Сорбция производных 1,2,3,4-тетрагидрохинолина и пиридазино[4,5-с]хинолина в условиях ОФ ВЭЖХ
- Authors: Рыжкин С.А.1, Капитонов А.В.1, Курбатова С.В.1, Земцова М.Н.2
-
Affiliations:
- Самарский национальный исследовательский университет им. академика С. П. Королева
- Самарский государственный технический университет
- Issue: Vol 98, No 10 (2024)
- Pages: 132–140
- Section: PHYSICAL CHEMISTRY OF SEPARATION PROCESSES. CHROMATOGRAPHY
- Submitted: 09.03.2025
- Accepted: 09.03.2025
- Published: 11.10.2024
- URL: https://bakhtiniada.ru/0044-4537/article/view/282915
- DOI: https://doi.org/10.31857/S0044453724100198
- EDN: https://elibrary.ru/DZSKSP
- ID: 282915
Cite item
Full Text
Abstract
Исследованы закономерности сорбции некоторых производных 1,2,3,4-тетрагидрохинолина и пиридазино[4,5-с]хинолина в условиях обращенно-фазовой высокоэффективной жидкостной хроматографии из водноацетонитрильных растворов на октадецилсиликагеле. Определены физико-химические характеристики и факторы удерживания сорбатов при различном содержании ацетонитрила в элюенте. Проанализированы зависимости изменения фактора удерживания в зависимости от строения сорбатов и состава элюента.
Full Text
Значительное число публикаций, посвященное исследованию особенностей строения и физико-химических свойств гетероциклических соединений природного и синтетического происхождения, связано с их многообразием и широким спектром практически значимых свойств [1–3]. Разнообразие строения гетероциклов обусловлено, прежде всего, природой и числом гетероатомов и заместителей, входящих в состав молекул, а также природой взаимодействия неподеленных электронных пар гетероатомов и электронов циклической системы, в максимальной степени проявляемое в ароматических гетероциклах. Подобное взаимодействие приводит, как правило, к неравномерному распределению электронной плотности, уменьшению энергии делокализации и, таким образом, к изменению параметров молекул, а следовательно, и их свойств по сравнению с соответствующими углеводородными аналогами. Предполагается, что именно возможность перемещения электронов внутри подобных молекулярных структур является одной из основных причин значительной биологической активности большинства гетероциклических соединений [1].
Наиболее широким спектром важных в практическом отношении свойств характеризуются азотистые гетероциклы, многие из которых составляют основу соединений, играющих важную роль в биологических процессах (нуклеиновые кислоты, хлорофилл, гем, многие витамины и т. п.), входят в состав уже используемых лекарственных препаратов (дибазол, метронидазол, этимизол, нафтизин, нитроксолин и др.) [1–5]. Среди азотистых гетероциклических соединений особое место занимают производные хинолина и тетрагидрохинолина, практическое применение которых связано как с высокой биологической активностью этих соединений, так и с другими полезными свойствами, позволяющими использовать их в качестве красителей, термостойких полимеров, аналитических реагентов и многих других практически важных материалов [5–7]. Среди диазинов наиболее известными являются производные пиримидина, входящие в состав нуклеиновых кислот и являющиеся основой многих антивирусных препаратов, используемых, например, для лечения гепатита, ВИЧ инфекций и пр. Лекарственные препараты на основе пиридазина обладают гипотензивными и адренолитическими свойствами, используются для профилактики и лечения заболеваний иммунной системы, воспалительных и ишемических заболеваний и пр. Кроме того, производные пиридазина используют в качестве регуляторов роста растений и гербицидов [1–3].
Широкое практическое применение азотистых гетероциклов и проявляемые ими свойства, обусловленные особенностями строения молекул, делают эти вещества весьма интересными объектами исследования взаимосвязи структура – свойство. Детальное исследование влияния строения молекул на проявляемые ими свойства может быть реализовано с помощью хроматографических методов и, в частности, варианта жидкостной хроматографии, поскольку варьирование качественного и количественного состава компонентов подобной хроматографической системы позволяет реализовать участие молекул сорбатов в различных типах межмолекулярных взаимодействий и, таким образом, охарактеризовать особенности строения молекул аналитов и их влияние на проявляемые физико-химические свойства [8].
Ранее нами исследованы особенности хроматографического поведения производных 4-карбокси-, 4-аминохинолина и некоторых производных 1,2,3,4-тетрагидрохинолина [9, 10]. На основании полученных экспериментальных данных было установлено, что для этих соединений наблюдаются достаточно существенные отклонения от известных закономерностей обращенно-фазового варианта высокоэффективной жидкостной хроматографии (ОФ ВЭЖХ) [11].
Данных о влиянии строения на свойства производных пиридазина в литературе крайне мало, а сведений о сорбционных характеристиках этих соединений нами не обнаружено. В публикациях, посвященных пиридазину, речь идет, главным образом, о методиках синтеза его производных и возможностях их практического применения [12, 13].
Таким образом, целью настоящей работы явилось исследование влияния строения производных 1,2,3,4-тетрагидрохинолина и пиридазино[4,5-с]хинолина на их удерживание из водноацетонитрильных растворов на октадецилсиликагеле.
Экспериментальная часть
Эксперимент проводили в условиях обращенно-фазового варианта ВЭЖХ на жидкостном хроматографе Милихром-1А, оснащенном УФ-спектрофотометрическим детектором, при длине волны 254 нм.
В качестве сорбента использовали октадецилированный силикагель ProntoSil-120-С18, с удельной площадью поверхности 500 м2/г; размер зерен сорбента 5 мкм; размеры колонки 75×2 мм. Элюирование осуществляли в изократическом режиме при 298K. В качестве подвижной фазы использовали смеси ацетонитрил – вода с разным количественным составом. Объемная скорость потока элюента составляла 100 мкл/мин. Для приготовления подвижных фаз использовали тридистиллированную воду и ацетонитрил. Дегазирование осуществляли воздействием на приготовленные водно-ацетонитрильные смеси ультразвука с помощью установки марки УЗДН-2Т. Пробу сорбата готовили растворением кристаллического вещества в соответствующей подвижной фазе. Удерживание исследованных соединений характеризовали величиной фактора удерживания (k), рассчитанного известным способом [8]. Погрешность определения не превышала 2%.
Формулы исследованных соединений, а также полученные экспериментально значения фактора удерживания, усредненные по 5–7 значениям, и рассчитанные с использованием программы HyperChem 8 Professional значения мольного объема (V), поляризуемости (α), липофильности (lgP) и дипольного момента (μ) представлены в табл. 1.
Таблица 1. Фактор удерживания (k) при разных концентрациях ацетонитрила в элюенте и физико-химические характеристики сорбатов
№ | Формула | k | V, Ǻ3 | lgP | α, Ǻ3 | μ, D | ||
70% | 60% | 50% | ||||||
1 | 0.98 | 1.36 | 1.93 | 339 | 3.20 | 40.9 | 4.26 | |
2 | 0.63 | 1.07 | 1.20 | 232 | 1.72 | 26.1 | 3.17 | |
3 | 0.39 | 0.48 | 0.74 | 234 | 0.85 | 26.7 | 5.11 | |
4 | 0.48 | 0.57 | 1.06 | 229 | 1.79 | 26.6 | 2.07 | |
5 | 2.43 | 3.84 | 12.16 | 214 | 0.83 | 26.1 | 0.56 | |
6 | 2.30 | 3.48 | 4.91 | 162 | 0.32 | 19.0 | 2.42 | |
7 | 1.82 | 3.42 | 6.63 | 261 | 1.69 | 31.9 | 3.86 | |
8 | 2.26 | 3.52 | 5.07 | 244 | 2.17 | 30.0 | 3.42 | |
9 | 3.29 | 7.36 | 10.60 | 258 | 1.95 | 32.0 | 3.28 | |
10 | 1.64 | 1.95 | 2.93 | 244 | 1.27 | 30.9 | 3.06 | |
11 | 2.17 | 2.87 | 5.04 | 256 | 1.65 | 32.9 | 2.32 | |
12 | 1.84 | 2.33 | 3.67 | 250 | 0.51 | 32.3 | 1.52 | |
13 | 1.62 | 1.91 | 2.68 | 242 | 1.88 | 31.0 | 1.34 | |
14 | 2.21 | 2.82 | 2.85 | 263 | 1.93 | 33.6 | 0.78 | |
15 | 1.62 | 1.93 | 2.81 | 267 | 0.88 | 33.4 | 1.54 | |
Примечание. Далее нумерация веществ в соответствии с данной таблицей.
Обсуждение результатов
Строение исследованных нами гетероциклических соединений характеризуется либо наличием насыщенного циклического фрагмента тетрагидрохинолина, либо пиридазинового фрагмента, аннелированного с хинолином. Особенностью структуры тетрагидрохинолинов является сочетание ароматического кольца и насыщенного гетероцикла, что способствует возникновению структурных деформаций и искажению геометрии этих молекул по сравнению с хинолином. Атом азота пиридинового кольца в хинолине проявляет отрицательный мезомерный и индуктивный эффекты и смещает распределение электронной плотности в конденсированной ароматической системе. В пиперидиновом фрагменте тетрагидрохинолина атом азота способен к проявлению лишь отрицательного индуктивного эффекта [3]. В целом тетрагидрохинолины обладают свойствами алкилариламинов и сочетают в себе свойства донора водорода и донора электронов, при этом ароматический фрагмент способен к проявлению сильных дисперсионных и π–π-взаимодействий, а атом азота гетероцикла может вступать в различные специфические взаимодействия [2].
Молекула пиридазина является плоской с энергией делокализации 92.4 кДж/моль (значительно меньшей, чем у пиридина и пиразина) и сильно поляризованной (дипольный момент составляет 3.94 D). Два иминных атома азота в пиридазине оттягивают электронную плотность атомов углерода в цикле, что способствует уменьшению основных свойств пиридазина по сравнению с пиридином [2]. Тем не менее, предполагается, что пиридазин, как и тетрагидрохинолин, обладает слабоосновными свойствами и является электронодефицитным соединением. Особенностью пиридазина является его высокая температура кипения (207°С), превышающая примерно на 80–90°С значения температуры кипения других азинов. Принято считать, что данный факт обусловлен способностью связи N-N к поляризации, приводящей к ассоциации молекул в жидком состоянии [3].
Аннелирование пиридазина с хинолином приводит к изменению многих характеристик молекул, при этом переход от производных тетрагидрохинолина к производным пиридазина не оказывает существенного влияния на размерные характеристики молекул – диапазон изменения молярного объема для всех исследованных нами гетероциклов лежит в пределах 162–339 Ǻ3, причем эти минимальное и максимальное значения соответствуют производным тетрагидрохинолина. Для производных пиридазина эти значения изменяются сравнительно мало в диапазоне от 244 до 267 Ǻ3. Значения поляризуемости молекул производных тетрагидрохинолина и пиридазина лежат в диапазонах 19.0–40.9 Ǻ3 и 30.9–33.6 Ǻ3 соответственно.
Основное влияние на изменение физико-химических параметров исследованных соединений оказывают природа и положение заместителей и функциональных групп. Строение молекул производных тетрагидрохинолина различается отсутствием или наличием функциональной группы у атома азота или находящейся в положении 4 гетероцикла, а также природой заместителей в положении 2. У производных пиридазина разница в строении обусловлена преимущественно различной природой заместителей в положении 4 пиридазинового фрагмента. Указанные особенности строения влияют на изменение физико-химических характеристик соответствующих веществ, причем более существенными эти изменения оказываются для производных тетрагидрохинолина. Так, присутствие полярных функциональных групп изменяет величину дипольного момента, при этом максимальные значения этой величины также характерны для производных тетрагидрохинолина, преимущественно с заместителями, соединенными с атомом азота в пиридиновом фрагменте (вещества 1, 3, 7). Величина липофильности изменяется в более широких пределах как для тетрагидрохинолинов, так и для производных пиридазина. Тем не менее, значения lgP в среднем оказываются несколько большими для производных с насыщенным гетероциклом, за исключением веществ, в молекулах которых присутствует дополнительный гетероатом в положении 2 (вещества 3, 5, 6). Для производных пиридазина минимальными значениями этого фактора характеризуются вещества 12 и 15 с тиенилом и метоксифенилом в положении 4.
Для определения влияния перечисленных особенностей строения молекул гетероциклов на их хроматографическое удерживание нами были проанализированы зависимости значений фактора удерживания на октадецилсиликагеле от физико-химических характеристик аналитов.
Из табл. 1 следует, что значения фактора удерживания исследованных веществ на ОДС изменяются в сравнительно широких пределах – от 0.74 для вещества 3 до 12.16 для соединения 5 (при концентрации ацетонитрила, равной 50%). Причем и минимальное, и максимальное значения фактора удерживания соответствуют производным тетрагидрохинолина. Для производных пиридазина разброс этих значений при данном составе элюента оказывается существенно меньшим и лежит в диапазоне 2.65–5.04.
Поскольку в ОФ ВЭЖХ удерживание, как известно, реализуется преимущественно за счет дисперсионных взаимодействий между молекулами сорбатов и неподвижной фазой, следует ожидать, что возрастание объема молекул, их поляризуемости и липофильности должно привести к росту удерживания [8]. Однако, известно так же, что подобные закономерности строго выполняются лишь для хроматографических систем, в которых отсутствуют дополнительные специфические взаимодействия сорбатов с сорбентом и элюентом. Молекулы исследованных нами сорбатов, помимо гетероатома в основном фрагменте, включают функциональные группы и заместители, способные к донорно-акцепторным взаимодействиям и образованию водородной связи с компонентами хроматографической системы. Таким образом, соединение 6 с минимальными значениями объема и поляризуемости сравнительно хорошо удерживается на поверхности октадецилсиликагеля вне зависимости от состава элюента (диапазон изменения величины k лежит в пределах 2.30–4.91). В то же время для вещества 1 с максимальными значениями объема и поляризуемости диапазон значений фактора удерживания составляет лишь 0.98–1.93 в зависимости от концентрации ацетонитрила в элюенте. Однако, как уже было отмечено выше, для этого вещества оказывается максимальным значение дипольного момента, что способствует усилению его взаимодействия с компонентами элюента и, таким образом, снижает удерживание. Вещество 3 с максимальным значением дипольного момента характеризуется значениями фактора удерживания, меньшими единицы при всех исследованных составах элюента. При этом на удерживание производных пиридазина величина дипольного момента практически не влияет: для веществ 10 и 14 значения фактора удерживания составляют 2.93 и 2.85 при значениях дипольного момента 3.06 и 0.78 соответственно.
Полученные результаты хорошо иллюстрируют графики, приведенные на рис. 1, из которых следует, что при определенной симбатности в изменении удерживания исследованных веществ и их объема и поляризуемости строгая пропорциональность в изменении этих величин отсутствует. При этом максимальное отклонение от линий тренда наблюдается для точек, соответствующих уже охарактеризованным выше веществам 1, 5 и 6. С точки зрения строения молекулы этих веществ характеризуются следующими особенностями. У вещества 5 отсутствуют заместители в положении 4 и связанные с атомом азота, а также присутствует фенильный радикал в положении 2, следствием чего, вероятно, и является минимальное значение величины дипольного момента. Иное положение фенильного радикала в веществе 1, соединенного с атомом азота насыщенного гетероцикла через карбонильную группу в положении 1, существенно влияет на параметры данного вещества и, следовательно, на удерживание. При этом фенил, как известно, в зависимости от природы фрагмента, с которым он связан в молекуле, может выступать в качестве либо донора, либо акцептора π-электронной плотности, поэтому оказывается способным взаимодействовать преимущественно либо с неполярной неподвижной фазой, либо с полярным элюентом. Вероятно, именно этими обстоятельствами можно объяснить отклонение точек, соответствующих веществам 1 и 5, от общей зависимости, причем по разные стороны линии тренда. Отклонение точки, соответствующей веществу 6, вероятно, связано с минимальными значениями поляризуемости и объема его молекул при возросшем по сравнению с веществом 5 значением дипольного момента. Влияние заместителей на сорбцию пиридазинохинолинов оказывается менее существенным, возможно, в связи с основной ролью в удерживании аннелированных пиридазинового и хинолинового фрагментов и присутствием объемных фенила или тиенила в положении 4, в результате чего отклонение точек, соответствующих этим веществам, от линии тренда на приведенных графиках оказывается минимальным.
Рис. 1. Зависимости фактора удерживания исследованных веществ от объема (а) и поляризуемости (б) молекул исследованных веществ.
Таким образом, с одной стороны, удерживание исследованных сорбатов в описываемой хроматографической системе осуществляется в соответствии с их физико-химическими параметрами, обусловливая симбатность в их изменении, а с другой стороны, определяется склонностью молекул этих соединений к конкурентным взаимодействиям с компонентами подвижной фазы, что приводит к отсутствию строгой пропорциональности.
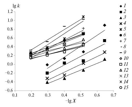
Для исследования влияния состава элюента на удерживание производных хинолина нами были использованы модели Снайдера–Сочевинского и Скотта–Кучеры, суть которых достаточно хорошо изложена в литературе [14–16]. Модель Снайдера–Сочевинского, как известно, аппроксимирует зависимость удерживания от состава элюента уравнением вида lgk= a – nlgXm, а модель Скотта–Кучеры базируется на использовании уравнения 1/k =A + BXm. Несмотря на то, что обе модели были предложены для описания адсорбции в нормальнофазовой жидкостной хроматографии, они вполне удовлетворительно характеризуют адсорбцию органических соединений и на неполярных сорбентах из среды полярного элюента, что иллюстрируют многочисленные опубликованные данные [16–18]. Основным недостатком этих моделей является их пренебрежение взаимодействием между молекулами элюента и сорбатов, вследствие чего при адсорбции сложных полифункциональных соединений, способных к специфическим взаимодействиям с компонентами элюента, часто наблюдаются существенные отклонения от данных моделей [19].
Графики зависимости фактора удерживания производных хинолина от состава элюента в координатах модели Снайдера–Сочевинского представлены на рис. 2. Аналогичные графики для модели Скотта–Кучеры имеют весьма близкий характер и здесь не приведены. Анализ полученных зависимостей показал, прежде всего, некоторое отличие зависимостей для веществ 1–4, удерживание которых незначительно изменяется с изменением состава элюента, а соответствующие графики составляют отдельную корреляционную серию. Данный факт может быть обусловлен строением молекул этих веществ, имеющих функциональные группы в положении 4, которые отсутствуют в молекулах остальных исследованных нами гетероциклов. Вероятно, подобное строение способствует усилению взаимодействия этих сорбатов с полярными компонентами элюента и уменьшению удерживания. Из рис. 2 следуют также определенные отклонения от указанной модели и для некоторых других веществ, что дополнительно иллюстрируют коэффициенты аппроксимации, приведенные в табл. 2 для двух моделей. В целом уровень аппроксимации зависимости удерживания от состава элюента оказывается примерно одинаковым для обеих моделей: коэффициенты аппроксимации лежат в пределах 0.847–0.993 для модели Снайдера–Сочевинского и 0.888–0.993 для модели Скотта–Кучеры.
Таблица 2. Параметры уравнений Снайдера–Сочевинского и Скотта–Кучеры
№ | lgk=a–nlgXm | 1/k=A–BXm | |||||
–a | nэксп | nтеор | R2 | –A | B | R2 | |
1 | 0.83 | 2.49 | 3.93 | 0.893 | 0.50 | 3.07 | 0.971 |
2 | 0.80 | 1.97 | 2.88 | 0.912 | 0.63 | 4.29 | 0.944 |
3 | 0.90 | 1.53 | 2.91 | 0.977 | 0.65 | 6.53 | 0.983 |
4 | 0.90 | 1.79 | 2.81 | 0.968 | 0.77 | 5.84 | 0.962 |
5 | 0.30 | 2.49 | 3.01 | 0.915 | 0.30 | 1.34 | 0.973 |
6 | 0.03 | 1.39 | 2.37 | 0.993 | 0.13 | 1.08 | 0.993 |
7 | 0.23 | 1.96 | 3.59 | 0.938 | 0.26 | 1.43 | 0.923 |
8 | 0.05 | 1.45 | 3.37 | 0.989 | 0.30 | 1.34 | 0.973 |
9 | 0.13 | 2.30 | 3.58 | 0.975 | 0.30 | 1.19 | 0.972 |
10 | 0.07 | 0.99 | 3.31 | 0.957 | –0.04 | 1.10 | 0.960 |
11 | 0.09 | 1.48 | 3.47 | 0.973 | 0.15 | 1.19 | 0.989 |
12 | 0.07 | 1.17 | 3.41 | 0.966 | 0.04 | 1.12 | 0.973 |
13 | 0.03 | 0.85 | 3.27 | 0.961 | –0.11 | 0.97 | 0.955 |
14 | –0.05 | 0.86 | 3.56 | 0.847 | –0.01 | 0.96 | 0.888 |
15 | 0.05 | 0.91 | 3.68 | 0.953 | –0.08 | 1.02 | 0.949 |
Рис. 2. Зависимости фактора удерживания от состава элюента.
Значения коэффициента n в уравнении Снайдера–Сочевинского, как известно, трактуют как число молекул полярного компонента растворителя, вытесняемых с поверхности адсорбента при адсорбции одной молекулы сорбата [14, 16].
Коэффициенту А в уравнении модели Скотта–Кучеры соответствует обратная величина фактора удерживания в отсутствие органического модификатора в элюенте. Однако, полученные для исследованных сорбатов отрицательные значения коэффициента А в модели Скотта–Кучеры не позволили нам интерпретировать этот параметр в соответствии с его физическим смыслом (этот недостаток модели, проявляющийся при анализе зависимости удерживания от состава элюента для различных типов сорбатов, отмечен и в литературе [8]). Предполагается, что такие значения коэффициента А могут быть обусловлены недостаточной строгостью полученных корреляций, связанной, в свою очередь, с неучтенным в данной модели влиянием элюента.
Если пренебречь отклонениями от линейности для некоторых веществ, то в соответствии с указанной трактовкой коэффициентов из данных табл. 2 следует, что производные тетрагидрохинолина (вещества 1–9) вытесняют с поверхности сорбента примерно от 1.5 до 2.5 молекул органического компонента, а производные пиридазина – от 1 до 1.5 молекул. Такое различие в количестве вытесняемых молекул элюента может быть следствием разных причин. Прежде всего, известно, что число вытесняемых молекул полярного компонента (т. е. значения n) определяется не столько размерами молекул сорбатов, сколько полярностью его функциональных групп и стерическим фактором [8]. При этом ориентирующее действие полярных компонентов элюента приводит к тому, что молекулы сорбатов взаимодействуют с поверхностью сорбента не всей своей поверхностью, а лишь наиболее гидрофобной ее частью, а полярные группы, сольватированные молекулами органического модификатора, ориентированы в сторону объема раствора. Таким образом, сорбаты, молекулы которых располагаются параллельно поверхности неподвижной фазы, способны вытеснить число молекул модификатора, близкое к теоретическому значению, которое рассчитывается как отношение площадей поверхности молекулы сорбата и молекулы органического модификатора элюента. При отклонении молекул удерживаемого соединения от оптимального положения будет увеличиваться и отклонение величины n, полученной в результате эксперимента, от расчетных значений (nтеор).
В табл. 2, помимо значений коэффициентов, полученных на основании экспериментальных данных, приведены значения коэффициента nтеор, рассчитанные нами как отношение площадей поверхности молекул сорбата и ацетонитрила. Из сопоставления этих данных следует существенно большая величина теоретических значений nтеор практически для всех исследованных веществ, что позволяет высказать предположение о том, что молекулы данных сорбатов контактируют с сорбентом лишь отдельными фрагментами в зависимости от природы и стереохимии сорбата и степени их взаимодействия с элюентом. (Возможность различной ориентации молекул тетрагидрохинолинов относительно поверхности сорбента из объема водноацетонитрильного элюента была показана нами ранее с помощью квантово-химических расчетов [20, 21]).
Кроме того, поверхность ОДС, как известно, не соответствует модели идеальной неполярной поверхности в связи с различной степенью модификации поверхности силикагеля и, таким образом, присутствием на его поверхности свободных силанольных групп, непосредственно на которых может быть реализована адсорбция молекул аналитов [20]. Сама поверхность модифицированного силикагеля, как показано в литературе [8, 20], не является плоской неполярной поверхностью, а представляет собой некоторую разрыхленную приповерхностную зону, заполненную, помимо модифицирующих лигандов, молекулами растворителя. Именно в связи с этими обстоятельствами способность молекул разделяемых веществ сорбироваться на ее поверхности либо внедряться между отдельными радикалами, модифицирующими поверхность, очевидно, будет зависеть не только от строения молекул сорбатов, но и от структуры модифицирующих радикалов и концентрации органического компонента в растворе элюента. Таким образом, изменение концентрации ацетонитрила в элюенте может привести к изменению механизма удерживания, косвенной иллюстрацией чего являются графики зависимости между факторами удерживания при различных составах элюента, приведенные на рис. 3. Как известно, близкая к линейной зависимость между двумя величинами означает пропорциональность приращений этих величин, а, следовательно, и близость свойств или процессов, характеризуемых этими величинами [22]. В таком случае, близкая к линейной зависимость между факторами удерживания одних и тех же сорбатов при разных составах элюента kA и kB, описываемая соотношением lgkA=a+blgkB, свидетельствует о близости соответствующих хроматографических процессов, а наличие отклонений от линейности характеризует их различия [8]. Таким образом, можно предположить, что при концентрациях ацетонитрила 50 и 60% процессы в хроматографической колонке термодинамически сравнительно близки, что следует из удовлетворительной корреляции между соответствующими факторами удерживания (рис. 3а). Увеличение концентрации ацетонитрила до 70% приводит к отклонениям от линейной зависимости и снижению уровня корреляции (рис. 3б), что может быть, вероятно, обусловлено либо усилением взаимодействия молекул сорбата с элюентом, либо изменением механизма удерживания с увеличением содержания в элюенте органического компонента [8]. Аналогичные закономерности были установлены нами при исследовании влияния состава элюента на удерживание производных бензотриазола [23].
Рис. 3. Корреляции (а, б) между факторами удерживания исследованных соединений при различных составах элюента.
Таким образом, сложность и неоднозначность процессов, протекающих при хроматографировании производных пиридазинолхинолина и тетерагидрохинолина, является, на наш взгляд, несомненным побудительным мотивом для проведения дальнейших исследований в этом направлении.
About the authors
С. А. Рыжкин
Самарский национальный исследовательский университет им. академика С. П. Королева
Email: curbatsv@gmail.com
Russian Federation, Самара
А. В. Капитонов
Самарский национальный исследовательский университет им. академика С. П. Королева
Email: curbatsv@gmail.com
Russian Federation, Самара
С. В. Курбатова
Самарский национальный исследовательский университет им. академика С. П. Королева
Author for correspondence.
Email: curbatsv@gmail.com
Russian Federation, Самара
М. Н. Земцова
Самарский государственный технический университет
Email: curbatsv@gmail.com
Russian Federation, Самара
References
- Иванский В.И. Химия гетероциклических соединений. М.: Высш. школа, 1978. 559 с.
- Джилкрист Т. Химия гетероциклических соединений: Пер. с англ. М.: Мир. 1996. 464 c.
- Joule. J.A., Mills K. Heterocyclic Chemistry. 5th ed.; A John Wiley & Sons, Ltd., Publication, 2010. 689 p.
- Nagaraju Kerru N., Gummidi L., Maddila S., et al. // Molecules. 2020. V. 25. P. 1909.
- Солдатенков А.Т., Колядина Н.М., Шендрик И.В. Основы органической химии лекарственных веществ. М.: Химия, 2001. 192.с.
- Медведева С.М., Шихалиев Х.С., Крыльский Д.В., Синяева Л.А. // Сорбц. и хроматогр. процессы. 2014. Т. 14. № 6. С. 970.
- Медведева С.М., Крысин М.Ю., Зубков Ф.И. и др. // Химия гетероциклических соединений. 2014. № 9. С. 1388. [Medvedeva S.M., Krysin M.Y., Shikhaliev K.S., et al. //Chemistry of Heterocyclic Compounds. 2014. Т. 50. № 9. С. 1280.]
- Шатц В.Д., Сахартова О.В. Высокоэффективная жидкостная хроматография. Рига: Зинатне, 1988. 390 с.
- Парамонова А.С., Курбатова С.В., Земцова М.Н. // Журн. физ. химии. 2014. Т. 88. № 2. С. 333. doi: 10.7868/S0044453714020216. [Paramonova A.S., Kurbatova S.B., Zemtsova M.N.// Rus.J. of Phys. Chem. A. 2014. Т. 88. № 2. С. 320.].
- Nekrasova N.A., Kurbatova S.V. // J. Chromatogr. A. 2017. V. 1492. Р. 55.
- Савченкова А.С., Курбатова С.В., Земцова М.Н. // Сорбц. и хроматогр. процессы. 2014. Т. 14. С. 468.
- Butnariu R.M., Mangalagiu I.I. // Bioorg. & Med. Chemistry 2009. V.17 P. 823.
- Гомкцян Т.А., Шаинова Р.С., Карапетян А.В., А.П. Енгоян А.П. // Журн. общ. химии. 2021. Т. 91, № 10. С. 1580. doi: 10.31857/S0044460X21100140. [Gomktsyan T.A., Shainova R.S., Karapetyan A.V., Yengoyan A.P. //Rus. J.of General Chemistry. 2021. Т. 91. № 10. С. 2019.]
- Soczewiński E. // J. Chromatogr. A. 2002. V. 965. № 1–2. P. 109.
- Scott R.P.W., Kucera P. // J. Chromatogr. A. 1979. V. 171. P. 37.
- Сайфутдинов Б.Р., Буряк А.К. // Коллоидн. журн. 2019. Т. 81. № 6. С. 774. doi: 10.1134/S002329121906017X. [Saifutdinov B.R., Buryak A.K. Colloid Journal. 2019. Т. 81. № 6. С. 754].
- Ядрова А.А., Шафигулин Р.В., Буланова А.В., и др. // Журн. физ. химии. 2018. Т. 92. № 8. С. 1296. doi: 10.7868/S0044453718080150. [Yadrova A.A., Shafigulin R.V., Bulanova A.V., et al. // Rus. J. of Phys. Chem. A. 2018. Т. 92. № 8. С. 1572.]
- Ланин С.Н., Никитин Ю.С., Пятыгин А.А. // Журн. физ. химии. 2000. Т. 74. № 3. С. 514. [Lanin S.N., Nikitin Yu.S., Pyatygin A.A. //Rus. J. of Phys. Chem. A. 2000. Т. 74. № 3. С. 437.]
- Пономарев Ф.В., Долгоносов А.М. // Сорбц. и хроматогр. процессы. 2018. Т. 18. № 5. С. 646.
- Лисичкин Г.В., Фадеев А.Ю., Сердан А.А. и др. Химия привитых поверхностных соединений / Под ред. Г.В. Лисичкина. М.: ФИЗМАТЛИТ, 2003. 592 с.
- Некрасова Н.А., Курбатова С.В. // Журн. структур. химии. 2017. Т. 58. № 4. С. 798. doi: 10.15372/JSC20170418. [Nekrasova N.A., Kurbatova S.V. // J. of Structur. Chem. 2017. Т. 58. № 4. С. 767.]
- Киреев В.А. Методы практических расчетов в термодинамике химических реакций. М.: Химия, 1970. 520 с.
- Джабиева С.А, Курбатова С.В, Белоусова З.П. // Журн. физ. химии. 2016. Т. 90. № 2. С. 264. doi: 10.7868/S0044453716020126. [Dzhabieva S.A., Kurbatova S.V., Belousova Z.P. //Rus. J. of Phys. Chem. A. 2016. Т. 90. № 2. С. 451].
Supplementary files




















