Regiospecific Preparation of a Suitably Protected β-Branched Aspartic Acid Dipeptide
- Authors: Azev V.N.1, Baidakova L.K.1, Chulin A.N.1, Tuzikov A.B.2, Kislitsyn P.G.3, Molchanov M.V.4, Miroshnikov A.I.2
-
Affiliations:
- Branch of Shemyakin and Ovchinnikov Bioorganic Chemistry Institute, RAS
- Shemyakin-Ovchinnikov Bioorganic Chemistry Institute, RAS
- CHEMRAR Group
- Institute for Theoretical and Experimental Biophysics, RAS
- Issue: Vol 49, No 4 (2023)
- Pages: 411-421
- Section: Articles
- URL: https://bakhtiniada.ru/0132-3423/article/view/139178
- DOI: https://doi.org/10.31857/S0132342323040279
- EDN: https://elibrary.ru/ODAVUU
- ID: 139178
Cite item
Full Text
Abstract
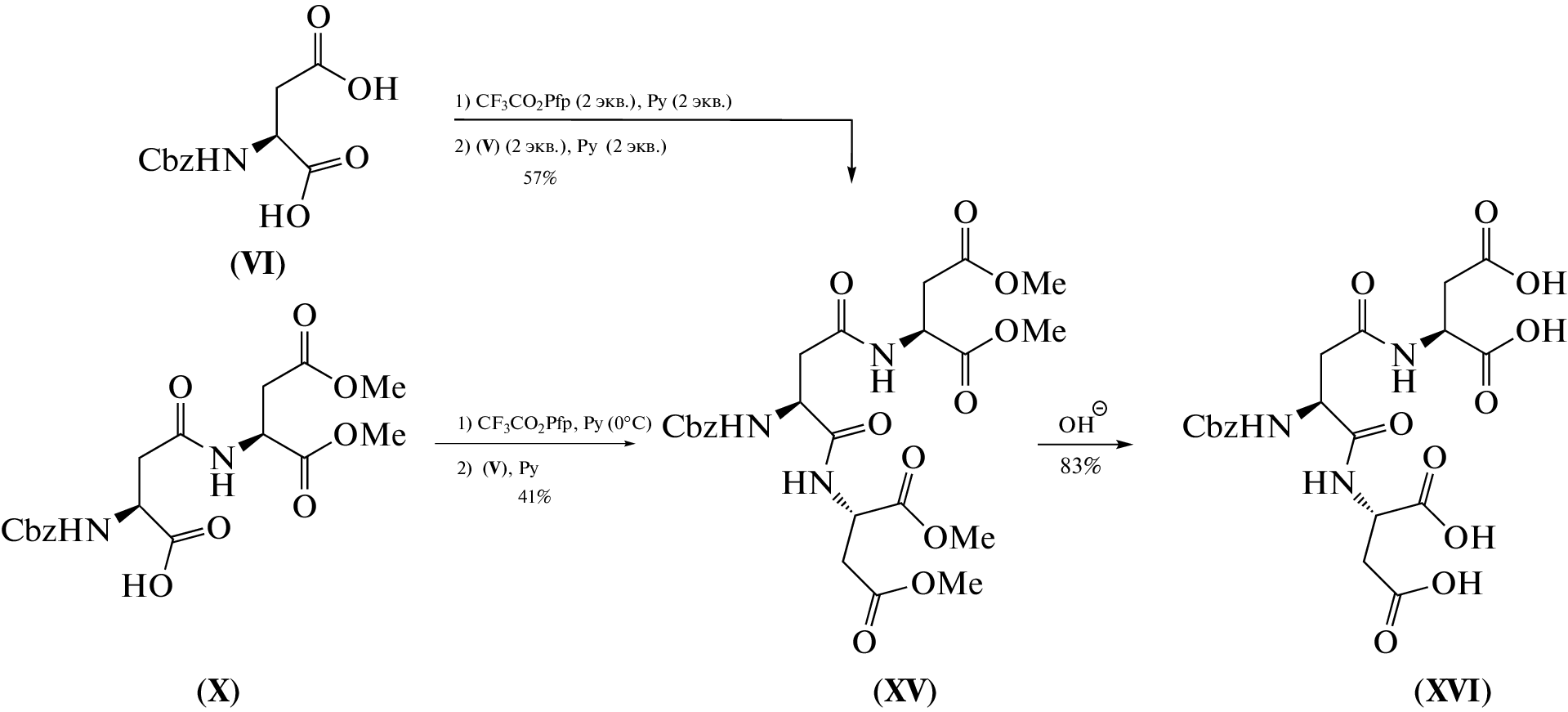
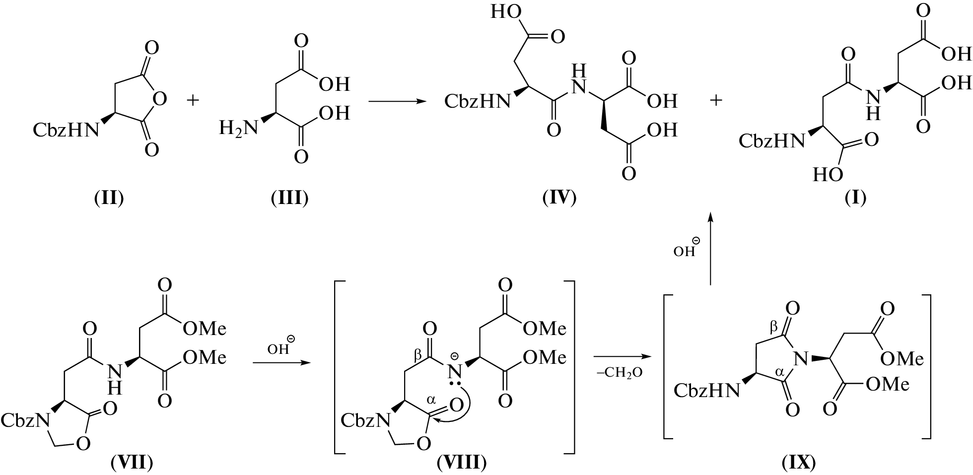
A new efficient synthetic approach for the preparation of Nα-protected β-L-aspartyl-L-aspartic acid dipeptide was elaborated. The distinctive features of the developed approach include utilization of readily available starting materials (Cbz-asparagine and dimethyl aspartate), aspartimide formation suppression employing electrostatic effect in a final deprotection step and an employment of a novel reagent (NaNO2/aqueous trifluoroacetic acid) for transformation of protected asparagine derivative into the corresponding aspartic acid. The developed method allowes preparation of aspartic acid derivatives that find application in carbohydrate polivalent interaction studies as well as in preparation of microbicidal dendrimeric constructs.
About the authors
V. N. Azev
Branch of Shemyakin and Ovchinnikov Bioorganic Chemistry Institute, RAS
Author for correspondence.
Email: viatcheslav.azev@bibch.ru
Russia, 142290, Pushchino, prosp. Nauki 6
L. K. Baidakova
Branch of Shemyakin and Ovchinnikov Bioorganic Chemistry Institute, RAS
Email: viatcheslav.azev@bibch.ru
Russia, 142290, Pushchino, prosp. Nauki 6
A. N. Chulin
Branch of Shemyakin and Ovchinnikov Bioorganic Chemistry Institute, RAS
Email: viatcheslav.azev@bibch.ru
Russia, 142290, Pushchino, prosp. Nauki 6
A. B. Tuzikov
Shemyakin-Ovchinnikov Bioorganic Chemistry Institute, RAS
Email: viatcheslav.azev@bibch.ru
Russia, 117997, Moscow, ul. Miklukho-Maklaya 16/10
P. G. Kislitsyn
CHEMRAR Group
Email: viatcheslav.azev@bibch.ru
Russia, 141401, Khimki, ul. Rabochaya 2a-1
M. V. Molchanov
Institute for Theoretical and Experimental Biophysics, RAS
Email: viatcheslav.azev@bibch.ru
Russia, 142290, Pushchino, ul. Institutskaya 3
A. I. Miroshnikov
Shemyakin-Ovchinnikov Bioorganic Chemistry Institute, RAS
Email: viatcheslav.azev@bibch.ru
Russia, 117997, Moscow, ul. Miklukho-Maklaya 16/10
References
- Müller Ch., Despras G., Lindhorst T.K. // Chem. Soc. Rev. 2016. V. 45. P. 3275–3302. https://doi.org/10.1039/C6CS00165C
- Korchagina E.Y., Henry S.M. // Biochemistry (Moscow). 2015. V. 80. P. 857–871. https://doi.org/10.1134/S0006297915070068
- Петракова Д.О., Савченко М.С., Попова И.С., Тузиков А.Б., Парамонов А.С., Чижов А.О., Бовин Н.В., Рыжов И.М. // Биоорг. химия. 2023. Т. 49. № 4. С. 422–433. https://doi.org/10.31857/S013234232304036X
- Le Quesne W.J., Young G.T. // J. Chem. Soc. 1952. P. 24–28. https://doi.org/10.1039/JR9520000024
- Lee R.T., Lin P., Lee Yu.C. // Biochemistry. 1984. V. 23. P. 4255–4261. https://doi.org/10.1021/bi00313a037
- Lee R.T., Lee Yu.C. // Bioconjug. Chem. 1997. V. 8. P. 762–765. https://doi.org/10.1021/bc9700796
- Benoiton N.L., Chen F.M.F., Steinauer R., Chouinard M. // Int. J. Peptide Protein Res. 1986. V. 27. P. 28–33. https://doi.org/10.1111/j.1399-3011.1986.tb02762.x
- Itoh M.I. // Chem. Pharm. Bull. 1969. V. 17. P. 1679–1686. https://doi.org/10.1248/cpb.17.1679
- Ledger R., Stewart F.H.C. // Aust. J. Chem. 1965. V. 18. P. 1477–1484. https://doi.org/10.1071/CH9651477
- Nefkens G.H.L., Zwanenburg B. // Tetrahedron. 1983. V. 39. P. 2995–2998. https://doi.org/10.1016/S0040-4020(01)92162-3
- Pumpor K., Windeisen E., Spengler J., Albericio F., Burger K. // Monatsh. Chem. 2004. V. 135. P. 1427–1443. https://doi.org/10.1007/s00706-004-0183-9
- Mehrotra A.P., Webster K.L., Gani D. // J. Chem. Soc. Perkin Trans. 1. 1997. P. 2495–2512. https://doi.org/10.1039/A702407J
- Sánchez A., Calderón E., Vazquez A. // Synthesis. 2013. V. 45. P. 1364–1372. https://doi.org/10.1055/s-0032-1316848
- Subirós-Funosas R., El-Faham A., Albericio F. // Tetrahedron. 2011. V. 45. P. 8595–8606. https://doi.org/10.1016/j.tet.2011.08.046
- Roeske R. // J. Org. Chem. 1963. V. 28. P. 1251–1253. https://doi.org/10.1021/jo01040a022
- Abell A.D., Edwards R.A., Oldham M.D. // J. Chem. Soc. Perkin Trans. 1. 1997. P. 1655–1662. https://doi.org/10.1039/A608165G
- Gregory H., Morley J.S., Smith J.M., Smithers M.J. // J. Chem. Soc. 1968. P. 715–725. https://doi.org/10.1039/J39680000715
- Isidro-Llobet A., Álvarez M., Albericio F. // Chem Rev. 2009. V. 109. P. 2455–2504. https://doi.org/10.1021/cr800323s
- Nefkens G.H.L., Nivard R.J.F. // Recl. Trav. Chim. Pays-Bas. 1965. V. 84. P. 1315–1318. https://doi.org/10.1002/recl.19650841013
- Sondheimer E., Semeraro R.J. // J. Org. Chem. 1961. V. 26. P. 1847–1849. https://doi.org/10.1021/jo01065a038
- Cosmatos A., Johnson S., Breier B., Katsoyannis P.G. // J. Chem. Soc. Perkin Trans. 1. 1975. P. 2157–2163. https://doi.org/10.1039/P19750002157
- Schoutissen H.A.J. // J. Am. Chem. Soc. 1933. V. 55. P. 4531–4534. https://doi.org/10.1021/ja01338a032
- Hodgson H.H., Mahadevan A.P., Ward E.R. // Org. Synth. 1948. V. 28. P. 52–54. https://doi.org/10.1002/0471264180.os028.21
- Moss R.A., Bracken K., Emge T.J. // J. Org. Chem. 1995. V. 60. P. 7739–7746. https://doi.org/10.1021/jo00129a012
- Anzeveno P.B., Creemer L.J., Daniel J.K., King C.H.R., Liu P.S. // J. Org. Chem. 1989. V. 54. P. 2539–2542. https://doi.org/10.1021/jo00272a015
- Hendrickson J.B., Kandall C. // Tetrahedron Lett. 1970. V. 11. P. 343–344. https://doi.org/10.1016/0040-4039(70)80079-X
- Suzuki K., Endo N.T. // Chem. Pharm. Bull. 1978. V. 26. P. 2269–2274. https://doi.org/10.1248/cpb.26.2269
- Neumann K., Farnung J., Baldauf S., Bode J.W. // Nature Commun. 2020. V. 11. P. 982. https://doi.org/10.1038/s41467-020-14755-6
- Adang A.E., Duindam A.J., Brussee J., Mulder G.J., Van Der Gen A. // Biochem. J. 1988. V. 255. P. 715. https://www.ncbi.nlm.nih.gov/pmc/articles/PMC1135284/
- Gleich A., Schmidtcher F.P., Scheuplein S.W., Kusche A., Brückner R., Harms K. // Chem. Ber. 1990. V. 123. P. 907–915. https://doi.org/10.1002/cber.19901230442
- Niggemann M., Ritter H. // Acta Polym. 1996. V. 47. P. 351–356. https://doi.org/10.1002/actp.1996.010470806
- Akbari A., Bigham A., Rahimkhoei V., Sharifi S., Jabbari A. // Polymers. 2022. V. 14. P. 1634. https://doi.org/10.3390/polym14091634
- Armarego W.L.F., Chai C. // Purification of Laboratory Chemicals, 6th ed. Oxford: Butterworth-Heinemann, 2012.
- Gmeiner P., Feldman P.L., Chu-Moyer M.Y., Rapoport H. // J. Org. Chem. 1990. V. 55. P. 3068–3074. https://doi.org/10.1021/jo00297a023
- Benassi R., Folli U., Schenetti L., Taddei F. // Adv. Het. Chem. 1987. V. 41. P. 75–186. https://doi.org/10.1016/S0065-2725(08)60161-0
Supplementary files








