Конденсированные гетероциклические соединения на основе 1,10-фенатролина в реакции электрокаталитического получения молекулярного водорода: влияние заместителей на эффективность процесса
- Авторы: Долганов А.В.1, Юдина А.Д.1, Бойкова Т.В.1, Ганц О.Ю.1, Климаева Л.А.1, Улякина Ю.В.1, Бурмистрова А.А.1, Кемаева Е.А.1, Окина Е.В.1, Мурюмин Е.Е.1, Князев А.В.2
-
Учреждения:
- ФГБОУ ВО “Национальный исследовательский Мордовский государственный университет им. Н. П. Огарёва”
- Национальный исследовательский Нижегородский государственный университет им. Н. И. Лобачевского
- Выпуск: Том 98, № 11 (2024)
- Страницы: 148-155
- Раздел: ЭЛЕКТРОХИМИЯ. ГЕНЕРАЦИЯ И АККУМУЛИРОВАНИЕ ЭНЕРГИИ ИЗ ВОЗОБНОВЛЯЕМЫХ ИСТОЧНИКОВ
- Статья получена: 19.03.2025
- Статья одобрена: 19.03.2025
- Статья опубликована: 15.11.2024
- URL: https://bakhtiniada.ru/0044-4537/article/view/284160
- DOI: https://doi.org/10.31857/S0044453724110172
- EDN: https://elibrary.ru/EYGYVV
- ID: 284160
Цитировать
Аннотация
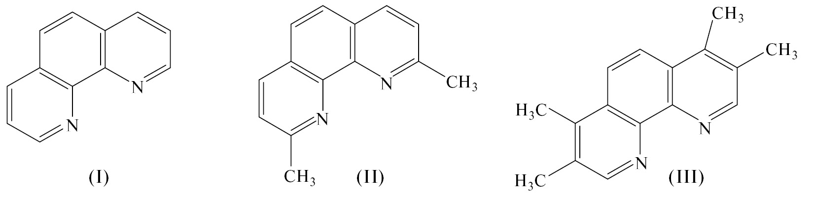
С использованием метода циклической вольтамперометрии изучена электрокаталитическая активность в реакции образования молекулярного водорода в присутствии конденсированных гетероциклицеских соединений – 1,10-фенатролина и его производных – 2,9-диметил-1,10-фенантролина и 3,4,7,8-тетраметил-1,10-фенантролина в присутствии CF3COOH. Показано, что эффективность и механизм электрокаталитического процесса сильно зависят от природы катализатора. Увеличение количества метильных заместителей в гетероциклическом остове приводит к увеличению эффективности процесса (выше значения TOF). Методом DFT в рамках теории функционала плотности (DFT) с использованием гибридного функционала B3LYP в базисе 6–31++G изучены механизмы происходящих процессов и выявлены ключевые интермедиаты.
Полный текст
Об авторах
А. В. Долганов
ФГБОУ ВО “Национальный исследовательский Мордовский государственный университет им. Н. П. Огарёва”
Автор, ответственный за переписку.
Email: dolganov_sasha@mail.ru
Россия, Саранск, 430005
А. Д. Юдина
ФГБОУ ВО “Национальный исследовательский Мордовский государственный университет им. Н. П. Огарёва”
Email: dolganov_sasha@mail.ru
Россия, Саранск, 430005
Т. В. Бойкова
ФГБОУ ВО “Национальный исследовательский Мордовский государственный университет им. Н. П. Огарёва”
Email: dolganov_sasha@mail.ru
Россия, Саранск, 430005
О. Ю. Ганц
ФГБОУ ВО “Национальный исследовательский Мордовский государственный университет им. Н. П. Огарёва”
Email: dolganov_sasha@mail.ru
Россия, Саранск, 430005
Л. А. Климаева
ФГБОУ ВО “Национальный исследовательский Мордовский государственный университет им. Н. П. Огарёва”
Email: dolganov_sasha@mail.ru
Россия, Саранск, 430005
Ю. В. Улякина
ФГБОУ ВО “Национальный исследовательский Мордовский государственный университет им. Н. П. Огарёва”
Email: dolganov_sasha@mail.ru
Россия, Саранск, 430005
А. А. Бурмистрова
ФГБОУ ВО “Национальный исследовательский Мордовский государственный университет им. Н. П. Огарёва”
Email: dolganov_sasha@mail.ru
Россия, Саранск, 430005
Е. А. Кемаева
ФГБОУ ВО “Национальный исследовательский Мордовский государственный университет им. Н. П. Огарёва”
Email: dolganov_sasha@mail.ru
Россия, Саранск, 430005
Е. В. Окина
ФГБОУ ВО “Национальный исследовательский Мордовский государственный университет им. Н. П. Огарёва”
Email: dolganov_sasha@mail.ru
Россия, Саранск, 430005
Е. Е. Мурюмин
ФГБОУ ВО “Национальный исследовательский Мордовский государственный университет им. Н. П. Огарёва”
Email: dolganov_sasha@mail.ru
Россия, Саранск, 430005
А. В. Князев
Национальный исследовательский Нижегородский государственный университет им. Н. И. Лобачевского
Email: dolganov_sasha@mail.ru
Россия, Нижний Новгород, 603022
Список литературы
- Tang H.M., Fan W.Y. // ACS Omega. 2023. V. 8. P. 7234. doi: 10.1021/acsomega.3c00412.
- Wang M., Wang Z., Gong X., et al. // Renewable and Sustainable Energy Reviews 2014. V. 29. P. 573. doi: 10.1016/j.rser.2013.08.090.
- Armaroli N., Balzani V. // Chem.Sus.Chem. 2011. V. 4. P. 21. doi: 10.1002/cssc.201000182.
- Lei H., Wang Y., Zhang Q., et al. // J. Porphyrins Phthalocyanines. 2020. V. 24. P. 1361. doi: 10.1142/S1088424620500157.
- Griffiths S., Sovacool B.K., Kim J., et al. // Energy Research & Social Science 2021. V. 80. P. 102208. doi: 10.1016/j.erss.2021.102208.
- Belaya I.G., Svidlov S.V., Dolganov A.V. et al. // Dalton Trans. 2013. V. 42. P. 13667. doi: 10.1039/c3dt50881a.
- Lebed E.G., Belov A.S., Dolganov A.V. et al. // Inorganic Chemistry Communications. 2013. V. 30. P. 53. doi: 10.1016/j.inoche.2013.01.020.
- Voloshin Y.Z., Lebedev A.Y., Novikov V.V. et. al. // Inorganica Chimica Acta. 2013. V. 399. P. 67. doi: 10.1016/j.ica.2012.12.042.
- Patra B.C., Khilari S., Manna R.N., et al. // ACS Catal 2017. V. 7. P. 6120. doi: 10.1021/acscatal.7b01067.
- Dolganov A.V., Tanaseichuk B.S., Pryanichnikova M.K., et al. // J. Phys. Org. Chem. 2019. V. 32. № 5. e3930. doi: 10.1002/poc.3930.
- Dolganov A.V., Muryumin E.E., Chernyaeva O.Y., et al. // Materials Chemistry and Physics. 2019. V. 224. P. 148. doi: 10.1016/j.matchemphys.2018.12.006.
- Dolganov A.V., Tarasova O.V., Ivleva A.Y., et al. // Intern. J. of Hydrogen Energy. 2017. V. 42. № 44. P. 27084. 10.1016/j.ijhydene.2017.09.080.
- Dolganov A.V., Tarasova O.V., Moiseeva D.N., et al // Intern. J. of Hydrogen Energy. 2016. V. 41. № 22. P. 9312. 10.1016/j.ijhydene.2016.03.131..
- Dolganov A.V., Balandina A.V., Chugunov D.B., et al. // Russ. J. Gen. Chem. 2020, V. 90. № 7. P. 1229. doi: 10.1134/S1070363220070099.
- Dolganov A.V., Tanaseichuk B.S., Tarasova O.V., et al. // Rus. J. Electrochem 2019. V. 55. № 8. P. 807. doi: 10.1134/S1023193519080056
- Dolganov A.V., Tarasova O.V., Balandina A.V., et al. // Rus. J. Org. Chem. 2019. V. 55. № 7. Р. 938. doi: 10.1134/S1070428019070030.
- Dolganov A.V., Tanaseichuk B.S., Yurova V. Yu, et al. // Intern. J. of Hydrogen Energy 2019. V. 44 № 39. P. 21495. doi: 10.1016/j.ijhydene.2019.06.067.
- Dolganov A.V., Chernyaeva O.Y., Kostryukov S.G., et al. // Intern. J. of Hydrogen Energy. 2020. V. 45. № 1. P. 501. doi: 10.1016/j.ijhydene.2019.10.175.
- Dolganov A. V., Tanaseichuk B.S., Moiseeva D.N., et al. // Electrochem. Commun., 2016. V. 68. P. 59. doi: 10.1016/j.elecom.2016.04.015.
- Dolganov A.V., Tanaseichuk, B.S., Tsebulaeva Y.V., et al. // Int. J. Electrochem. Sci. 2016. P. 9559. doi: 10.20964/2016.11.24.
- Ganz O. Yu., Klimaeva L.A., Chugunov D.B., et al. // Russ. J. Phys. Chem. 2022. V. 96 № 5. P. 954. doi: 10.1134/S0036024422050120
- Klimaeva L.A., Ganz O. Yu., Chugunov D.B., et al. // Ibid. 2022. V. 96. P. 958. doi: 10.1134/S0036024422050156.
- Felton G.A.N., Glass R.S., Lichtenberger D.L., et al. // Inorg. Chem. 2006. V. 45 P. 9181. doi: 10.1021/ic060984e.
- Roberts J.A.S., Bullock R.M. // Ibid. 2013. V. 52. P. 3823. doi: 10.1021/ic302461q.
- Helm M.L., Stewart M.P., Bullock R.M., et al. // Science. 2011. V. 333. P. 863. doi: 10.1126/science.1205864.
- Najoczki F., Beller G., Szabo M. // New J. Chem. 2017. doi: 10.1039/C7NJ01860F.
- Karak P., Mandal S.K., Choudhury J. // J. Am Chem. Soc. 2023. V. 145. P. 17321. doi: 10.1021/jacs.3c04737.
- Manton J.C., Hidalgo D., Frayne L., // Intern. J. of Hydrogen Energy 2018. V. 43. P. 18843. doi: 10.1016/j.ijhydene.2018.08.017.
- Gómez-Gallego M., Sierra M.A. // Chem Rev 2011. V. 111. P. 4857. doi: 10.1021/cr100436k.
- Stephens P.J., Devlin F.J., Chabalowski C.F., et al. // J. Phys. Chem. 1994. V.98. P. 11623. doi: 10.1021/j100096a001.
- Ditchfield R., Hehre W.J., Pople J.A. // The J. of Chem.Phys. 1971. V. 54 P. 724. doi: 10.1063/1.1674902.
- Schmidt M.W., Baldridge K.K., Boatz J.A., et al. // J. Comput. Chem. 1993. V. 14. P. 1347. doi: 10.1002/jcc.540141112.
- Baik M-H., Friesner R.A. // J. Phys. Chem. A. 2002. V. 106. P. 7407. doi: 10.1021/jp025853n.
Дополнительные файлы










