Synthesis of 5,5′-Dinitro- and 5,5′-Diaminobis(cyclopenta[b]indoles) Bound at N4,N4′ Atoms with a Dioxoalkane Spacer
- Authors: Gataullin R.R.1, Складчиков Д.А.1
-
Affiliations:
- Ufa Institute of Chemistry of the Ufa Scientific Center of the Russian Academy of Sciences
- Issue: Vol 94, No 1 (2024)
- Pages: 68-79
- Section: Articles
- URL: https://bakhtiniada.ru/0044-460X/article/view/258226
- DOI: https://doi.org/10.31857/S0044460X24010057
- EDN: https://elibrary.ru/HLJNNM
- ID: 258226
Cite item
Full Text
Abstract
Upon condensation of 2 equiv. of 3R*,3aR*,8bS*-3-iodo-7-methyl-1,2,3,3а,4,8b-hexahydrocyclopenta[b]indole with 1 equiv. of glutaric or decanedicarboxylic acid dichloranhydride [N4,N4′-di-(3R*,3aR*,8bS*,3′R*,3a′R*,8b′S*)- and N4,N4′-di-(3aR*,3aR*,8bS*,3′S*,3a′S*,8b′R*)-3-iodo-7-methyl-1,2,3,3а,4,8b-hexahydrocyclopenta[b]indolyl]alkanediamides were synthesized. Their didehydrohalogenation to 3aR*,8bR*,3a′R*,8b′R*- and 3aS*,8bS*,3a′R*,8b′R*-1,3a,4,8b-tetrahydroanalogues was carried out by boiling these diiodides in piperidine. The presence of rotamerism in the products of dehydrohalogenation was shown, which is manifested by doubling the signals in the NMR spectra in different ratios. Nitration with trifluoroacetyl nitrate in CH2Cl2 yielded their 5,5′-dinitro analogs, which, when reacted with freshly prepared Fe(OH)2, along with 5,5′-diamino derivatives, also formed 5-amino-5′-nitro-substituted products of incomplete reduction. When a nitro group or an amino group appears at the C5 and C5′ carbon atoms of the cyclopenta[b]indole fragments, the doubling of the signals in the NMR spectra disappears. The interaction of a 5,5′-diamino derivative (n = 8) with decanedicarboxylic acid dichloride yielded a compound with 30 atoms in the macrocyclic ring.
Keywords
Full Text
ВВЕДЕНИЕ
Циклопента[b]индолы обладают свойствами, которые могут быть востребованы для использования в различных сферах научно-технической деятельности. Высокая устойчивость этого остова к разрушению под действием фотооблучения послужила одной из определяющих факторов при выборе их в качестве составной части молекул, обладающих фотохромными свойствами, которые могли бы найти применение в молекулярных переключателях [1–5]. Остов циклопента[b]индола обнаружен также в составе соединений природного происхождения. Можно упомянуть алкалоиды паксиллин, паспалин, паспалицин, паспалинин [6–11], а также некоторые биологически активные синтетические гетероциклы [12]. Фрагмент циклопента[b]индола присутствует также в структуре (+)-нодулиспоровой кислоты A [13] или индолосесквитерпенов – леканиндолов A–D [14]. Благодаря этому исследования в этой области остаются актуальными [15–20], интерес к которым значительно усиливает также обнаружение представителей с различными видами биологической активности [21–24]. Среди этих гетероциклов выявлены селективные антагонисты некоторых рецепторов [21, 24–26], эффективный ингибитор вируса гепатита С [27]. Как многообещающее средство в облегчении различных аллергических расстройств рассматривается 7-фтор-5-мезилзамещенное производное (циклопента[b]индол-3-ил)уксусной кислоты, синтез и изучение свойств которого достаточно длительное время привлекает внимание исследователей [28, 29]. Соединения с остовом циклопента[b]индола могут найти применение при получении различных производных, в связи с чем часто исследуются подходы к синтезу функционализированных гомологов [30–34].
В данной работе представлены результаты исследований по синтезу 3-иод-гексагидроциклопента[b]индолов, связанных между собой по атомам азота N4,N4′ цепью остатка алкандикарбоновой кислоты. Проведено последующее дегидрогалогенирование полученных соединений, нитрование по ароматическому кольцу продукта дегидроиодирования и восстановление до аминов. На основе полученных 5,5′-диаминопроизводных N4,N4′-(диоксоалкандиил)бис(циклопента[b]индолов можно было бы построить макрогетероциклические системы.
РЕЗУЛЬТАТЫ И ОБСУЖДЕНИЕ
Реакцией соединения 1 с дихлорангидридом декандикарбоновой или глутаровой кислоты синтезировали диамиды 2a, б. Факторы, такие как хиральный катализатор, оптически активный растворитель или другие, которые могли бы способствовать преимущественной конденсации только одинаковых энантиомеров индолина 1 или антиподов с этими дихлорангидридами в данном случае отсутствуют. В этой реакции с равной вероятностью карбонилтриметиленкарбонил- [O=C(CH2)3C=O] или карбонилоктаметиленкарбонильной [O=C(CH2)8C=O] цепью могут быть связаны как два разнодескрипторные 3R,3aR,8bS- и 3S,3aS,8bR-энантиомеры, так и два одинаковых 3S,3aS,8bR-энантиомера. Это приведет к диамидам (3R*,3aR*,8bS*,3′S*,3a′S*,8b′R*)-2a, б или (3S*,3aS*,8bR*,3′S*,3a′S*,8b′R*)-2a, б (схема 1).
Схема 1
Обычно в спектрах ЯМР смеси диастереомерных молекул при определенных условиях наблюдается двойной набор сигналов углеродных атомов и протонов. В случае диамидов 2 хиральные центры циклопента[b]индольных фрагментов располагаются друг от друга достаточно далеко. Самые близкие хиральные центры С3a и С3a′, принадлежащие двум циклопента[b]индольным фрагментам, разделяет состоящий из семи (n = 3, 2a) или двенадцати (n = 8, 2б) атомов метилендикарбамидный мостик N4C(O)(CH2)n(O)CN4′. Несомненно, несмотря на то, что цепь, связывающая эти центры, хотя достаточно длинная, незначительное взаимное влияние разнодескрипторных центров этих молекул на разброс химических сдвигов в спектрах ЯМР вполне возможно. То, что признаки диастереотопного эффекта в этих спектрах отсутствуют, вероятно, обусловлено близким значением этого Δδ с погрешностью спектрометра. Поэтому в спектрах ЯМР полученных соединений 2a и 2б углеродные атомы и протоны представлены только одним набором сигналов.
Кипячением 3,3′-дииодпроизводных 2a, б в пиперидине получены продукты дегидрогалогенирования 3a, б с хорошими выходами, в спектрах ЯМР которых присутствуют удвоенные сигналы. Но это удвоение не связано с обсужденным выше возможным диастереотопным эффектом; оно возникает по другой причине. В предыдущих наших исследованиях было показано, что в спектрах ЯМР N-ацетил-1,3а,4,8b-тетрагидро- [35], N-ацетил-7-(фенилэтинил)- [36], N-ацетил-7-бром- [36], N-ацетил-7-метил-1,3а,4,8b-тетрагидроциклопента[b]индола [37] или N-ацетил-7-метил-3,3а,4,8b-региоизомера [38] последнего наблюдается удвоение некоторых сигналов, причем соотношение интегралов удвоенных сигналов зависит от природы дейтерорастворителя. Как было установлено в этих исследованиях [35–38], удвоение сигналов происходит из-за того, что эти индолы могут существовать в двух равновесных состояниях (схема 2). Эти ротамеры в растворе достаточно устойчивы, вероятно, взаимопревращение происходит в течение определенного времени и поэтому в спектре ЯМР их смеси химические сдвиги одинаковых углеродных атомов и протонов минорного и преобладающего аналога зримо различаются. Возможность существования такой внутримолекулярной слабой координационной связи между протоном H5 ароматического кольца и атомом кислорода карбамидной группы инструментально нами была обнаружена при рентгеноструктурных исследованиях эпоксида, полученного окислением по Прилежаеву N-ацетил-7-метил-1,3а,4,8b-тетрагидроциклопента[b]индола [37] и подтверждена расчетами. Уменьшение электронной плотности при атоме водорода H5, например, увеличением электроноакцепторных свойств ароматического кольца, вероятно, способствует также и усилению водородной связи H5∙∙∙∙O=C−N. В N-ацетил-7-нитро-1,3а,4,8b-тетрагидроциклопента[b]индоле [36], приведенном на схеме 2, нитрогруппа обладает отрицательными –I и –M эффектами, что способствует повышению электроноакцепторного свойства ароматического ядра. В этом случае равновесие, по нашему мнению, практически полностью смещено в сторону циклопента[b]индола, который существует в виде единственного ротамера с устойчивой водородной связью между протоном H5 и карбамидным атомом кислорода. Поэтому в спектрах ЯМР этого индола [36] удвоения сигналов углеродных атомов и протонов нет. Сравнивая спектры ЯМР N-ацетил-7-нитропроизводного [36], в котором нитрогруппа проявляет –I и –M эффекты, и N-ацетил-7-бром-1,3а,4,8b-тетрагидроциклопента[b]индола [36], где атом брома проявляет –I и +M эффекты, можно предположить, что вклад отрицательного мезомерного эффекта является определяющим. Поскольку в случае 7-бромпроизводного, как было упомянуто выше, удвоение сигналов в спектрах ЯМР сохраняется [36].
Схема 2
Возможность образования этой водородной связи, и вместе с тем и существование двух равновесных состояний исчезает, когда при углеродном атоме С5 ароматического кольца появляется заместитель, иной, чем атом водорода. В спектрах ЯМР N-ацетил-5-нитро-7-метил- или N-ацетил-5-амино-7-метил-1,3а,4,8b- [39], а также N-ацетил-5-метил-1,3а,4,8b-тетрагидроциклопента[b]индола [40] удвоение сигналов протонов и углеродных атомов отсутствует.
В данном исследовании нами показано, что аналогичная тенденция к удвоению сигналов некоторых протонов в спектре ЯМР 1H соединений, в которых имеется остов N-ацил-7-метил-1,3а,4,8b-тетрагидроциклопента[b]индола, сохраняется и при удлинении алифатической цепи фрагмента алканкарбоновой кислоты, находящегося у атома азота. У полученных нами гетероциклов 3a, б при углеродных атомах С5 и С5′ заместителей нет и в их спектрах ЯМР 1Н, снятых в CDCl3, появляются удвоенные сигналы, среди которых наиболее отчетливо различаются пики протонов Н8b,8b′, Н3a,3a′, Н2,2′ и Н3,3′ тетрагидроциклопента[b]индольных фрагментов. Причем соотношение интенсивности этих удвоенных сигналов индолинового остова соединений 3a, б в дейтерохлороформе примерно такое же (рис. 1), что и в случае ранее полученного и обсужденного выше N-ацетильного аналога [37] (схема 2). В спектре ЯМР 13С удвоение сигналов также есть, разница в химических сдвигах Δδ углеродных атомов минорного и преобладающего ротамеров различаются от 0.15 до 3.0 м. д. Две карбамидных углеродных атома N–C=O, на которых ротамерия вроде бы должна была больше всего подействовать, тем не менее их химические сдвиги отличаются незначительно (Δδ = 0.15 м. д.).
Рис. 1. Область сигналов протонов Н8b, Н3a, Н2, Н3 и Н8b′, Н3a′, Н2′, Н3′ в спектре ЯМР 1H соединения 3a, снятого в CDCl3. Соотношение интегральных интенсивностей удвоенных сигналов составляет ≈ 3.7:1
Далее нами были проведены исследования по функционализации соединений 3a, б с целью использования полученных производных в качестве звеньев цепи макромолекулы. Такие большие циклы наряду с широким спектром биологической активности обладают также способностью к комплексообразованию, могут найти применение в промышленности и используются в различных исследованиях, благодаря чему находятся в центре пристального внимания исследователей [41–44].
Для получения функционализированного аминогруппой аналога соединения 3a, б нитровали смесью нитрата аммония и (F3CCO)2O в дихлорметане в мягких условиях до индолинов 4a, б (схема 3). Существование бисиндолов 3a, б в двух равновесных состояниях не оказывает влияния на направление реакции их нитрования.
Схема 3
При появлении нитрогруппы при ароматических углеродных атомах С5 и С5′ индолинов 4a, б ярко выраженное в случае их предшественников 3a, б удвоение сигналов исчезает. После нитрования, кроме исчезновения удвоения сигналов, наблюдается также трансформация сигнала протонов H8b,8b′, наблюдаемого в спектре ЯМР 1Н предшественников 3a, б в виде триплета, например, соединения 3a (рис. 1), в квартет в спектре соединения 4a (δ = 4.10 м. д.) (рис. 2). Для понимания этого мы попытались провести компьютерное 3D-моделирование структуры нитропроизводных 4a, б в редакторе ChemDraw. Последующая минимизация энергии и сравнение результатов с аналогичными данными предшественников 3a, б показывает, что изменение природы заместителя при атомах С5 и С5′ приводит к изменению значений двугранных углов H1AC1C8bH8b, H1BC1C8bH8b и H3aC3aC8bH8b. Учитывая то, что в подавляющем большинстве случаев в пятичленных циклических системах значения КССВ вицинальных протонов укладываются в экспериментальные интервалы кривой Карплуса–Конроя [45], вероятно, и в циклопента[b]индолах изменение двугранных углов также отражается и на мультиплетности некоторых сигналов. Моделирование структуры соединений 3a и 4a позволило также обнаружить значительную разницу в аксиальной стереохимии заместителей по оси атом азота N4–карбамидный атом углерода C1′′ или атом азота N4′–карбамидный атом углерода C5′′. Двугранные углы С4aN4C1′−O в предшественнике 3a и в продукте его нитрования 4a существенно различаются.
Рис. 2. Область сигналов протонов Н8b,8b′, Н3a,3a′, Н2 2′ и Н3,3′ в спектре ЯМР 1H соединения 4a, снятого в CDCl3
Восстановлением соединения 4б свежеприготовленным Fe(OH)2 получено 5,5′-диаминопроизводное 5 (схема 4). Спектральные характеристики полученного соединения, относящиеся к циклопента[b]индольным фрагментам этой молекулы (рис. 3), практически совпадают с сигналами ранее описанного N-ацетильного гомолога [39].
Схема 4
Рис. 3. Область сигналов протонов Н8b,8b′, Н3a,3a′, Н2 2′, Н3,3′ и 5,5′-NH2 в спектре ЯМР 1H соединения 5, снятого в CDCl3
Вероятно, низкий выход продукта восстановления обусловлен неполной конверсией исходного динитропроизводного 4б и значительными потерями при обработке реакционной смеси в результате высокой адсорбции диамина 5 на поверхности рыхлого осадка Fe(OH)3. Образование продукта неполного восстановления 5-нитро-5′-аминопроизводного 6 также не способствует повышению продуктивности реакции. Соединение 6 было выделено при хроматографировании на силикагеле в виде фракции, Rf которой отличалась от Rf исходного 4б и 5,5′-диаминопроизводного 5. В спектре ЯМР 1Н соединения 6 есть сигналы протонов циклопента[b]индольного фрагмента, относящиеся как исходному нитропроизводному 4б, так и диамину 5 в равных соотношениях. В масс-спектре высокого разрешения соединения 6 молекулярный ион [M]+ представлен с m/z 568.3042, что удовлетворяет моноизотопной массе предполагаемой нами структуры с брутто-формулой С34H40N4O4 (Mmi 568.3049 Дa).
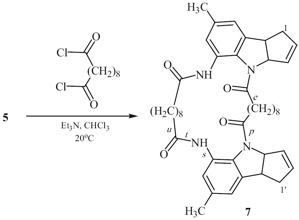
Перемешиванием cоединения 5 с дихлорангидридом себациновой кислоты получен макроцикл 7 (схема 5), в масс-спектре которого +молекулярный ион [M]+ представлен с m/z 704.4.
Схема 5
Хроматографированием на силикагеле этого макроцикла нами получены 4 фракции примерно в равных количествах, различающиеся по значению Rf, в масс-спектре всех фракций присутствует молекулярный ион с m/z 704.4. Результаты исследований по оптимизации условий синтеза и корректного установления структуры фракций будут доложены в следующей публикации.
ВЫВОДЫ
Таким образом, 3-иод-7-метил-1,2,3,3a,4,8b-гексагидроциклопента[b]индол является удобным стартовым соединением для синтеза его алкандиамида реакцией с дихлорангидридом алкандикарбоновой кислоты. Полученный алкандиамид легко подвергается дегидроиодированию при кипячении в пиперидине. Нитрование продукта дегидрогалогенирования трифторацетилнитратом проходит региоселективно по положениям С5 и С5′ ароматических колец обоих тетрагироциклопента[b]индольных фрагментов. При восстановлении нитрогрупп образуется С5-NH2 и С5′-NH2 замещенное производное этого алкандиамида.
ЭКСПЕРИМЕНТАЛЬНАЯ ЧАСТЬ
Спектры ЯМР 1Н и 13С сняты на приборе Bruker Avance III 500 с рабочими частотами 500.13 и 125.73 МГц. Внутренний стандарт – ТМС. Элементный анализ выполнен на приборе CHN Analyzer M-185B. Содержание галогена определяли колбовым методом Шенигера с последующим потенциометрическим титрованием. Масс-спектр получен на жидкостном хромато-масс-спектрометре LCMS-2010EV в режиме химической ионизации при атмосферном давлении или на спектрометре высокого разрешения Thermo Finnigan MaT 95 XP: температура ионизирующей камеры – 250°С, температура прямого ввода – 50–270°С, скорость нагрева – 10 град/мин, ионизирующее напряжение – 70 эВ. Для качественного анализа ТСХ использовали пластины Sorbfil марки ПТСХ-АФ-В-УФ (ЗАО Сорбполимер, Краснодар) с обнаружением веществ УФ облучением (l 254 нм) и иодом. Колоночную хроматографию осуществляли на силикагеле марки MN Kieselgel 60 (60–100 меш). Температуры плавления определяли на микростолике Boetius.
Общая методика получения (3R*,3aR*,8bS*,3′R*, 3a′R*,8b′S*)- и (3R*,3aR*,8bS*,3′S*,3a′S*,8b′R*)-изомеров 4,4′-(1,5-диоксопентан-1,5-диил)бис- и 4,4′-(1,10-диоксодекан-1,10-диил)бис(3-иод-7-метил-1,2,3,3a,4,8b-гексагидроциклопента[b]индол)ов 2a, б. К раствору 2 экв. (3R*,3aR*,8bS*)-индолина 1 [37] в 5 мл CHCl3 и 0.55 мл Et3N добавляли 1 экв. дихлорангидрида алкандикарбоновой кислоты при комнатной температуре. Реакционную смесь перемешивали. Через 18 ч добавляли H2O (10 мл) и 10%-ный раствор NaOH (10 мл), и после встряхивания добавляли 100 мл CHCl3. Органический слой отделяли, сушили Na2SO4, растворитель упаривали в вакууме. Хроматографированием сухого остатка на силикагеле (10 г, элюент – бензол) выделяли соединение 2.
4,4′-(1,5-Диоксопентан-1,5-диил)бис(3-иод-7-метил-1,2,3,3a,4,8b-гексагидроциклопента[b]индол) (2а) получали из 2.1 г (7 ммоль) индолина 1 и 0.59 г (3.5 ммоль) дихлорангидрида глутаровой кислоты. После хроматографической очистки выход 1.78 г (73%), Rf 0.42 (C6H6–EtOAc, 19:1), белые кристаллы, т. пл. 194–196°С. Спектр ЯМР 1Н (CDCl3), δ, м. д.: 1.51–1.67 м (6Н, CH2), 1.92–2.06 м (4H, CH2), 2.30 с (6H, CH3), 2.51–2.86 м (4H, CH2), 3.82–3.96 м (2H, H8b, H8b′), 4.40 уш. с (2H, H3, H3′), 5.10 д (2H, H3a, H3a′, J 7.5 Гц), 6.92 с (2H, H8, H8′), 6.96 д (2H, H5, H5′, J 8.2 Гц), 7.98 д (2Н, H6, H6′, J 8.2 Гц). Спектр ЯМР 13C (CDCl3), δC, м. д.: 21.01 (2CH3), 23.53 (C3′′), 27.44, 35.44, 35.61 (C1,1′, C2,2′, C2′′,4′′), 34.31 (C3,3′), 45.15 (C8b,8b′), 74.62 (C3a, 3a′), 116.11 (C5,5′), 124.47 (C6,6′), 128.66 (C8,8′), 133.15 (C8a,8a′), 133.58 (C7,7′), 140.81 (C4a,4a′), 168.43 (C1′′,5′′). Масс-спектр, m/z: 694.1 [M]+ (вычислено для C29H32I2N2O2: m/z 694.1). Найдено, %: С 50.07; H 4.55; I 35.99; N 3.88. С29H32I2N2O2. Вычислено, %: С 50.16; H 4.64; I 36.55; N 4.03.
4,4′-(1,10-Диоксодекан-1,10-диил)бис(3-иод-7-метил-1,2,3,3a,4,8b-гексагидроциклопента[b]индол) (2б) получали из 1.2 г (4 ммоль) индолина 1 и 0.48 г (2 ммоль) дихлорангидрида декандикарбоновой кислоты. Выход 1.1 г (72%), белый порошок, т. пл. 140–142°С. Спектр ЯМР 1Н (CDCl3), δ, м. д.: 1.39–2.05 м (20Н, СH2), 2.30 с (6Н, СН3), 2.51–2.62 м (4Н, СH2), 3.97 т (2Н, H8b, H8b′, J 8.5 Гц), 4.35 д (2Н, H3, H3′, J 5.2 Гц), 5.09 д (2Н, H3a, H3a′, J 8.5 Гц), 6.96 с (2Н, H8, H8′), 6.98 д (2Н, H5, H5′, J 8.2 Гц), 8.01 д (2Н, H6, H6′, J 8.2 Гц). Спектр ЯМР 13C, CDCl3, δ, м. д.: 20.91 (2CH3), 24.98 (C3′′,8′′), 29.17 (C4′′,7′′), 29.24 (C1,1′), 32.65 (C5′′,6′′), 34.57 (C3,3′), 35.60 (C2,2′), 35.62 (C2′′,9′′), 45.06 (C8b,8b′), 74.98 (C3a, 3a′), 116.06 (C5,5′), 124.42 (C6,6′), 128.43 (C8,8′), 133.29 (C8a,8a′), 133.79 (C7,7′), 140.63 (C4a,4a′), 171.67 (C1′′,10′′). Найдено, %: С 53.32; H 5.48; I 33.09; N 3.60. С34H42I2N2O2. Вычислено, %: С 53.41; H 5.54; I 33.20; N 3.66.
Общая методика получения (3aR*,8bS*, 3a′R*,8b′S*)- и (3aR*,8bS*,3a′S*,8b′R*)-изомеров 4,4′-(1,5-диоксоалкан-1,5-диил)- и 4,4′-(1,10-диоксоалкан-1,10-диил)бис(7-метил-1,3a,4,8b-тетрагидроциклопента[b]индол)ов 3а, б. Раствор соединения 2a, б в пиперидине нагревали при кипении 6 ч. Растворитель упаривали в вакууме, добавляли H2O (20 мл) и 100 мл CHCl3, встряхивали. Органический слой отделяли, промывали H2O (20 мл), сушили Na2SO4, растворитель упаривали в вакууме.
4,4′-(1,5-Диоксопентан-1,5-диил)бис(7-метил-1,3a,4,8b-тетрагидроциклопента[b]индол) (3а) получали кипячением 1.66 г (2.4 ммоль) диодида 2a в 15 мл пиперидина. Продукт элиминирования выделяли хроматографированием на колонке с силикагелем (элюент – C6H6−EtOAc, 9:1). Выход 1.04 г (99%), белый порошок, т. пл. 154–156°С (EtOH), Rf 0.35 (C6H6–EtOAc, 9:1). Спектр ЯМР 1H (CDCl3), δ, м. д.: 2.16–2.28 м (2Н, СH2), 2.31 с (6Н, СН3), 2.54–2.87 м (6Н, СH2, H1A, H1A′), 2.88–2.98 м (2Н, H1B, H1B′), 3.82−4.03 м (2Н, H8b, H8b′), 5.37–5.65 м (2Н, H3a, H3a′), 5.76–5.94 м (4Н, H2, H2′, H3, H3′), 6.93–7.06 м (4H, H5, H5′, H8, H8′), 8.05 д (2Н, H6, H6′, J 8.2 Гц). Спектр ЯМР 13C (CDCl3), δС, м. д.: 20.28 (2СH3), 23.72 (C3′′), 34.13 (C2′′,4′′), 39.67 (C1, C1′), 42.57 (C8b, C8b′), 70.71 (C3a,C3a′), 117.39, 128.71, 124.69, 124.82, 134.31 (C2,2′, C3,3′, C5,5′, C6,6′, C8,8′), 133.60, 135.84, 139.23 (C4a,4a′, C7,7′, C8b,8b′), 170.24 (2NC=O). Масс-спектр, m/z: 438.2 [M]+ (вычислено для C29H30N2O2: 438.2). Найдено, %: С 79.28; H 6.81; N 6.32. С29H30N2O2. Вычислено, %: С 79.42; H 6.89; N 6.39.
4,4′-(1,10-Диоксодекан-1,10-диил)бис(7-метил-1,3a,4,8b-тетрагидроциклопента[b]индол) (3б) получали кипячением 1.07 г (1.4 ммоль) соединения 2б в 12 мл пиперидина. Продукт элиминирования выделяли кристаллизацией сухого остатка из петролейного эфира. Выход 0.55 г (77%), белый порошок, т. пл. 143−147°С. Спектр ЯМР 1Н (CDCl3), δ, м. д.: 1.34−1.80 м (12Н, СH2), 2.30 с (6Н, СН3), 2.45−2.65 м (6Н, СH2, H1A, H1A′), 2.95 д.д. (2H, H1B, H1B′, J 7.9, J 16.5 Гц), 4.05 т (2Н, H8b, H8b′, J 8.0 Гц), 5.36 д (2Н, H3a, H3a′, J 8.0 Гц), 5.73–5.97 м (4Н, H2, H2′, H3, H3′), 6.97 с (2Н, H8, H8′), 7.00 д (2Н, H5, H5′, J 8.3 Гц), 8.09 д (2Н, H6, H6′, J 8.3 Гц). Спектр ЯМР 13C (CDCl3), δС, м. д.: 21.15 (CH3), 25.28, 28.14, 28.55 (C3′′,8′′, C4′′,7′′, C5′′,6′′), 35.86 (C2′′,9′′), 39.19 (C1, C1′), 43.88 (C8b, C8b′), 70.54 (C3a, C3a′), 117.46, 128.84, 124.38, 124.67, 134.34 (C2,2′, C3,3′, C5,5′, C6,6′, C8,8′), 133.62, 135.52, 139.45 (C4a,4a′, C7,7′, C8b,8b′), 168.88 (2NC=O). Масс-спектр, m/z: 508.3 [M]+ (вычислено для C34H40N2O2: 508.3). Найдено, %: С 80.18; H 7.87; N 5.43. С34H40N2O2. Вычислено, %: С 80.28; H 7.93; N 5.51.
Общая методика нитрования индолинов 3a, б. К раствору 2 экв. индолина 2a, б в 1 мл CH2Cl2 при –30°С добавляли трифторацетилнитрат, полученный перемешиванием 3 экв. NH4NO3 и 10 экв. трифторуксусного ангидрида в 2 мл CH2Cl2. Через 30 мин реакционную смесь выливали в лед (20 г) и экстрагировали 50 мл CH2Cl2. Органическую фазу промывали водой (10 мл), сушили Na2SO4. Растворитель упаривали в вакууме. Хроматографированием сухого остатка на силикагеле (10 г, элюент – бензол) выделяли соединение 4.
4,4′-(1,5-Диоксопентан-1,5-диил)бис(7-метил-5-нитро-1,3a,4,8b-тетрагидроциклопента[b]индол) (4a) получали из 0.613 г (1.4 ммоль) соединения 3a. Выход 0.57 г (77%), белый порошок, т. пл. 212–214°С, Rf 0.48 (С6Н6–EtOAc, 5:1). Спектр ЯМР 1Н (CDCl3), δ, м. д.: 2.22 м (2Н, СH2), 2.36 с и 2.37 с (6Н, СН3), 2.58 д (2Н, H1A,1A′, J 16.8 Гц), 2.64–2.80 м (4H, С2H2, С4H2), 2.98 д. д. к (2H, H1B,1B′, J 2.1, J 7.8, J 16.8 Гц), 4.10 к (2Н, H8b,8b′, J 7.8 Гц), 5.58 д. д (2Н, H3a,3a′, J 1.6, J 7.8 Гц), 5.86–6.04 м (4Н, H2,2′, H3,3′), 7.43 с (2Н, H8,8′), 7.46 с (2Н, H6,6′). Спектр ЯМР 1Н (ацетон-d6), δ, м. д.: 2.09 м (2Н, СH2), 2.41 с (6Н, СН3), 2.63 д (2Н, H1A,1A′, J 16.8 Гц), 2.66–2.83 м (4H, 2СH2), 3.02 д. д. к (2H, H1B,1B′, J 2.1, J 7.8, J 16.8 Гц), 4.21 к (2Н, H8b,8b′, J 7.8 Гц), 5.70 д. д. квинтетов (2Н, H3a,3a′, J 1.8, J 7.8 Гц), 5.94–6.07 м (4Н, H2,2′, H3,3′), 7.43 с (2Н, H8,8′), 7.46 с (2Н, H6,6′). Спектр ЯМР 13С (ацетон-d6), δС, м. д.: 20.65 (С3Н2), 21.04 (2СН3), 34.18 (С1,1′), 39.92 (С2, С4), 43.90 (С8b,8b′), 72.71 (С3а,3а′), 123.48 (С6,6′), 130.47, 130.66 (С2, С2′, С3′, С3′), 133.98 (С8,8′), 132.06 (С8a,8a′), 135.82 (С7,7′), 142.09, 142.77 (С4a,4a′, С5′,5′), 171.41 (N−С1=O, N−С5=O). Масс-спектр, m/z 528.2 [M]+ (вычислено для C29H28N4O6: 528.2). Найдено, %: С 65.80; H 5.22; N 10.49. С29H28N4O6. Вычислено, %: С 65.90; H 5.34; N 10.60.
4,4′-(1,10-Диоксодекан-1,10-диил)бис(7-метил-5-нитро-1,3a,4,8b-тетрагидроциклопента[b]индол) (4б) получали из 0.534 г (1.05 ммоль) соединения 3б. Выход 0.604 г (96%), белый порошок, т. пл. 97–99°С, Rf 0.35 (С6Н6–EtOAc, 9:1). Спектр ЯМР 1Н (CDCl3), δ, м. д.: 1.34–1.78 м (12Н, СH2), 2.36 с (6Н, СН3), 2.47–2.62 м (4Н, СH2, H1A, H1A′), 2.96–3.03 м (2H, H1B, H1B′), 4.09 к (2Н, H8b, H8b′, J 7.1 Гц), 5.48 д. д (2Н, H3a, H3a′, J 6.1, J 7.1 Гц), 5.86–5.89 м, 5.95–5.99 м (4Н, H2, H2′, H3, H3′), 7.21 с (2Н, H8, H8′), 7.47 с (2Н, H6, H6′). Спектр ЯМР 13C (CDCl3), δС, м. д.: 21.46 (2CH3), 25.19, 28.54, 28.75 (C3′′,8′′, C4′′,7′′, C5′′,6′′), 39.34 (C2′′,9′′), 39.41 (C1, C1′), 47.15 (C8b, C8b′), 68.47 (C3a, C3a′), 126.44, 130.97, 133.43, 137.19 (C2,2′, C3,3′, C6,6′, C8,8′), 128.54, 131.43, 137.64, 139.87 (C4a,4a′, C5,5′, C7,7′, C8b,8b′), 166.53 (2NC=O). Найдено, %: С 68.11; H 6.32; N 9.29. С34H38N4O6. Вычислено, %: С 68.21; H 6.40; N 9.36.
4,4′-(1,10-Диоксодекан-1,10-диил)бис(7-метил-1,3a,4,8b-тетрагидроциклопента[b]индол-5-амин) (5). Суспензию 0.6 г (1.0 ммоль) динитропроизводного 4б в 6 мл разбавленного аммиака (H2O–NH3, 20:1) смешивали с суспензией Fe(OH)2, приготовленной из 7.8 г (27 ммоль) FeSO4·7H2O и 3.6 мл конц. аммиака в 27 мл воды. Смесь доводили до кипения в течение 30 мин при энергичном перемешивании. После охлаждения образовавшийся осадок отфильтровывали и промывали водой и хлороформом. Водную фазу экстрагировали хлороформом, объединенные экстракты сушили Na2SO4. Растворитель упаривали в вакууме, остаток хроматографировали на колонке с силикагелем (элюент – C6H6, затем С6H6−EtOAc, 5:1). В первых фракциях получили 0.066 г (11%) непрореагировавшего исходного соединения 4б. Дальнейшим элюированием выделяли продукт неполного восстановления 6 (0.07 г, 12%). В следующих фракциях получали диамин 5 (0.19 г, 36%), белые кристаллы, т. пл. 249–251°С (бензол). Спектр ЯМР 1Н (CDCl3), δ, м. д.: 1.32–1.80 м (12Н, СH2), 2.23 с (6Н, СН3), 2.53–2.66 м (6Н, СH2, H1А, H1А′), 2.83–2.89 м (2H, H1B,1B′), 3.96 т (2Н, H8b,8b′, J 7.5 Гц), 4.68 уш. с (4H, 2NH2), 5.33 д (2Н, H3a,3a′, J 7.3 Гц), 5.71–5.74 м, 5.87–5.90 м (4Н, H2,2′, H3,3′), 6.39 с (2Н, H8,8′), 6.42 с (2Н, H6,6′). Спектр ЯМР 13C (CDCl3), δС, м. д.: 21.74 (2CH3), 25.32, 28.75, 28.86 (C3′′,8′′, C4′′,7′′, C5′′,6′′), 36.36 (C2′′,9′′), 39.45 (C1, C1′), 49.51 (C8b, C8b′), 69.97 (C3a, C3a′), 120.45, 124.17, 131.47, 133.19 (C2,2′, C3,3′, C6,6′, C8,8′), 131.14, 131.63, 137.66, 146.87 (C4a,4a′, C5,5′, C7,7′, C8b,8b′), 168.77 (2NC=O). Масс-спектр, m/z: 538.3 [M]+ (вычислено для С34H42N4O2: 538.3). Найдено, %: С 75.69; H 7.79; N 10.33. С34H42N4O2. Вычислено, %: С 75.80; H 7.86; N 10.40.
Смесь (3aS*,8bS*)-7-метил-4-{10-[(3aS*,8bS*)-, (3aR*,8bR*)-7-метил-4-{10-[(3aS*,8bS*)- и (3aS*, 8bS*)-7-метил-4-{10-[(3aR*,8bR*)-7-метил-5-нитро-3a,8b-дигидроциклопента[b]индол-4(1H)-ил]-10-оксодеканоил}-1,3a,4,8b-тетрагидроциклопента[b]индол-5-аминов (6). Выход 0.07 г (12%), аморфное вещество, т. пл. 60–74°С, Rf 0.37 (С6Н6–EtOAc, 5:1). Спектр ЯМР 1Н (CDCl3), δ, м. д.: 1.32–1.80 м (12Н, СH2), 2.22 с (3Н, СН3), 2.35 с (3Н, СН3), 2.51–2.66 м (6Н, СH2, H1А, H1А′), 2.83–2.89 м (1H, H1B), 2.95–3.02 м (1H, H1B′), 3.96 т (1Н, H8b, J 7.0 Гц), 4.08 т (1Н, H8b′, J 7.0 Гц), 4.70 уш. с (2H, NH2), 5.33 д. д (1Н, H3a, J 1.1, J 7.0 Гц), 5.47 д. д (1Н, H3a′, J 1.1, J 7.0 Гц), 5.70–5.73 м (1Н, H2), 5.82–5.89 м (2Н, H3, H2′), 5.95–5.98 м (1Н, H3′), 6.39 с (1Н, H8), 6.42 с (1Н, H6), 7.21 с (1Н, H8′), 7.48 с (1Н, H6′). Спектр ЯМР 13C (CDCl3), δС, м. д.: 20.80, 21.02 (2CH3), 25.06, 25.64 (C3′′,8′′), 29.14, 29.22, 29.25, 29.32 (C4′′, C5′′, C6′′, C7′′), 35.31, 35.92 (C2′′, C9′′), 39.04, 39.41 (C1, C1′), 42.97, 43.03 (C8b, C8b′), 71.48, 71.85 (C3a, C3a′), 114.64, 117.54 (C6, C8), 123.31, 129.23 (C6′, C8′), 128.74, 129.53, 133.82, 134.03 (C2, C3, C2′, C3′), 125.37, 131.08, 134.99, 136.48, 137.35, 139.43, 140.86, 141.02 (C4a, C4a′, C5, C5′, C6, C6′, C8a, C8a′), 170.79, 171.31 (C1′′,10′′). Масс-спектр, m/z: 568.3042 [M]+ (вычислено для C34H40N4O4: 568.3050). Найдено, %: С 71.70; H 7.01; N 9.79. С34H40N4O4. Вычислено, %: С 71.81; H 7.09; N 9.85.
Бис(7-метил-1,3a,4,8b-тетрагидроциклопента[b]индоло[4,5-b,c][4′,5′-q,r]-1,4,15,18-тетраазациклооктакоза-5,14,19,28-тетрон (7). К перемешиваемому раствору 0.08 г (0.14 ммоль) соединения 5 в 1 мл диоксана и 0.04 мл триэтиламина приливали 0.03 мл (0.14 ммоль) дихлорангидрида декандикарбоновой кислоты при 0°С. Через 18 ч добавляли H2O (2 мл) и 10%-ный раствор NaOH (1 мл), продукт реакции экстрагировали CHCl3 (50 мл). Органический слой промывали водой (10 мл), сушили Na2SO4. Растворитель упаривали в вакууме. Получали 0.08 г (76%) сырого вещества 7 в виде сероватого порошка, т. пл. >300°С (C6H6). Спектр ЯМР 1Н (CDCl3), δ, м. д.: 1.25–1.95 м (28Н, СH2), 2.30 с (6Н, CН3), 2.32–2.66 м и 2.84–2.94 м (8Н, СH2, H1A,1A′, H1B,1B′), 3.96–4.06 м (2Н, H8b,8b′), 4.65 м (2Н, H3a,3a′), 5.82–5.89 м и 6.06–6.09 м (4Н, H2,2′, H3,3′), 6.75 с (2Н, H8,8′), 7.62 с (2Н, H6,6′), 9.99 уш. с (2H, 2NH). Спектр ЯМР 13C (CDCl3), δС, м. д.: 21.05 (2CH3), 25.58, 25.59, 29.13, 29.22, 29.33, 29.42 (12CH2), 36.00 (C1,1′), 38.23 [2CH2С(O)N], 39.32 [2CH2С(O)NH], 49.07 (C8b,8b′), 72.00 (C3a,3a′), 120.88 (C6,6′), 123.71 (C8,8′), 128.37, 134.78 (C2,2′, C3,3′), 127.74, 128.36, 129.12, 136.46, 138.99 (C8a,8a′, C7,7′, C4a,4a′, C5,5′), 171.50, 172.02 (2O=C−N, 2HN−C=O). Масс-спектр, m/z: 704.4 [M]+. Найдено, %: С 74.88; H 7.95; N 7.90. С44H56N4O4. Вычислено, %: С 74.97; H 8.01; N 7.95. Этот остаток хроматографировали на силикагеле (элюент СНCl3–CH3OH, 100:1÷100:5). Получали 4 фракции, различающиеся по значению Rf, в масс-спектре всех фракций присутствовал молекулярный ион с m/z 704.4. Выходы во фракциях от 0.010 до 0.015 г.
ФИНАНСОВАЯ ПОДДЕРЖКА
Работа выполнена в соответствии с планами научно-исследовательских работ Института органической химии Уфимского научного центра РАН по теме «Направленные синтезы азот-, кислород- и серусодержащих гетероциклических систем с заданными свойствами» (№ регистрации 01201152190) и программы государственного задания «Новые подходы и усовершенствование известных стратегий направленного синтеза поли-, би- и моноциклических N,N-, N,O-, S,O-содержащих гетероциклов с выявлением их биологической, антикоррозионной активностей и разработкой технологии практической реализации полученных соединений с соответствующими свойствами» (номер регистрации темы в ЕГИСУ 122031400274-4).
КОНФЛИКТ ИНТЕРЕСОВ
Авторы заявляют об отсутствии конфликта интересов.
About the authors
R. R. Gataullin
Ufa Institute of Chemistry of the Ufa Scientific Center of the Russian Academy of Sciences
Author for correspondence.
Email: gataullin@anrb.ru
ORCID iD: 0000-0003-3269-2729
Russian Federation, Ufa
Д. А. Складчиков
Ufa Institute of Chemistry of the Ufa Scientific Center of the Russian Academy of Sciences
Email: gataullin@anrb.ru
Russian Federation, Ufa
References
- Horiuchi T., Miura H., Uchida S. // Chem. Commun. 2003. N 24. P. 3036. doi: 10.1039/b307819a
- Dentani T., Kubota Y., Funabiki K., Jin J., Yoshida T., Minoura H., Miura H., Matsui M. // New J. Chem. 2009. Vol. 33. N 1. P. 93. doi: 10.1039/B808959K
- Higashijima S., Miura H., Fujita T., Kubota Y., Funabiki K., Yoshida T., Matsui M. // Tetrahedron. 2011. Vol. 67. N 34. P. 6289. doi: 10.1016/j.tet.2011.06.016
- Akhtaruzzaman Md., Seya Y., Asao N., Islam A., Kwon E., El-Shafei A., Hanc L., Yamamoto Y. // J. Mater. Chem. 2012. Vol. 22. N 21. P. 10771. doi: 10.1039/C2JM30978E
- Qu S., Qin C., Islam A., Hua J., Chen H., Tian H., Han L. // Chem. Asian J. 2012. Vol. 7. N 12. P. 2895. doi: 10.1002/asia.201200648
- Springer J.P., Clardy J., Wells J.M., Cole R.J., Kirksey J.W. // Tetrahedron Lett. 1975. Vol 16. N 30. P. 2531. doi: 10.1016/S0040-4039(00)75170-7
- Clark S.J., Myatt J., Wilson C., Roberts L., Walshe N. // Chem. Commun. 2003. N 13. P. 1546. doi: 10.1039/B302105J
- Fehr Th., Acklin W. // Helv. Chim. Acta. 1966. Vol. 49. N 6. P. 1907. doi: 10.1002/hlca.19660490626
- Nozawa K., Yuyama M., Nakajima S., Kawai K. // J. Chem. Soc. Perkin Trans I. 1988. N 8. P. 2155. doi: 10.1039/P19880002155
- Gallagher R.T., Finer J., Clardy J., Leutwiler A., Weibel F., Acklin W., Arigoni D. // Tetrahedron Lett. 1980. Vol. 21. N 3. P. 235. doi: 10.1016/S0040-4039(00)71177
- Smith A.B., Kingery-Wood J., Leenay T.L., Nolen E.G., Sunazuka T. // J. Am. Chem. Soc. 1992. Vol. 114. N 4. P. 1438. doi: 10.1021/ja00030a046
- Третьякова Е.В., Флехтер О.Б., Галин Ф.З., Спирихин Л.В., Толстиков Г.А. // ХПС. 2002. № 3. C. 206; Tret’yakova E.V., Flekhter O.B., Galin F.Z., Spirikhin L.V., Tolstikov G.A. // Chem. Natural Compd. 2002. Vol. 38. N 3. P. 246. doi: 10.1023/A:1020427926979
- Singh S.B., Ondeyka J.G., Jayasuriya H., Zink D.L., Ha S.N., Dahl-Roshak A., Greene J., Kim J.A., Smith M.M., Shoop W., Tkacz J.S. // J. Nat. Prod. 2004. Vol. 67. N 9. P. 1496. doi: 10.1021/np0498455
- Roll D.M., Barbieri L.R., Bigelis R., McDonald L.A., Arias D.A., Chang L.P., Singh M.P., Luckman S.W., Berrodin T.J., Yudt M.R. // J. Nat. Prod. 2009. Vol. 72. N 11. P. 1944. doi: 10.1021/np9004882
- Лихачева Н.А., Корлюков А.А., Гатауллин P.P. // ЖОрХ. 2009. Т. 45. № 3. C. 406; Likhacheva N.A., Korlyukov A.A., Gataullin R.R. // Russ. J. Org. Chem. 2009. Vol. 45. N 3. 394. doi: 10.1134/S1070428009030075
- Гатауллин Р.Р. // Изв. вузов. Сер. хим. и хим. технол. 2023. Т. 66. № 2. С. 6. doi: 10.6060/ivkkt.20236602.6720
- Гатауллин Р.Р. // ЖОрХ. 2009. Т. 45. № 3. С. 335; Gataullin R.R. // Russ. J. Org. Chem. 2009. Vol. 45. N 3. P. 321. doi: 10.1134/S1070428009030014
- Гатауллин Р.Р. // ЖОрХ. 2013. Т. 49. № 2. С. 165; Gataullin R.R. // Russ. J. Org. Chem. 2013. Vol. 49. N 2. P. 151. doi: 10.1134/S1070428013020012
- Гатауллин Р.Р. // ЖОрХ. 2016. Т. 52. № 9. С. 1239; Gataullin R.R. // Russ. J. Org. Chem. 2016. Vol. 52. N 9. P. 1227. doi: 10.1134/S1070428016090013
- Haak E. // Synlett. 2019. Vol. 30. N 3. P. 245. doi: 10.1055/s-0037-1610336
- Sturino C.F., O’Neill G., Lachance M., Boyd M., Berthelette C., Labelle M., Li L., Roy В., Scheigetz J., Tsou N., Aubin Y., Bateman K.P., Chauret N., Day S.H., Levesque J.F., Seto C., Silva J.H., Trimble L.A., Carriere M.C., Denis D., Greig G., Kargman S., Lamontagne S., Mathieu M.C., Sawyer N., Slipetz D., Abraham W.M., Jones Т., McAuliffe M., Piechuta H., Nicoll-Griffith D.A., Wang Z., Zamboni R., Young R.N., Metters K.M. // J. Med. Chem. 2007. Vol. 50. N 4. P. 794. doi: 10.1021/jm0603668
- Ratni H., Blum-Kaelin D., Dehmlow H., Hartman P., Jablonski P., Masciadri R., Maugeais C., Patiny-Adam A., Panday N., Wright M. // Bioorg. Med. Chem. Lett. 2009. Vol. 19. N 6. P. 1654. doi: 10.1016/j.bmcl.2009.01.109
- Gudmundsson K.S., Sebahar P.R., Richardson L.D.’A., Catalano J.G., Boggs S.D., Spaltenstein A., Sethna P.B., Brown K.W., Harvey R., Romines K.R. // Bioorg. Med. Chem. Lett. 2009. Vol. 19. N 13. P. 3489. doi: 10.1016/j.bmcl.2009.05.003
- Han B., Xiao Y.-C., Yao Y., Chen Y.-C. // Angew. Chem. Int. Ed. 2010. Vol. 49. N 52. P. 10189. doi: 10.1002/anie.201005296
- Lanter J.C., Fiordeliso J.J., Alford V.C., Zhang X., Wells K.M., Russell R.K., Allan F., Lai M.-T., Linton O., Lundeen S., Sui Z. // Bioorg. Med. Chem. Lett. 2007. Vol. 17. N 9. P. 2545. doi: 10.1016/j.bmcl.2007.02.014
- Li L., Beaulieu C., Carriere M.-C., Denis D., Greig G., Guay D., O’Neill G., Zamboni R., Wang Z. // Bioorg. Med. Chem. Lett. 2010. Vol. 20. N 24. P. 7462. doi: 10.1016/j.bmcl.2010.10.018
- Mittapalli G.K., Jackson A., Zhao F., Lee H., Chow S., McKelvy J., Wong-Staal F., Macdonald J.E. // Bioorg. Med. Chem. Lett. 2011. Vol. 21. N 22. P. 6852. doi: 10.1016/j.bmcl.2011.09.019
- Campos K.R., Journet M., Lee S., Grabowski E.J.J., Tillyer R.D. // J. Org. Chem. 2005. Vol. 70. No 1. P. 268. doi: 10.1021/jo048305+
- Jiang Q., Yang T., Li Q., Liang G.-M., Liu Y., He C.-Y., Chu W.-D., Liu Q.-Z. // Org. Lett. 2023. Vol. 25. N 18. P. 3184. doi: 10.1021/acs.orglett.3c00192
- Abozeid M.A., Sairenji S., Takizawa S., Fujita M., Sasai H. // Chem. Commun. 2017. Vol. 53. N 51. P. 6887. doi: 10.1039/c7cc03199h
- Schiffner A., Machotta A.B., Oestreich M.A. // Synlett. 2008. N 15. P. 2271. doi: 10.1055/s-2008-1078271
- Vivekanand T., Satpathi B., Bankara S.K., Ramasastry S.S.V. // RSC Adv. 2018. Vol. 8. N 33. P. 18576. doi: 10.1039/C8RA03480J
- Kandukuri S.R., Jiao L.-Y., Machotta A.B., Oestreich M. // Adv. Synth. Catal. 2014. Vol. 356. N 7. P. 1597. doi: 10.1002/adsc.201301108
- Kotha S., Gunta R. // J. Org. Chem. 2017. Vol. 82. N 16. P. 8527. doi: 10.1021/acs.joc.7b01299
- Гатауллин Р.Р., Лихачева Н.А., Супоницкий К.Ю., Абдрахманов И.Б. // ЖОрХ. 2007. Т. 43. № 9. С. 1316; Gataullin R.R., Likhacheva N.A., Suponitskii K.Yu., Abdrakhmanov I.B. // Russ. J. Org. Chem. 2007. Vol. 43. N 9. P. 1310. doi: 10.1134/S1070428007090096
- Складчиков Д.А., Фатыхов А.А., Гатауллин Р.Р. // ЖОрХ. 2014. Т. 50. № 1. С. 55; Skladchikov D.A., Fatykhov A.A., Gataullin R.R. // Russ. J. Org. Chem. 2014. Vol. 50. N 1. P. 48. doi: 10.1134/s1070428014010096
- Складчиков Д.А., Супоницкий К.Ю., Абдрахманов И.Б., Гатауллин Р.Р. // ЖОрХ. 2012. Т. 48. № 7. С. 962; Skladchikov D.A., Suponitskii K.Yu., Abdrakhmanov I.B., Gataullin R.R. // Russ. J. Org. Chem. 2012. Vol. 48. N 7. P. 957. doi: 10.1134/S1070428012070123
- Складчиков Д.А., Буранбаева Р.С., Фатыхов А.А., Иванов С.П., Гатуллин Р.Р. // ЖОрХ. 2012. Т. 48. № 12. С. 1579; Skladchikov D.A., Buranbaeva R.S., Fatykhov A.A., Ivanov S.P., Gataullin R.R. // Russ. J. Org. Chem. 2012. Vol. 48. N 12. P. 1550. doi: 10.1134/S1070428012120093
- Гатауллин Р.Р., Складчиков Д.А., Фатыхов А.А. // ЖОрХ. 2013. Т. 49. № 2. С. 280; Gataullin R.R., Skladchikov D.A., Fatykhov A.A. // Russ. J. Org. Chem. 2013. Vol. 49. N 1. P. 272. doi: 10.1134/S1070428013020152
- Хуснитдинов Р.Н., Гатауллин Р.Р. // ХГС. 2015. Т. 51. № 9. С. 814; Khusnitdinov R.N., Gataullin R.R. // Chem. Heterocycl. Compd. 2015. Vol. 51. N 9. P. 814. doi: 10.1007/s10593-015-1780-8
- Ишмуратов Г.Ю., Яковлева М.П., Шутова М.А., Муслухов Р.Р., Толстиков А.Г. // Макрогетероциклы. 2014. Т. 7. № 4. С. 391; Ishmuratov G.Yu., Yakovleva M.P., Shutova M.A., Muslukhov R.R., Tolstikov A.G. // Macroheterocycles. 2014. Vol. 7. N 4. P. 391. doi: 10.6060/mhc140598y
- Кувшинова Е.М., Горнухина О.В., Семейкин А.С., Вершинина И.А., Сырбу С.А. // Изв. вузов. Сер. хим. и хим. технол. 2020. Т. 63. № 9. С. 49. doi: 10.6060/ivkkt.20206309.6218
- Kataev V.E., Khaybullin R.N., Strobykina I.Yu. // Rev. J. Chem. 2011. Vol. 1. N 2. P. 93. doi: 10.1134/S2079978011010043
- Петров О.А., Садовская И.Н. // Изв. вузов. Сер. хим. и хим. технол. 2017. Т. 60. № 3. С. 36. doi: 10.6060/tcct.2017603.5543
- Gunther H. NMR Spectroscopy − An Introduction. New York: John Wiley & Sons, 1980.
Supplementary files










