Фазовые равновесия в системе Na+, K+// Cl–, NO3– – H2O вблизи температур кипения. II. Моделирование взаимной системы
- Авторлар: Мамонтов М.Н.1, Курдакова С.В.1, Успенская И.А.1
-
Мекемелер:
- Московский государственный университет им. М. В. Ломоносова
- Шығарылым: Том 98, № 9 (2024)
- Беттер: 146-154
- Бөлім: 100-ЛЕТИЮ ЛАБОРАТОРИИ ХИМИЧЕСКОЙ ТЕРМОДИНАМИКИ МГУ
- ##submission.dateSubmitted##: 07.03.2025
- ##submission.dateAccepted##: 07.03.2025
- ##submission.datePublished##: 30.12.2024
- URL: https://bakhtiniada.ru/0044-4537/article/view/282770
- DOI: https://doi.org/10.31857/S0044453724090203
- EDN: https://elibrary.ru/OMDMZK
- ID: 282770
Дәйексөз келтіру
Толық мәтін
Аннотация
С помощью набора параметров, представленного в первой части работы, промоделированы фазовые равновесия во взаимной системе Na+, K+// Cl–, NO3– – H2O в диапазоне температур 373–573 К. В соответствии с результатами расчета, в этой системе существует область устойчивости жидкости, кипение которой происходит без образования третьей фазы (осадка). Прослежено изменение температуры кипения для отдельных выбранных валовых составов системы при постепенном испарении из нее воды. Показано, что при экспериментальном определении температур кипения или активности воды для насыщенных растворов, образованных растворением солей с разноименными катионами и анионами, следует учитывать тот факт, что состав таких растворов будет изменяться при любых изменениях валовых концентраций образующих систему солей, если в осадке появляется соль, отличная от использованных при смешении.
Негізгі сөздер
Толық мәтін
Данная статья является продолжением работы по моделированию равновесий в системах, образованных хлоридами и нитратами натрия и калия. В первой части статьи представлен набор параметров моделей конденсированных фаз, адекватно описывающий равновесия твердой, жидкой и паровой фаз в подсистемах системы Na+, K+//Cl–, NO3– – H2O, содержащих один общий и два разных иона, в области достаточно высоких температур. Для жидкой фазы использованы параметры из работ [1, 2] с уточненным параметром взаимодействия для пары ионов Cl––NO3–. Учитывая, что термодинамические модели реальных многокомпонентных систем строятся по принципу пирамиды (CALPHAD-метод) [3–6], целью настоящей работы является моделирование свойств фаз и фазовых равновесий на всем поле составов такой взаимной системы. Акцент сделан на область температур, близких к температурам кипения, так как эти условия могут быть интересны с точки зрения разделения компонентов. Термодинамическая модель, численные значения параметров и особенности расчетных процедур описаны в первой части настоящей работы.
ЭКСПЕРИМЕНТАЛЬНАЯ ЧАСТЬ
Изотермы поверхности ликвидуса при равновесном давлении пара воды
Составам насыщенных растворов при фиксированной температуре отвечает поверхность, проекция которой на плоскость составов дает общее представление о форме и кривизне этой поверхности.
На рис. 1 представлены рассчитанные изотермы ликвидуса в системе Na+, K+//Cl–, NO3– – H2O при давлении насыщенного пара (равновесия L+S1+S2) при двух температурах 385 и 460 К. Диаграммы относятся к условиям, когда изучаемая система находится в замкнутом объеме, общее давление определяется давлением насыщенного пара воды – единственного летучего компонента системы. На графиках изображены поля кристаллизации, разделенные линиями равновесия трех конденсированных фаз. В табл. 1 перечислены эти равновесные фазовые поля (L+S1+S2) при давлении насыщенного пара. Видно, что с ростом температуры одной из равновесных твердых фаз становится смешанная соль NaNO3·KNO3. Согласно проведенным расчетам, она начинает появляться в осадке при температуре выше 412 К. Из представленных графиков видно, что при 385 K растворы, насыщенные относительно двух солей, при сообщении с атмосферой не смогут закипеть, так как давление насыщенного пара воды над ними меньше 1 бар.
Рис. 1. Рассчитанные изотермы ликвидуса в системе Na+, K+//Cl–, NO3– – H2O при давлении насыщенного пара (равновесия L+S1+S2); T = 385(а), 460 К(б). По осям отложены мольные доли ионов калия (x(K+)) и нитрат-ионов x(NO3–) относительно общего количества катионов (K+, Na+) и анионов (Cl–, NO3–) соответственно. Вдоль линий указано давление насыщенного пара H2O (бар). Синие цифры вдоль линии “AF” показывают весовой процент H2O в растворе (w). Поля кристаллизации обозначены названиями соответствующих солей.
Таблица 1. Фазовый состав системы Na+, K+//Cl–, NO3– – H2O в случае реализации моновариантных равновесий L+S1+S2 при давлении насыщенного пара
Линия насыщенного раствора | Наблюдаемое равновесие | Линия насыщенного раствора | Наблюдаемое равновесие |
AF | L+NaCl+KCl | FE2 | L+NaCl+(1:1) |
BF, BE1 | L+ KCl+KNO3 | DE, DE2 | L+NaCl+NaNO3 |
CE | L+NaNO3+KNO3 | EF | L+NaCl+KNO3 |
C1E1 | L+ KNO3 + (1:1) | FE1 | L+KCl+(1:1) |
C2E2 | L+ NaNO3 + (1:1) |
Обозначения:Si обозначает одну из твердых фаз, (1:1) обозначает фазу NaNO3·KNO3.
Если выделить точки на линиях выбранного равновесия L+S1+S2 для двух разных температур и PH2O = 1 бар, то соединив их линиями, можно построить проекции изобар, проходящие через составы растворов, насыщенных относительно твердых фаз S1+S2.
Фазовые равновесия при давлении насыщенного пара воды 1 бар
Для визуализации результатов расчета фазовых равновесий в изучаемой взаимной системе удобно использовать призму, показанную на рис. 2 (на рисунке она представлена под разными углами поворота). На графике по горизонтальным осям откладываются мольные доли ионов – x(NO3–) и x(K+), а по вертикальной оси – содержание воды, выраженное в вес.%, так что нижняя грань призмы соответствует безводным солям. Фигуративные точки, изображающие валовый состав смеси, образующейся при смешении трех различных веществ в разных пропорциях, образуют слегка искривленную поверхность внутри такой призмы, близкую к плоскости. Тонкими линиями на нижней грани призмы показаны проекции составов насыщенных растворов на плоскость составов безводных солей. На рис. 3 эти линии представлены в виде двумерного графика. В табл. 2 дана расшифровка обозначения линий, ограничивающих поля на диаграмме состояний взаимной системы при давлении PH2O = 1 бар.
Рис. 2. Границы трехфазных равновесий L+S1+S2 взаимной системы Na+, K+//Cl–, NO3– – H2O при PH2O = 1 бар. По осям отложены мольные доли ионов калия (x(K+)) и нитрат-ионов x(NO3–) относительно общего количества катионов (K+, Na+) и анионов (Cl–, NO3–), соответственно; w(H2O) – содержание воды в вес. %. Пунктирная линия соответствует равновесию L+S для тройных систем соль I – соль II – вода (подробнее см.табл.2).
Рис. 3. Проекции линий составов жидкости (L), равновесных с двумя твердыми фазами (L+S1+S2) при PH2O = 1 бар на плоскость составов безводных солей. Вдоль линий указаны соответствующие температуры. Пунктирные линии изображают составы подсистем NaCl–KNO3–H2O, KCl–NaNO3–H2O (подробнее см. табл. 2). Обозначение составов аналогично рис. 1 и 2.
Таблица 2. Фазовый состав системы Na+, K+//Cl–, NO3– – H2O в случае реализации моновариантных равновесий L+S1+S2 при PH2O = 1 бар
Линия насыщенного раствора | Наблюдаемое равновесие | Линия насыщенного раствора | Наблюдаемое равновесие |
AF, A1F1 | L + NaCl + KCl | C1E1, C2E2, | L + NaNO3 + (1:1) |
BF, B1F1 | L + KCl + KNO3 | E1E2 | L + NaCl + (1:1) |
FF2F1 | L + NaCl + KNO3 | DE2, D1E1 | L + NaCl + NaNO3 |
C3C4 | L + KNO3 + (1:1) |
Обозначения: Si обозначает одну из твердых фаз, (1:1) обозначает фазу NaNO3·KNO3.
Нонвариантные точки взаимной системы находятся на пересечении линий, описывающих составы жидкости, равновесной с двумя твердыми фазами (L+S1+S2); при этих условиях с насыщенным раствором равновесно сосуществуют три твердые фазы. Например, в точке F кипящий насыщенный раствор находится в равновесии с осадком, содержащим три соли – NaCl, KCl и KNO3.
Все пространство призмы ниже поверхности ликвидуса разбивается на объемные фигуры, которые отображают валовые составы гетерогенных систем, состоящих из конденсированных фаз (их число варьируется от двух до четырех). Любая фигуративная точка валового состава системы, лежащая ниже поверхности насыщенных растворов, принадлежит одной из таких фигур и характеризуется присущим этой фигуре набором фаз, находящихся в равновесии при давлении пара воды 1 бар.
С помощью рис. 2 и 3 можно определить, в каких равновесиях участвует насыщенный раствор заданного состава при определенной температуре. Можно также проследить изменение температуры кипения насыщенного раствора при движении произвольно выбранной фигуративной точки. Рассмотрим, например, изменение свойств смеси исходного состава A при движении к конечному состоянию А1 (когда система содержит исчезающе малое количество осадка, то есть воды немного меньше, чем присутствует в насыщенном растворе). В точке A при температуре 397 K раствор сосуществует с кристаллическими NaCl и KCl. При изменении валового состава вдоль линии AF и постепенном повышении температуры до 413 K состав осадка изменяться не будет. В точке F полностью растворяется KCl, но начинает выделяться KNO3. Вдоль траектории F–F2–F1 температура кипящего раствора повышается до 446 К при наличии в осадке NaCl и KNO3. При переходе от фигуративной точки F1 к A1 и росте температуры до 552 К в равновесии с кипящим раствором снова будут находиться NaCl и KCl. По мере движения от А к А1 насыщенный раствор будет становиться все более концентрированным.
Составы насыщенных растворов при давлении пара воды 1 бар и фиксированной температуре
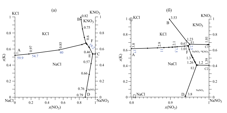
Линии равновесий L+S1+S2 с участием двух твердых фаз на рис. 2, 3 образуются при пересечении поверхностей, отвечающих составам кипящих растворов, насыщенных по отношению к одной из солей – S1 или S2. Равновесия L+S при давлении пара PH2O = 1 бар могут существовать в довольно широких областях составов насыщенных растворов при различных температурах. Некоторое представление о протяженности поверхностей кристаллизации солей можно получить при рассмотрении их изотермических сечений. На рис. 4 изображены проекции линий составов кипящих насыщенных растворов на плоскость безводных солей в температурном интервале 420–470 К.
Рис. 4. Проекции поверхности ликвидуса взаимной системы на плоскость безводных солей (а) при PH2O = 1 бар (сплошные линии L+S1+S2) и проекции изотермических сечений (пунктирные линии). Изотермы построены для интервалов T = 395–420 К и 470–490 К. Квадратные символы соответствуют валовым составам системы из табл. 3. Изотермы для диапазона 420–470 К в увеличенном масштабе (б). Заштрихованная область соответствует валовым составам смесей, не образующих осадка при кипении в интервале T = 373–573 К.
По результатам проведенных расчетов, максимальные растворимости каждой из трех солей NaCl, KNO3, NaNO3·KNO3 при давлении пара воды 1 бар достигаются при температурах 440, 430, 454 K соответственно. Проекции соответствующих изотерм на плоскость безводных солей ограничивают треугольник, заштрихованный на рис. 4б. Если соотношение количеств солей таково, что значения (x(K+), x(NO3–)) попадают в эту область, то при кипении таких растворов осадок не образуется примерно до 573 К. Геометрический центр такого треугольника отвечает составу X6 на рис. 4а; координаты точки X6 приведены в табл. 3.
Таблица 3. Состав осадка, равновесный с кипящим раствором валового состава Xi (i =1–6) при различном содержании воды в системе Na+, K+//Cl–, NO3– – H2O (см. рис. 4а)
Фигуративная точка (рис. 4а) | Валовой состав в долях катионов и анионова) | Последовательность пересечения фазовых областейб) | ||||||
x(K+) | x(NO3–) | “1” | “2” | “3” | “4” | “5” | “6” | |
X1 | 073 | 0.90 | Lв) | KNO3 | NaCl, KNO3 | KCl, KNO3 | L | – |
X2 | 0.6540 | 0.8178 | L | NaCl, KCl | NaCl, KCl, KNO3 | NaCl, KNO3 | NaCl, KCl | KCl |
X3 | 0,4009 | 0,9551 | L | NaCl, NaNO3 | NaCl, NaNO3, (1:1)г) | – | – | |
X4 | 0.45 | 0.98 | L | NaNO3 | NaNO3, (1:1)г) | NaCl, NaNO3, (1:1) | – | – |
X5 | 0.55 | 0.96 | L | NaCl | NaCl, (1:1) | L | – | – |
X6 | 0.6506 | 0.9604 | L | – | – | – | – | – |
а) x(K+) = mK+/(mNa++mK+), x(NO3-) = mNO3–/(mCl–+ mNO3–), mi – моляльность.
б) Нумерация областей соответствует последовательности их прохождения при удалении из системы воды с ростом температуры, для точек X1 и X3 нумерация соответствует цифрам на рис. 6.
в) L – раствор без осадка.
г) (1:1) – фаза NaNO3·KNO3.
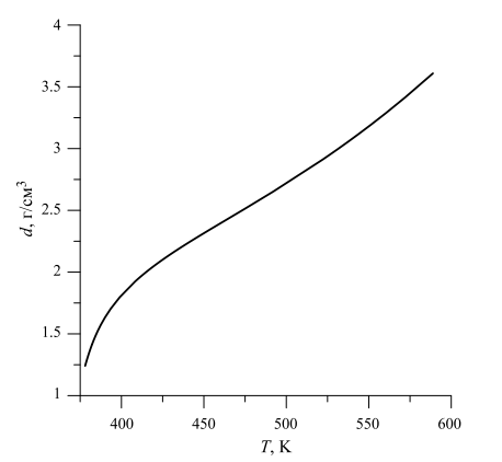
Для оценки плотности d раствора X6, кипящего без образования осадка, в настоящей работе использована модель, предложенная в работе [7]:
,
,
где ww, wi – весовые доли воды и i-го растворенного вещества соответственно, vw0 – удельный объем воды, ck (k = 0–4) – известный набор параметров, свой для каждой соли, t – температура (°С), w2,i – весовая доля соли в i-м бинарном растворе, выбранная по определенному правилу. Рассчитанная плотность раствора возрастает от 1.241 до 3.415 г/см3 при нагревании от 378 до 572 К, так как насыщенный раствор становится все более концентрированным. Граничные значения температур, для которых в [7] получены параметры модели, составляют 398, 373, 368 К для водных подсистем с KCl, NaNO3 и KNO3 соответственно. Поэтому приведенная выше формула представляет собой экстраполяцию оригинальных модельных зависимостей на более высокие температуры.
На рис. 5 показано изменение плотности кипящего раствора с изменением содержания воды для состава X6 (см. табл. 3).
Рис. 5. Результаты оценки плотности кипящего раствора состава X6 (см. табл. 3) при удалении воды в системе Na+, K+//Cl–, NO3– – H2O. При расчетах использованы параметры модели из работы [7].
Температуры кипения насыщенных растворов при удалении воды из системы
Разработанная в [1, 2] термодинамическая модель жидкой фазы изучаемой взаимной системы с уточненными нами значениями параметров моделей конденсированных фаз позволяет охарактеризовать процессы, происходящие с осадком при удалении воды при кипении насыщенного раствора. Качественное представление о составе осадка в этом случае можно получить из рис. 2 и 4. При постепенном удалении воды из кипящего раствора валовой состав системы будет изменяться вдоль некоторой вертикальной линии на рис. 2; положение этой линии определяется соотношением количеств солей в системе. Перемещая выбранную фигуративную точку вниз вдоль вертикальной линии, можно определить, через какие области она проходит и, соответственно, идентифицировать фазовый состав осадка.
Для иллюстрации такой возможности в настоящей работе проведен расчет для шести составов системы, отмеченных квадратными символами на рис. 4а. Результаты расчета представлены в табл. 3 и выборочно на рис. 6 (для точек X1 и X3).
Рис. 6. Температура кипения насыщенных растворов взаимной системы Na+, K+//Cl–, NO3– – H2O валового состава X1 и X3 (см. табл. 3 и рис. 4a) при различном содержании воды в системе (вес. %). Нумерация сегментов соответствует различным фазовым областям.
При удалении воды набор солей в осадке может изменяться, при этом, если раствор насыщен по отношению к двум солям, то его температура кипения растет по мере испарения воды. Растворы над тремя солями в осадке кипят при постоянной температуре, что соответствует правилу фаз, так как такая система находится в состоянии инвариантного равновесия.
ОБСУЖДЕНИЕ РЕЗУЛЬТАТОВ
Проверка возможностей модели
В литературе представлен ряд работ, посвященных экспериментальному исследованию фазовых равновесий с участием водных растворов хлоридов/нитратов натрия/калия в условиях, близких к кипению [8–11].
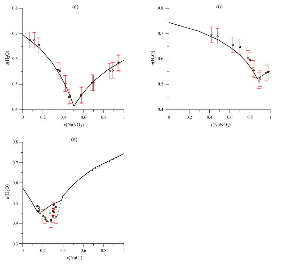
Авторами [8] проводились опыты по определению способности солевых систем NaNO3–KNO3, NaCl–NaNO3, NaCl–KNO3 поглощать влагу из атмосферы при температуре выше 373 К (изучалась гигроскопичность смесей при высоких температурах). Для этого были измерены давления пара воды над насыщенными не кипящими растворами в зависимости от их состава в интервале температур 90–120°С. По результатам этих измерений можно рассчитать активности воды, которые представлены в виде символов на рис. 7. Для сопоставления с экспериментом на графиках линиями изображены активности, рассчитанные в настоящей работе с помощью предложенной модели. Видно, что для систем H2O–NaNO3–KNO3 и H2O–NaCl–NaNO3 (систем с одной общей ионной формой – NO3– или Na+) рассчитанные значения попадают в доверительные интервалы экспериментальных значений активности.
Рис. 7. Зависимости активности воды в насыщенных водных растворах смеси солей систем: H2O–NaNO3–KNO3 при 363 K (а), H2O–NaCl–NaNO3 при 383 K (б), H2O–NaCl–KNO3 при 393 K (в). По оси абсцисс отложена мольная доля соли (x), рассчитанная как отношение количества молей данной соли к общему количеству солей в системе. Символы – экспериментальные данные [8], линии – расчет наст. работа (валовые моляльности солей, соответствующие сплошной линии, в 1.5 раза меньше, чем в случае пунктирной, см. комментарии в тексте).
Более сложная ситуация с системой H2O–NaCl–KNO3. Как видно из рис. 7в, точки имеют заметно больший разброс, чем на графиках а и б, и не подчиняются явно выраженным закономерностям. Мы предполагаем, что причиной этого является наличие в системе области составов, где раствор насыщен по отношению к KCl. Из-за дефицита KCl в насыщенных растворах их состав оказывается смещен относительно плоскости NaCl–KNO3–H2O исходных составов в направлении к NaNO3. Тогда положение коноды, проведенной из вершины KCl через точку валового состава смеси, лежащей на этой плоскости, будет зависеть от доли воды в системе (т. е., состав насыщенного раствора будет изменяться при добавлении/удалении воды). В этом случае насыщенный раствор будет характеризоваться разными значениями aH2O и температурами кипения при постоянной массе солей, но разном содержании воды. Эту гипотезу подтверждают как данные работы [8], так и проведенные нами расчеты.
В работе [8] авторы приводят результаты химического анализа насыщенных растворов, согласно которым в таких растворах ионов Na+ больше, чем ионов Cl– примерно на столько же, на сколько ионов NO3– больше, чем ионов K+, что возможно только при наличии в осадке KCl. При этом авторы [6] не ставили перед собой задачи точно определить количество воды во взаимной системе Na+, K+//Cl–, NO3– – H2O; их интересовал только состав насыщенного раствора и давление пара над гетерогенной смесью. С учетом этого в настоящей работе были оценены значения активностей для двух разных пар значений валовых моляльностей по NaCl и KNO3. Результаты расчета представлены на рис. 7в сплошной и пунктирной линиями; валовые моляльности образцов, активность которых описывается этими линиями, различаются в 1.5 раза. Видно, что экспериментальные точки лежат между этими расчетными линиями.
В пользу высказанной гипотезы свидетельствует и сопоставление температур кипения насыщенных растворов системы H2O–NaCl–KNO3, измеренных в работах [9–11] и рассчитанных в настоящей работе (см. рис. 8). Авторы работ [9–11] также не ставили задачу точного определения количества воды при заданных соотношениях солевых компонентов в системе. При этом. как видно из рис. 8, по нашим расчетам получается, что при изменении количества воды в системе NaCl–KNO3–H2O в 9 раз, максимальная температура кипения насыщенного раствора в ней может различаться примерно на 19°С. По данным [9–11] максимальная температура кипения составила ≈134.9°C и была получена для валового состава с x(NaCl) ~ 0.32 (соответственно, x(KNO3) ~ 0.68). Авторы сообщают, что по усредненным данным из справочника [12] максимальной температурой кипения должна обладать смесь другого валового состава – с x(NaCl) ~ 0.14 (соответственно, x(KNO3) ~ 0.86). Для объяснения этого расхождения авторы [9] предполагают, что при x(NaCl) > 0.32 насыщенный раствор находится в равновесии только с твердым NaCl, а при x(NaCl) < 0.32 – только с KNO3, т. е. в осадке не должно быть хлорида калия.
Согласно проведенным нами расчетам (см. рис. 8), максимальная температура кипения насыщенного раствора, как и следовало ожидать, растет по мере увеличения содержания солей в системе. При переходе от кривой № 3 к № 1 валовая моляльность солей в системе возрастает, т. е. уменьшается количество воды при сохранении количеств солей. Состав насыщенного раствора смещается с плоскости NaCl–KNO3–H2O в сторону KNO3 (см. рис.4а). Для определенных диапазонов составов, изображенных на рис. 8, в осадке присутствует или NaCl, или KNO3. При появлении в осадке одновременно трех солей, рост температуры кипения прекращается и насыщенный раствор кипит при 140°С. Такой ситуации соответствует линия № 2 на рис. 8. Температурный максимум достигается при валовом составе по солям x(NaCl) ~ 0.22 (соответственно, x(KNO3)~0.78) и w(H2O) = 9%. При дальнейшем удалении воды из системы происходит переход фигуративной точки системы на линию № 1. Как видно из рис. 8, система с насыщенным раствором, кипящим при максимальной температуре, может иметь некоторый протяженный диапазон валовых составов.
Рис. 8. Температуры кипения насыщенных водных растворов в системе H2O – NaCl – KNO3 при атмосферном давлении. По оси абсцисс отложена мольная доля соли NaCl (x), рассчитанная как отношение количества молей данной соли к общему количеству солей в системе. Символы – экспериментальные данные [9], линии – рассчитано в наст. работе (валовые моляльности солей в образцах № 2, 3 меньше, чем в № 1 примерно в 2.3 и 7.2 раза соответственно).
На рис. 9 показаны результаты расчета равновесий “твердая фаза – жидкость” при PH2O = 1 бар и T = 380–400 K для двух подсистем взаимной системы Na+, K+// Cl–, NO3– – H2O. Каждая из этих подсистем образована веществами, не имеющими общих ионов (NaCl, KNO3, H2O или KCl, NaNO3, H2O). Сегменты BC на рис. 9 представляют собой составы растворов, насыщенных при PH2O = 1 бар относительно KCl и NaCl соответственно.
Рис. 9. Рассчитанные составы насыщенных водных растворов для систем, образованных веществами NaCl, KNO3, H2O (а) и KCl, NaNO3, H2O (б) при давлении пара H2O 1 бар. Концентрации солей выражены в шкале моляльностей, температура – в К (цифры у точек). Буквенные обозначения AB, BC, CD отвечают следующим составам осадка {KNO3+ KCl + NaCl} (a) и {NaNO3, NaCl, KCl} (б).
Для решения проблемы выделения того или иного компонента в таких системах представляет интерес вопрос об условиях выпадения соли, отличной от использованных при смешении, если количество воды в системе постепенно уменьшается. Как видно из рис. 9, при валовых составах, лежащих внутри фигуры, ограниченной линией составов насыщенных растворов ABCD, кипение происходит при отсутствии осадка. При выходе, например, за сегмент линии BC на рис. 9а в кипящем растворе начинает появляться осадок KCl.
ВЫВОДЫ
С помощью использованной в работе термодинамической модели можно корректно прогнозировать фазовые равновесия во взаимной системе Na+, K+//Cl–, NO3– – H2O в области температур, близких к температурам кипения.
Осадок, находящийся в равновесии с кипящим насыщенным раствором в системе Na+, K+//Cl–, NO3– – H2O, может содержать от одной до трех солей; при этом осадок, равновесный с кипящим насыщенным раствором, не обязательно содержит все возможные сочетания трех солей.
Во взаимной системе Na+, K+//Cl–, NO3– – H2O существует область валовых составов, которые не дают осадка при кипении в температурном интервале до 573 К.
При экспериментальном определении температур кипения или активности воды для насыщенных растворов, образованных растворением солей с разноименными катионами и анионами, следует учитывать тот факт, что состав таких растворов будет изменяться при любых изменениях валовых концентраций образующих систему солей, если в осадке появляется соль, отличная от использованных при смешении.
Работа выполнена при финансовой поддержке РНФ (проект 23-13-00138).
Авторы данной работы заявляют, что у них нет конфликта интересов.
Авторлар туралы
М. Мамонтов
Московский государственный университет им. М. В. Ломоносова
Хат алмасуға жауапты Автор.
Email: mmn@td.chem.msu.ru
химический факультет
Ресей, МоскваС. Курдакова
Московский государственный университет им. М. В. Ломоносова
Email: mmn@td.chem.msu.ru
химический факультет
Ресей, МоскваИ. Успенская
Московский государственный университет им. М. В. Ломоносова
Email: mmn@td.chem.msu.ru
химический факультет
Ресей, МоскваӘдебиет тізімі
- Wang P., Anderko A., Young R. D. // Fluid Ph. Eq. 2002. V.203. P. 141. doi: 10.1016/s0378-3812(02)00178-4
- Gruszkiewicz M. S., Palmer D. A., Springer R. D., et al. // J. Sol. Chem. 2007. V.36. P. 723. doi: 10.1007/s10953-007-9145-2
- Kattner U. // Tecnologia em Metalurgia, Materiais e Mineracao. 2016. [online], doi: 10.4322/2176-1523.1059
- Hiroshi Ohtani. The CALPHAD Method. Springer Handbook of Materials Measurement Methods, 2006. ISBN: 978-3-540-20785-6
- Cohen-Adad R., Ben Hassen-Chehimi D., Zayani L.&I., et al. // CALPHAD. 1997. V. 21. № 4. P. 521
- Voigt W. // Pure Appl. Chem. 2001. V. 73. № 5. P. 831 doi: 10.1351/pac200173050831
- Laliberte M., Cooper W. E. // J. Chem. Eng. Data. 2004. V. 49. № 5. P 1141. doi: 10.1021/je0498659
- Carroll S., Craig L., Wolery T. J. // Geochem. Trans. 2005. V. 6. № 2. P. 19. doi: 10.1186/1467-4866-6-19.
- Rard J. A. // Report UCRL-TR-207054 (Lawrence Livermore National Laboratory, Livermore, California), 2004.
- Rard J. A. Report UCRL-TR-217415 (Lawrence Livermore National Laboratory, Livermore, California), 2005.
- Rard J. A., Staggs K. J., Day S. Dan, Carroll S. A. // J. Solution Chem. 2006. V.35. P. 1187. doi: 10.1007/s10953-006-9049-6
- Linke W. F. Solubilities, Inorganic and Metal-Organic Compounds, fourth ed. V. II. American Chemical Society, Washington, DC. 1965
Қосымша файлдар











