G., Hu Y. // Nanomedicine. 2019. V. 14. P. 353–370. https://doi.org/10.2217/nnm-2018-0321
- Thepphankulngarm N., Wonganan P., Sapcharoenkun C., Tuntulani T., Leeladee P. // New J. Chem. 2017. V. 41. P. 13823–13829. https://doi.org/10.1039/c7nj02754k
- Wang J., Tan J., Luo J., Huang P., Zhou W., Chen L., Long L., Zhang L. ming, Zhu B., Yang L., Deng D.Y.B. // J. Nanobiotechnology. 2017. V. 15. P. 18. https://doi.org/10.1186/s12951-017-0251-z
- Delasoie J., Rossier J., Haeni L., Rothen-Rutishauser B., Zobi F. // Dalton Trans. 2018. V. 47. P. 17221–17232. https://doi.org/10.1039/c8dt02914h
- Dubashynskaya N.V., Bokatyi A.N., Sall T.S., Egorova T.S., Nashchekina Y.A., Dubrovskii Y.A., Murashko E.A., Vlasova E.N., Demyanova E.V., Skorik Y.A. // Int. J. Mol. Sci. 2023. V. 24. P. 11550. https://doi.org/10.3390/ijms241411550
- Singh A., Yadagiri G., Parvez S., Singh O.P., Verma A., Sundar S., Mudavath S.L. // Mater. Sci. Eng. C. Mater. Biol. Appl. 2020. V. 117. P. 111279. https://doi.org/10.1016/j.msec.2020.111279
- Ke Z., Guo H., Zhu X., Jin Y., Huang Y. // J. Pharm. Pharm. Sci. 2015. V. 18. P. 155–170. https://doi.org/10.18433/j3j88q
- Francis M.F., Cristea M., Winnik F.M. // Biomacromolecules. 2005. V. 6. P. 2462–2467. https://doi.org/10.1021/bm0503165
Supplementary files





