Фазовые равновесия в системе Na+, K+// Cl–, NO3– – H2O вблизи температур кипения. I. Моделирование трёхкомпонентных систем
- Autores: Мамонтов М.Н.1, Курдакова С.В.1, Успенская И.А.1
-
Afiliações:
- Московский государственный университет им. М. В. Ломоносова
- Edição: Volume 98, Nº 9 (2024)
- Páginas: 140-145
- Seção: 100-ЛЕТИЮ ЛАБОРАТОРИИ ХИМИЧЕСКОЙ ТЕРМОДИНАМИКИ МГУ
- ##submission.dateSubmitted##: 07.03.2025
- ##submission.dateAccepted##: 07.03.2025
- ##submission.datePublished##: 30.12.2024
- URL: https://bakhtiniada.ru/0044-4537/article/view/282769
- DOI: https://doi.org/10.31857/S0044453724090197
- EDN: https://elibrary.ru/OMMLKI
- ID: 282769
Citar
Texto integral
Resumo
Проведена частичная реоптимизация параметров модели Wang-Gruszkiewicz, позволившая описать фазовые равновесия в граничных тройных системах, образующих взаимную систему Na+, K+// Cl–, NO3– – H2O, вблизи температур кипения. Определены области устойчивости жидкой фазы, т. е. составы растворов, при кипении которых не происходит выделение твердой фазы. Показано, что в системе NaNO3–KNO3–H2O при определенных соотношениях количеств нитратов натрия и калия давление пара воды над насыщенными растворами будет равно атмосферному при двух различных температурах.
Texto integral
ВВЕДЕНИЕ
Фазовые равновесия в многокомпонентных водно-солевых системах представляют интерес для разработки многих химико-технологических и гидрометаллургических процессов, в частности, получения индивидуальных солей, разделения и очистки неорганических веществ, переработки рассолов природного и техногенного происхождения, извлечения солей из высокосолевых сточных вод углехимического производства, прогноза устойчивости металлических контейнеров при хранении ядерных отходов и т. п. [1–4]. Экспериментальные исследования таких систем активно проводились в первой половине XX столетия, затем интерес к ним стал немного спадать. В настоящее время они снова становятся объектом многочисленных публикаций, многие из которых ориентированы на решение реальных проблем региональных экономик [5–9].
Российская Федерация является одним из основных производителей и поставщиков удобрений, поэтому разработка новых или модернизация существующих методов производства комплексных удобрений, несомненно, является актуальной задачей. С точки зрения рассмотрения потенциально возможных способов получения нитрата калия интерес представляют сведения о фазовых равновесиях во взаимных системах K+, Men+//Cl–, NO3––H2O (где Me – щелочной или щелочноземельный металл). Так, в работе [10] для выяснения возможности создания новой технологии изучены условия кристаллизации твердых фаз системы K+, Mg2+//Cl–, NO3– – H2O в интервале температур 5–115°C.
Целью настоящей работы была валидация и реоптимизация (при необходимости) параметров моделей твердых и жидких фаз для прогноза фазовых равновесий в системе, образованной хлоридами/нитратами натрия/калия с водой. Данная система относится к классу взаимных, поэтому число независимых компонентов равно четырем; валовой состав системы можно представить, как водный раствор трех солей, выбранных определенным образом.
Результаты экспериментальных исследований фазовых равновесий в такой взаимной системе, а также их моделирования с использованием формализма Питцера, приведены в работах [1–4]. По мнению самих авторов, отсутствие в литературе численных значений некоторых параметров не позволяет провести надежный расчет, гарантирующий корректное экстраполяционное поведение модели. В частности, отсутствуют сведения о возможности применения этих параметров при высоких температурах.
В настоящей работе для характеристики поведения системы Na+, K+// Cl–, NO3––H2O при температурах, близких к температурам кипения, использованы параметры модели, представленной в [11, 12]. Первым этапом работы стала проверка возможности описания трехкомпонентных подсистем, образующих указанную взаимную систему.
ТЕРМОДИНАМИЧЕСКАЯ МОДЕЛЬ
В работах [11, 12] за основу модели жидкой фазы взят формализм Питцера [13, 14]; соответственно, энергия Гиббса раствора рассчитывается по формуле
где два слагаемых, описывающих вклад в избыточную энергию, выражаются через состав и температуру раствора следующим образом:
где ni – количества составляющих (Na+, K+,Cl–, NO3–, H2O) в растворе, Ix – ионная сила раствора (в шкале мольных долей xi):
,
zi – зарядовое число i-го составляющего, Ax – постоянная Дебая–Хюккеля:
при расчете которой в настоящей работе использованы значения плотности воды (ds, моль/м3) из работы [15], ее диэлектрической проницаемости (ε) из работы [16]; ρ = 14 согласно [11]. В использованной нами модели принималось, что
Оптимизируемыми параметрами модели являются Bij, для описания температурно-концентрационной зависимости которых использованы следующие формулы:
,
,
.
Для пересчета коэффициентов активности и химических потенциалов от асимметричной к симметричной системе сравнения применялись общеизвестные соотношения:
,
.
В настоящей работе параметры взаимодействия bij и cij взяты из работы [12] за исключением параметра для пары ионов Cl––NO3–. Для более точного описания ликвидуса была проведена их оптимизация с использованием данных о растворимости в подсистемах NaCl–NaNO3–H2O и KCl–KNO3–H2O. Значения параметров взаимодействия, использованные в настоящей работе, приведены в табл. 1.
Таблица 1. Параметры взаимодействия (bk,ij, ck,ij) ионов в растворе
Ион ‘i’ | Ион ‘j’ | Тип | k=0 | k=1 | k=2 | k=3 | k=4 | Ссылка |
Na+ | K+ | bij | –93.0411 | –0.234488 | 37002.7 | 5.62879×10–4 | 0 | [12] |
cij | –64.633 | 0.881525 | –29428.5 | –12.859×10–4 | 0 | |||
Na+ | NO3– | bij | 252.54 | –0.46165 | –42982 | 2.3981×10–4 | 0 | |
cij | –383.93 | 0.60763 | 70566 | –1.9394×10–4 | 0 | |||
K+ | NO3– | bij | 307.869 | –0.55685 | –53814 | 3.0259×10–4 | 0 | |
cij | –384.39 | 0.55306 | 78130 | –1.5254×10–4 | 0 | |||
Na+ | Cl– | bij | 15611 | 7.9642 | –357990 | –36.431×10–4 | –2892.7 | |
cij | –30086 | –15.010 | 699850 | 68.210×10–4 | 5552.3 | |||
K+ | Cl– | bij | 15088 | 7.2361 | –354190 | –31.415×10–4 | –2771.6 | |
cij | –26853 | –12.857 | 635046 | 56.499×10–4 | 4927.6 | |||
Cl– | NO3– | bij | 15.696 | 0 | –5055.81 | 0 | 0 | |
cij | –21.0094 | 0 | 7500.53 | 0 | 0 | |||
Cl– | NO3– | bij | 14.061 | 0 | –5307.7 | 0 | 0 | [наст. раб.] |
cij | –21.285 | 0 | 8626.7 | 0 | 0 |
Авторы модели [11, 12] предполагали существование в рассматриваемой системе индивидуальных твердых фаз NaCl, KCl, NaNO3, KNO3 и смешанной соли NaNO3·KNO3. Их термодинамические свойства представлены в табл. 2. Для описания температурной зависимости термодинамических (∆fHo, So и ∆fGo) функций использовано следующее выражения для теплоемкости (Дж/(моль K)):
Cp= A + B‧T + C/T2 + DT2 + ET3.
Таблица 2. Стандартные энергии Гиббса образования, энтропии, теплоемкости твердых хлоридов и нитратов натрия и калия
Фаза | DfG0 кДж/моль | S0, Дж/(моль K) | A | B | C | D×105 | E×108 | Ссылка |
NaNO3 | –366.106 | 119.713 | –493.9911 | 4.577221 | 0 | 1196.5 | 1078.9 | |
KNO3 | –393.709 | 129.141 | 21.54 | 0.207936 | 1.0244×106 | 0 | 0 | [12] |
NaNO3‧KNO3 | –751.853 | 322.588 | 180.7488 | 0 | 0 | 0 | 0 | [12] |
NaCl | –384.324 | 70.7640 | 47.121 | 0.007219 | 20900 | 1.1156 | 0 | [12] |
72.115 | [17] | |||||||
KCl | 82.57 | 44.0081 | 0.033165 | –2.0×10–8 | –3.5991 | 2.285 | [17] | |
–409.140 | [18] |
Для более точного воспроизведения ликвидуса в системе KCl – H2O в настоящей работе использовался набор данных из двух последних строк табл. 2, а не значения, приведенные в работе [12].
Расчет равновесного состава смеси для заданного валового состава при выбранной температуре проводился минимизацией энергии Гиббса системы по количествам составляющих в растворе и твердых фаз. При этом в качестве ограничений, налагаемых на переменные, использовались условия постоянства компонентного валового состава. Если целью расчета было определение равновесного состава системы в условиях кипения жидкости, то минимизация по таким же переменным проводилась при соблюдении постоянства давления пара воды над раствором (PH2O = 1 бар). В этом случае температура системы была рассчитываемой переменной и в каждой итерации для текущего значения T определялся равновесный состав системы.
РЕЗУЛЬТАТЫ РАСЧЕТА ВЫСОКОТЕМПЕРАТУРНЫХ ФАЗОВЫХ РАВНОВЕСИЙ В СИСТЕМАХ С ДВУМЯ СОЛЯМИ
Для улучшения описания ликвидуса в тройных системах в области высоких температур в настоящей работе был уточнен параметр межчастичного взаимодействия хлорид/нитрат анионов и использованы другие значения стандартных термодинамических функций KCl (см. табл. 2). Как можно видеть из рис. 1, это не привело к заметным изменениям описания более низкотемпературной области, которая моделировалась в работах [1–4].
Рис. 1. Результаты расчета растворимости солей в системах: NaNO3 – KNO3 – H2O (а) при 293.15 (1), 323.15 (2), 348.15 (3), 373.15 K (4); KCl – KNO3 – H2O (б) при 298.15 (1), 348.15 (2), 373.15 K (3). Пунктир – результат расчета по модели из [12], сплошная линия – настоящая работа с параметрами из табл. 1, 2. На участках, где пунктир не виден, он сливается со сплошной линией.
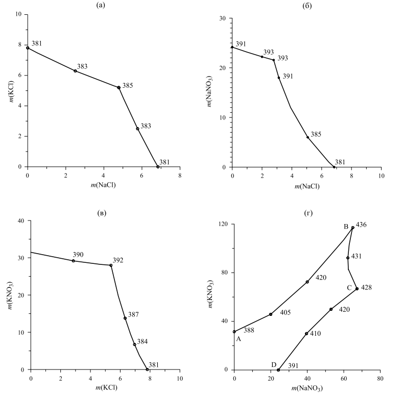
На рис. 2 показаны результаты расчета для четырех трехкомпонентных систем “соль I – соль II – вода”, являющихся подсистемами взаимной системы Na+, K+// Cl–, NO3– – H2O. Каждая из этих систем помимо воды включает следующие пары солей: NaCl–KCl (рис. 2а), NaCl–NaNO3 (рис. 2б), KCl–KNO3 (рис. 2в), NaNO3–KNO3 (рис. 2г), т. е. эти системы содержат один общий и два разных иона (катиона или аниона). Линии на рисунках соответствуют составам насыщенных растворов при температурах кипения (т. е. при давлении пара воды над ними PH2O = 1 бар). У некоторых точек на этих линиях отмечены температуры кипения таких растворов.
Рис. 2. Результаты расчета составов насыщенных водных растворов при парциальном давлении воды 1 бар в тройных системах, содержащих соли: а –NaCl, KCl, б – NaCl, NaNO3, в – KCl, KNO3, г – NaNO3, KNO3. Концентрации солей выражены в шкале моляльностей, температура – в К (цифры у точек). На г буквенные обозначения соответствуют следующим составам осадка: AB – KNO3, BC – NaNO3·KNO3, CD – NaNO3.
Расположение линии составов насыщенных растворов на рис. 2 свидетельствует о следующем. Если валовой состав системы лежит внутри области, очерченной линией составов с PH2O = 1 бар, то при кипении жидкости осадок отсутствует; вне – кипящий раствор сосуществует с твердой фазой. Для взаимных систем (с парами солей KCl/NaNO3 и NaCl/KNO3) в осадке может присутствовать соль, отличная от смешиваемых компонентов. Этот вопрос более подробно рассмотрен во второй части работы.
При расчетах фазовых равновесий в системе NaNO3 – KNO3 – H2O оказалось, что при некоторых соотношениях количеств нитратов натрия и калия давление пара воды над насыщенными растворами имеет максимум на зависимости от температуры (или от степени их насыщения). По мере увеличения содержания второй соли давление пара воды над насыщенным раствором с ростом температуры сначала растет, а затем убывает. То есть, при заданной пропорции количеств солей давление пара воды будет равно атмосферному при двух различных температурах, что демонстрирует рис. 3.
Рис. 3. Результаты расчета составов насыщенных растворов в системе NaNO3–KNO3–H2O при давлении пара PH2O = 1 бар, сплошные линии (а), при давлении насыщенного пара и температурах 440, 460, 470, 480 K (пунктирные линии (б)). Линии (а) соответствуют равновесию насыщенного раствора с солью NaNO3 (1, 2), с KNO3 (3, 4), с NaNO3·KNO3 (5, 6). Буквами A, B, C обозначены области сосуществования насыщенного раствора с паром при давлении PH2O > 1 бар, буквы D, E соответствуют равновесиям с давлением PH2O < 1 бар.
Изотермы ликвидуса, показанные на рис. 3б, отвечают составам насыщенных растворов, находящихся в равновесии с соответствующими твердыми фазами. Если система NaNO3–KNO3–H2O находится при постоянном объеме и не обменивается веществом с окружающей средой (смесь в запаянной ампуле), то давление пара воды над ней отвечает равновесному значению. В соответствии с рис. 3, при нагревании и повышении температуры такой смеси ее насыщенный раствор будет становиться все более концентрированным до тех пор, пока его состав не сравняется с валовым составом смеси и произойдет полное растворение осадка.
Если же нагревание системы производится при атмосферном давлении и валовой состав раствора лежит вне области D на рис. 3, то при достижении температуры, отвечающей ее границе, начнется процесс кипения, при котором температура будет оставаться неизменной. Таким образом, независимо от того, какой из областей А–E принадлежит валовой состав смеси, состав насыщенного раствора останется на границе области D.
ВЫВОДЫ
Проведена частичная реоптимизация параметров модели, предложенной Wang и Gruszkiewicz на основе формализма Питцера. Показано, что новый набор параметров межчастичных взаимодействий позволяет описать фазовые равновесия в граничных тройных подсистемах, образующих взаимную систему Na+, K+// Cl–, NO3– – H2O и содержащих один общий и два разных иона, в более широком температурном интервале вплоть до температур кипения насыщенных растворов.
Согласно результатам расчетов, в системе NaNO3–KNO3–H2O при определенных соотношениях количеств нитратов натрия и калия давление пара воды над насыщенными растворами будет равно атмосферному при двух различных температурах.
Работа выполнена при финансовой поддержке РНФ (проект 23-13-00138).
Авторы данной работы заявляют, что у них нет конфликта интересов.
Sobre autores
М. Мамонтов
Московский государственный университет им. М. В. Ломоносова
Autor responsável pela correspondência
Email: mmn@td.chem.msu.ru
химический факультет
Rússia, МоскваС. Курдакова
Московский государственный университет им. М. В. Ломоносова
Email: mmn@td.chem.msu.ru
химический факультет
Rússia, МоскваИ. Успенская
Московский государственный университет им. М. В. Ломоносова
Email: mmn@td.chem.msu.ru
химический факультет
Rússia, МоскваBibliografia
- Carroll S., Craig L., Wolery T.J. // Geochem. Trans. 2005. V.6.№ 2. P. 19. doi: 10.1186/1467-4866-6-19.
- Rard J.A. // Report UCRL-TR-207054 (Lawrence Livermore National Laboratory, Livermore, California), 2004.
- Rard J.A. Report UCRL-TR-217415 (Lawrence Livermore National Laboratory, Livermore, California), 2005.
- Rard J.A., Staggs K.J., Day S. Dan, Carroll S.A. // J. Solution Chem. 2006. V.35. P. 1187. doi: 10.1007/s10953-006-9049-6
- Zhu L., Ma Y.L., Ge S.Y., Wang Y.Y. // J. Chem. Thermod. 2022. V.165. P. 106658. doi: 10.1016/j.jct.2021.106658
- Shen W., Ren Y., Sun J. // Fluid Phase Equilibria. 2016. V.429. P. 196. doi: 10.1016/j.fluid.2016.09.005
- Cao J., Ren Y., Yu B., et al // J. Chem. Thermodyn. 2019. V.133. P. 181. doi.org/10.1016/j.jct.2019.04.008
- Румянцев А.В., Гурьева А.А., Герман В.П. // Журн.физ.химии. 2023. Т. 97. № 8. С. 1111. doi: 10.31857/S0044453723080228
- Чарыков Н.А., Гурьева А.А., Герман В.П. и др. // Там же. 2023. Т. 97. № 7. С. 965. doi: 10.31857/S0044453723070051
- Danielik V., Fellner P., Jurišová J., Králik M.// J. Mol. Liquids. 2014. V.191. P. 111. doi: 10.1016/j.molliq.2013.12.004
- Wang P., Anderko A., Young R.D. // Fluid Ph. Eq. 2002. V.203. P. 141. doi: 10.1016/s0378-3812(02)00178-4
- Gruszkiewicz M.S., Palmer D.A., Springer R.D., et al. // J. Sol. Chem. 2007. V.36. P. 723 doi: 10.1007/s10953-007-9145-2
- Pitzer K.S. // J. Phys. Chem. 1973. V. 77. № 2. P. 268. doi: 10.1021/j100621a026
- Pitzer K.S., Mayorga G. // J. Phys. Chem. 1973. V. 77. № 19. P. 2300. doi: 10.1021/j100638a009
- Rodriguez C, Prugger K, Millero F.J. // J. Chem. Eng. Data. 2013. V.58. P. 1833. doi: 10.1021/je4002398
- Bradley D.J., Pitzer K.S. // J. Phys. Chem. 1979. V.83. № 12. P. 1599. doi: 10.1021/j100475a009
- Термодинамические свойства индивидуальных веществ. Справ. издание (ред. Глушко В.П.), М.: Наука, 1978
- Wagman D.D., Evans W.H., Parker V.B., et al // J. Phys. Chem. Ref. Data. 1982. V.11. suppl. 2. doi: 10.1063/1.555845
Arquivos suplementares





