Координационные соединения иттрия(III) с карбамидом и диметилацетамидом: состав, строение, термическое разложение
- Авторы: Беттельс Е.К.1, Полухин М.С.1, Караваев И.А.1, Савинкина Е.В.1, Бузанов Г.А.2, Кубасов А.С.2, Ретивов В.М.3
-
Учреждения:
- МИРЭА – Российский технологический университет
- Институт общей и неорганической химии им. Н.С. Курнакова РАН
- Национальный исследовательский центр “Курчатовский институт”
- Выпуск: Том 69, № 10 (2024)
- Страницы: 1413-1423
- Раздел: КООРДИНАЦИОННЫЕ СОЕДИНЕНИЯ
- URL: https://bakhtiniada.ru/0044-457X/article/view/281865
- DOI: https://doi.org/10.31857/S0044457X24100072
- EDN: https://elibrary.ru/JIRCCM
- ID: 281865
Цитировать
Полный текст
Аннотация
Синтезированы координационные соединения иттрия(III) с карбамидом (Ur) и N,N-диметилацетамидом (DMAA) состава [Y(H2O)(Ur)2(NO3)3], [Y(Ur)3(NO3)3] и [Y(DMAA)3(NO3)3]. С помощью физико-химических методов анализа (элементный анализ, ИК-спектроскопия, РФА, РСА, термогравиметрический анализ, дифференциальная сканирующая калориметрия) определен их состав и установлены особенности строения, изучены процессы термолиза в широком интервале температур. Показано, что выделенные координационные соединения могут быть использованы для синтеза наноразмерного оксида иттрия(III).
Полный текст
ВВЕДЕНИЕ
Получение оксида иттрия(III) Y2O3, а также его смешанных оксидов с другими редкоземельными и переходными элементами в наноразмерном виде играет важную роль для химической технологии, поскольку их можно использовать при изготовлении материалов для твердооксидных топливных элементов. Одним из современных и перспективных электролитов является ZrO2, стабилизированный наноразмерным Y2O3, обладающий повышенной ионной проводимостью [1–3]. Наночастицы Y2O3 также находят применение в качестве компонентов катализаторов для органического синтеза [4, 5], реакций получения водорода [6] и синтеза аммиака [7]. Так, в работе [5] была показана возможность использования наноразмерного Y2O3, модифицированного наноразмерным CeO2, в качестве катализатора синтеза N-фенилформамида из муравьиной кислоты и анилина; конверсия и выход продукта составили ~70%. В работе [6] наноразмерный Y2O3 c нанесенным на него наноразмерным Ni был использован в качестве катализатора в реакции разложения аммиака, обеспечив 100%-ную конверсию. Кроме того, образцы, полученные нанесением наноразмерного Y2O3 вместе с различными Ln3+ (Ln = Eu, Tb, Tm [8], Pr [9], Yb [10]) на стекло, кварц и алюмосиликатные керамические пластины, были применены в качестве люминофоров. В работе [11] показано влияние добавки Y2O3 на характеристики керамики на основе SnO2. Данная керамика показывает малые токи утечки. Кроме того, добавление Y2O3 способствует понижению электропроводности и повышению нелинейности вольт-амперных характеристик. Оксид иттрия(III) Y2O3 находит также широкое применение для изготовления биомедицинских материалов, например в качестве прогностического маркера для выявления различных заболеваний [12], и обладает антибактериальной и противоопухолевой активностью [13–16].
Одним из перспективных методов получения оксидов в наноразмерном состоянии, наряду с золь-гель технологией [17], гидротермальным [18, 19] и другими методами, является метод самораспространяющегося высокотемпературного синтеза в модификации “горения раствора” (solution combustion synthesis, SCS) [20, 21]. Особенностью данного метода является возможность образования соединения, в котором наблюдается одновременное присутствие как окислителя, так и восстановителя (топлива), что служит предпосылкой для протекания внутримолекулярной экзотермической окислительно-восстановительной реакции. Роль окислителя зачастую выполняют нитраты металлов [22–25], а роль восстановителя играют различные органические вещества, такие как глицин, гидроксикислоты, амиды (например, N,N-диметилформамид) [22, 25–27].
Перспективными восстановителями являются N,N-диметилацетамид (DMAA) и карбамид (мочевина, Ur), характеризующиеся высокими значениями энтальпии сгорания: ΔH°298 = –2598.04 и –632.20 кДж/моль соответственно [28]. В литературе описано несколько соединений иттрия(III) с карбамидом и нитрат-анионами. В соединении состава [Y(H2O)(Ur)4(NO3)2](NO3) [23] центральный атом иттрия координирует четыре монодентатные молекулы карбамида, одну молекулу H2O и два нитрат-иона, которые выполняют роль бидентатно-хелатирующих лигандов; координационное число (КЧ) равно 9, тип координационного полиэдра – трехшапочная тригональная призма. В соединении [Y(Ur)4(NO3)2](NO3) [29] центральный атом иттрия координирует четыре монодентатные молекулы карбамида и два бидентатно-хелатирующих нитрат-иона; КЧ = 8, координационный полиэдр представляет собой двухшапочную тригональную призму. Следует отметить, что при изучении системы Y(NO3)3–Ur–H2O было обнаружено также соединение состава Y(NO3)3 · 3Ur, однако оно не было структурно охарактеризовано [30]. Комплексы иттрия(III) с диметилацетамидом и нитрат-анионами не описаны.
Цель настоящей работы – определение оптимальных условий синтеза и выделения структурно не охарактеризованных ранее координационных соединений иттрия(III) с карбамидом и N,N-диметилацетамидом, идентификация полученных соединений и изучение их термического поведения.
ЭКСПЕРИМЕНТАЛЬНАЯ ЧАСТЬ
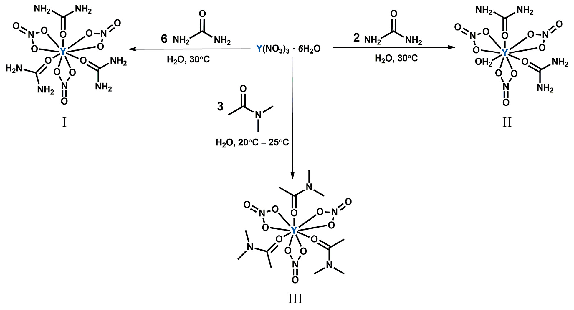
Синтез координационных соединений осуществляли путем взаимодействия Y(NO3)3 · 6H2O (х. ч., РЕАХИМ, Россия) с карбамидом (СH4N2O, 99.8%) или N,N-диметилацетамидом (C4H9NO, 99.8%) в различных мольных соотношениях; для гомогенизации полученных смесей добавляли минимальное количество дистиллированной воды.
Трис(нитрато-O,O)бис(карбамид-О)акваиттрий [Y(H2O)(Ur)2(NO3)3] (I) получали смешиванием навесок гексагидрата нитрата иттрия(III) (1.00 г, 2.6 ммоль) с карбамидом (0.31 г, 5.2 ммоль) и 1 мл дистиллированной воды. Выделение целевого продукта I проводили путем изотермического выпаривания растворителя при температуре 30°C. Выделившиеся кристаллы отделяли от маточного раствора вакуумным фильтрованием и высушивали над NaOH. Выход составил 0.68 г (57%). Элементный анализ:
Вычислено для C2H10N7O12Y (413), %: C 5.81; H 2.44; N 23.72.
Найдено, %: C 5.89; H 2.35; N 23.93.
Трис(нитрато-O,O)трис(карбамид-О)иттрий [Y(Ur)3(NO3)3] (II) получали смешиванием навесок гексагидрата нитрата иттрия(III) (1.00 г, 2.6 ммоль) с карбамидом (0.47 г, 7.8 ммоль) и 1 мл дистиллированной воды. Выделение целевого продукта II осуществляли изотермическим выпариванием растворителя при температуре 30°C. Выделившиеся кристаллы отделяли от маточного раствора вакуумным фильтрованием и высушивали над NaOH. Выход составил 0.70 г (59%). Элементный анализ:
Вычислено для C3H12N9O12Y (455), %: C 7.91; H 2.66; N 27.68.
Найдено, %: C 7.97; H 3.08; N 27.83.
Трис(нитрато-О,О)трис(N,N-диметилацетамид-O)иттрий [Y(DMAA)3(NO3)3] (III) получали смешиванием навесок гексагидрата нитрата иттрия(III) (3.77 г, 9.8 ммоль) с N,N-диметилацетамидом (2.56 г, 29.4 ммоль) и 5 мл дистиллированной воды. Формирование кристаллов III происходило при комнатной температуре. Выделившиеся кристаллы отделяли от маточного раствора вакуумным фильтрованием и высушивали на воздухе. Формирование кристаллов [Y(DMAA)3(NO3)3] (III) происходило при комнатной температуре. Выход составил 2.45 г (47 %). Элементный анализ:
Вычислено для C12H27N6O12Y, %: C 26.85; H 5.08; N 15.66.
Найдено, %: C 27.10; H 5.14; N 15.78.
Содержание C, H и N в полученных соединениях определяли на приборе CHNS Flash EA 1112 (Thermo Finnigan, Италия).
Инфракрасные спектры поглощения записывали на ИК-Фурье-спектрометре ФСМ 2201 ООО “Инфраспек” в области 4000–500 см–1. Образцы для исследования прессовали с бромидом калия (KBr). Температура съемки составляла 25°С. Ошибка измерения частот максимумов поглощения составляла не более 3–4 см–1.
Фазовую чистоту выделенных соединений оценивали с помощью рентгенофазового анализа (РФА). Регистрацию порошковых дифрактограмм проводили на рентгеновском дифрактометре Bruker D8 Advance (Bruker, Германия) (CuKα-излучение, Ni-фильтр, детектор LYNXEYE, 40 кВ, 40 мА, диапазон углов θ = 5°–60°, кювета со вставкой из ориентированного монокристалла Si, шаг 0.01125°, время накопления 0.3 с).
Набор дифракционных отражений для кристаллов I–III получен на автоматическом дифрактометре Bruker SMART APEX2 (λMoKα, графитовый монохроматор, ω–ϕ-сканирование). Данные были проиндексированы и интегрированы с помощью программы SAINT [31]. Применяли поправку на поглощение, основанную на измерениях эквивалентных отражений (SADABS) [32]. Структуры расшифрованы прямым методом с последующим расчетом разностных синтезов Фурье. Все неводородные атомы уточнены в анизотропном приближении. Все атомы водорода NH- и CH2-групп уточнены по модели “наездника” с тепловыми параметрами Uизо = 1.2Uэкв (Uизо) соответствующего неводородного атома (1.5Uизо для СН3-групп).
Все расчеты выполнены с использованием программы SHELXTL [33]. Структура расшифрована и уточнена с помощью программного комплекса OLEX2 [34].
Кристаллографические данные депонированы в Кембриджском банке структурных данных (CCDC № 2345301–2345303).
Комплексный термический анализ проводили на приборах Q500 и Q100 (Intertech, США). Для проведения термогравиметрического анализа (ТГА) и дифференциальной сканирующей калориметрии (ДСК) образцы готовили по стандартной методике. Все измерения проводили в атмосфере воздуха (100 мл/мин), линейная скорость нагрева и охлаждения составляла 10 град/мин, погрешность измерения 0.01–0.02°C.
РЕЗУЛЬТАТЫ И ОБСУЖДЕНИЕ
В результате взаимодействия нитрата иттрия(III) с карбамидом или N,N-диметилацетамидом выделены и охарактеризованы следующие координационные соединения: [Y(H2O)(Ur)2(NO3)3] (I), [Y(Ur)3(NO3)3] (II) и [Y(DMAA)3(NO3)3] (III). Наряду с описанным ранее инконгруэнтно растворимым соединением с мольным отношением иттрий : карбамид = 1 : 3 получено новое соединение с отношением иттрий : карбамид = 1 : 2, которое не было обнаружено при изучении системы Y(NO3)2–Ur–H2O [30], по-видимому, из-за очень узкой области кристаллизации.
Схема 1. Схема синтеза комплексных соединений I, II и III.
Содержащие одновременно донорные атомы кислорода и азота органические лиганды могут координироваться через атом кислорода карбонильной группы или атом азота аминогруппы. Характер координации амидных лигандов и ионов NO3– в выделенных комплексах дополнительно подтвержден методом ИК-спектроскопии (табл. 1, рис. S1).
Таблица 1. Частоты поглощения основных колебаний в ИК-спектрах комплексов I–III, см–1
Соединение | ν(NO) | νas(NO3) | νs(NO3) | π(NO3) | δas(NO3) | ν(NH2) | ν(CO) |
Y(NO3)3 · 6H2O | 1554 | 1476 | 1039 | 830 | 671 | – | – |
Ur | – | – | – | – | – | 3268, 3333, 3436 | 1675 |
DMAA | – | – | – | – | – | 3552 | 1650 |
I | 1586 | 1483, 1329 | 1037 | 821 | 582, 749 | 3336 | 1649 |
II | 1583 | 1481, 1326 | 1033 | 824 | 579, 775 | 3466 | 1647 |
III | 1517 | 1421, 1322 | 972, 1034 | 817 | 600, 746 | 3442 | 1630 |
Смещение полосы валентных колебаний связи C=O (полоса амид I) в область низких частот (1649 и 1647 см–1) в комплексах I и II относительно свободной мочевины (1675 см–1) и в комплексе III (1630 см–1) относительно свободного диметилацетамида (1650 см–1) говорит об ослаблении связи CO, что обусловлено образованием координационной связи лигандов с металлом через донорный атом кислорода [35]. В ИК-спектрах наблюдаются полосы поглощения ν2аs(NO3–) 1483–1421 см–1, ν1as(NO3–) 1329–1322 см–1, νs(NO2) 1037–972 см–1, π(NO3) 824–817 см–1 и δas(NO3) 775–579 см–1, характерные для нитрат-ионов, выполняющих роль бидентатно-хелатирующих лигандов. Полосы поглощения некоординированных (свободных) нитрат-ионов в ИК-спектрах отсутствуют. Широкие полосы валентных колебаний ν(NH2) + ν(H2O) в области 3600−3200 см−1 говорят о наличии развитой системы водородных связей в выделенных соединениях.
Методом РФА подтверждено образование новых соединений в системах Y(NO3)3–L–H2O, где L = Ur, DMAA; на дифрактограммах выделенных образцов отсутствуют рефлексы исходных кристаллических веществ. Экспериментальные дифрактограммы находятся в хорошем согласии с теоретическими, рассчитанными по данным рентгеноструктурного анализа монокристалла (рис. 1), что говорит об однофазности выделенных веществ. Кроме того, дифрактограммы соединений с L = Ur отличаются от таковых для известных соединений [Y(H2O)(Ur)4(NO3)2](NO3) и [Y(Ur)4(NO3)2](NO3) [23, 29].
Рис. 1. Дифрактограммы прекурсоров и выделенных комплексов: 1 – Ur, 2 – Y(NO3)3 · 6H2O, 3 – III (эксп.), 4 – III (теор.), 5 – I (эксп.), 6 – I (теор.), 7 – II (эксп.), 8 – II (теор.).
Кристаллическая и молекулярная структура соединений I (рис. 2а), II (рис. 2б) и III (рис. 2в) определена методом рентгеноструктурного анализа. Основные кристаллографические данные, параметры эксперимента и характеристики уточнения структуры приведены в табл. 2.
Рис. 2. Молекулярные структуры комплексов I (a), II (б), III (в).
Таблица 2. Основные кристаллографические характеристики комплексов
Параметр | I | II | III |
Молекулярная формула | C2H10N7O12Y | C3H12N9O12Y | C12H27N6O12Y |
M, г/моль | 473.15 | 455.14 | 536.29 |
Сингония | Моноклинная | Моноклинная | Орторомбическая |
Пр. гр. | P21/c | P21/n | Pbca |
a, Å | 12.0102(15) | 9.7076(2) | 16.7244(10) |
b, Å | 8.8837(13) | 15.8056(3) | 17.0941(10) |
c, Å | 13.775(3) | 10.0702(3) | 31.9345(18) |
β, град | 114.334(9) | 96.1410(10) | 90 |
V, Å3 | 1339.15 | 1536.25 | 9129.71 |
Z | 2 | 4 | 16 |
Т, K | 150 | 150 | 296 |
Излучение (λ, нм) | MoKα (0.71073) | MoKα (0.71073) | MoKα (0.71073) |
Размер кристалла, мм3 | 0.2 × 0.1 × 0.06 | 0.3 × 0.2 × 0.15 | 0.2 × 0.12 × 0.02 |
ρрасч, г/см3 | 2.054 | 1.968 | 1.561 |
μ, мм–1 | 4.485 | 3.882 | 2.622 |
θmin–θmaх, град | 3.72–68.8 | 4.81–66.6 | 3.52–52.1 |
Tmin /Tmax | 0.471/0.777 | 0.389/0.594 | 0.622/0.949 |
F(000) | 813.5 | 912 | 4416 |
Число измеренных отражений | 8050 | 22412 | 50398 |
Число независимых отражений | 4512 [Rint = 0.0295] | 5927 [Rint = 0.0376] | 9016 [Rint = 0.0709] |
Отражений с I > 2σ(I) | 3334 | 4707 | 6469 |
Число параметров | 207 | 226 | 619 |
GOF по F2 | 1.028 | 1.017 | 1.028 |
R1, wR2 по N0 | 0.0373, 0.0680 | 0.0285, 0.0606 | 0.0432, 0.0750 |
R1, wR2 по N | 0.0642, 0.0747 | 0.0451, 0.0650 | 0.0757, 0.0848 |
∆ρmax/∆ρmin, е/Å3 | 0.93/–0.85 | 0.39/–0.56 | 0.50/–0.55 |
Комплекс I кристаллизуется в моноклинной сингонии (пр. гр. P21/с). Центральный ион Y3+ связан с одной молекулой воды, двумя молекулами мочевины и тремя нитрат-ионами. Обе молекулы мочевины и молекула воды играют роль монодентатных лигандов, три иона NO3– являются бидентатно-хелатирующими лигандами. КЧ атома иттрия равно 9; координационный полиэдр можно описать как одношапочную квадратную антипризму (одношапочный томпсоновский куб), основание “шапки” которого формируют четыре атома кислорода: два принадлежат молекулам карбамида, один – молекуле воды и еще один – нитратной группе. Второй атом кислорода группы NO3– лежит в вершине этой пирамиды. Во внутренней сфере комплекса I наиболее короткие связи с комплексообразователем образуют молекулы карбамида (2.213 и 2.269 Å), более длинную – молекула воды (2.350 Å), а самые длинные связи наблюдаются для нитратных групп (табл. S1). Значения угла YOC (142° и 151°) говорят о наличии как ковалентного (идеальный угол 120°), так и ионного (идеальный угол 180°) характера взаимодействия между комплексообразователем и органическим лигандом [36, 37]. Величины торсионных углов (табл. S1) указывают на то, что обе молекулы амидного лиганда при координации теряют свою планарность (отклонение от 180° составляет 25.21° и 61.18° соответственно), координированные нитратные группы также имеют некоторое отклонение от планарной геометрии (2.07°, 7.67° и 8.75°).
Комплекс II кристаллизуется в моноклинной сингонии (пр. гр. P21/n). По сравнению с I, в составе комплексного соединения II координированная молекула воды замещена дополнительной молекулой органического лиганда; таким образом, центральный атом координирует три монодентатные молекулы карбамида и три бидентатно-хелатирующих нитрат-иона. КЧ атома иттрия сохраняется равным 9, координационный полиэдр также можно описать как искаженную одношапочную квадратную антипризму (одношапочный томпсоновский куб). Четырехугольное основание “шапки” формируют три атома кислорода амидного лиганда (Ur) и один атом кислорода нитратной группы. Второй атом кислорода группы NO3– формирует вершину этой искаженной пирамиды. Анализ данных длин связей говорит о более прочном взаимодействии всех трех молекул карбамида с центральным ионом Y3+ (2.238, 2.274 и 2.305 Å) по сравнению с координированными нитратными группами (табл. S1). По величинам торсионных углов можно сказать, что одна молекула амидного лиганда имеет практически плоское строение (отклонение от 180° составляет 4.4°), а две другие имеют большее отклонение от планарности, но не такое сильное, как в комплексе I; координированные нитратные группы также имеют незначительные отклонения от планарной геометрии (табл. S1).
Комплекс III также имеет молекулярное строение и кристаллизуется в ромбической сингонии (пр. гр. Pbca). В элементарной ячейке III присутствуют два независимых молекулярных комплекса. С центральным ионом Y3+ связаны три молекулы DMAA и три нитрат-иона. Стоит отметить, что молекулы амида играют роль монодентатных лигандов и координируются к центральному иону через донорные атомы кислорода. Нитрат-ионы показывают бидентатно-хелатирующий характер координации. Координационное число центрального атома иттрия равно 9. Основания координационного полиэдра одного комплекса представлены выпуклыми четырехугольниками, сформированными четырьмя атомами кислорода (O16, O17, O22, O23) двух нитратных групп (нижнее основание многогранника), а также тремя атомами кислорода карбонильной группы молекул DMAA (O13, O14, O15) и одним атомом кислорода (O21) нитратной группы (верхнее основание). Второй атом кислорода нитратной группы (O21) лежит в вершине “шапки”. Таким образом, охарактеризованный полиэдр – одношапочная тетрагональная антипризма. Схожая картина наблюдается и для второго комплекса. Значения длин связей, валентных и торсионных углов представлены в табл. S1. Расположение, близкое к планарному, демонстрируют две нитратные группы в первом молекулярном комплексе, о чем свидетельствуют значения торсионных углов (отклонение от планарности 1.32° и 1.88°). Незначительное отклонение от планарной геометрии наблюдается также для одной из нитратных групп второго молекулярного комплекса (отклонение 0.63°). Молекулы N,N-диметилацетамида имеют значительное отклонение от планарной геометрии, о чем свидетельствуют значения соответствующих торсионных углов (табл. S1).
Сравнение длин связей (табл. S1) показывает, что в комплексах более прочно связаны с металлом-комплексообразователем атомы кислорода амидных лигандов. Анализ значений валентных углов показывает, что в одном молекулярном комплексе связи металла-комплексообразователя с амидным лигандом носят существенно ионный характер, так как значения валентных углов Y2OC > 140° (табл. S1), а в другом комплексе наблюдается различный характер связывания с центральным атомом: одна из координированных молекул N,N-диметилацетамида демонстрирует преимущественно ионный характер связывания, а для двух других наблюдается высокая доля ковалентной составляющей, что подтверждается значениями валентных углов YOC, представленных в табл. S1.
Термическое поведение комплексов I–III на воздухе было изучено методами ТГА и ДСК. Показано, что соединения разлагаются в несколько стадий (рис. 3). Результаты термического разложения комплексов I–III приведены в табл. 3.
Рис. 3. Термограммы комплексов I (а) и III (б) на воздухе; 1 – кривая потери массы, 2 – дифференциальная кривая.
Таблица 3. Результаты термического анализа комплексов
Комплекс | Эндоэффекты, °C | Экзоэффекты, °C | Интервал протекания SCS, °C | Температура образования Y2O3, °C |
I | 129, 250,475 | 310 | 270–470 | 540 |
II | 128, 270, 467 | 329 | 270–470 | 560 |
III | 149 | 286, 394 | 220–430 | 600 |
При разложении карбамидных комплексов в диапазоне температур 105–185°C наблюдается незначительный эндоэффект, который можно отнести к плавлению исследуемого образца. Потеря массы, сопровождающая данное превращение, относится к удалению как адсорбированной, так и координационной воды. При дальнейшем нагревании в интервале температур 186–350°С последовательно наблюдаются незначительный эндотермический эффект (188–300°С) и выраженный экзотермический эффект (300–350°С), которые можно отнести к конденсации двух молекул карбамида в биурет и его последующему окислению нитрат-ионами [38]. Данный факт находится в хорошем согласии с результатами ИК-спектроскопии. Так, в образцах, полученных при отжиге комплекса I до температуры 300°С, обнаружены полосы, подтверждающие образование амида аллофановой кислоты (биурета). В ИК-спектрах образцов, отожженных до 400°С, наблюдается формирование фазы основного нитрата иттрия(III) (ν(N=O) 1484 см–1, νas(ONO) 1382 см–1, νs(NO2) 1025 см–1), что находится в согласии со значением потери массы. В интервале температур 450–490°С наблюдается незначительный эндотермический эффект, соответствующий разложению YO(NO3) до оксида иттрия(III).
Образование Y2O3 подтверждено методом РФА образцов, полученных при отжиге комплексов I и II при 600°С (рис. 4).
Рис. 4. Дифракционные картины препаратов Y2O3, полученных при отжиге комплексов III (1), I (2), II (3) на воздухе.
Для III эндоэффект с максимумом при 149°C соответствует плавлению комплекса; следующий за ним выраженный экзоэффект (220–330°C) отвечает внутримолекулярной окислительно-восстановительной реакции, которая, по-видимому, протекает с образованием комплекса β-лактама с нитратом иттрия(III), о чем свидетельствуют кривые потери массы (рис. 3) и наличие интенсивной полосы поглощения при 1740 см–1 в ИК-спектре продукта отжига при 315°C (рис. S2). Экзоэффект с максимумом при 394°C обусловлен, вероятно, разложением комплекса β-лактама до основных солей иттрия(III), а последующий эндоэффект при 593°C соответствует их разложению с образованием Y2O3 (рис. 4).
Значения средних размеров кристаллитов рассчитаны с помощью уравнения Шеррера. Для оксидов, полученных из комплексов I, II и III, они составляют 10, 23 и 12 нм соответственно.
ЗАКЛЮЧЕНИЕ
При взаимодействии нитрата иттрия(III) c карбамидом и N,N-диметилацетамидом получены координационные соединения состава [Y(H2O)(Ur)2(NO3)3] (I), [Y(Ur)3(NO3)3] (II) и [Y(DMAA)3(NO3)3] (III). Выделенные комплексы имеют молекулярное строение. Следует отметить, что в структуре III в элементарной ячейке находятся два независимых молекулярных комплекса. Координационное число иттрия во всех случаях равно 9.
В зависимости от лиганда наблюдаются различия в термическом поведении охарактеризованных комплексов. При использовании N,N-диметилацетамида в качестве лиганда наблюдаются более низкие температуры протекания SCS (220–430°C), что обусловлено значительным содержанием углерода в молекуле DMAA. Формирование оксидной фазы во всех случаях завершается при температуре ~600°C, дифракционные пики Y2O3 находятся в хорошем согласии с дифракционными пиками Y2O3 из базы данных. Выполнена оценка средних размеров кристаллитов с помощью уравнения Шеррера, результаты которой говорят о наноразмерности полученного Y2O3. Таким образом, показана возможность использования комплексов I–III в качестве прекурсоров для получения оксида Y2O3 в наноразмерном виде.
ДОПОЛНИТЕЛЬНАЯ ИНФОРМАЦИЯ
Онлайн-версия содержит дополнительные материалы, доступные по адресу: https://doi.org/10.31857/S0044457X24100061
БЛАГОДАРНОСТЬ
Химический анализ выполнен с использованием оборудования ЦКП РТУ МИРЭА при поддержке Минобрнауки России, рентгеноструктурный и рентгенофазовый анализ – на оборудовании ЦКП ФМИ ИОНХ РАН, функционирующего при поддержке государственного задания ИОНХ РАН в области фундаментальных научных исследований. Термический анализ выполнен с помощью оборудования Центра совместного использования средств НИЦ Курчатовского института “Исследовательский центр–ИРЕА”.
ФИНАНСИРОВАНИЕ РАБОТЫ
Настоящая работа финансировалась за счет средств бюджета РТУ МИРЭА, ИОНХ РАН, НИЦ “Курчатовский институт”. Никаких дополнительных грантов на проведение или руководство данным исследованием получено не было.
КОНФЛИКТ ИНТЕРЕСОВ
Авторы заявляют, что у них отсутствует конфликт интересов.
Об авторах
Е. К. Беттельс
МИРЭА – Российский технологический университет
Email: savinkina@mirea.ru
Россия, пр-т Вернадского, 86, Москва, 119571
М. С. Полухин
МИРЭА – Российский технологический университет
Email: savinkina@mirea.ru
Россия, пр-т Вернадского, 86, Москва, 119571
И. А. Караваев
МИРЭА – Российский технологический университет
Email: savinkina@mirea.ru
Россия, пр-т Вернадского, 86, Москва, 119571
Е. В. Савинкина
МИРЭА – Российский технологический университет
Автор, ответственный за переписку.
Email: savinkina@mirea.ru
Россия, пр-т Вернадского, 86, Москва, 119571
Г. А. Бузанов
Институт общей и неорганической химии им. Н.С. Курнакова РАН
Email: savinkina@mirea.ru
Россия, Ленинский пр-т, 31, Москва, 119991
А. С. Кубасов
Институт общей и неорганической химии им. Н.С. Курнакова РАН
Email: savinkina@mirea.ru
Россия, Ленинский пр-т, 31, Москва, 119991
В. М. Ретивов
Национальный исследовательский центр “Курчатовский институт”
Email: savinkina@mirea.ru
Россия, пл. Академика Курчатова, 1, Москва, 123182
Список литературы
- Hao S.J., Wang C., Liu Т. L. et al. // Int. J. Hydrogen. Energy. 2017. V. 42. P. 29949. https://doi.org/10.1016/j.ijhydene.2017.08.143
- Cho G.Y., Yu W., Lee Y.H. et al. // Int. J. Precis. Eng. Manuf.-Green Technol. 2020. V. 7. P. 423. https://doi.org/10.1007/s40684-019-00082-9
- Сарин В.А., Буш А.А. // Тонкие химические технологии. 2021. Т. 16. № 2. С. 55.
- Pan C., Huang B.H., Fan C. et al. // Rare Metals. 2020. V. 40. P. 1785. https://doi.org/10.1007/s12598-020-01475-5
- Gao W., Wen D., Ho I.C., Qu Y. // Mater. Today Chem. 2019. V. 12. P. 266. https://doi.org/10.1016/j.mtchem.2019.02.002
- Zhang R., Tu Z.A., Meng S. et al. // Rare Metals. 2023. V. 42. P. 176. https://doi.org/10.1007/s12598-022-02136-5
- Shimoda N., Kimura Y., Kobayashi Y. et al. // Int. J. Hydrogen. Energy. 2017. V. 42. P. 29745. https://doi.org/10.1016/j.ijhydene.2017.10.108
- Hao J., Studenikin S.A., Cocivera M. // J. Lumin. 2001. V. 93. P. 313. https://doi.org/10.1016/S0022-2313(01)00207-1
- Diego-Rucabado A., Segura A., Aguado F. et al. // J. Lumin. 2022. V. 252. P. 119378. https://doi.org/10.1016/j.jlumin.2022.119378
- Hasabeldaim E., Swart H.C., Kroon R.E. // Phys. B: Condens. Matter. 2023. V. 671. P. 415417. https://doi.org/10.1016/j.physb.2023.415417
- Bernard-Granger G., Guizard C., San-Miguel L. // J.Am. Ceram. Soc. 2007. V. 90. № 9. P. 2698. https://doi.org/10.1111/j.1551-2916.2007.01759.x
- Saratale R.G., Karuppusamy I., Saratale G.D. et al. // Colloids Surf., B. 2018. V. 180. P. 20. https://doi.org/10.1016/j.colsurfb.2018.05.045
- Rajakumar G., Mao L., Bao T. et al. // Appl. Sci. 2021. V. 11. № 5. P. 2172. https://doi.org/10.3390/app11052172
- Kannan S.K., Sundrarajan M. // Bull. Mater. Sci. 2015. V. 38. P. 945. https://doi.org/10.1007/s12034-015-0927-7
- Nagajyothi P.C., Pandurangan M., Veerappan M. et al. // Mater. Lett. 2018. V. 216. P. 58. https://doi.org/10.1016/j.matlet.2017.12.081
- Mariano-Torres J.A., Lopez-Marure A., Garcia-Hernandez M. et al. // Mater. Trans. 2018. V. 59. № 12. P. 1915. https://doi.org/10.2320/matertrans.M2018248
- Gaponov A.V. // Phys. B: Condens. Matter. 2022. V. 639. P. 414010. https://doi.org/10.1016/j.physb.2022.414010
- Li N., Yanagisawa K. // J. Solid State Chem. 2008. V. 181. № 8. P. 1738. https://doi.org/10.1016/j.jssc.2008.03.031
- Abdulghani A.J., Al-Ogedy W.M. // Iraqi J. Sci. 2015. V. 56. № 2. P. 1572.
- Levashov E.A., Mukasyan A.S., Rogachev A.S., Shtansky D.V. // Int. Mater. Rev. 2017. V. 62. № 4. P. 203. https://doi.org/10.1080/09506608.2016.1243291
- Gizowska M., Piatek M., Perkowski K. et al. // Nanomater. 2020. V. 10. № 5. P. 831. https://doi.org/10.3390/nano10050831
- Chen K., Peng J., Srinivasakannan C. et al. // J. Alloys Compd. 2018. V. 742. P. 13. https://doi.org/10.1016/j.jallcom.2018.01.258
- Savinkina E.V., Karavaev I.A., Grigoriev M.S. et al. // Inorg. Chim. Acta. 2022. V. 532. P. 120759. https://doi.org/10.1016/j.ica.2021.120759
- Savinkina E.V., Karavaev I.A., Grigoriev M.S. // Polyhedron. 2020. V. 192. P. 114875. https://doi.org/10.1016/j.poly.2020.114875
- Караваев И.А., Савинкина Е.В., Григорьев М.С. и др. // Журн. неорган. химии. 2020. Т. 67. № 8. С. 1080.
- Петричко М.И., Караваев И.А., Савинкина Е.В. и др. // Журн. неорган. химии. 2023. Т. 68. № 4. С. 482.
- Mangalaja R.V., Mouzon J., Hedstrom P. et al. // Powder Technol. 2009. V. 191. № 3. P. 309. https://doi.org/10.1016/j.powtec.2008.10.019
- Ryskaliyeva A.K., Baltbayev M.E., Zhubatova A.M. // Acta. Chim. Slov. 2018. V. 65. P. 127. https://doi.org/10.17344/acsi.2017.3683
- Koslowski N., Hoffmann R.C., Trouillet V. et al. // RSC Adv. 2019. V. 9. P. 31386. https://doi.org/10.1039/C9RA05348D
- Худайбергенова Н., Сулайманкулов К. // Журн. неорган. химии. 1981. Т. 26. С. 1156.
- Bruker, SAINT, Bruker AXS Inc., Madison, WI, 2018.
- Krause L., Herbst-Irmer R., Sheldrick G.M., Stalke D. // J. Appl. Crystallogr. 2015. V. 48. № 1. P. 3. https://doi.org/10.1107/S1600576714022985
- Sheldrick G.M. // Acta Crystallogr., Sect. C: Struct. Chem. 2015. V. 71. P. 3. https://doi.org/10.1107/S2053229614024218
- Dolomanov O.V., Bourhis L.J., Gildea R.J. et al. // J. Appl. Crystallogr. 2009. V. 42. P. 339 https://doi.org/10.1107/S0021889808042726
- Накамото К. // ИК-спектры и спектры КР неорганических и координационных соединений. М.: Мир, 1991.
- Hay B.P., Hancock R.D. // Coord. Chem. Rev. 2001. V. 21. № 1. P. 61. https://doi.org/10.1016/S0010-8545(00)00366-0
- Hay B.P., Clement O., Sandrone G., Dixon D.A. // Inorg. Chem. 1998. V. 37. № 22. P. 5887. https://doi.org/10.1021/ic980641j
- Schaber P.M., Colson J., Higgins S. et al. // Thermochim. Acta. 2004. V. 424. P. 131. https://doi.org/10.1016/j.tca.2004.05.018
Дополнительные файлы








