Фотокаталитическая деструкция цефтриаксона в водных растворах
- Авторы: Сизых М.Р.1, Батоева А.А.1, Алексеев К.Д.1
-
Учреждения:
- Байкальский институт природопользования СО РАН
- Выпуск: Том 98, № 11 (2024)
- Страницы: 79-86
- Раздел: ФИЗИЧЕСКАЯ ХИМИЯ РАСТВОРОВ
- Статья получена: 19.03.2025
- Статья одобрена: 19.03.2025
- Статья опубликована: 15.11.2024
- URL: https://bakhtiniada.ru/0044-4537/article/view/284048
- DOI: https://doi.org/10.31857/S0044453724110094
- EDN: https://elibrary.ru/EZEZII
- ID: 284048
Цитировать
Аннотация
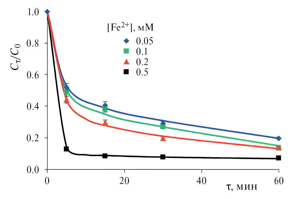
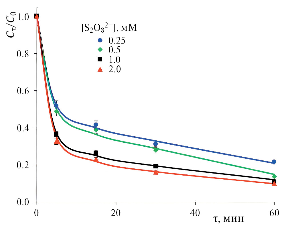
Изучены кинетические закономерности деструкции цефалоспориновых антибиотиков, на примере цефтриаксона (ЦЕФ) в фотоинициированных окислительных системах, с использованием в качестве источника квазисолнечного излучения ксеноновой лампы (UV–Vis). Установлено, что по эффективности и скорости деструкции антибиотика рассмотренные окислительные системы можно выстроить в следующий ряд: {UV–Vis/Fe₂⁺/S₂O₈²⁻}>{Fe₂⁺/S₂O₈²⁻}>>{UV–Vis/S₂O₈²⁻}>{UV–Vis}. Оптимальные условия для окислительной деструкции ЦЕФ в системе {UV–Vis/Fe₂⁺/S₂O₈²⁻} реализуются при соотношениях [S₂O₈²⁻]:[ЦЕФ]=30:1 и [S₂O₈²⁻]:[Fe₂⁺]=1:0.1. Сделан вывод, что с увеличением температуры до 40°C начальная скорость реакции окисления ЦЕФ и эффективность возрастают. Кажущаяся энергия активации реакции окисления ЦЕФ в системе {UV–Vis/Fe₂⁺/S₂O₈²⁻} составила 45 кДж∙моль–1, что сопоставимо со значениями, полученными для антибиотиков цефалоспоринового ряда. С использованием ингибиторов радикальных реакций доказано, что при окислительной деструкции ЦЕФ в комбинированной системе {UV–Vis/Fe₂⁺/S₂O₈²⁻} реализуется мультирадикальный механизм с участием активных форм кислорода (АФК) – гидроксильных радикалов, сульфатных и супероксидных анион-радикалов. Отмечено, что полученные закономерности хорошо согласуются с результатами натурных исследований (“open-air”) с естественным солнечным излучением (Solar), при этом в системе {Solar/Fe₂⁺/S₂O₈²⁻} наблюдается существенная интенсификация процесса окисления ЦЕФ, обусловленная комбинированной активацией персульфата ионами железа, УФ-С (<300 нм) составляющей естественного солнечного излучения и термическим воздействием. Результаты свидетельствуют о перспективности использования комбинированной окислительной системы {Solar/Fe₂⁺/S₂O₈²⁻} для деструкции антибиотиков с целью снижения их поступления в окружающую среду.
Полный текст
Об авторах
М. Р. Сизых
Байкальский институт природопользования СО РАН
Автор, ответственный за переписку.
Email: marisyz@mail.ru
Россия, Улан-Удэ
А. А. Батоева
Байкальский институт природопользования СО РАН
Email: marisyz@mail.ru
Россия, Улан-Удэ
К. Д. Алексеев
Байкальский институт природопользования СО РАН
Email: marisyz@mail.ru
Россия, Улан-Удэ
Список литературы
- Nandana B., John S., Velmaiel K.E., et al.// J. Environ. Chem. Eng. 2024. V. 12. № 1. 111567. doi: 10.1016/j.jece.2023.111567
- Устойчивость к антибиотикам. Всемирная организация здравоохранения. https://www.who.int/ru/news-room/fact-sheets/detail/antibiotic-resistance.
- Silva V., Louros V.L., Silva C.P., et al. // Chemosphere. 2024. V. 348. 140723. doi: 10.1016/j.chemosphere.2023.140723
- Zhang L., Zhu Z., Zhao M., et al. // Sci. Total Environ. 2023. V. 899. 165681. doi: 10.1016/j.scitotenv.2023.165681
- Ekwanzala M.D., Lehutso R.F., Kasonga T.K., et al. // Antibiotics. 2020. V. 9. № 7. 431. doi: 10.3390/antibiotics9070431
- Dias I.M., Mourão L.C., Andrade L.A., et al. // Water Res. 2023. V. 234. 119826. doi: 10.1016/j.watres.2023.119826
- Lamba M., Sreekrishnan T.R., Ahammad S.Z. // J. Environ. Chem. Eng. 2020. V. 8. № 1. 102088. doi: 10.1016/j.jece.2017.12.041
- Tavares R.D.S., Tacão M., Figueiredo A.S., et al.// Water Res. 2020. V. 184. 116079. doi: 10.1016/j.watres.2020.116079
- Shanmuganathan R., Sibtain Kadri M., Mathimani T., et al.// Chemosphere. 2023. V. 332. 138812. doi: 10.1016/j.chemosphere.2023.138812
- Hoang N.T., Manh T.D., Tram N.C.T., et al. // J. Environ. Chem. Eng. 2024. V. 12. № 1. 111846. doi: 10.1016/j.jece.2023.111846
- Huang A., Yan M., Lin J., et al. // Int. J. Environ. Res. Public Health. 2021. V. 18. № 9. 4909. doi: 10.3390/ijerph18094909
- Ahmed M.B., Zhou J.L., Ngo H.H., et al./ J. Hazard. Mater. 2017. V. 323. P. 274–298. doi: 10.1016/j.jhazmat.2016.04.045
- Brillas E. // J. Environ. Chem. Eng. 2023. V. 11. № 6. 111303. doi: 10.1016/j.jece.2023.111303
- Dong C., Fang W., Yi Q., Zhang J. // Chemosphere. 2022. V. 308. 136205. doi: 10.1016/j.chemosphere.2022.136205
- Wang B., Wang Y. // Sci. Total Environ. 2022. V. 831. 154906. doi: 10.1016/j.scitotenv.2022.154906
- СанПиН 1.2.3685–21 “Гигиенические нормативы и требования к обеспечению безопасности и (или) безвредности для человека факторов среды обитания”/Постановление Роспотребнадзора от 28.01.2021 г. № 2. https://www.rospotrebnadzor.ru/files/news/GN_sreda%20_obita. // 2021.
- Pirsaheb M., Hossaini H., Janjani H. // Desalin. Water Treat. 2019. V. 165. P. 382–395. doi: 10.5004/dwt.2019.24559
- Zhang Y., Zhao Y.-G., Maqbool F., Hu Y. // J. Water Process Eng. 2022. V. 45. 102496. doi: 10.1016/j.jwpe.2021.102496
- Welch D., Buonanno M., Grilj V., et al.// Sci. Rep. 2018. V. 8. № 1. 2752. doi: 10.1038/s41598-018-21058-w
- Xu J., Huang C.-H. // Environ. Sci. Technol. Lett. 2023. V.10. P. 543–548. doi: 10.1021/acs.estlett.3c00313
- Matafonova G., Batoev V. // Water Res. 2018. V. 132. P. 177–189. doi: 10.1016/j.watres.2017.12.079
- Krutzler T., Fallmann H., Maletzky P., et al.// Catal. Today. 1999. V. 54. № 2. P. 321–327. doi: 10.1016/S0920-5861(99)00193-5
- Khandarkhaeva M., Batoeva A., Aseev D., et al.// Ecotoxicol. Environ. Saf. 2017. V. 137. P. 35–41. doi: 10.1016/j.ecoenv.2016.11.013
- P. Anipsitakis G., Dionysiou D. // Appl. Catal. B. 2004. V. 54. P. 155–163. doi: 10.1016/j.apcatb.2004.05.025
- Matzek L.W., Carter K.E. // Chemosphere. 2016. V. 151. P. 178–188. doi: 10.1016/j.chemosphere.2016.02.055
- Zhu J.-P., Lin Y.-L., Zhang T.-Y., et al.// Chem. Eng. J. 2019. V. 367. P. 86–93. doi: 10.1016/j.cej.2019.02.120
- Bu L., Shi Z., Zhou S. // Sep. Purif. Technol. 2016. V. 169. P. 59–65. doi: 10.1016/j.seppur.2016.05.037
- Sang W., Xu X., Zhan C., et al.// J. Water Process Eng. 2022. V. 49. 103075. doi: 10.1016/j.jwpe.2022.103075
- Grčić I., Vujević D., Koprivanac N. // Chem. Eng. J. 2010. V. 157. № 1. P. 35–44. doi: 10.1016/j.cej.2009.10.042
- Li Y., Shi Y., Huang D., Wu Y., Dong W. // J. Hazard. Mater. 2021. V. 413. P. 125420. doi: 10.1016/j.jhazmat.2021.125420
- Pan M., Ding J., Duan L., Gao G. // Chemosphere. 2017. V. 167. P. 353–359. doi: 10.1016/j.chemosphere.2016.09.144
- Ioannidi A., Arvaniti O.S., Nika M.-C., et al.// Chemosphere. 2022. V. 287. 131952. doi: 10.1016/j.chemosphere.2021.131952
- Diao Z.H., Wei-Qian, Guo P.R., et al. // Chem. Eng. J. 2018. V. 349. P. 683–693. doi: 10.1016/j.cej.2018.05.132
- Wojnárovits L., Takács E. // Chemosphere. 2019. Vol. 220, P. 1014–1032. doi: 10.1016/j.chemosphere.2018.12.156
- Wojnárovits L., Tóth T., Takács E. // Crit. Rev. Environ. Sci. Technol. 2018. V. 48. № 6. P. 575–613. doi: 10.1080/10643389.2018.1463066
- Hwang S., Huling S.G., Ko S. // Chemosphere. 2010. V. 78. № 5. P. 563–568. doi: 10.1016/j.chemosphere.2009.11.005
- Cai H., Chen M., Li J., et al.// Mater. Sci. Semicond. Process. 2022. V. 143. 106502. doi: 10.1016/j.mssp.2022.106502
- Erdem H., Erdem M. // J. Environ. Chem. Eng. 2023. P. 111720. doi: 10.1016/j.jece.2023.111720
- Gutiérrez-Sánchez P., Álvarez-Torrellas S., Larriba M., et al. // J. Environ. Chem. Eng. 2023. V. 11. № 2. 109344. doi: 10.1016/j.jece.2023.109344
Дополнительные файлы










