Impact of Effectors on the Catalytic Activity of Galactonolactone Oxidase from Trypanosoma cruzi
- 作者: Chudin A.A.1, Kudryashova E.V.1
-
隶属关系:
- Lomonosov Moscow State University
- 期: 卷 50, 编号 4 (2024)
- 页面: 526-537
- 栏目: Articles
- URL: https://bakhtiniada.ru/0132-3423/article/view/267347
- DOI: https://doi.org/10.31857/S0132342324040128
- EDN: https://elibrary.ru/MWKENO
- ID: 267347
如何引用文章
全文:
详细
The influence of the structure of the effectors, 1,4-benzoquinone, coenzymes Q and their structural analogues, on the activity of galactonolactone oxidase from Trypanosoma cruzi (TcGAL) and the homologous enzyme L-galactono-1,4-lactone dehydrogenase from Arabidopsis thaliana (AtGALDH) was studied. Using two forms of AtGALDH, natural (dehydrogenase) and mutant (exhibiting oxidase activity), the role of 1,4-benzoquinone and its analogs as electron acceptors of AtGALDH and TcGAL was revealed. It has been established that compounds containing methoxy groups are more effective electron acceptors for TcGAL (coenzyme Q0, 2,6-dimethoxy-1,4-benzoquinone) compared to compounds without OCH3 groups (2,5-dihydroxy-1,4-benzoquinone). Using 2,6-dimethoxy-1,4-benzoquinone as an electron acceptor, an approach to the spectrophotometric measurement of TcGAL activity by changes in the absorption of the electron acceptor in the absence of additional components (a dye that becomes colorless when interacting with the reaction product, ascorbate) is proposed. The results obtained allow for a more targeted search for TcGAL inhibitors, which can be considered as the basis for the development of selective drugs against Chagas disease caused by T. cruzi.
全文:
Сокращения: TcGAL – галактонолактоноксидаза из Trypanosoma cruzi; AtGALDH – L-галактоно-1,4-лактондегидрогеназа из Arabidopsis thaliana; БХ – 1,4-бензохинон; ЭА – электроноакцептор; ФМС – феназинметосульфат; ДХФИФ – 2,6-дихлорфенолиндофенол; АОТ – натриевая соль ди-2-этилгексилового эфира сульфоянтарной кислоты; CoQ0 – коэнзим Q0; CoQ1 – коэнзим Q1.
ВВЕДЕНИЕ
Галактонолактоноксидаза из одноклеточного паразита Trypanosoma cruzi (TcGAL) – мембранный фермент, катализирующий финальную стадию биосинтеза витамина С – антиоксиданта, жизненно необходимого T. cruzi [1]. Этот микроорганизм не способен потреблять витамин С извне и должен синтезировать его самостоятельно. По этой причине ингибиторы TcGAL рассматриваются нами как основа для разработки селективных лекарственных средств против болезни Шагаса, вызываемой T. cruzi, поскольку организм человека не содержит галактонолактоноксидазу [2].
Следует подчеркнуть, что TcGAL не функционирует в водной среде (не принимает нативную конформацию). Поэтому для изучения TcGAL мы ранее разработали методику, позволяющую сворачивать фермент и измерять его активность, используя систему обращенных мицелл ПАВ (АОТ) [3]. Для контроля влияния мицеллярной среды на распределение компонентов реакционной системы и тем самым на каталитическую активность фермента в данной работе использовался гомолог TcGAL – факультативно мембранный фермент L-галактоно-1,4-лактондегидрогеназа из Arabidopsis thaliana (AtGALDH), катализирующий ту же реакцию, но проявляющий активность как в мицеллах, так и в воде.
Каталитический цикл AtGALDH и TcGAL состоит из двух полуреакций. В ходе одной из них субстрат (галактонолактон) превращается в продукт (аскорбат), а в ходе другой кофактор флавин (FAD) возвращается в исходное окисленное состояние, отдавая электроны электроноакцептору (ЭА) (рис. 1).
Рис. 1. Каталитический цикл ферментов AtGALDH и TcGAL.
Роль ЭА в случае TcGAL могут играть как кислород, так и другие соединения, т.е. TcGAL обладает одновременно оксидазной и дегидрогеназной активностью [1]. В нашей предыдущей работе [2] мы разработали методику ингибиторного анализа для TcGAL с применением системы обращенных мицелл и выявили ингибиторы терпеноидного ряда (действующие в микромолярных концентрациях). Однако остается неясным, на какую из активностей TcGAL они преимущественно влияют – на дегидрогеназную или оксидазную. Для исследования этого аспекта в данной работе мы изучили влияние ЭА на два типа гомологичного фермента AtGALDH (из растительного источника A. thaliana). Так, AtGALDH дикого типа обладает только дегидрогеназной активностью (не может использовать кислород в качестве ЭА) и представляет собой удобную модель для изучения влияния эффекторов именно на дегидрогеназную активность TcGAL в мицеллярной и водной средах. При этом мутантная форма AtGALDH (замена Ala113Gly [4]) обладает одновременно дегидрогеназной и оксидазной активностью, фермент является аналогом TcGAL, функционирующим как в мицеллах, так и в воде. Перечисленные свойства мутантной формы AtGALDH позволяют использовать ее в качестве контрольной системы при изучении действия ингибиторов, ЭА и других эффекторов в водной и мицеллярной средах.
Природным ЭА для TcGAL и AtGALDH является цитохром с, однако он теряет вторичную структуру в обращенных мицеллах [1]. Поэтому цитохром с не пригоден для измерения активности TcGAL в мицеллах. Следовательно, в случае мицелл требуются искусственные ЭА, такие как предложенный нами ранее феназинметосульфат (ФМС) [2, 3].
В качестве перспективных ЭА или эффекторов AtGALDH и TcGAL мы рассматриваем 1,4-бензохинон (БХ, рис. 2а) и его аналоги коэнзимы Q [1, 5], поскольку они являются природными ЭА для ряда мембранных ферментов и играют роль переносчиков электронов в дыхательной цепи у различных организмов. Так, мембраны млекопитающих содержат гомологи CoQn с длинными изопреновыми цепями: у человека это Q10, у грызунов – преимущественно Q9 [6]. У бактерий, например, у E. coli, присутствует коэнзим Q8 [7], а у дрожжей (S. сerevisiae) имеется более короткий Q6 [6]. Интересно отметить, что коэнзимы с короткой изопреновой цепью, такие как Q1 и Q2, используются для измерения активности ряда ферментов, таких как сукцинатдегидрогеназа и альтернативная оксидаза, в том числе из трипаносоматид (включая вид T. brucei, родственный T. cruzi) [8].
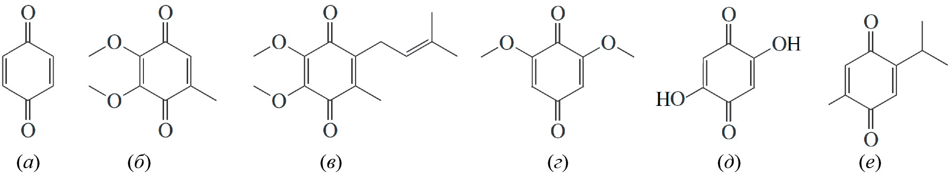
Рис. 2. Структуры 1,4-бензохинона (а) и его аналогов: коэнзима Q0 (б), коэнзима Q1 (в), 2,6-диметокси-1,4-бензохинона (г), 2,5-гидидрокси-1,4-бензохинона (д) и тимохинона (е).
В работе мы рассматриваем коэнзимы Q1 и Q0 (СoQ1 и CoQ0), являющиеся структурными аналогами 1,4-бензохинона (БХ). Так, коэнзим CoQ1 отличается от БХ наличием OCH3- и CH3групп в бензольном кольце, и, кроме того, CoQ1 имеет изопреновую цепь (рис. 2в). У CoQ0 имеются те же заместители в бензольном кольце, что и у CoQ1, но отсутствует изопреновый фрагмент (рис. 2б).
С точки зрения использования в качестве ЭА для измерения активности AtGALDH и TcGAL (и потенциально других дегидрогеназ) коэнзимы CoQ0 и CoQ1 могут обладать преимуществами по сравнению с ранее исследованным БХ [5, 9]. Так, в шестичленном кольце CoQ1, в отличие от БХ, все атомы водорода замещены на алкильные или метоксигруппы (рис. 2), поэтому CoQ0 и CoQ1 более устойчивы в слабощелочной среде [4], что может способствовать их большей применимости в качестве ЭА для TcGAL с оптимумом активности при рН 8.8.
В литературе высказано предположение о важной роли изопреновой цепи, имеющейся у CoQ1, для электроноакцепторных свойств коэнзимов [10]. Однако согласно нашим данным, коэнзим Q10, обладающий длинной изопреновой цепью (10 звеньев), не является ЭА в случае AtGALDH, а напротив, оказывает некоторое ингибирующее влияние на фермент [5]. Таким образом, среди коферментов CoQ перспективными представляются CoQ0 и CoQ1 как потенциальные ЭА для TcGAL и AtGALDH.
Помимо коэнзимов, в качестве потенциальных ЭА для TcGAL и AtGALDH можно рассматривать 2,6-диметокси-1,4-бензохинон (рис. 2г), производное 1,4-бензохинона, встречающееся во многих растениях и выступающее в качестве эффективного ЭА таких ферментов, как 1,4-бензохинонредуктаза [11]. Другим перспективным ЭА выступает аналог 2,6-диметокси-1,4-бензохинона – 2,5-дигидрокси-1,4-бензохинон, отличающийся заменой метоксигрупп на гидроксигруппы и их положением (рис. 2д). Электроноакцепторные свойства 2,5-дигидрокси-1,4-бензохинона описаны в литературе: например, данное соединение выступает в роли π-акцептора в случае комплекса с переносом заряда, который образуется между 2-амино-4-метокси-6-метилпиримидином и 2,5-дигидрокси-1,4-бензохиноном [12]. Наконец, следует выделить тимохинон (рис. 2е), производное 1,4-бензохинона из растительных источников (можжевельник), являющееся электроноакцептором хиноноксидоредуктазы (NQO-1) [13] и объектом повышенного внимания ученых ввиду своих антидиабетических свойств [14–16].
Таким образом, целью данной работы было исследование влияния структуры потенциальных ЭА или эффекторов (1,4-бензохинона и его структурных аналогов) на активность TcGAL и гомологичного фермента AtGALDH.
РЕЗУЛЬТАТЫ И ОБСУЖДЕНИЕ
Влияние 1,4-бензохинона и его аналогов на дегидрогеназную активность AtGALDH. Для изучения влияния БХ и его производных на дегидрогеназную составляющую TcGAL мы использовали природную форму гомологичного фермента AtGALDH, обладающего только дегидрогеназной активностью. Измерение активности AtGALDH в присутствии каждого потенциального ЭА проводили спектрофотометрически с использованием красителя ДХФИФ, который обесцвечивается при взаимодействии с продуктом реакции – аскорбатом [3].
Рис. 3. Максимальная активность природной формы AtGALDH в водной (натрий-фосфатный буфер) (а) и в мицеллярной (0.1 М АОТ в н-октане, W₀ = 22) (б) средах в зависимости от структуры ЭА в присутствии красителя ДХФИФ. Концентрации: субстрат (1 мМ), ДХФИФ (120 мкМ), AtGALDH (6 нМ). Концентрации ЭА, при которых наблюдалась максимальная активность фермента, указаны в табл. 1.
Полученные зависимости максимальной активности AtGALDH от структуры используемого ЭА в водной и мицеллярной средах представлены на рис. 3. В качестве контроля на рис. 3 приведена активность AtGALDH в присутствии ФМС и красителя ДХФИФ (2,6-дихлорфенолиндофенол), которые использовали в качестве базисной системы в наших предыдущих работах [2, 3, 5].
Обнаружено, что в водной среде 2,6-диметокси-БХ и CoQ0 обеспечивают в 4–5 раз большую активность (Vмакс) AtGALDH по сравнению с ранее исследованными БХ и CoQ1 [5] (табл. 1). При этом в мицеллярной среде 2,6-диметокси-БХ позволяет достичь более высокого значения Vмакс по сравнению с таковым для БХ и CoQ1 (табл. 1).
Таблица 1. Каталитические характеристики 1,4-бензохинона и его аналогов как электроноакцепторов природной формы AtGALDH
Электроноакцептор | AtGALDH (природная форма) | |||||||
Водно-буферный раствор | Мицеллы | |||||||
Vмакс**, 10–7 M/c | фоновый сигнал**, 10–7 M/c | pH- оптимум | [ЭА]насыщ, мкМ | Vмакс**, 10–7 M/c | фоновый сигнал**, 10–7 M/c | pH- оптимум | [ЭА]насыщ, мкМ | |
CoQ0 | 25.7 | – | 8.8 | 0.016 | 1.6 | – | 8.8 | 0.9 |
2,6-Диметокси-БХ | 21.5 | – | 8.8 | 2.3 | 13.5 | – | 8.8 | 14 |
БХ* | 7.1 | 1.0 | 7.8 | 4 000 | 4.6 | 0.8 | 7.8 | 2 000 |
CoQ1* | 5.4 | 0.5 | 7.8 | 4 000 | 1.1 | 0.4 | 7.8 | 2 000 |
ФМС | 12.5 | – | 8.8 | 120 | 5.0 | – | 8.8 | 120 |
Примечание: Vмакс – максимальная активность фермента; [ЭА]насыщ – концентрация ЭА, при которой наблюдается Vмакс.
* Данные для БХ и CoQ1 приведены из работы [5].
** Погрешность измерения каталитической активности не превышает 10%.
Отметим, что в обеих средах (водной и мицеллярной) 2,6-диметокси-БХ и CoQ эффективны при низких концентрациях (~0.02–10 мкМ), в то время как БХ и CoQ1 действуют лишь при концентрациях ~2 мМ. Следует учесть и другие ограничения при использовании БХ и CoQ1 как ЭА. Так, при измерении активности AtGALDH по изменению поглощения самого БХ или CoQ1 значительный вклад вносит фоновый сигнал. Кроме того, БХ подвержен окислению в слабощелочной среде при pH-оптимуме фермента в водной и мицеллярной средах [9, 5]. В отличие от БХ и CoQ1, комбинации 2,6-диметокси-БХ и CoQ0 с красителем практически не проявляют фонового сигнала (< 5% от целевого) и функционируют при pH-оптимуме AtGALDH (pH 8.8) (табл. 1).
Наконец, использование 2,6-диметокси-БХ и CoQ0 показывает преимущества не только по сравнению с БХ и CoQ1, но и по сравнению с разработанной нами ранее методикой с использованием ФМС как ЭА [3]. Так, в водной среде максимальная скорость (Vмакс) в присутствии 2,6-диметокси-БХ или CoQ0 выше в 2 раза по сравнению с ФМС, а в мицеллярной – сопоставима (рис. 3). При этом используемые концентрации 2,6-диметокси-БХ и CoQ0 (0.02–10 мкМ) на несколько порядков ниже таковой для ФМС (120 мкМ [3]).
Учитывая гомологичность AtGALDH и TcGAL, а также наилучшие параметры для 2,6-диметокси-БХ как ЭА в мицеллах для дегидрогеназы AtGALDH, можно предположить, что 2,6-диметокси-БХ как ЭА будет наиболее эффективен и для TcGAL. Однако, как упоминалось выше, TcGAL обладает одновременно дегидрогеназной и оксидазной активностями, а дикий тип AtGALDH – только дегидрогеназной. Мутантная форма AtGALDH (замена Ala113Gly [4]), как и сам TcGAL, обладает обоими типами активности, что позволяет определить степень влияния ЭА на дегидрогеназную активность по отношению к оксидазной. Кроме того, поскольку AtGALDH функционирует не только в мицеллах, но и в водном растворе, с использованием мутантного типа AtGALDH мы можем изучить роль среды (мицеллы или вода) на свойства эффекторов в отношении целевого TcGAL, функционирующего только в мицеллах.
Влияние 1,4-бензохинона и его аналогов на активность мутантной формы AtGALDH. Для изучения действия эффекторов (1,4-бензохинона и его производных) на мутантную форму AtGALDH (замена Ala113Gly [4]) использовали методику с применением красителя ДХФИФ – проявителя продукта реакции (аскорбата) [3]. Действие таких эффекторов продемонстрировано на рис. 4.
Рис. 4. Максимальная активность мутантной формы AtGALDH в водной (натрий-фосфатный буфер, pH 8.8 для CoQ0 и 2,6-диметокси-БХ и pH 7.8 для CoQ1 и БХ) (а) и мицеллярной (0.1 М АОТ в н-октане, pH 8.8 для CoQ0 и 2,6-диметокси-БХ и pH 7.8 для CoQ1 и БХ, W₀ = 22) (б) средах в зависимости от структуры ЭА в сочетании с красителем ДХФИФ. Концентрации: субстрат (1 мМ), ДХФИФ (120 мкМ), AtGALDH (6 нМ). Для сравнения указана активность без добавления ЭА.
В отличие от AtGALDH дикого типа, в водной среде наиболее сильное воздействие оказывает БХ, усиливающий активность мутантной формы AtGALDH в 3 раза по сравнению с контролем (без ЭА) (рис. 4). В меньшей степени на активность AtGALDH влияют CoQ0 и 2,6-диметокси-БХ (усиление активности AtGALDH в 2 раза) и CoQ1 (усиление всего на 20%).
В случае мицелл драматическое воздействие оказывает 2,6-диметокси-БХ, усиливающий активность мутантной формы AtGALDH в 10 раз. В то же время остальные соединения усиливают активность фермента лишь в ~2 раза. Каталитические характеристики исследуемых эффекторов в отношении мутантной формы AtGALDH представлены в табл. 2.
Таблица 2. Каталитические характеристики эффекторов мутантной формы AtGALDH – 1,4-бензохинона и его аналогов
Эффектор | AtGALDH (мутантная форма, Ala113Gly) | |||||||
водно-буферный раствор | мицеллы | |||||||
C50, мкМ | Vмакс*, 10–7 M/c | pH | [ЭА]насыщ, мкМ | C50, мкМ | Vмакс*, 10–7 M/c | pH | [ЭА]насыщ, мкМ | |
БХ | 0.5 | 13 | 7.8 | 12.8 | 1.5 | 1.4 | 7.8 | 20 |
Q1 | 5.0 | 5 | 7.8 | 20 | 3.8 | 1.3 | 7.8 | 10 |
2,6-OCH3-БХ | 0.4 | 7.3 | 8.8 | 2.1 | 4.8 | 7.9 | 8.8 | 12 |
Q0 | 0.006 | 7.4 | 8.8 | 0.12 | 0.17 | 2.1 | 8.8 | 0.5 |
Примечание: C50 – концентрация эффектора, вызывающая увеличение активности фермента в 2 раза по сравнению с активностью в отсутствие эффектора; Vмакс – максимальная активность фермента; [ЭА]насыщ – концентрация ЭА, при которой наблюдается Vмакс.
* Погрешность измерения каталитической активности не превышает 10%.
Сравнивая результаты, полученные для дикой и мутантной форм AtGALDH, следует подчеркнуть, что в мицеллах обе формы наиболее активны в присутствии 2,6-диметокси-БХ (его влияние на оксидазную активность более выражено, чем на дегидрогеназную). Это позволяет предположить, что и в случае гомологичного TcGAL наибольшая активность должна наблюдаться для 2,6-диметокси-БХ. Кроме того, для TcGAL в качестве ЭА перспективен CoQ0, работающий при pH-оптимуме обоих ферментов (pH 8.8), в отличие от БХ и CoQ1.
Влияние 2,6-диметокси-БХ и его аналогов на активность TcGAL. Поскольку БХ и CoQ1 не оптимальны для определения активности фермента (показывают слишком высокую фоновую реакцию) при pH-оптимуме TcGAL [5] и оказывают слабое влияние на аналог TcGAL – мутантную форму AtGALDH, то представляется целесообразным изучить действие других производных БХ – 2,6-диметокси-БХ, CoQ1 и тимохинона – на активность TcGAL. Кроме того, интересно изучить влияние замены метоксигрупп на гидроксигруппы, имеющиеся, например, у 2,5-дигидрокси-1,4-бензохинона, электроноакцепторные свойства которого описаны в литературе (является π-акцептором в случае комплекса с переносом заряда [12]). Полученные зависимости максимальной активности TcGAL от структуры вышеперечисленных потенциальных ЭА в комбинации с красителем представлены на рис. 5.
Рис. 5. Зависимость максимальной активности TcGAL в мицеллярной среде (0.1 М АОТ в н-октане, pH 8.8, W₀ = 22) от структуры эффектора (электроноакцептора) в сочетании с красителем ДХФИФ. Концентрации субстрата (1 мМ), ДХФИФ (120 мкМ) и TcGAL (34 нМ) поддерживались постоянными. Для сравнения показана активность TcGAL в присутствии 120 мкМ ФМС по ранее опубликованным данным [3]. Концентрации эффекторов (электроноакцепторов), при которых наблюдалась максимальная активность фермента: 2,5-дигидрокси-БХ (360 мкМ), тимохинон (200 мкМ), CoQ0 (0.72 мкМ), 2,6-диметокси-БХ (24 мкМ). Концентрация ФМС в контрольных измерениях – 120 мкМ.
Примечательно, что CoQ0 и 2,6-диметокси-БХ в случае TcGAL показывают тенденции, аналогичные наблюдаемым для обеих форм гомологичного AtGALDH в мицеллах (рис. 3–5). Так, CoQ0 функционирует при концентрациях на 1–3 порядка меньше, чем другие ЭА, а наибольшее значение максимальной активности наблюдается в случае 2,6-диметокси-БХ (рис. 5). Отдельно следует отметить тимохинон, который не является ЭА для TcGAL, а напротив, оказывает слабое ингибирующее действие (20%-ное ингибирование при 200 мкМ тимохинона).
Таким образом, наиболее эффективным ЭА среди изучаемых соединений оказался 2,6-диметокси-БХ при невыраженной фоновой реакции (< 5% от целевой). Столь высокая эффективность 2,6-диметокси-БХ как ЭА позволила нам предположить, что за ходом реакции можно следить и в отсутствие красителя (ДХФИФ), если 2,6-диметокси-БХ обладает достаточной разницей коэффициентов молярного поглощения окисленной и восстановленной форм.
Разработка подхода к измерению активности TcGAL без красителя с применением 2,6-диметокси-1,4-бензохинона в качестве электроноакцептора. Использование в мицеллах дополнительных реагентов, в том числе красителя ДХФИФ, желательно сводить к минимуму ввиду ограниченного объема водной фазы и возможного влияния красителя на другие компоненты системы. Установив, что 2,6-диметокси-БХ – наиболее эффективный потенциальный ЭА для TcGAL, мы исследовали возможность применения данного ЭА для определения активности TcGAL без использования красителя (ДХФИФ). Спектры окисленной и восстановленных форм 2,6-диметокси-БХ имеют наибольшую разницу в поглощении при длине волны 285 и 287 нм в водном растворе и в мицеллах соответственно (рис. 6).
Рис. 6. (а) – Спектры окисленной и восстановленной форм 24 мкМ 2,6-диметокси-БХ в натрий-фосфатном буфере, pH 8.8); (б) – спектры окисленной и восстановленной форм 24 мкМ 2,6-диметокси-БХ в мицеллярной среде (0.1 М АОТ в н-октане, W₀ = 22, pH 8.8); (в) – спектры реакционной смеси (1 мМ D-арабиноно-1,4-лактон, 24 мкМ 2,6-диметокси-БХ) в мицеллярной среде (0,1 М АОТ в н-октане, W₀ = 22) до и после протекания реакции (добавления 34 нМ TcGAL); (г) – зависимость активности TcGAL от концентрации 2,6-диметокси-БХ (без красителя) и от концентрации CoQ0 (в комбинации с 120 мкМ ДХФИФ), в качестве базовой линии указана активность TcGAL при комбинации 120 мкМ ФМС и 120 мкМ ДХФИФ.
Спектры поглощения реакционной смеси (содержащей все необходимые компоненты) до и после реакции (рис. 6в) также имеют вид, аналогичный спектрам окисленной и восстановленной форм 2,6-диметокси-БХ в водной и мицеллярной средах (рис. 6а, 6б). Это свидетельствует о том, что 2,6-диметокси-БХ расходуется в ходе реакции, т.е. является именно ЭА для TcGAL, а не, например, аллостерическим эффектором.
Варьируя концентрацию 2,6-диметокси-БХ в водной и мицеллярной средах, мы определили коэффициенты молярного поглощения окисленной и восстановленной форм 2,6-диметокси-БХ и их разницу (εокисл — восст) (табл. 3), которая составляет 13 900 (для водного раствора) и 4 600 М⁻¹см⁻¹ (для мицеллярной системы). Большее значение параметра εокисл — восст в мицеллярной среде по сравнению с незамещенным БХ и ФМС с разностными коэффициентами поглощения 3050 и 2100 М⁻¹см⁻¹ соответственно [3] говорит о возможности применения 2,6-диметокси-БХ для измерения активности TcGAL по расходу ЭА в процессе реакции.
Таблица 3. Спектрофотометрические параметры 2,6-диметокси-БХ в водной (PBS, pH 8.8) и мицеллярной (0.1 М АОТ в октане, W₀ = 22) средах
Среда | Длина волны, нм | εокисл, М⁻¹см⁻¹ | εвосст, М⁻¹см⁻¹ | εокисл — восст, М⁻¹см⁻¹ |
Вода | 285 | 22 600 | 8 700 | 13 900 |
Мицеллы | 287 | 9 200 | 4 600 | 4 600 |
Используя найденное значение εокисл—восст = 4 600 М⁻¹см⁻¹ (табл. 3), мы определили максимальную активность TcGAL в присутствии 24 мкМ (в насыщении по 2,6-диметокси-БХ, рис. 6г). Оказалось, что найденное значение (17.8 × 10–7 М/c) в 1.5 раза выше активности в случае комбинации ФМС и красителя (контрольной системы), использовавшейся нами ранее для изучения TcGAL [2, 3]. Следовательно, 2,6-диметокси-БХ – эффективный ЭА для TcGAL, позволяющий надежно регистрировать активность TcGAL.
Таким образом, разработан улучшенный подход к измерению активности TcGAL с использованием 2,6-диметокси-БХ (24 мкМ) в качестве ЭА, который не требует использования дополнительных агентов (красителя).
Ингибиторный анализ TcGAL с применением 2,6-диметокси-1,4-бензохинона в качестве электроноакцептора. В наших предыдущих работах было продемонстрировано применение методики измерения активности TcGAL с использованием комбинации ФМС и красителя ДХФИФ для ингибиторного анализа TcGAL [2, 3]. В настоящей работе мы изучили возможность применения подхода с использованием 2,6-диметокси-БХ как ЭА (в отсутствие красителя) для ингибиторного анализа TcGAL. Для этого изучили действие двух соединений, аллилбензола и аллилтетраметоксибензола, которые проявляли ингибирующий эффект в отношении TcGAL в случае методики, разработанной нами ранее, с ФМС и красителем ДХФИФ [2] (рис. 7). Для оценки эффективности обоих ингибиторов в случае 2,6-диметокси-БХ была выбрана концентрация 200 мкМ, соответствующая максимальному эффекту обоих соединений в случае системы, содержащей ФМС и краситель [2].
Рис. 7. (а) – Схема ингибирования целевой реакции; (б) – сравнение ингибирующего эффекта аллилтетраметоксибензола и аллилбензола для краситель-содержащих систем (комбинация красителя ДХФИФ и ФМС или Q0 как ЭА) и системы без красителя (2,6-диметокси-БХ как ЭА). Концентрации веществ: 120 мкМ ДХФИФ, 1 мМ АР (субстрат), 34 нМ TcGAL, 24 мкМ 2,6-диметокси-БХ, 120 мкМ ФМС и 0.72 мкМ Q0, 200 мкМ аллилтетраметоксибензола и 200 мкМ аллилбензола. Среда: 0.1 М АОТ в н-октане, W₀ = 22.
Оказалось, что ингибирующий эффект при использовании 2,6-диметокси-БХ как ЭА действительно наблюдался, как и в случае ранее использованной методики с применением ФМС и красителя [2]. Эффективность изученных ингибиторов коррелирует для ФМС и 2,6-диметокси-БХ, а также для системы, содержащей CoQ0 как ЭА и краситель ДХФИФ (рис. 7). Следовательно, использование 2,6-диметокси-БХ в отсутствие красителя позволяет надежно регистрировать ингибирование TcGAL.
ЭКСПЕРИМЕНТАЛЬНАЯ ЧАСТЬ
Реагенты. В работе использовали L-галактоно-1,4-лактон, D-арабиноно-1,4-лактон, 2,6-дихлорфенолиндофенол, натриевую соль ди-2-этилгексилового эфира сульфоянтарной кислоты (АОТ), коэнзим Q1, коэнзим Q0, 2,6-диметокси-1,4-бензохинон, 2,5-дигидрокси-1,4-бензохинон, н-октан, ацетонитрил (Sigma-Aldrich, США); феназинметосульфат и 1,4-бензохинон (Merck, Германия); аллилтетраметоксибензол и аллилбензол (Acros Organics, Бельгия). L-галактоно-1,4-лактондегидрогеназа из Arabidopsis thaliana была любезно предоставлена проф. W.J.H. van Berkel (Вагенингенский университет, Вагенинген, Нидерланды).
Получение рекомбинантных белков AtGALDH и TcGAL, рефолдинг телец включения TcGAL. Экспрессию рекомбинантных белков AtGALDH (EC 1.3.2.3) и TcGAL (EC 1.3.3.12) в E. coli проводили согласно методике, описанной ранее [1, 9]. AtGALDH-His6 экспрессировали в клетках E. coli BL21(DE3) в виде растворимого цитоплазматического белка. Для продукции фермента TcGAL использовали клетки E. coli BL21 (DE3), несущие плазмиду pBAD-TcGAL. TcGAL формировал нерастворимые тельца включения. Рефолдинг TcGAL проводили согласно методике, описанной нами ранее [1]. Суспензию телец включения, собранных после лизиса клеток, промывали 6%-ным раствором Triton X-100, содержащим 60 мМ ЭДТА и 1.5 М NaCl (рН 7.0), и растворяли в 6 М гуанидинхлориде. Затем гуанидинхлорид удаляли диализом против 10 мМ фосфата натрия (рН 8.0). После диализа суспензию агрегированного фермента вносили в систему обращенных мицелл вода–АОТ–октан. Растворы окисленного и восстановленного глутатиона (10 мМ GSSG и 30 мМ GSH) в 10 мМ фосфате натрия (рН 8.0) смешивали, аликвоту (10 мкл) добавляли к 1 мл мицеллярного раствора фермента в 0.4 М АОТ. Рефолдинг фермента инициировали добавлением 10 мкл раствора FAD в воде (10-кратный молярный избыток по отношению к ферменту). Сворачивание и конечную концентрацию фермента в мицеллах контролировали методом КД-спектроскопии с использованием КД-спектрометра J-815 (Jasco, Япония).
Каталитическая активность AtGALDH и TcGAL. Для спектрофотометрического определения активности обоих ферментов использовали систему обращенных мицелл ПАВ, 0.1 М АОТ в н-октане (степень гидратации W₀ = 22), описанную нами ранее [3], с небольшими изменениями. Для измерения активности ферментов использовали комбинацию одного из потенциальных ЭА (1,4-бензохинон или его производные) и 120 мкМ водный раствор ДХФИФ в качестве красителя, обесцвечивающегося при образовании продукта реакции при длине волны 550 нм. Запасные растворы ЭА (CoQ0, CoQ1, 2,6-диметокси-1,4-бензохинона и 2,5-дигидрокси-1,4-бензохинона) готовили в DMSO. Поглощение измеряли с помощью спектрофотометра Ultrospec-2100pro (Amersham Biosciences, США). В качестве субстратов использовали L-галактоно-1,4-лактон в случае AtGALDH и D-арабиноно-1,4-лактон в случае TcGAL. Концентрации субстратов составляли 1 мМ, ферментов TcGAL (34 нМ) и AtGALDH (6 нМ). Для построения графиков и статистической обработки данных с использованием t-критерия Стьюдента применяли программу SigmaPlot 11.1. Значения представлены как среднее ± стандартное отклонение трех независимых экспериментов.
Ингибиторный анализ TcGAL. При разработке подхода к ингибиторному анализу использовали ЭА без красителя, добавляя один из исследуемых ингибиторов (аллилбензол или тетраметоксиаллилбензол) в реакционную среду. В качестве контрольной системы использовали систему, содержащую 120 мкМ ФМС и 120 мкМ ДХФИФ, описанную нами ранее [2]. Эффективность ингибиторов при использовании предлагаемого подхода в сравнении с методикой с применением красителя оценивали по ингибирующему эффекту при насыщающих концентрациях ингибиторов (200 мкМ).
ЗАКЛЮЧЕНИЕ
Обнаружены новые ЭА для TcGAL ряда 1,4-бензохинона (конзимы Q0, Q1, 2,5-дигидрокси-БХ и 2,6-диметокси-БХ) и выявлено влияние структуры ЭА на активность TcGAL. Так, установлено, что соединения, содержащие метоксигруппы, являются более эффективными электроноакцепторами для TcGAL (коэнзим Q0, 2,6-диметокси-БХ) по сравнению c соединениями, не имеющими OCH3-групп (2,5-дигидрокси-БХ, а также тимохинон, являющийся слабым ингибитором TcGAL).
При исследовании двух форм AtGALDH (природной и мутантной) обнаружено, что в водной среде более “чувствительна” (наибольшая разница в значениях активности) к выбору эффектора природная (дегидрогеназная) форма. В то же время в мицеллах более чувствительна мутантная форма AtGALDH (сочетание дегидрогеназной и оксидазной активности), активность которой более резко возрастает при использовании 2,6-диметокси-БХ. По-видимому, и в случае трипаносомального фермента TcGAL, функционирующего в мицеллах, 2,6-диметокси-БХ оказывает влияние на оба типа активности (дегидрогеназную и оксидазную).
С применением 2,6-диметокси-БХ в качестве ЭА разработан новый подход к измерению активности TcGAL, обладающий преимуществами по сравнению с ранее предложенным подходом [3]. Так, новый подход не требует применения красителя и, кроме того, обеспечивает в 1.5 раза большую активность фермента при меньшей (в 5 раз) концентрации ЭА. Продемонстрирована возможность использования нового подхода для ингибиторного анализа TcGAL. Это еще один шаг в поиске ингибиторов данного фермента, которые могут рассматриваться в качестве основы для разработки лекарственных средств против болезни Шагаса, вызываемой T. cruzi [2].
БЛАГОДАРНОСТИ
Работа выполнена с использованием оборудования (КД-спектрометр J-815, Jasco, Япония) по программе развития МГУ им. М.В. Ломоносова.
СОБЛЮДЕНИЕ ЭТИЧЕСКИХ СТАНДАРТОВ
Настоящая статья не содержит описания исследований с участием людей или использованием животных в качестве объектов исследования.
КОНФЛИКТ ИНТЕРЕСОВ
Авторы заявляют об отсутствии конфликта интересов.
作者简介
A. Chudin
Lomonosov Moscow State University
编辑信件的主要联系方式.
Email: andrew_18@inbox.ru
Chemical Department
俄罗斯联邦, Leninskie gory 1/3, Moscow, 119991E. Kudryashova
Lomonosov Moscow State University
Email: Helenakoudriachova@yandex.ru
Chemical Department
俄罗斯联邦, Leninskie gory 1/3, Moscow, 119991参考
- Kudryashova E.V., Leferink N.G.H., Slot I.G.M., Van Berkel W.J.H. // Biochim. Biophys. Acta. 2011. V. 1814. P. 545–552. https://doi.org/10.1016/j.bbapap.2011.03.001
- Chudin A.A., Zlotnikov I.D., Krylov S.S., Semenov V.V., Kudryashova E.V. // Biochemistry (Moscow). 2023. V. 88. P. 131–141. https://doi.org/10.31857/S0320972523010074
- Chudin A.A., Kudryashova E.V. // Analytica. 2022. V. 3. P. 36–53. https://doi.org/10.3390/analytica3010004
- Leferink N.G.H., Fraaije M.W., Joosten H.J., Schaap P.J., Mattevi A., van Berkel W.J.H. // J. Biol. Chem. 2009. V. 284. P. 4392–4397. https://doi.org/10.1074/jbc.M808202200
- Чудин А.А., Кудряшова Е.В. // Биотехнология. 2022. Т. 38. С. 80–85. https://doi.org/10.56304/S0234275822040068
- Hihi A.K., Kébir H., Hekimi S.. // J. Biol. Chem. 2003. V. 278. P. 41013–41018. https://doi.org/10.1074/jbc.M305034200
- Hernández-Camacho J.D., García-Corzo L., Fernández-Ayala D.J.M., López-Lluch G., Navas P. // Antioxidants. 2021. V. 10. P. 1785. https://doi.org/10.3390/antiox10111785
- Čermáková P., Kovalinka T., Ferenczyová K., Horváth A. // Parasite. 2019. V. 26. P. 17. https://doi.org/10.1051/parasite/2019017
- Leferink N.G.H., Van Den Berg W.A.M., Van Berkel W.J.H. // FEBS J. 2008. V. 275. P. 713–726. https://doi.org/10.1111/j.1742-4658.2007.06233.x
- Ameixa J., Arthur-Baidoo E., Pereira-da-Silva J., Ončák M., Ruivo J. C., Varella M. T.do N., Ferreira da Silva F., Denifl S. // Comput. Struct. Biotechnol. J. 2023. V. 21. P. 346–353. https://doi.org/10.1016/j.csbj.2022.12.011
- Laskowski M.J., Dreher K.A., Gehring M.A., Abel S., Gensler A.L., Sussex I.M. // Plant Physiol. 2002. V. 128. P. 578–590. https://doi.org/10.1104/pp.010581
- Alghanmi R.M. // J. Chem. 2019. V. 2019. 1743147. https://doi.org/10.1155/2019/1743147
- Detremmerie C., Vanhoutte P.M., Leung S. // Acta Pharm. Sin. B. 2017. V. 7. P. 401–408. https://doi.org/10.1016/j.apsb.2017.06.003
- Manal A.A. // Am. J. Life Sci. 2017. V. 5. P. 52–56. https://doi.org/10.11648/j.ajls.20170502.13
- Gray J.P., Burgos D.Z., Yuan T., Seeram N., Rebar R., Follmer R., Heart E.A. // Am. J. Physiol. Endocrinol. Metab. 2016. V. 310. P. E394–E404. https://doi.org/10.1152/ajpendo.00250.2015
- Shaukat A., Zaidi A,, Anwar H., Kizilbash N. // Front. Nutr. 2023. V. 10. P. 10:1126272. https://doi.org/10.3389/fnut.2023.1126272
补充文件
