Теплоемкость ацетона и его водных растворов при высоких температурах и давлениях
- Authors: Зарипов З.И.1, Накипов Р.Р.1, Мазанов С.В.1, Гумеров Ф.М.1
-
Affiliations:
- Казанский национальный исследовательский технологический университет
- Issue: Vol 98, No 10 (2024)
- Pages: 66–72
- Section: PHYSICAL CHEMISTRY OF SOLUTIONS
- Submitted: 08.03.2025
- Accepted: 08.03.2025
- Published: 11.10.2024
- URL: https://bakhtiniada.ru/0044-4537/article/view/282858
- DOI: https://doi.org/10.31857/S0044453724100105
- EDN: https://elibrary.ru/EBHVXX
- ID: 282858
Cite item
Full Text
Abstract
С помощью измерителя теплоемкости (ИТ-с-400) измерены изобарные теплоемкости ацетона в диапазоне температур от 323.15 до 453.15 К при давлениях до 19.6 МПа и его бинарных водных растворов в диапазоне температур от 348.15 до 473.15 К при давлениях до 19.6 МПа. Измерения теплоемкости водных растворов проводились для трех массовых концентраций 2.5, 3.5 и 5% ацетона. Расширенная неопределенность измерений теплоемкости, давления, температуры и концентрации при уровне достоверности 95% с коэффициентом охвата k = 2 оценивается в 2.4%, 0.05%, 15 мК и 0.001 соответственно. Проведено сравнение полученных и литературных данных в исследованной области параметров состояния.
Full Text
Ацетон является одним из наиболее важных промежуточных продуктов в химической промышленности. Он играет ключевую роль в процессах производства бисфенола А, синтеза метакрилатов. Ацетон полностью смешивается с водой и большинством органических растворителей и масел, действует как загрязнитель даже при очень низких концентрациях в воде. Он является одним из основных приоритетных загрязнителей, который необходимо очищать перед сбросом в окружающую среду. Проблемы утилизации водного стока на этапе разработки технологии и энерготехнологической оптимизации высокоэффективного СКФ экстракционного процесса невозможно без информации об основных теплофизических свойствах этого водного стока.
Обширный обзор сведений по изобарной теплоемкость ацетона при атмосферном давлении представлен в справочной литературе [1, 2] и в базе данных NIST [3, 4]. База данных [3] охватывает диапазон температур от 16 до 333 К. В основном большинство измерений выполнено методом адиабатической калориметрии с погрешностью в пределах 0.5–2.0%. Первые исследования теплоемкости ацетона, выполненные Reis [5] в 1881 году, охватывают область жидкого состояния и пара (289–352 K). Parks и др. [6] и Kelley [7] представили результаты низкотемпературных измерений. Все последующие работы [8–12] были направлены на уточнение уже известных данных и расширение температурного диапазона. Теплоемкость ацетона при давлениях выше атмосферного представлены в работах [13–15] и получены путем косвенных измерений плотности [13] и скорости звука [14, 15]. Malhotra и др. [13] приводят расчетные данные теплоемкости в диапазоне при давлении 0.1÷400 МПа и температур в пределах 298–323 K. Погрешность этих данных при высоком давлении находится в пределах 2%. Результаты расчета теплоемкости ацетона по скорости звука [14] охватывают диапазон давлений до 60 МПа и температур 298–333 К. В [15] опубликованы результаты расчета для интервала температур 248–298 К и давлений до 100 МПа. Вышеназванные источники по измерениям теплоемкости ацетона были использованы для сравнения с настоящими результатами.
Сводка опубликованных данных об изобарной теплоемкости водных растворов ацетона сравнительно не велика. Авторы [16] сообщают о избыточной теплоемкости смеси H2O + ацетон моляльностью до 27 моль/кгпри 298 К и атмосферном давлении. В работе [10] опубликованы результаты измерений для трех температур (10, 25 и 40°C) и весовых концентраций от 2 до 30%. M. Slavik и др. [17] используют проточный калориметр типа Пикера для изучения влияния температуры и давления на изобарную теплоемкость смеси Н2О + ацетон. Исследования охватывают несколько температур (298.15, 423.15, 473.15 и 523.15 К), и давлений 0.1–28 МПа и концентраций до 1 моль/кг·H2O. Погрешность измерений составляла 2%. Измеренные значения CPm использовали для расчета избыточной молярной теплоемкости и оценки парциальной молярной теплоемкости при бесконечном разбавлении . Плотность и избыточные молярные объемы (ацетон + вода) в зависимости от температуры и давления также были исследованы. Авторы [18] в 1999 году публикуют результаты измерений парциальных и избыточных мольных объемов разбавленных водных растворов ацетона. Измерения были выполнены с помощью проточного денситометра VTD при высоких температурах (302, 373, 423, 473 и 521 K) и давлениях до 28 МПа. Эти данные в дальнейшем были нами использованы для расчета данных по теплоемкости избыточной молярной теплоемкости (ацетон + вода).
Таким образом, основной целью настоящей работы является получение достоверных экспериментальных данных по изобарной теплоемкости ацетона и водных растворов ацетона трех составов (2.5, 3.5 и 5.5%) в широком интервале температур и давлений.
Экспериментальная часть
Материалы. Образец ацетона (номер CAS67-64-1, химическая формула C3H6O, молярная масса M=58.08 г/моль), использованный в настоящем исследовании, был предоставлен компанией АО “Акос1” (Россия) и был использован без дополнительной очистки. Заявленная чистота образца > 0,998 массовых долей (ГЖХ), показатель преломления (nD20= 1.3585), плотность (r204 = 790 кг/м3). Данные по плотности и показателю преломления были предоставлены поставщиком. Все образцы дегазировали при низких давлениях.
Аппаратура и процедуры. Аппаратура и экспериментальные процедуры были такими же, как описано в предыдущих работах [19–21]. Измерения изобарной теплоемкости проведены на измерителе теплоемкости ИТ-с-400, в основу работы которого положен сравнительный метод динамического С-калориметра с тепломером и адиабатической оболочкой с применением автоматического сбора данных (рис. 1).
Рис. 1. Схема экспериментальной установки по измерению изобарной теплоемкости: 1 – измерительная ячейка, 2 – измерительный комплекс ИТ-с-400, 3 – грузопоршневой манометр, 4 – разделительный сильфонный узел, 5 – вакуумный насос, 6 – жидкостной насос, 7 – тензометрический датчик давления, 8 – аналогово-цифровой преобразователь, 9 – персональный компьютер.
Поэтому ниже мы предоставим только краткую и важную информацию. Расчетное уравнение для метода сканирующего калориметра имеет вид [19]:
(1)
где Cр(Р,Т), Cрʺ(Р0,Т) – изобарные теплоемкости исследуемого образца при заданных давлении (P) и температуре (T) и стандартного (эталонного) образца при той же температуре (T) и эталонном давлении (P0), соответственно, кДж/(кг K); g и gʺ – масса исследуемого образца и контрольной жидкости, соответственно, кг; t и tʺ – времена запаздывания измерительных термопар для исследуемого образца и эталонной жидкости, соответственно, с; t0 – время задержки измерительной термопары для пустой ячейки, с.
Как можно заметить из уравнения (1), для расчета изобарной теплоемкости исследуемого образца требуются надежные данные теплоемкости эталонного образца как функции температуры при фиксированном давлении P0 (обычно атмосферном). Уравнение (1) применимо для расчета теплоемкости при давлениях до 30 МПа и в диапазоне температур от 298 до 473 К. В настоящей работе использован относительный вариант методики измерений с ячейкой постоянного объема [19]. Скорость нагрева составляла 10К/мин. Расширенная погрешность измерений теплоемкости, давления и температуры при уровне достоверности 95% с коэффициентом охвата k = 2 оценивается в 2.4 и 0.05%, и 15 мК соответственно. Погрешность теплоемкости включает также погрешность процедуры калибровки.
Тестовые измерения. Достоверность и точность данных измеренной теплоемкости исследуемого образца, адекватности работы установки подтверждены измерениями теплоемкости жидкостей с хорошо известными и надежными, доступными экспериментальными данными. Результаты тестовых измерений подробно изложены в одной из наших недавних работ [21]. Согласно этим испытаниям соответствие тестовых измерений теплоемкости воды [22] находятся в пределах средних абсолютных относительных отклонений AAD = 0.25% в диапазоне температур от 333 до 453 K и при выбранном давлении 24.5 МПа, а для н-гептана [23] и 1-бутанола [24] – в пределах AAD = 0.43% и AAD = 0.88% при давлениях 9.8 МПа и 18.38 МПа соответственно. Как видно, отклонения находятся в пределах экспериментальной погрешности метода. Хорошее соответствие между настоящими измерениями и эталонными данными теплоемкости жидкостей с использованием настоящего прибора (рис. 1) подтверждает надежность и точность данных измерения теплоемкости ацетона.
Обсуждение результатов
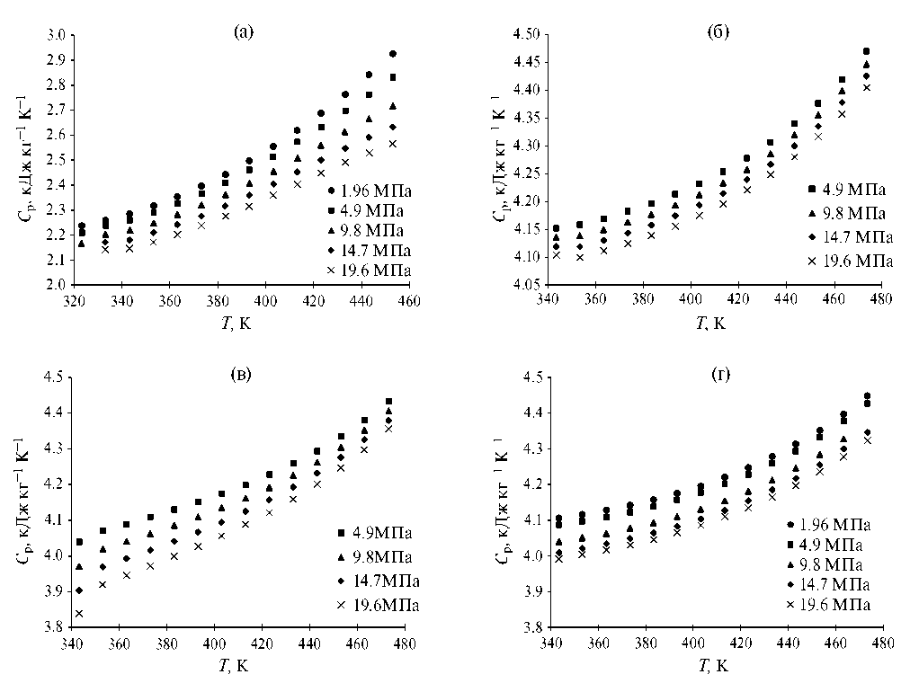
Измеренные значения изобарной теплоемкости ацетона в диапазоне температур от 323.15 до 453.15 К при давлениях до 19.6 МПа и его бинарных водных растворов в диапазоне температур от 348.15 К до 473.15 К при давлениях до 19.6 МПа представлены на рис. 2.
Рис. 2. Экспериментальные значения изобарной теплоемкости в зависимости от Р и Т для: а – ацетона; б – 2.5 мас. % (m =0.741 моль/кг Н2О) водного раствора ацетона; в –3.5% (m =1.038 моль/кг Н2О) водного раствора ацетона; г – 5.5% (m =1.63 моль/кг Н2О) водного раствора ацетона.
Корреляция теплоемкости. Измеренные значения теплоемкости (рис. 2) ацетона и его водных растворов были аппроксимированы функцией полиномиального типа:
(2)
где Cр(Р, Т) – изобарная теплоемкость при заданных P и T в кДж/(кг K); ai (i = 0.5) – подгоночные параметры.
Оптимальные значения полученных подгоночных параметров вместе со статистикой отклонений приведены в табл. 1.
Таблица 1. Коэффициенты aj полинома (2) для расчета теплоемкости ацетона и его водных растворов в исследуемом диапазоне температур и давлений
aj | Ацетон | 2.5% (0.74) | 3.5% (1.038) | 5.5% (1.63) |
a0, кДж/(кг·K) | 3.056 | 5.979 | 5.198 | 5.650 |
a1, кДж/(кг·K2) | –8.150×10–3 | –1.080×10–2 | –7.232×10–3 | –9.599×10–3 |
a2, кДж/(кг·K·МПа) | 2.184×10–2 | –2.358×10–3 | –1.091×10–2 | –4.761×10–3 |
a3, кДж/(кг· K2·МПа) | –9.595×10–5 | –3.920×10–6 | 1.643×10–5 | –4.030×10–6 |
a4, кДж/(кг·K3) | 1.999×10–4 | 1.615×10–5 | 1.191×10–5 | 1.491×10–6 |
a5, кДж/(кг·K·МПа2) | 1.740×10–5 | – | – | – |
St. Dev, % | 1.15 | 0.81 | 1.4 | 0.73 |
AAD,% | 0.34 | 0.14 | 0.23 | 0.14 |
Примечание. Величина в скобках – моляльность, моль/кг Н2О.
Как видно из табл. 1, корреляционное уравнение (2) представляет текущие данные по теплоемкости для ацетона в пределах их экспериментальной погрешности (AAD = 0.2%), включая значения Ср при высоком давлении. При атмосферном давлении отклонения между рассчитанными по корреляционному уравнению (2) и текущие измеренные данные Сp(Р,T) находятся в пределах AAD = 0.19% (среднеквадратичное отклонение St. Dev = 0.64% и максимальное отклонение Max. Dev = 0.34%). Рассчитанные по формуле (2) значения СP вместе с отчетными данными показаны на рис. 3.
Рис. 3. Теплоемкость при атмосферном давлении ацетона: пунктир – расчет по уравнению (2); ∆ – [8]; ▲ – [11]; ● – [9]; ○ – [15]; ■ – [2]; ◊ – [14].
Сравнение с литературными данными
Теплоемкость ацетона. Прямое сравнение настоящих данных по теплоемкости для ацетона с литературными данными невозможно из-за различий между настоящими и опубликованными экспериментальными температурами и давлениями. Мы использовали процедуру интерполяции – корреляционное уравнение (2). Разработанное уравнение (2) было использовано для сравнения настоящих данных по теплоемкости для ацетона с опубликованными экспериментальными [9, 11], обобщенными [1, 2] и расчетными данными [13–15]. На рис. 4 и табл. 2 показаны процентные отклонения между уравнением корреляции (2), а также другими опубликованными данными по теплоемкости при атмосферном давлении.
Таблица 2. Сводка стандартных отклонений (St. Err.), средних абсолютных относительных отклонений (AAD) и максимальных относительных отклонений (МAAD) по отношению к уравнению (2) при атмосферном давлении
Источник | St.Err, % | ADD, % | MADD, % |
[2] | 1.74 | 1.4 | 3.53 |
[11] | 0.45 | 0,39 | 0.77 |
[8] | 0.50 | 0.64 | 1.19 |
[9] | 1.25 | 1.19 | 1.48 |
[15] | 1.98 | 1.92 | 2.75 |
Рис. 4. Отклонения всех доступных данных изобарной теплоемкости ацетона от уравнения (2) в зависимости от температуры при атмосферном давлении: ■ – [2]; ∆ – [8]; ▲ – [11]; ● – [9]; ○ – [15].
Как можно заметить из табл. 2, большинство представленных данных отклоняются от текущих результатов в пределах AAD (от 0.39% до 1.92%), т. е. в пределах существующей экспериментальной погрешности (2.4%). Между расчетными и данными, приведенными в работах [8, 9, 11], наблюдается хорошее согласие в пределах около 1.2%. Большинство измеренных данных по теплоемкости (рис. 3) систематически выше при температурах до 300К, чем настоящие измерения. Что касается прямых измерений теплоемкости ацетона при высоком давлении, то они отсутствуют. Сравнение полученных данных при давлениях выше 0.098 МПа проведено с расчетными значениями из [13–15, 25, 26]. Сопоставление данных по корреляционному уравнению (2) проведено не только в совпадающем исследованном температурном интервале 323–333 К, но и за его пределами (270–323 К). Результаты сравнения подтверждают хорошие прогнозные возможности уравнения (2). Отклонения от данных [13, 15, 25, 26] не превышают в среднем ±1.2% (рис. 4). Значительные отклонения теплоемкости ацетона до 13.29% отмечены от данных [14], полученных расчетом теплоемкости по скорости звука. При этом значения теплоемкости ацетона по корреляционному уравнению (2) хорошо согласуются с другими расчетными данными по скорости звука [15] (отклонение не более 1.33%). Сводки основных статистических показателей представлены на рис. 5 и в табл. 3.
Таблица 3. Сводка основных стандартных отклонений (St. Err.), средних абсолютных относительных отклонений (AAD) и максимальных относительных отклонений (МAAD) по отношению к уравнению (2) при высоких давлениях
Источник | St.Err, % | ADD, % | MADD, % |
[13] | 1.25 | 0.99 | 2.26 |
[14] | 13.93 | 13.29 | 19.67 |
[15] | 1.15 | 1.13 | 1.34 |
[25] | 1.47 | 1.15 | 3.26 |
[26] | 1.23 | 0.85 | 4.07 |
Настоящая работа | 0.46 | 0.34 | 1.13 |
Рис. 5. Отклонения dCp, % всех доступных данных изобарной теплоемкости ацетона от уравнения (2) в зависимости от температуры при давлении 20 МПа: ■ – [13]; ∆ – [26]; ◊ – [25]; ○ – [15].
Теплоемкости водных растворов ацетона. Уравнение (2) было использовано для подробного сравнения настоящих данных по теплоемкости для водных растворов с опубликованными экспериментальными [10, 16, 17], пересчитанными из избыточной молярной теплоемкости в удельную массовую теплоемкость Ср по формуле:
где – избыточная мольная теплоемкость, кДж/(кмоль K); Cp – теплоемкость воды, кДж/(кг·K); m – моляльность раствора, кмоль/кг; М – молярная масса растворенного вещества, кг/кмоль.
На рис. 6 и в табл. 4 показаны процентные отклонения между уравнением корреляции (2), а также другими опубликованными данными по теплоемкости водного раствора. Как видно из рис. 6, данные при давлении Р=0.1 МПа, температуре 298 К и концентрации m=0.741, представленные Kiyohara [16] систематически ниже текущих измерений Сp на 4.4%. С ростом концентрации ацетона отклонения уменьшаются до 0.33%. Значений Costas [10] при давлении Р=0.1 МПа и температурах 298 и 313 К выше, чем полученные авторами в среднем от 2.6 до 4.2%. Согласие с данными Slavik [17] при давлении 0.1 и 10.3 МПа в пределах исследованных концентраций не превышает ±2%. Экстраполяция уравнения (2) за пределы диапазона измерения по концентрации показало отклонение от данных [19] в пределах погрешности измерений.
Таблица 4. Сводка стандартных отклонений (St. Err), средних абсолютных относительных отклонений (AAD) и максимальных относительных отклонений (МAAD) по отношению к уравнению (2) для теплоемкости водных растворов ацетона
Источник | 2.5% | 3.5% | 5.5% | ||||||
St.Err, % | ADD, % | MADD, % | St.Err, % | ADD, % | MADD, % | St.Err, % | ADD, % | MADD, % | |
[17] | 0.43 | 0.40 | 0.43 | 0.75 | 0.63 | 1.02 | 2.01 | 1.98 | 2.31 |
[10] | 2.59 | 2.58 | 2.74 | 0.05 | 0.04 | 0.07 | 4.22 | 4.22 | 4.34 |
Рис. 6. Отклонения (dCp, %) данных изобарной теплоемкости водных растворов ацетона от моляльности (2) при различных температурах и давлениях: ○ – [16] (Т=298.15 К, Р=0.1 МПа); ■ – [10] (Т=298.15 К, Р=0.1 МПа); x – [10] (Т=313.15 К, Р=0.1МПа); ∆ – [17] (Т=298.15 К, Р=0.1 МПа); ◊ – [17] (Т=423.24 К, Р=10.3 МПа); ж – [17] (Т=473.24 К, Р=10.3 МПа).
Отклонение экспериментальных от расчетных значений не превышает ±3%.
Выводы
Настоящая работа значительно расширяет ранее сообщавшиеся СP=f(P, Т, x) данные ацетона и его водных растворов при высоких давлениях (до 19.6 МПа) и температурам (до 473.15 К). Эта работа также является первым отчетом о прямых измерениях изобарной теплоемкости ацетона под давлением с использованием динамического С-калориметра с тепломером и адиабатической оболочкой. Предложенное уравнение корреляции описывает экспериментальные данные по теплоемкости ацетона и его водных растворов с погрешностью менее 0.4% в широком диапазоне температур. Было обнаружено хорошее согласие в пределах AAD = 2% между настоящими и наиболее надежными опубликованными данными в перекрывающихся диапазонах температур и давлений.
Работа выполнена при финансовой поддержке Российского научного фонда (проект № 22-19-00117, https://rscf.ru/project/22-19-00117/ ).
About the authors
З. И. Зарипов
Казанский национальный исследовательский технологический университет
Email: serg989@yandex.ru
Russian Federation, Казань
Р. Р. Накипов
Казанский национальный исследовательский технологический университет
Email: serg989@yandex.ru
Russian Federation, Казань
С. В. Мазанов
Казанский национальный исследовательский технологический университет
Author for correspondence.
Email: serg989@yandex.ru
Russian Federation, Казань
Ф. М. Гумеров
Казанский национальный исследовательский технологический университет
Email: serg989@yandex.ru
Russian Federation, Казань
References
- Гурвич В.Л. Сосновский Н.П. Избирательные растворители в переработке нефти. М.: Государственное научно-техническое издательство нефтяной и горно-топливной литературы, 1953. 320 с.
- Варгафтик Н.Б. Справочник по теплофизическим свойствам газов и жидкостей, 2-е изд., доп. и перераб. М.: Наука, 1972. 721 с.
- https://webbook.nist.gov/cgi/cbook.cgi?Name=acetone&Units=SI&cTC=on&cTP=on#Thermo-Condensed
- http://webbook.nist.gov/chemistry/fluid/.Расчет; https://trc.nist.gov/thermolit/main/home.html#home
- von Reis M.A. // Ann. Physik. 1881. V. 13. P. 447.
- Parks G.S., Kelley K.K. // J. Am. Chem. Soc. 1925. V 47. P. 2089.
- Kelley K.K. // Ibid. 1929. V. 51. P. 1145.
- Low D.I.R., Moelwyn-Hughes E.A. // Proc. R. Soc. Lond. A. 1962. V. 267. P. 384–394.
- Rastorguev Yu.L., Ganiev Yu.A. // Izv. Vyssh. Uchebn. Zaved. Neft. Gaz. 1967. V. 10. P. 79.
- Costas M., Patterson D. // J. Chem. Soc. 1985. V. 81. P. 2381–2398.
- Peshekhodov P.B., Nikiforov M. Yu., Petrov A.N. et al. // Viniti. 1986. P. 1.
- Peshekhodov P.B., Petrov A.N., Alper G.A. / Zh. Obshch. Khim. 1993. V. 63. P. 1223.
- Malhotra R., Woolf L.A. // J. Chem. Thermodyn. 1991. V. 23. P. 867.
- De Azevedo G., Esperança J., Szydłowski J. et al. // J. Chem. Thermodynamics. 2004. V. 36. P. 211.
- Lago S., Giuliano Albo P.A. // J. Chem. Thermodynamics. 2009. V. 41. P. 506.
- Kiyohara О., Perron G., Desnoyers J.E. // Canadian J. of Chem. 1975. V. 53. P. 3263.
- Slavík M., Sedlbauer J., Ballerat-Busserolles K. et al. // J. Solution Chem. 2007. V. 36. P. 107.
- Schulte M.D., Shocket E.L., Obˇsil M. et al // J. Chem. Thermodynamics. 1999. V. 31. P. 1195.
- Usmanov R.A., Gabitov R.R., Biktashev S.A. et al. // Russ. J. Phys. Chem B. 2011. V. 5. P. 1216.
- Zaripov Z.I., Aetov A.U., Nakipov R.R. et al. // J. Mol. Liquids. 2020. V. 307. P. 112935.
- Zaripov Z.I., Aetov A.U., Nakipov R.R. et al. // J. Chem. Thermodynamics. 2021. V. 152. P. 106270.
- Wagner W., Pruß A. // J. Phys. Chem. Ref. Data. 2002. V. 31. P. 387.
- Lemmon E.W., Huber M.L., McLinden M.O. NIST Standard Reference Database 23, NIST Reference Fluid Thermodynamic and Transport Properties, REFPROP, version 10.0, Standard Reference Data Program, National Institute of Standards, and Technology. Gaithersburg. MD. 2018.
- Naziev Y.M., Shakhverdiev A.N., Bashirov M.M. et al. // High Temp. 1994. V. 32. P. 936.
- Cibulka I., Hnědkovský L., Takagi T. // J. Chem. Eng. Data. 1997. V. 42. P. 2.
- Adams W.A., Laidler K.J. // Canadian J. of Chem. 1967. V. 45. P. 123.
Supplementary files








