Масс-спектрометрическое исследование взаимодействия Y2O3 с углеродом при высоких температурах
- Авторлар: Фоломейкин Ю.И.1, Столярова В.Л.2,3, Лопатин С.И.2,3
-
Мекемелер:
- Государственный научный центр, федеральное автономное учреждение “Центральный институт авиационного моторостроения имени П. И. Баранова”
- Федеральное государственное бюджетное учреждение науки Ордена Трудового Красного Знамени Институт химии силикатов им. И. В. Гребенщикова РАН
- Санкт-Петербургский государственный университет
- Шығарылым: Том 98, № 9 (2024)
- Беттер: 82-87
- Бөлім: 100-ЛЕТИЮ ЛАБОРАТОРИИ ХИМИЧЕСКОЙ ТЕРМОДИНАМИКИ МГУ
- ##submission.dateSubmitted##: 07.03.2025
- ##submission.dateAccepted##: 07.03.2025
- ##submission.datePublished##: 30.12.2024
- URL: https://bakhtiniada.ru/0044-4537/article/view/282761
- DOI: https://doi.org/10.31857/S0044453724090117
- EDN: https://elibrary.ru/ONQRXE
- ID: 282761
Дәйексөз келтіру
Толық мәтін
Аннотация
Методом высокотемпературной дифференциальной масс-спектрометрии изучено испарение Y2O3 в присутствии углерода. Впервые установлено, что в температурном интервале 1950–2200К в паре над системой Y2O3–C присутствуют YO и атомарный иттрий. Показано, что с увеличением температуры парциальное давление пара YO над системой Y2O3–C уменьшается по сравнению с парциальным давлением пара YO над индивидуальным Y2O3, что как следствие приводит к понижению активности оксида иттрия в рассматриваемой системе.
Негізгі сөздер
Толық мәтін
Керамические изделия из индивидуальных высокоогнеупорных оксидов находят широкое применение в различных современных высокотемпературных технологических процессах и особенно при температурах более 2100К в контакте с различными материалами в разнообразных газовых средах, например, с керамикой, огнеупорами, металлами, металлическими и оксидными расплавами.
Современная технология литья по выплавляемым моделям деталей специального назначения с направленной структурой, включая лопатки авиационных газотурбинных двигателей, предполагает использование электрических вакуумных печей с графитовыми нагревателями [1]. Применение композиционных сплавов нового поколения на основе тугоплавких металлов как альтернатива никелевым жаропрочным сплавам связано с необходимостью проведения процесса направленной кристаллизации при температурах, превышающих 2000 К [2]. Однако в промышленных печах проведение направленной кристаллизации проводится, как правило, в восстановительной углеродсодержащей атмосфере, наличие которой может приводить к необратимым фазовым и структурным изменениям литейной керамической формы, нарушая технологические характеристики процесса. В настоящее время оксид алюминия широко применяется в качестве основного компонента керамических форм при направленной кристаллизации никелевых жаропрочных сплавов. В результате изучения испарения Al2O3 в присутствие углерода при высоких температурах показано, что восстановление оксида алюминия инициируется при температуре выше 1800К, и происходит как при непосредственном контакте Al2O3 с углеродом, так и с участием компонентов газовой фазы [3–9]. Следует отметить, что литье композиционных сплавов на основе тугоплавких металлов требует применения более термически устойчивых керамических материалов по сравнению с Al2O3. Как показано ранее [10, 11], в этом случае альтернативой керамики из оксида алюминия могут являться керамические формы, изготовленные из Y2O3. Однако информация о высокотемпературном поведении оксида иттрия в восстановительных условиях весьма ограничена [9, 12].
Рассмотрим имеющиеся данные об испарении оксида иттрия, которое к настоящему времени изучалось неоднократно [13–22]. Установлено, что оксид иттрия Y2O3 при высоких температурах переходит в пар согласно уравнению:
Y2O3 (тв., ж.) = 2 YO (г.) + O (г.). (1)
В таблице 1 обобщены данные, имеющиеся в литературе [13–19], о парциальных давлениях YO над Y2O3 согласно уравнению (1) до температуры 2940 К.
Таблица 1. Коэффициенты А и В в уравнении температурной зависимости парциального давления пара (Па) YO над Y2O3, lg p(YO)= –А/T + B и величина парциального давления YO над Y2O3 при температуре 2200 K согласно [13–15, 17–19] и данным, полученным в настоящей работе
Т, K | Материал эффузионной камеры | A | B | p(YO), (2200 K) | Литература |
2492–2697 | W | 31295±2032 | 12.0±0.8 | 6.0×10–3 | [13] |
2509–2720 | W | 32376±1412 | 12.2±0.5 | 3.0×10–3 | [14] |
2220–2650 | W | 34570±160 | 13.1±0.1 | 2.4×10–3 | [15] |
2691–2940 | W | 34676±1295 | 12.3±0.5 | 3.4×10–4 | [17] |
2300–2550 | - | 34467 | 13.1 | 2.7×10–3 | [18] |
2257–2703 | W | 35387±388 | 13.5±0.2 | 2.6×10–3 | [19] |
1946–2175 | Mo | 43724±1388 | 17.2±0.7 | 2.2×10–3 | Настоящее исследование |
Необходимо подчеркнуть, что в паре над Y2O3 помимо монооксида иттрия был идентифицирован также атомарный иттрий, причем соотношение парциальных давлений p(YO): p(Y) = 60 при температуре 2500 К, как показано в работе [20]. При исследовании испарения смеси Y2O3 + Y из вольфрамовых камер [12] в интервале температур 1833–2100 К были найдены следующие зависимости парциальных давлений (Па) YO и атомарного иттрия от температуры:
lg p (YO) = –(26460)/T + 11.28, (2)
lg p (Y) = –(17650)/T + 9.09. (3)
Следует подчеркнуть, что соотношение парциальных давлений p(YO): p(Y) при температуре 1833 К равно 411, а при температуре 2100 К уменьшается до величины 101, что, по-видимому, связано с избирательным испарением металлического иттрия из смеси.
Значений парциальных давлений молекулярных форм пара в системе Y2O3–С при высоких температурах в литературе не найдено.
Таким образом, целью настоящего исследования является изучение процессов испарения Y2O3 при высоких температурах в присутствии углерода для выявления процессов, протекающих в системе Y2O3–С, а также оценки температуры, при которой возможна надежная эксплуатация керамических форм из оксида иттрия в восстановительных условиях.
ЭКСПЕРИМЕНТАЛЬНАЯ ЧАСТЬ
Работа выполнена масс-спектрометрическим эффузионным методом Кнудсена на масс-спектрометре МС-1301, предназначенном для изучения процессов испарения и термодинамических свойств труднолетучих веществ. Испарение образцов оксида иттрия и оксида иттрия с углеродом выполнено из сдвоенной однотемпературной молибденовой камеры, нагреваемой электронной бомбардировкой. Температура измерялась оптическим пирометром ЭОП-66 с точностью ±10 К в интервале температур 1500–2600 К. Для определения природы ионов масс-спектрах пара над исследуемыми образцами измерялись энергии появления ионов в масс-спектрах пара методом исчезновения ионного тока. В качестве стандарта для определения энергий появления исследуемых ионов было выбрано золото с известной энергией ионизации, равной 9.2 эВ [23].
Испарение образцов проводили следующим образом. В одну из ячеек сдвоенной эффузионной камеры загружалась смесь оксида иттрия с активированным углем марки БАУ-А ГОСТ 6217–74, в другую, сравнительную, индивидуальный оксид иттрия марки “о. с. ч.” с содержанием Y2O3 не менее 99.9995 мас. %. Образец, содержащий Y2O3 и C, был приготовлен перетиранием в агатовой ступке смеси указанных компонентов, взятых в соотношении 1:1. Парциальные давления молекулярных форм пара над Y2O3 и смесью Y2O3–С были определены методом сравнения ионных токов с использованием золота в качестве стандарта парциального давления пара [24] согласно уравнению:
, (4)
где Ii – суммарная величина ионного тока, возникающего при ионизации молекулярной формы пара i, Ti – температура (К), σi – сечение ионизации молекулярной формы пара i, γi – коэффициент конверсии вторичного электронного умножителя, равный квадратному корню из молекулярной массы соответствующей молекулярной формы пара i, pi – парциальное давление молекулярной формы пара i; индексы “1” и “2” относятся к образцу и стандарту соответственно.
Аппаратура предварительно калибровалась по давлению пара CaF2, принятого согласно рекомендациям [25]. Более подробно использованная аппаратура и методика идентификации состава газовой фазы и определения парциальных давлений молекулярных форм пара опубликована и рассмотрена неоднократно ранее, в частности, в работах [26–28].
В масс-спектрах пара над образцами индивидуального Y2O3 и системы Y2O3–C, начиная с температуры 1950 К были идентифицированы ионы Y+ и YO+, соотношения интенсивностей которых в обоих случаях не превышало величину, равную 0.01–0.02. Для определения молекулярных предшественников ионов Y+ и YO+ были измерены энергии появления указанных ионов в масс-спектрах пара над индивидуальным Y2O3 и системой Y2O3–C методом исчезающего ионного тока. Найденные величины были равны 11.5 эВ и 6.0 эВ соответственно. Показано, что определенная энергия появления иона YO+в масс-спектрах исследуемого пара в пределах погрешности измерений совпадала с энергией ионизации газообразной молекулы YO, а энергия появления иона Y+ была значительно выше энергии ионизации атомарного иттрия [29].
Таким образом, из анализа масс-спектров пара над образцами индивидуального оксида иттрия и системы Y2O3–C, зависимостей интенсивностей ионных токов Y+ и YO+ от температуры, а также величин энергий появления ионов Y+ и YO+ можно заключить, что в паре над образцами индивидуального оксида иттрия и системыY2O3–C присутствуют YO и атомарный кислород. Однако величины ионного тока O+в данной работе не измерялись, принимая во внимание значительный фон остаточных газов в вакуумной части масс-спектрометра.
Измерение зависимостей интенсивностей ионных токов YO+ в масс-спектрах пара над образцами индивидуального Y2O3и системы Y2O3–C, а также определение парциальных давлений YOнад указанными образцами методом сравнения ионных токов позволили получить в температурном интервале 1946–2175 К зависимости парциального давления монооксида иттрия над Y2O3и образцом системы Y2O3–C от температуры, рис. 1:
(5)
(6)
Рис. 1. Зависимости логарифма парциального давления YO от величины обратной температуры в паре над образцами системыY2O3–C (1) и индивидуальногоY2O3 (2), определенные в настоящей работе.
На рис. 2. приведена зависимость отношения парциальных давлений YO в паре над образцами системы Y2O3–C и индивидуальным оксидом иттрия от температуры, полученная в настоящей работе. Необходимо отметить, что при повышении температуры величина указанного выше соотношения парциальных давлений пара YO понижается.
Рис. 2. Зависимость отношения парциальных давлений YO в паре над образцами системы Y2O3–C и индивидуальным оксидом иттрия от температуры, полученная в настоящей работе.
По-видимому, понижение парциального давления пара YO над образцом системы Y2O3–C по сравнению с индивидуальным оксидом иттрия связано с образованием термически прочных соединений при повышении температуры в конденсированной фазе, например карбидов или оксикарбидов иттрия. Однако в этой связи целесообразно отметить, что при температуре 2150 К в масс-спектре пара над системой Y2O3–C не были идентифицированы ионы YC+и YC2+, характерные для испарения карбида иттрия [30]. Отсутствие указанные ионов в масс-спектре пара над системой Y2O3–C, возможно, было связано с незначительной величиной парциального давления пара YC2 за пределами чувствительности масс-спектрометра.
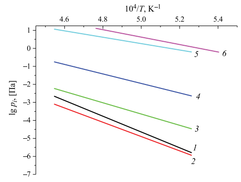
На рис. 3 полученные в настоящей работе данные сопоставлены с результатами определения температурных зависимостей парциальных давлений пара YO над индивидуальным Y2O3 и системой Y2O3–Y, а также атомарного иттрия в паре над образцами металлического иттрия и системы Y2O3–Y, опубликованными в работах [12–19].
Рис. 3. Зависимости парциальных давлений пара YO от температуры над образцами системыY2O3–C (1) и индивидуальным Y2O3 (2), полученные в настоящей работе, а также приведенные в литературе для следующих молекулярных форм пара: (3) – YO над Y2O3 [13], (4) и (5) – YO и Y над образцом системы Y2O3–Y [12], Y над металлическим иттрием [25].
Как следует из сопоставления результатов, приведенных в таблице 1 и на рис. 1, полученные в настоящей работе парциальные давления пара YO над индивидуальным оксидом иттрия, и определенные в работах [13–19], близки по значениям.
Необходимо отметить, что взаимодействие металлического иттрия с Y2O3 [12] приводит к увеличению парциального давления пара YO как следствие частичного восстановления оксида иттрия и понижению парциального давления атомарного иттрия по сравнению с давлением пара Y над металлическим иттрием.
В температурном интервале 1946–2175 К для образца системы Y2O3–C, содержащего 50 мол. % С, определена величина активности Y2O3 (аi) из соотношения:
, (7)
где значения pi и poi относятся соответственно к парциальным давлениям молекулярных форм пара над исследуемой системой Y2O3–C и индивидуальным оксидом иттрия.
Полученная зависимость активности Y2O3от температуры для образца системы Y2O3–C, содержащего 50 мол. % С, в температурном интервале 1946–2175 К свидетельствует о понижении активности Y2O3 при повышении температуры согласно найденному уравнению, рис. 4:
. (8)
Рис. 4. Зависимость логарифма активности Y2O3 от обратной температуры для образца системы Y2O3–C, содержащего 50 мол. %С, в температурном интервале 1946–2175 К, полученная в настоящей работе.
ОБСУЖДЕНИЕ РЕЗУЛЬТАТОВ
Впервые полученные в настоящей работе данные о термодинамическом описании системы Y2O3–C в температурном интервале 1950–2200 К являются уникальной термодинамической информацией, отражающей одно из самых перспективных направлений современной высокотемпературной химии, связанного с изучением процессов, протекающих при взаимодействии оксидных и карбидных систем, а также материалов на их основе. В настоящее время число экспериментальных исследований в этом направлении весьма ограничено, несмотря на их актуальность для решения широкого спектра технологических задач и проведения моделирования фазовых равновесий с привлечением современных баз термодинамических данных на основе подхода CALPHAD.
Наиболее яркой иллюстрацией значения исследований, выполненных в данном направлении, могут служить результаты работы [31], в которой были впервые проведено высокотемпературное экспериментальное изучение процессов взаимодействия химически прототипных металлической и оксидной составляющих расплава кориума реакторов ВВЭР с карбидной керамикой Zr2AlC, а также с композиционной керамикой на основе диоксида циркония и Zr2AlC, Zr3AlC2, Ti3SiC2, Ti2SiC, Ti3AlC2, Ti2AlC. Была впервые установлена высокая химическая устойчивость до температуры 2773 К как карбидного, так и композиционного материала, содержащего Zr2AlC. По итогам этой работы [31] материалы на основе системы ZrO2–Zr2AlC были впервые рекомендованы для дальнейшего изучения в качестве покрытий и самостоятельных элементов активной зоны, как имеющие исключительную устойчивость в расплаве активной зоны ядерных реакторов.
Одной из первых работ, выполненных при изучении высокотемпературного взаимодействия оксидных и карбидных систем с участием газовой фазы, является исследование Шатильона с сотрудниками [9] при рассмотрении систем SiC–Al2O3 и SiC–Al2O3–Y2O3. Следует отметить, что результаты настоящего исследования качественно отличаются от данных, приведенных авторами [9] при сопоставлении парциального давления YO над индивидуальным Y2O3 и образцом системы SiC–Y2O3. К сожалению, в работе [9] зависимости парциального давления YO от температуры над изученными системами приведены только в графической форме, что затрудняет интерпретацию полученных данных. Обсуждая итоги настоящего исследования необходимо подчеркнуть, что оксид иттрия в системе SiC–Y2O3может восстанавливаться не только углеродом, но и кремнием, повышая парциальное давление YO по сравнению с давлением монооксида иттрия над индивидуальным Y2O3. Неоднократно показано, что в присутствии восстановителей, и углерода, в частности, термическая устойчивость ряда оксидов уменьшается. Об этом свидетельствуют, например, результаты определения парциальных давлений пара SiO над SiO2 [32–35], а также Al и Al2O над Al2O3[3–8], полученные методом высокотемпературной масс-спектрометрии и иллюстрирующие повышение парциальных давлений указанных молекулярных форм пара в присутствии углерода. Аналогичное повышение парциального давления пара YO наблюдалось при взаимодействии Y2O3 с металлическим иттрием [12]. При изучении высокотемпературного взаимодействии оксида алюминия с углеродом были отмечены кинетические факторы, затрудняющие первоначальную стадию перехода в пар оксидов алюминия, углерода и атомарного алюминия [4, 5].
По-видимому, одна из причин отличия полученных нами данных в наблюдаемой тенденции изменения активности оксида иттрия с температурой в системе Y2O3–C от результатов работы [9] может быть связана с различием состава конденсированной фазы, образующейся при взаимодействии оксида иттрия с углеродом по сравнению с системой SiC–Y2O3. Следует отметить, что в настоящей работе из-за методических ограничений используемого подхода в рамках выполненного высокотемпературного масс-спектрометрического эксперимента не удавалось контролировать изменение состава конденсированной фазы при повышении температуры в процессе испарения системы Y2O3–C. Однако было сделано допущение, что понижение парциального давления YO над образцом системы Y2O3–C при повышении температуры является следствием образования карбидов иттрия и их сосуществованием с Y2O3 в конденсированной фазе. Корректность такого допущения можно проиллюстрировать на примере образования карбида урана, которое наблюдалось ранее при взаимодействии UO2 с углеродом [36–38].
Таким образом, в результате проведенного исследования впервые идентифицирован состав пара над системой Y2O3–C, определены парциальные давления YO и активности Y2O3 в температурном интервале 1950–2200 К. Найденные значения термодинамических свойств системы Y2O3–C при высоких температурах могут быть рекомендованы для включения в базы данных для расчета фазовых диаграмм многокомпонентных систем с использованием подхода CALPHAD.
Работа выполнена при поддержке федерального бюджета по теме государственного задания Института химии силикатов имени И. В. Гребенщикова Российской академии наук № 0008-2022-0009, № госрегистрации 1023032900322-9-1.4.3.
Авторлар туралы
Ю. Фоломейкин
Государственный научный центр, федеральное автономное учреждение “Центральный институт авиационного моторостроения имени П. И. Баранова”
Email: v.stolyarova@spbu.ru
Ресей, 111116, Москва
В. Столярова
Федеральное государственное бюджетное учреждение науки Ордена Трудового Красного Знамени Институт химии силикатов им. И. В. Гребенщикова РАН; Санкт-Петербургский государственный университет
Хат алмасуға жауапты Автор.
Email: v.stolyarova@spbu.ru
Ресей, 199034, Санкт-Петербург; 199034, Санкт-Петербург
С. Лопатин
Федеральное государственное бюджетное учреждение науки Ордена Трудового Красного Знамени Институт химии силикатов им. И. В. Гребенщикова РАН; Санкт-Петербургский государственный университет
Email: v.stolyarova@spbu.ru
Ресей, 199034, Санкт-Петербург; 199034, Санкт-Петербург
Әдебиет тізімі
- Dexin М.А. // Front. Mech. Eng. 2018. V. 13. № 1. P. 3. doi: 10.1007/s11465-018-0475-0
- Li Z., YuanS-N., JiaL-N., et al. // Rare Metals. 2017. V. 36. № 6. P. 472. doi: 10.1007/s12598-015-0649-4
- Sitnikov P.A., Lopatin S.I., Ryabkov Y.I., Grass V.E. // Rus. J. Gen. Chem. 2004. V. 74. № 7. P. 989. doi: 10.1023/B: RUGC.0000045852.62299.10
- Folomeikin Y.I., Demonis I.M., Kablov E.N., et al. // Dokl. Chem. 2004. V. 399. № 4–6. P. 257. doi: 10.1007/s10631-005-0007-4
- Folomeikin Y.I., Demonis I.M., Kablov E.N., et al. // Glass Phys. Chem. 2006. V. 32. № 2. P. 191. doi: 10.1134/S1087659606020118
- Heyrman M., Chatillon C. // J. Electrochem. Soc. 2006. V. 153. № 7. P. E119. doi: 10.1149/1.2432077
- Heyrman M., Berthomé G., Pisch A., Chatillon C. // J. Electrochem. Soc. 2006. V. 153. № 10. P. J107. doi: 0.1149/1.2229285
- Heyrman M., Pisch A., Chatillon C. //Ibid. 2007. V. 154. 3. P. 40. doi: 10.1149/1.2431319
- Baud S., Thévenot F., Pisch A., Chatillon C. // J. Europ. Ceram. Soc. 2003. V. 23. № 1. P. 1. doi: 10.1016/S0955-2219(02)00067-5
- Ma L.M., Yuan S.N., Cui R.J., et al. // Int. J. Refract. Met. Hard Mater. 2012. V. 30. № 1. P. 96. doi: 10.1016/j.ijrmhm.2011.07.009
- Wan B., Zhang H., Ran C., et al. // Ceram. Internat. 2018. V. 44. № 1. P. 32. doi: 10.1016/j.ceramint.2017.07.163
- Ackermann R.J., Rauch E.G. // J. Chem. Thermodyn. 1973. V. 5. № 3. P. 331. doi: 10.1016/S0021-9614(73)80021-7
- Ames H.W., Walsh P.M., White D. // J. Phys. Chem. 1967. V. 71. № 8. P. 2707. doi: 10.1021/j100867a049
- Ackermann R.J., Rauch E.G,. Thorn R.J. //J. Chem. Phys. 1964. V. 40. № 3. P. 883. doi: 10.1063/1.1725221
- Marushkin K.N., Alikhanyan A.S., Orlovskij V.P. // Russ. J. Inorg. Chem. 1990. V. 35. № 8. P. 2071.
- Sevastyanov V.G., Simonenko E.P., Simonenko N.P. et al. // Mater. Chem. Phys. 2015. V. 153. № 3. P. 78. doi: 10.1016/j.matchemphys.2014.12.037
- Kablov E.N., Folomeikin Y.I., Stolyarova V.L., Lopatin S.I. // Dokl. Phys. Chem. 2015. V. 463. № 1. P. 150. doi: 10.1134/S0012501615070039
- Kablov E.N., Stolyarova V.L., Vorozhtcov V.A., et al. // Rapid Commun. Mass Spectrom. 2018. V. 32. № 9. P. 686. doi: 10.1002/rcm.8081
- Kablov E.N., Stolyarova V.L., Vorozhtcov V.A., et al. // J. Alloys Compd. 2019. V. 794. № 7. P. 606. doi: 10.1016/j.jallcom.2019.04.208
- White D., Walsh P.M., Ames H.W., Goldstein H.W. Thermodynamics of the Earth Oxides at Elevated Temperatures; Dissociation Energies of the Gaseous Monoxides. In: Thermodynamics of nuclear materials. Vienna, 1962. Р. 417.
- Trevisan G., Depaus R. // Z. Naturforsch. 1973. V. A. 28. № 1. P. 37.
- Liu Ming B., Wahlberk P.G. // High Temp. Sci. 1974. V.6. № 6. P. 179.
- Handbook on the Dissociation Energies of Chemical Bonds: Ionization Potentials and Electron Affinities, ed. V.N. Kondrat’ev, Moscow: Nauka, 1974.
- Paule R.C., Mandel J. // Pure Appl. Chem. 1972. V. 31. № 3. P. 371.
- Gurvich L.V., Veitz I.V., Medvedev V.A., et al. Thermodynamic Properties of Individual Substances, V.4 (2), Moscow: Nauka, 1982.
- Stolyarova V.L., Semenov G.A. Mass Spectrometric Study of the Vaporization of Oxide Systems. Chichester: Wiley & Sons. 1994. 434 p.
- Lopatin S.I., Shugurov S.M., Fedorova A.V., et al. // J. Alloys Compd. 2017. V. 693. P. 1028. doi: 10.1016/j.jallcom.2016.09.211
- Vorozhtcov V.A., Stolyarova V.L., Lopatin S.I., et al. // Rapid Commun. Mass Spectrom. 2017. V. 31. № 1. P. 111. doi: 10.1002/rcm.7764
- Lias S.G., Bartmess J.E., Liebman J.F., et al. // J. Phys. Chem. Ref. Data. 1988. V. 17 (Suppl. 1). P. 1.
- De Maria G, Guido M., Malaspina L., Pesce B. // J. Chem. Phys. 1965. V. 43. № 12. P. 4449. doi: 10.1063/1.1696715
- Альмяшев В.И., Столярова В.Л., Крушинов Е.В., и др. // Технологии обеспечения жизненного цикла ЯЭУ. 2023. № 1 (31). С. 60. doi: 10.52069/2414-5726_2023_1_31_60
- Honstein G., Chatillon C. //J. Alloys Compd. 2008. V. 452. № 1. P. 85. doi: 10.1016/j.jallcom.2007.01.174
- Honstein G., Chatillon C., Baillet F. // J. Europ.Ceram. Soc.2012. V. 32. № 5. P. 1117. doi: 10.1016/j.jeurceramsoc.2011.11.032
- Honstein G., Chatillon C., Baillet F. // J. Chem. Thermodyn. 2013. V. 59. № 1. P. 144. doi: 10.1016/j.jct.2012.10.001
- Sokolov M.T., Lopatin S.I, Pechkovskii V.V., Shepeleva V.V. // Deposited in VINITI. 24.10.1989. № 6429-В89.
- Gossé S., Guéneau C., Chatillon C., Chatain C. //.J. Nucl. Mater. 2006. V. 352. № 1–3. P. 13. doi: 10.1016/j.jnucmat.2006.02.079
- Gossé S., Guéneau C., Alpettaz T., et al. //J. Engineer. Gas Turbines and Power. 2010. V. 132. № 1.P. N012903. doi: 10.1115/HTR2008-58148
- Gossé S., Guéneau C., Alpettaz T., et al. /Nucl. Engineer. Design. 2008. V. 238. № 11. P. 2866. doi: 10.1016/j.nucengdes.2008.01.019
Қосымша файлдар






