Синтез металлоорганического каркаса UiO-66 в СВЧ-полях на основе отходов полиэтилентерефталата для адсорбционного удаления пищевого красителя тартразина из водных растворов
- Авторы: Вергун В.В.1, Веденяпина М.Д.1, Кулайшин С.А.1, Чернышев В.В.2,3, Ткаченко О.П.1, Ниссенбаум В.Д.1, Исаева В.И.1
-
Учреждения:
- Институт органической химии им. Н. Д. Зелинского РАН
- Институт физической химии и электрохимии им. A. Н. Фрумкина РАН
- Московский государственный университет им. М. В. Ломоносова
- Выпуск: Том 99, № 1 (2025)
- Страницы: 97-106
- Раздел: ФИЗИЧЕСКАЯ ХИМИЯ РАСТВОРОВ
- Статья получена: 17.04.2025
- Статья одобрена: 17.04.2025
- Статья опубликована: 17.04.2025
- URL: https://bakhtiniada.ru/0044-4537/article/view/288137
- DOI: https://doi.org/10.31857/S0044453725010099
- EDN: https://elibrary.ru/EIIWJW
- ID: 288137
Цитировать
Аннотация
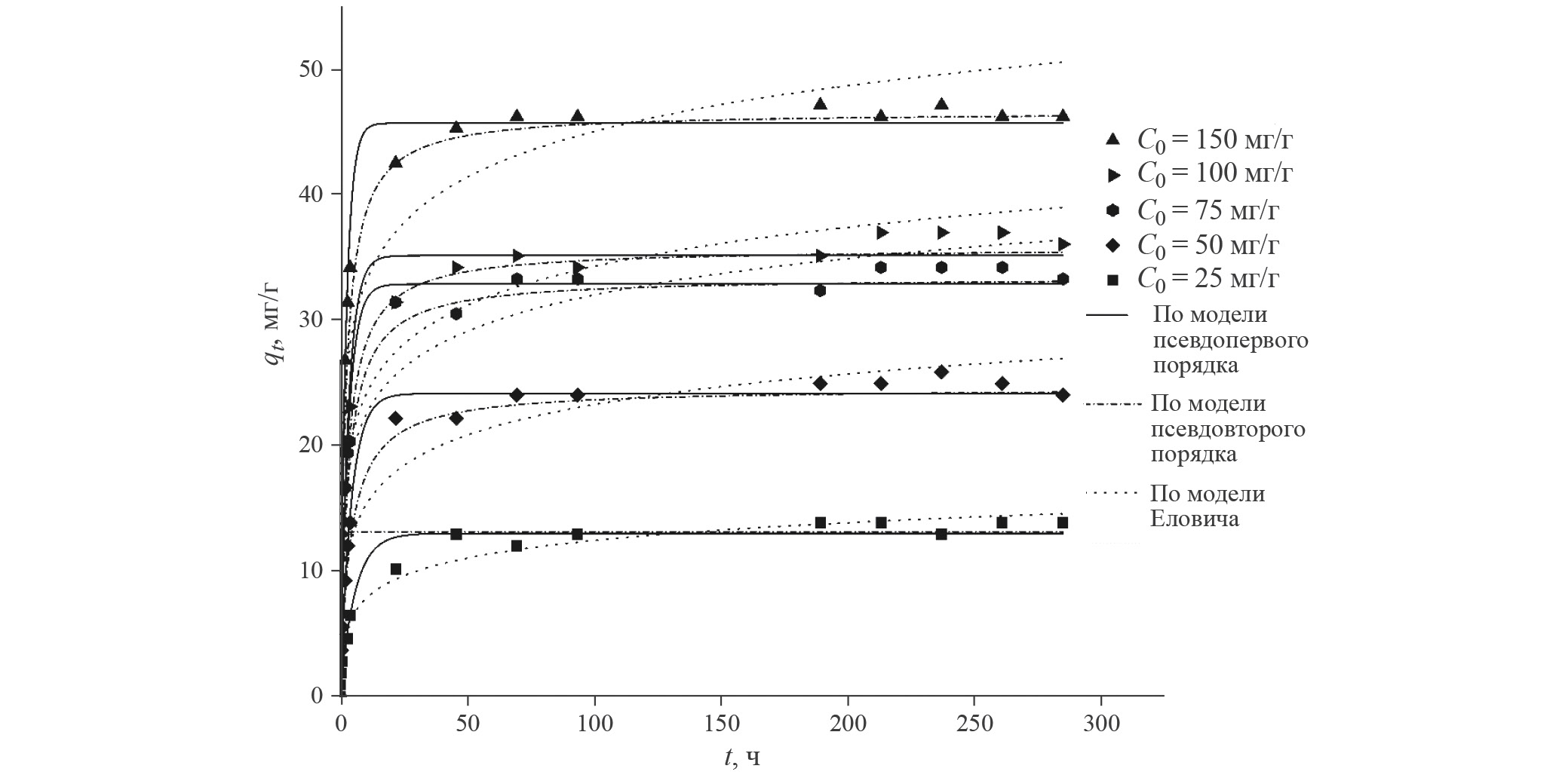
Образец металл-органического каркаса UiO-66 (Zr6O4(OH)4bdc, bdc = бензол-1,4-дикарбоксилат/терефталат) – перспективного адсорбента стойких органических загрязнителей из водной среды – получен по оригинальной методике в среде нетрадиционного “зеленого” растворителя – триэтиленгликоля (ТЭГ) в условиях СВЧ-активации реакционной массы при атмосферном давлении согласно одностадийному подходу. Материал PET-UiO-66 синтезирован c использованием полимерных отходов – вторичного полиэтилентерефталата (ПЭТ) – в качестве источника органического линкера (терефталевой или бензол-1,4-дикарбоновой кислоты, H2bdc) для формирования каркаса. Его адсорбционная активность была впервые изучена в процессе адсорбционного удаления пищевого красителя тартразина (Е-102) из водных растворов. Установлено, что кинетика процесса адсорбции подчиняется модели псевдо-второго порядка, а его термодинамика соответствует модели Ленгмюра.
Полный текст
Об авторах
В. В. Вергун
Институт органической химии им. Н. Д. Зелинского РАН
Автор, ответственный за переписку.
Email: polubrat@mail.ru
Россия, Москва
М. Д. Веденяпина
Институт органической химии им. Н. Д. Зелинского РАН
Email: polubrat@mail.ru
Россия, Москва
С. А. Кулайшин
Институт органической химии им. Н. Д. Зелинского РАН
Email: polubrat@mail.ru
Россия, Москва
В. В. Чернышев
Институт физической химии и электрохимии им. A. Н. Фрумкина РАН; Московский государственный университет им. М. В. Ломоносова
Email: polubrat@mail.ru
Россия, Москва; Москва
О. П. Ткаченко
Институт органической химии им. Н. Д. Зелинского РАН
Email: polubrat@mail.ru
Россия, Москва
В. Д. Ниссенбаум
Институт органической химии им. Н. Д. Зелинского РАН
Email: polubrat@mail.ru
Россия, Москва
В. И. Исаева
Институт органической химии им. Н. Д. Зелинского РАН
Email: polubrat@mail.ru
Россия, Москва
Список литературы
- Chaturvedi P., Shukla P., Giri B.S. et al. // Environmental Res. 2021. T. 194. P. 110664.
- Ezzatahmadi N., Marshall D.L., Hou K. et al. // J. Environ. Chem. Eng. 2019. V. 7. P. 102955.
- Tang J., Wang T., Xia H. et al. // Sustainability. 2024. V. 16. P. 2042.
- Ariza-Tarazona M.C., Siligardi C., Carrėon-Loˇpez H.A. et al. // Marin. Pollut. Bull. 2023. V. 193. P. 115206.
- Yang R.X., Bieh Y.T., Chen C.H. et al. // ACS Sustainable Chem. Eng. 2021. V. 9. P. 6541.
- Kartik S., Balsora H.K., Sharma M. et. al. // Therm. Sci. Eng. Progr. 2022. V. 32. P. 101316.
- Ferreira M.M., Silva E.A., Cotting F. et. al. // Corros. Eng. Sci. Technol. 2021. V. 56. P. 199.
- Kaur G., Uisan K., Ong K.L. et. al. // Cur. Opin. in Green and Sust. Chem. 2018. V. 9 P. 30.
- Yang R.X., Bieh Y.T., Chen C.H. et. al. // ACS Sustainable Chem. Eng. 2021. V. 9. P. 6541.
- Rowsell J.L., Yaghi O.M. // Microporous and Mesoporous Mat. 2004. V. 73. P. 3.
- Ghazvini M.F., Vahedi M., Nobar S.N., et al. // J. Environ. Chem. Eng. 2021. V. 9. P. 104790.
- Ihsanullah. I. // Curr. Opin. Environ. Sci. Health. 2022. V. 26. P. 100335.
- Obeso J.L., Flores J.G., Flores C.V. et al. // Chem. Commun. 2023. V. 59. P. 10226.
- Baumann A.E., Burns D.A., Liu B. et al. // Commun Chem. 2019. V. 2. P. 86.
- Mendes R.F., Figueira F., Leite J.P. et al. // Chem. Soc. Rev. 2020. V. 49. P. 9121.
- Isaeva V.I., Vedenyapina M.D., Kurmysheva A.Y. et. al. // Molecules. 2021. V. 26. P. 6628.
- Cavka J., Jakobsen S., Olsbye U. et al. // JASC Com. 2008. V. 140. P. 42.
- Kazemi A., Moghadaskhou F., Pordsari M.A. et al. // Sci Rep. 2023. V. 13. № 19891.
- Ahmadijokani F., Molavi H., Rezakazemi M. et al. // Prog. Mater. Sci. 2022. V. 125. P. 100904.
- Rego R.M., Kurkuri M.D., Kigga M. // Chemosphere. 2022. V. 302. P. 134845.
- Ramanayaka S., Vithanage M., Sarmah A. et al. // RSC Adv. 2019. V. 9. P. 34359.
- Cao Z., Fu X., Li H. et al. // ACS Sustain. Chem. Eng. 2023. V. 11. P. 15506.
- Shanmugam M., Chuaicham C., Augustin A. et al. // New J. Chem. 2022. V. 46. P. 15776.
- Lo S.H., Raja D.S., Chen C.-W. et. al. // Dalton Trans. 2016. V. 45. P. 9565.
- Dyosiba X., Ren J., Musyoka N.M. et al. // Ind. Eng. Chem. Res. 2019. V. 58. P. 17010.
- Semyonov O., Kogolev D., Mamontov G. et al. // Chem. Eng. J. 2022. V. 431. P. 133450.
- Selahle S.K., Nqombolo A., Nomngongo P.N. // Sci Rep. 2023. V. 13. P. 6808.
- Waribam P., Katugampalage T.R., Opaprakasit P. et. al. // Chem. Eng. J. 2023. V. 473. P. 145349.
- Oymak T., Tokalıoglu S., Cam S. et al. // Food Additiv. Contamin. 2020. V. 37. P. 731.
- Singh H., Goyal A., Bhardwaj S. et al. // Mater. Sci. Eng. 2023. V. 288. P. 116165.
- Качала В.В., Хемчян Л.Л., Кашин А.С. и др. // Успехи химии. 2013. Т. 82. С. 648.
- Кашин А.С., Анаников В.П. // Изв. АН Сер. Хим. 2011. Т. 12. С. 2551.
- Tsyganenko A.A., Filimonv V.N. // J. Mol. Struct. 1972. V. 5. P. 477.
- Ivanov A.V., Kustov L.M. // Russ. Chem. Bull. 2000. V. 49. P. 39.
- Köck E.M., Kogler M., Götsch T. et. al. // Dalton Trans. 2017. V. 46. P. 4554.
- Jung K.D., Bell A. // J. Catal. 2000. V. 193. P. 207.
- Ouyang F., Kondo J.N. // JCS Faraday Trans. 1996. V. 92. P. 4491.
- Cheng X., Zhang A., Hou K. et. al. // Dalton Trans. 2013. V. 42. P. 13698.
- Huang J., Yan Z. // Langmuir. 2018. V. 34. P. 1890.
- Lagergren S. // Sakademiens Handl. 1898. V. 24. P. 1.
- Ho Y.S., Mckay G. // Proc. Biochem. 1999. V. 34. P. 451.
- Zeldowitsch J. // Acta Physicochim. 1934. V. 1. P. 364.
- Langmuir I. // Part I. Solids. 1916. V. 184. P. 102.
- Dippong T., Andrea E., Cadar O. et. al. // J. of Alloys and Comp. 2020. V. 849. P. 156695.
- Srivastava V., Sharma Y.C., Sillanpää M. // Applied Surf. Sci. 2015. V. 338. P. 42.
Дополнительные файлы











