Физико-химическая модель формирования россыпного золота
- Authors: Варфоломеев С.Д.1,2, Калиниченко В.Н.2, Кузнецов Ю.А.3, Гачок И.В.1, Цыбенова С.Б.2
-
Affiliations:
- Московский государственный университет им. М. В. Ломоносова
- Институт биохимической физики им. Н. М. Эмануэля Российской академии наук
- ООО “РГ Иркутскгеофизика 3”
- Issue: Vol 98, No 12 (2024)
- Pages: 117-126
- Section: PHYSICAL CHEMISTRY OF NANOCLUSTERS, SUPRAMOLECULAR STRUCTURES, AND NANOMATERIALS
- Submitted: 30.03.2025
- Accepted: 30.03.2025
- Published: 15.12.2024
- URL: https://bakhtiniada.ru/0044-4537/article/view/285653
- DOI: https://doi.org/10.31857/S0044453724120177
- EDN: https://elibrary.ru/ENGZZO
- ID: 285653
Cite item
Full Text
Abstract
Работа посвящена кинетическому анализу и моделированию закономерностей образования наноформ металлического золота и механизмам образования макрочастиц металла. Рассмотрена кинетика процесса в стационарном состоянии в растворе и в потоке, моделирующим процессы формирования месторождения. Показан автокаталитический характер синтеза наночастиц золота, при котором принципиально важен обратный процесс окисления Au0 сильным окислителем Au3+. Проведено моделирование кинетического поведения системы от начальной концентрации реагента (Au3+), концентраций автокаталитической “затравки” (Au1+, Au0), концентрации восстановителя, проанализирована зависимость многостадийного процесса от температуры. Проведено математическое моделирование формирования очага россыпи золота в потоке на основе теории реакторов идеального вытеснения. Модель включает зону рассеянного минерального золота (или нанораспределенного золота), зону гидропотока и зону коагуляции формирования макрочастиц на металлическом зародыше (зона преципитации). Проведены расчеты зависимости профили распределения реагентов от концентрации восстанавливающего компонента, скорости гидропотока, концентрации коагулянтов и “зародышей” преципитации.
Full Text
Проблема образования россыпных месторождений золота – задача, привлекающая внимание исследователей в течение многих лет [1–7]. В большинстве случаев месторождения россыпного золота локализуются в областях с высокой (сезонной) гидрологической активностью в зонах рек, их пойм. Особенно наглядно это видно на примерах месторождений России [6]. Для россыпных месторождений золота России важной особенностью представляется сезонное накопление водных ресурсов в течение зимнего периода и устойчивое формирование водных потоков в весенне-летние периоды.
Один из важных и существенных парадоксов, обсуждаемых в геологической литературе, заключается в наличии его двух категорий: “видимого” (относительно легко добываемого) и “невидимого” золота (рассеянные минеральные формы, добыча металла из которых более трудно реализуется из-за усложнения технологических процессов). Одним из первых на это указал академик В. И. Вернадский [5], детально этот парадокс обсуждается в монографии Н. В. Петровской [6]. Оценки Н. В. Петровской показывают, что объемы рассеянного “невидимого” золота, поступающего в водотоки из рудных источников, в разы превышают аккумулируемое в россыпях золото.
Исторически сложилось так, что на протяжении столетий механизм образования россыпей трактовался в основном на представлениях о ведущей роли механической сортировки и дезинтеграции рудного материала в процессе его перемещений и аккумуляции в отложениях различных фаций [1–4].
При этом подходе петрографический состав материала и минералогический состав находящихся в нем благородных металлов считается сформировавшимся, ранее, в эндогенных условиях, и, в дальнейшем, подвергающимся лишь разрушению и сортировке, по размерам и плотности, в процессе механической транспортировки и локализации в некоторых благоприятных геолого-геоморфологических условиях в зоне гипергенеза.
В нашей работе [8] показано, что в золоторудных месторождениях Евразии, которые входят во все известные рудно-россыпные районы, основными минеральными формами микро- и нанозолота являются формы, имеющие степень окисления от Au3+ до Au1+.
Представляется, что высокую степень теоретической и практической значимости должно иметь исследование физико-химических механизмов, лежащих в основе формирования россыпных золоторудных месторождений. Очевидно, что основа этих механизмов будет базироваться на химико-кинетических особенностях золота в различных валентных и фазовых состояниях. Данная работа посвящена обсуждению этих механизмов.
В качестве базовой основы разрабатываемой модели являются следующие положения.
- Принципиально важным для понимания механизмов формирования золоторудных россыпей являются химические реакции и кинетическое поведение основных форм золота: Au3+, Au1+, Au0 в коллоидной форме нанозолота и Au0x в виде микрочастиц. Можно с уверенностью утверждать, что “невидимое” золото, распределенное по большим площадям, и, часто образующее в их пределах, мощные геохимические аномалии, представляет собой наночастицы и химически связанные формы, ассоциированные с основными компонентами породы. Но, при этом, сорбция наночастиц золота с породами достаточно прочна, ассоциаты распределены по большим пространствам и представлены относительно низкими концентрациями и не могут представлять интерес для добычи металла. Тем более, если они представлены мельчайшими химически связанными минеральными формами.
- Ключевое значение в формировании россыпей играют поверхностные гидропотоки. За счет эрозии, выветривания, сезонных криогенных процессов и других разрушающих породу воздействий наноформы золота и его минеральные составляющие оказываются в подвижных поверхностных водных потоках, которые концентрируются в виде ручьев и рек, создавая гидрологическую структуру региона. Это первая стадия концентрирования (на относительно небольших участках, по сравнению с площадью водосбора) высвобождающихся при разрушении пород минеральных форм золота. Оценки показывают, что “сбор” химических (минеральных) форм Au, переносимых потоками, дает возможность увеличить концентрацию реагентов на различных участках такого концентрирования в 10–103 раз. Химический состав вод золоторудных месторождений – предметом давнего обсуждения в геологической литературе [9–11]. Как правило, золоторудные месторождения ассоциированы с зонами сульфидного характера (пирит, халькопирит, арсенопирит) [9–12]. Химико-аналитические работы, в зонах поверхностного разрушения пород, демонстрируют высокое содержание “подвижного” железа, в виде тио и сульфат-ионов как продукта окисления сульфидов. Следует отметить относительно высокое содержание органических веществ (высокие показатели ХПК) [13]. Классическое, наиболее крупное по запасам золото в России и в мире месторождение Сухой Лог характеризуется как сульфидный тип, в так называемых “черных сланцах”, с существенным обогащением пород углеводородами группы асфальтеновых кислот и других тяжелых углеводородов [13–14]. Принципиально важно, что воды месторождений насыщены растворимыми золотосодержащими веществами. В работе [9] показано, что подземные воды золоторудных месторождений содержат до 490 мкг/л золота в коллоидной и ионной формах, при этом среднее содержание соответствует ∼ 150 мкг/л.
- Как предполагает множество авторов, начиная с В. И. Вернадского и Н. В. Петровской [5–6], соединения золота в природных водных потоках могут существовать в виде его хлоридов, тиосульфатов и даже (не подтверждено) цианидов и металлоорганических соединений (не подтверждено). При воздействии широкого спектра восстановителей они переходят в коллоиды, которые каким-то образом могут образовывать макрочастицы золота. Но кроме огромного количества геологических фактов, иллюстрирующих высокую вероятность наличия таких процессов в природе, кинетические характеристики физико-химических процессов формирования россыпного золота системно не изучались.
В рамках поставленной нами задачи моделирования физико-химических процессов формирования россыпного золота от области поступления его различных форм в рассматриваемую систему до областей его концентрации в виде россыпного золота представляется необходимым провести математическое моделирование кинетических закономерностей образования форм нанозолота с последующим формированием из него коагулянтов и макрочастиц, и проследить кинетическое поведение системы в потоке.
МЕТОДЫ ИССЛЕДОВАНИЯ
Большое развитие получили способы использования наночастиц металлов в электронике, химическом и биологическом анализе, в медицине [15–19].
Экспериментальные данные, представленные на рис. 5 и рис. 6 в работе [20], взяты за основу для сравнения результатов расчета кинетической модели при варьировании концентраций и температуры реакционной смеси. Оцифровка графических зависимостей (кривые 1–4, рис. 5 и кривые 1, 5, рис. 6 в работе [20]) проводилась с помощью программы GetDataGraphDigitizer 2.26.
Интегрирование системы дифференциальных уравнений проводилось (m, k)-методом вычисления ОДУ с погрешностью ε = 10–9. Значения параметров подобраны согласно условию, что стадии 1 и 2 – медленные, стадия 3 – быстрая, а также с учетом сравнения с экспериментальными данными из [20]. Для решения системы ОДУ разработана программа вычисления в среде разработки Delphi Community Edition с визуализацией результатов расчета.
ОБСУЖДЕНИЕ РЕЗУЛЬТАТОВ
Химические основы и кинетические закономерности образования нанозолота
В последние годы интерес к физико-химическому поведению частиц нанозолота в значительной степени интенсифицировался в связи с технологическими возможностями использования наноматериалов и формированием отрасли науки и технологии получившей название “нанотехнология”. Экспериментальное образование золей золота, представляющих собой коллоидные растворы металлического золота, достаточно эффективно исследуется спектрофотометрическими методами, что заложило основы изучения кинетики формирования дисперсной фазы золей золота [20–26]. Кинетика процесса имеет сложный многофазовый характер. В одной из первых количественных работ в области кинетики формирования наночастиц золота [21] описан продолжительный период индукции, проведено исследование динамики процесса от концентрации реагентов и температуры. Стабильности растворов коллоидного золота и зависимость морфологического состояния частиц от pH исследовано в работах [22–24]. Гипотеза об электрохимической природе формирования твердой фазы нанозолота высказано в работе [25]; влияние дисперсионного состава на электрохимическую активность показано в работе [26]. Наиболее интересные и продвинутые экспериментальные данные по кинетике образования нанозолота представлены в работе [20].
Анализ экспериментальных данных обнаруживает ряд нетривиальных кинетических эффектов:
1) формированию спектрофотометрически визуализированных наночастиц предшествует продолжительный период индукции от 100 до 400 мин;
2) период индукции зависит от начальной концентрации Au3+, при этом увеличение концентрации исходной окислительной формы Au3+ увеличивает период индукции. Это достаточно нетривиальный эффект. Периоды индукции в “классических” механизмах химических реакций (промежуточные соединения, автокатализ, цепные реакции) уменьшаются с увеличением исходного реагента или не зависят от концентрации [27].
С учетом наблюдаемых кинетических эффектов можно предложить кинетическую схему, которая включает следующие стадии в едином кинетическом механизме, описывающей все наблюдаемые явления. Механизм включает восстановление (в случае экспериментальных результатов [20] это лимонная кислота) сильного окислителя Au3+ до формы Au1+ с последующим восстановлением этого иона до металлического состояния. При этом Au3+ как сильный окислитель способен окислить Au0 до Au1+. Ионы золота Au3+ и Au1+ очень сильные окислители. Стандартные окислительно-восстановительные потенциалы равны: Au3+/Au0 = 1.5 В, Au1+/Au0 = 1.7 В (для сравнения: окислительная способность кислорода характеризуется стандартным окислительно-восстановительным потенциалом 1.23 В). В присутствии органического или неорганического восстановителя в системе протекают следующие химические реакции:
(1)
Последняя реакция представляет собой, по-видимому, микрогетерогенный процесс окисления-восстановления с участием ассоциатов Au0 в твердой металлической фазе.
Кинетическая схема процесса может быть представлена в виде:
где R0 – постоянная концентрация восстановителя (R0 взято в большом избытке по сравнению с Au3+ восстановителя (R0 >> Au3+(0))); k1, k2, k3 – константы скоростей соответствующих стадий; Au0x – ассоциаты атомов золота, из которых формируются наночастицы металла.
Система дифференциальных уравнений, описывающая динамику процесса (2), имеет вид:
(3)
При расчетах в закрытой системе необходимо учитывать уравнение материального баланса:
. (4)
Система уравнений (3), (4) достаточно адекватно описывает наблюдаемые экспериментальные данные при подборе основных кинетических параметров k1R0, k3R0 и k2 (сравнение представлено на рис. 1). Расчеты проведены при следующем наборе значений параметров: k1R0, = 9.4 × 10–3 мин–1, k3R0 = 2.3 × 10–4 мин–1, k2 = 3 × 104 М–1 мин–1. Начальные условия: Aux0 (0) = 0, Au1+ (0) = 5 × 10–6 М, Au3+ (0) = 1 × 10–4 М.
Рис. 1. Экспериментальные и расчетные данные по кинетике образования золя золота и результаты кинетического моделирования процесса в соответствии со схемой (1), (2) при варьировании начальной концентрации Au3+: 1 – 2 × 10–5, 2 – 5 × 10–5, 3 – 10–4, 4 – 1.5 × 10–4 M. Параметры расчета: k1R0 = 9.4 × 10–3 мин–1, k3R0 = 2.3 × 10–4 мин–1, k2 = 3 × 104 М–1 мин–1, Aux0 (0) = 0, Au1+ (0) = 5 × 10–6 М. Экспериментальные данные работы [20] были оцифрованы и представлены для сравнения с полученными расчетными данными.
Кинетическая модель (3), (4) описывает основные наблюдаемые эффекты, а именно наличие продолжительного периода индукции и увеличение периода индукции с ростом начальной концентрации исходного реагента Au3+.
Природа наблюдаемого периода индукции – окисление металлического золота Aux0 ионом Au3+
Кинетическое моделирование дает возможность варьировать кинетические характеристики отдельных стадий и выяснять природу кинетических эффектов. Наблюдаемый период индукции однозначно определяется процессом окисления металлического золота Aux0 окислителем в виде Au3+.
На рис. 2 представлены сравнительные данные кинетического моделирования (3), (4) при наличии обратного окислительного процесса (k2 = 3 × 104 M–1 мин–1) и в его отсутствие (k2 = 0). Видно, что если нет процесса обратного окисления – нет периода индукции.
Рис. 2. Кинетические кривые накопления дисперсной фазы золота при отсутствии (кривая 1, k2 = 0) и наличии процесса окисления Aux0 действием Au3+ (кривая 2, k2 = 3 × 104 M–1 мин–1, экспериментальные данные – линия с точками).
Результаты кинетического моделирования при вариации начальной концентрации Au3+ показывают, что период индукции определяется полным исчерпанием Au3+ и достижением максимальной концентрации Au1+. Следует подчеркнуть, что в отсутствие Aux0 или Au1+ (Aux0(0) = 0, Au1+(0) = 0) период индукции постоянен и не зависит от начальной концентрации Au3+.
Зависимость кинетического поведения системы от начальной концентрации (“затравки”) Au1+ или Au0
Кинетическое моделирование позволило обнаружить нетривиальный кинетический парадокс, а именно поведение системы зависит от наличия в начальных условиях малых концентраций металлического золота Aux0 и Au1+. Это иллюстрирует рис. 3. Расчеты системы (3), (4) показали, что при вариации начальной концентрации исходного реагента (Au3+) период индукции не зависит от его уровня концентрации и составляет для всех случаев ∼300 минут. Однако, если в системе находятся “затравочные” концентрации Aux0 или Au1+, период индукции зависит от концентрации исходного реагента и в соответствии с экспериментальными данными (рис. 1), увеличивается с ростом введения в реакцию концентрации Au3+.
Рис. 3. Динамика изменения концентраций Au3+, Au1+ и Aux0 по времени при варьировании начальной концентрации Au1+ (0): 1 – 0, 2 – 5×10–6, 3 – 3 × 10–5 M. Начальные концентрации Au3+ (0) = 1 × 10–4 M, Aux0 (0) = 0.
На рис. 3 представлены расчетные данные изменения концентрации Au3+, Au1+ и Aux0 при вариации “затравочной” концентрации Au1+. Видно, что чем выше концентрация “затравки”, тем быстрее процесс при существенном уменьшении периода индукции. Аналогичные результаты получены при вариации начальной (“затравочной”) концентрации Aux0.
Представленный феномен зависимости типа кинетического поведения от каталитических количеств конечного продукта (Aux0) или промежуточного соединения (Au1+) показывает, что в данном случае механизм реакции включает автокаталитическую стадию. Эта автокаталитическая стадия определяется скоростями и реакционными способностями образования и расходования промежуточного соединения Au1+. Действительно, в системе мы имеем относительно слабореакционно способные частицы Au0 и Au3+, при этом механизм реакции включает стадию “размножения” реакционно способных частиц Au1+ по реакции:
.
Оценки констант скоростей при сравнении экспериментальных данных с результатами моделирования приводят к следующим значениям: k1 = 6.3 M–1 мин–1, k3 = 0.15 M–1 мин–1, k2 = 3 × 104 M–1 мин–1.
Таким образом, механизм процесса образования нанозолота при восстановлении Au3+ включает относительно малоинтенсивный процесс восстановления Au3+ в Au1+ (константа скорости k3 = 0.15 M–1 мин–1), более быстрый процесс восстановления Au1+ в Au0 (константа скорости k1 = 6.3 M–1 мин–1) и относительно очень быстрый процесс окисления 2Au0 сильным окислителем Au3+. Ключевую роль в поведении системы играет количество “затравки” Au0. Общий кинетический анализ автокаталитических процессов представлен в монографии [27]. Рисунок 3 иллюстрирует, что чем больше в системе “затравочной” концентрации Au1+(0) или Aux0, тем меньше период индукции. Это признак автокатализа – продукт ускоряет процесс. Эта стадия является автокаталитической и “раскручивает” процесс образования Aux0, при этом наночастицы металлического золота не образуются в детектируемых количествах до того момента, пока в системе не исчерпается исходный реагент Au3+.
Можно с определенной долей уверенности утверждать, что такого рода процессы идут в природе при образовании “россыпи” природного металлического золота.
Очевидно, что кинетическое поведение процесса зависит от реакционной способности восстановителя (k1R0, k3R0) и скорости окисления металлического золота сильным окислителем Au3+. На рис. 4 и рис. 5 приведены результаты кинетического расчета при вариации параметров k2 (скорость окисления Au0 для Au3+), k3R0 (скорость восстановления Au3+ восстановителем R0). Стадия окисления металлического золота Au3+ является очень быстрой и не представляет собой лимитирующую стадию.
Рис. 4. Кинетические ответы системы (3), (4) при варьировании k2: 1 – 3 × 104, 2 – 1 × 103, 3 – 2 × 102 M–1 мин–1.
Рис. 5. Кинетические ответы системы (3), (4) при варьировании k3R0: 1 – 7.5 × 10–3, 2 – 1.5 × 10–3, 3 – 2.3 × 10–4, 4 – 1.5 × 10–6 мин–1.
Температурная зависимость кинетики формирования нанозолота
Представляет интерес моделирования кинетических закономерностей формирования нанозолота от температуры (см. рис. 6 в работе [20]). Первое приближение оценки энергий активации ∆H (k3) ∼ 10 ккал/моль, а для k1 ∼ 6.1 ккал/моль и k2 ∼ 3 ккал/моль. Оценка констант скоростей с учетом экспериментально полученных данных [20] при температуре T = 60°C приводят к следующим значениям: k1 = 22.23 M–1 мин–1, k3 = 1.22 M–1 мин–1, k2 = 5.6 × 104 M–1 мин–1. Аналогично при T = 5°C получены значения констант скоростей k1 = 3.6 M–1 мин–1, k3 = 0.06 M–1 мин–1, k2 = 2.3 × 104 M–1 мин–1. Результаты расчетов системы (3), (4) при этих значениях параметров показаны на рис. 6.
Рис. 6. Экспериментальные (линия с точками) [20] и теоретические (сплошная линия) данные при различных температурах: T = 60 (1), 20 (2), 5°C (3).
Математическая модель формирования очага россыпи золота в потоке
В развитие полученных результатов представляет интерес провести математическое моделирование кинетического поведения системы в потоке с использованием подходов развитых для проточного реактора идеального вытеснения [28].
На схеме 1 показано формирование “россыпи” макрочастиц в процессе образования и функционирования гидропотока, содержащего рассмотренные выше формы золота. Важным представляется использование для описания системы указанных выше особенностей восстановления ионных форм до металлического золота и реакции их взаимного превращения. Модель предполагает наличие обширной зоны рассеянного “невидимого” золота и переноса его в гидропоток. При этом в гидропотоке осуществляется весь комплекс реакций, описанных выше ((1), (2)).
Схема 1. Формирование россыпи макрочастиц золота в процессе функционирования гидропотока.
Образование макрочастиц инициируется входом в зону, содержащую реагенты – коагуляторы наночастиц и “зародыши”, обеспечивающие восстановительную “электрохимическую преципитацию”. Электрохимическая преципитация как механизм образования макрочастиц золота – предмет, обсуждаемый в литературе [29–31]. Электрохимическая преципитация представляет собой восстановление Au1+ в металлическое золото на электропроводящей матрице “зародыша” с помощью восстанавливающего агента R (схема 2).
Схема 2. Механизм восстановительной электрохимической преципитации.
Базовая система уравнений имеет вид:
(5)
где B0 – концентрация реагента, участвующего в росте макрочастиц на “зародыше”; kc – константа скорости коагуляции и роста “зародыша”; kg – константа скорости гравиметрического осаждения макрочастиц; Au0* – преципитат металлического золота.
Для системы уравнений (5) заданы следующие начальные и входные условия:
где – начальные распределения концентраций Au3+, Au1+, Au0, Au0* по длине потока; Au3+(t), Au1+(t), Au0(t), Au0*(t) – концентрации на входе проточной системы.
В качестве параметров для модельных расчетов было принято следующее:
- скорость потока (v) 0.1–3 м/с,
- начальная концентрация золота (Au3+) принята равной 7.5 × 10–7 M (∼ 0.15 г/м3), что соответствует измерениям, представленными в работе [9]. В качестве варианта рассмотрен случай поведения системы при низком исходном содержании золота в потоке 7.5 × 10–8 M;
- длина активной части потока 3 км;
- зона вхождения потока в область коагуляции и роста “зародышей” (зона преципитации) находится на втором километре общей длины. Химические агенты коагуляции и формирования макрочасти представляют собой “классические коагулянты” типа сульфатов, ионов железа и др., “зародыши” электропроводящие частицы типа микрогранул золота.
- концентрация природных восстановителей (сульфиды, сульфиты, органические молекулы и т. п.) существенно превышает концентрацию золота и поэтому принята постоянной (параметр R0).
Численные расчеты проведены при следующих значениях параметров: k1R0 = 5.35 × 10–3 мин–1, k3R0 = 9 × 10–5 мин–1, k2 = 2.27 × 104 M–1мин–1, T = 5°C, kc = 10–3 M–1мин–1, kg = 0.01 мин–1, B0= 4 M, v = 1 м/с.
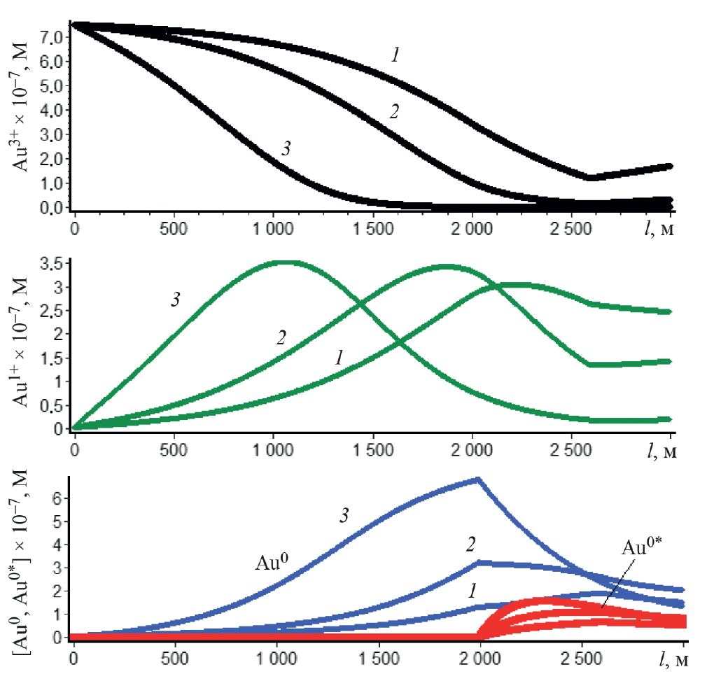
Зависимость профилей распределения реагентов от концентрации восстановителя R0
Профильные концентрации Au0, Au1+, Au3+, Au0* при варьировании параметров k3R0 в момент времени t = 1300 мин показаны на рис. 7. Видно, что чем выше концентрация R0 (увеличение параметров k3R0 или k1R0), тем выше концентрация Au0 в зоне коагуляции и роста “зародышей”. Увеличение параметров k3R0 в 12 раз увеличивает максимально концентрацию Au0 в 6 раз. Увеличение концентрации восстанавливающих агентов (сульфитов, тиосульфитов, органических соединений) существенным образом повышает уровни концентраций восстановленных форм золота и накопление преципитата.
Рис. 7. Профили изменения концентраций Au0, Au1+, Au3+, Au0* по длине потока (ℓ) при вариации параметра k3R0: 1 – 9 × 10–5, 2 – 2.25 × 10–4, 3 – 11.25 × 10–4 мин–1.
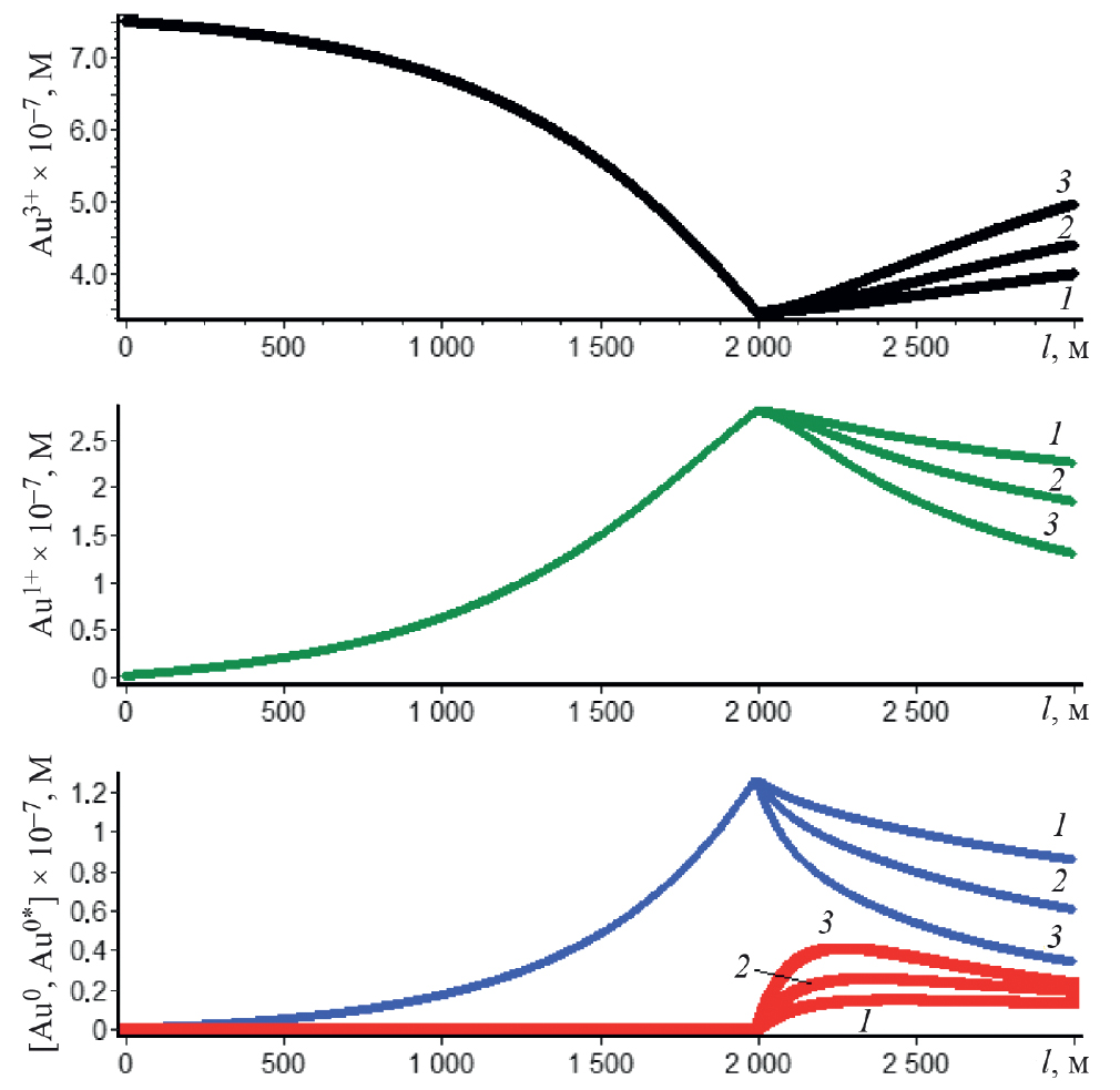
Зависимость профилей распределения реагентов от скорости потока
При увеличении скорости потока существенным образом возрастает зона повышения концентрации Au3+ и доля “вымывания” целевого продукта из зоны коагуляции и роста “зародышей” (сравнение рис. 7 и рис. 8).
Рис. 8. Профили изменения концентраций Au0, Au1+, Au3+ по длине протока (ℓ) в момент времени t = 3000 мин при вариации скорости протока v: 1 – 0.1, 2 – 0.5, 3 – 1, 4 – 2 м/с.
Скорость потока существенным образом влияет на кинетическое поведение системы. При низких скоростях потока химические реакции реагентов Au3+, Au1+ заканчиваются на начальных участках потока (рис. 8, кривые 1 и 2).
Зависимость профилей концентрации реагентов от концентрации коагулянтов и концентрации “зародышей” (параметр B0) (зона преципитации)
Динамика изменения концентраций по длине гидропотока в разные моменты времени представлены на рис. 9. Видно, что введение дополнительных концентраций B0 практически не влияет на максимальную концентрацию Au0, однако существенно уменьшает “вымывание” целевого продукта из зоны реакции.
Рис. 9. Профили изменения концентраций Au0, Au1+, Au3+ Au0* по длине потока (ℓ) при вариации концентрации коагулянтов-”зародышей” B0: 1 – 2, 2 – 4, 3 – 8 M.
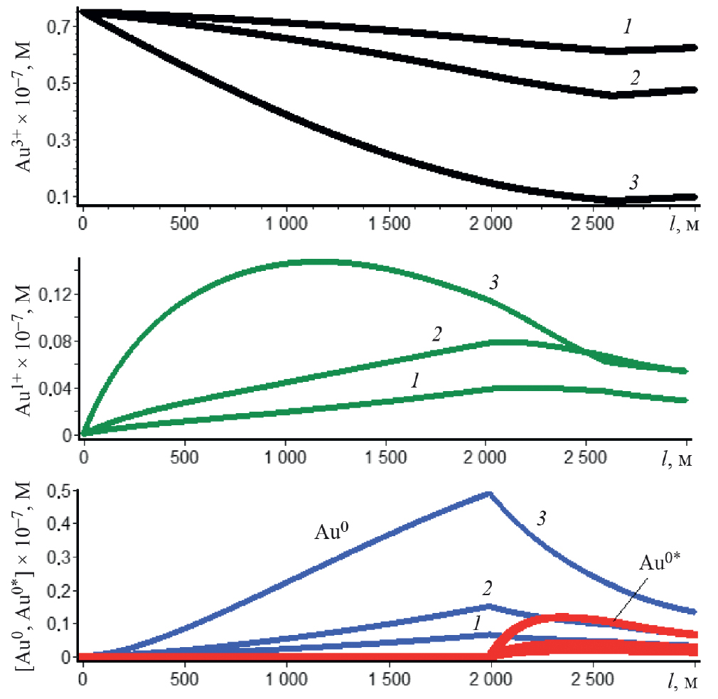
Кинетическое поведение системы при существенном обеднении потока исходным растворимым золотом (уменьшение исходной концентрации в 10 раз)
Профили изменения концентрации реагентов и кинетического изменения их концентрации в зоне преципитации (2500 м) представлены на рис. 10. Общий характер поведения системы существенным образом не изменился (сравнение рис. 7 и рис. 10). Однако, как и следовало ожидать уровень накопления целевого преципитата (Au0*) существенно падает.
Рис. 10. Профили изменения концентраций Au0, Au1+, Au3+, Au0* по длине потока (ℓ) (слева) в момент времени t = 1300 и начальной концентрации на входе Au3+ (0) = 7.5 × 10–8 M при вариации k3R0: 1 – 9 × 10–5, 2 – 2.25 × 10–4, 3 – 11.25 × 10–4 мин–1.
Таким образом, математическое моделирование поведения системы образования Au0 в потоке демонстрирует, что положительными факторами увеличивающими выход целевого продукта (Au0 и макрочастиц золота) являются увеличение концентрации восстановителя (R0), увеличение концентрации инициатора коагуляции и роста “зародышей” (R0) и уменьшение скорости потока (v).
Авторы выражают благодарность компании “Иликан” за финансовую поддержку исследования. Кинетическое моделирование процессов формирования макрочастиц золота выполнено в рамках государственного задания Московского государственного университета им. М. В. Ломоносова № 121041500039-8 и Института биохимической физики им. Н. М. Эмануэля Российской академии наук № 122041300210-2.
About the authors
С. Д. Варфоломеев
Московский государственный университет им. М. В. Ломоносова; Институт биохимической физики им. Н. М. Эмануэля Российской академии наук
Email: s.tsybenova@gmail.com
Russian Federation, Москва, 119991; Москва, 119997
В. Н. Калиниченко
Институт биохимической физики им. Н. М. Эмануэля Российской академии наук
Email: s.tsybenova@gmail.com
Russian Federation, Москва, 119997
Ю. А. Кузнецов
ООО “РГ Иркутскгеофизика 3”
Email: s.tsybenova@gmail.com
Russian Federation, Иркутск, 664039
И. В. Гачок
Московский государственный университет им. М. В. Ломоносова
Email: s.tsybenova@gmail.com
Russian Federation, Москва, 119991
С. Б. Цыбенова
Институт биохимической физики им. Н. М. Эмануэля Российской академии наук
Author for correspondence.
Email: s.tsybenova@gmail.com
Russian Federation, Москва, 119997
References
- Билибин Ю.А. Основы геологии россыпей. М.: Изд-во Акад. наук СССР, 1955. 472 с.
- Шило Н.А. Учение о россыпях. Теория россыпеобразующих рудных формаций и россыпей. Изд.2-е, Владивосток: Дальнаука, 2002. 576 с.
- Нестеренко Г.В. Происхождение россыпных месторождений. Новосибирск: Наука, 1977. 313 с.
- Избеков И.Д. Образование и эволюция россыпей. Новосибирск: Наука, 1985. 189 с.
- Вернадский В.И. История минералов земной коры. Т. 1. Вып. II. Л.: Научное химико-техническое изд-во, 1927. 197 с.
- Петровская Н.В. Самородное золото (общая характеристика, типоморфизм, вопросы генезиса). М.: Наука, 1973. 347 с.
- Streltsov S.V., Roizen V.V., Ushakov A.V. et al. // Proc. Natl. Acad. Sci. USA. 2018. V.115. I.40. P. 9945. https://www.pnas.org/doi/full/10.1073/pnas.1802836115
- Кузнецов Ю.А., Дубков А.А., Калиниченко В.Н. и др. // Недра Поволжья и Прикаспия. 2023. Вып. 111. С. 27.
- Бернатонис В.К., Попов П.А. // Изв. Томского политех. ин-та. 1977. Т. 287. С. 6.
- Воротников Б.А., Попова Л.М., Росляков Н.А. и др. // Изв. Томского политех. ин-та. 1968. Т. 134. С. 188.
- Шабынин Л.Л. // Изв. Томского политех. ин-та. 1967. Т. 167. С. 67.
- Сердюк С.С. Золотоносные провинции Центральной Сибири: геология, минерагения и перспективы освоения. Автореф. дис. … докт. геол.-мин. наук. Красноярск: КНИИГИМС, 2004. 60 c.
- Евсеев В.В., Немеров В.К., Серебренникова О.В. // Нефтегаз. дело. 2008. № 1. С. 1.
- Таусон В.Л., Немеров В.К., Развозжаева Э.А. и др. // ДАН. 2009. Т. 426. № 4. С. 529. [Tauson V.L., Nemerov V.K., Razvozzhaeva E.A. et al. // Dokl. Earth Sci. 2009. V. 426. P. 690.] https://doi.org/10.1134/S1028334X09040400
- Сергеев Г.Б. Нанохимия: учебн. пособие. М.: Изд-во КДУ, 2015. 384 с.
- Lo Nigro R., Fiorenza P., Pécz B., et al. // Nanomaterials. 2022. V. 12. I. 19. P. 3319. https://doi.org/10.3390/nano12193319
- Апяри В.В., Дмитриенко С.Г., Горбунова М.В. и др. // Журн. аналит. химии. 2019. Т. 74. № 1. С. 26. https://doi.org/10.1134/S0044450219010055
- Дурович Е.А., Евтушенко Е.Г., Сенько О.В. и др. // Вестн. Росс. гос. мед. ун-та. 2018. № 6. С. 27. https://doi.org/10.24075/vrgmu.2018.088
- Варфоломеев С.Д. Молекулярные основы интеллекта. М.: Изд-во МГУ, 2024. 290 с.
- Коршунов А.В., Кашкан Г.В., Нгуен Х.Т. Т. и др. // Изв. Томского политех. ун-та. 2011. Т. 318. № 3. С. 12. http://earchive.tpu.ru/handle/11683/3644
- Turkevich J., Stevenson P.C., Hillier J. // Discussions of the Faraday Society. 1951. V. 11. P. 55.
- Chow M.K., Zukoski C.F. // J. Colloid Interface Sci. 1994. V. 165. P. 97. https://doi.org/10.1006/jcis.1994.1210
- Patungwasa W., Hodak J.H. // Materials Chemistry and Physics. 2008. V. 108. I. 1. P. 45. https://doi.org/10.1016/j.matchemphys.2007.09.001.
- Vityuk N.V., Eremenko A.M., Rusinchuk N.M., et al. // Himia, Fizika ta Tehnologia Poverhni. 2023. V. 14. I. 3. P. 310. https://doi.org/10.15407/hftp14.03.310
- Rodriguez-Gonzalez B., Mulvaney P., Liz-Marzan L.M. // Zeitschrift für Physikalische Chemie. 2007. V. 221. I. 3. P. 415. https://doi.org/10.1524/zpch.2007.221.3.415
- Коршунов А.В., Перевезенцева Д.О., Коновчук Т.В. и др. // Изв. Томского политех. ун-та. 2010. Т. 317. № 3. С. 6. http://earchive.tpu.ru/handle/11683/3351
- Варфоломеев С.Д. Динамика неустойчивости. Кинетическое моделирование и методы управления. М.: Научный мир, 2021. 282 с.
- Варфоломеев С.Д., Гуревич К.Г. Биокинетика. Практический курс. М.: Фаир-Пресс, 1999. 720 с.
- Хусаинова А.Ш. Поведение золота в техногенно-минеральных образованиях месторождений золото-сульфидного типа: Автореф. дис. … канд. гео.-мин. наук. Новосибирск: ИГМ СО РАН, 2020. 19 с.
- Воробьев А.Е., Хоноре Т. // Вестник РУДН. Сер. Инженерные исследования. 2016. № 1. С. 78.
- Таусон В.Л., Кравцова Р.Г., Липко С.В. и др. // Докл. Акад. наук. 2018. Т. 480. № 2. С. 210 [Tauson V.L., Kravtsova R.G., Lipko S.V. et al. // Doklady Earth Sciences. 2018. V. 480. No. 2. P. 210.] https://doi.org/10.1134/S1028334X18050185
Supplementary files















