Интегральные интенсивности основных полос поглощения С2HD в области 6530–6627 см–1
- Autores: Пластинина Д.М.1,2, Липская А.С.1,3, Чесноков Е.Н.1
-
Afiliações:
- Институт химической кинетики и горения
- Новосибирский государственный университет
- Новосибирский государственный технический университет
- Edição: Volume 98, Nº 6 (2024)
- Páginas: 46-50
- Seção: ЭКСПЕРИМЕНТАЛЬНАЯ И ТЕОРЕТИЧЕСКАЯ СПЕКТРОСКОПИЯ ГАЗОВОЙ ФАЗЫ
- ##submission.dateSubmitted##: 28.12.2024
- ##submission.dateAccepted##: 28.12.2024
- ##submission.datePublished##: 29.12.2024
- URL: https://bakhtiniada.ru/0044-4537/article/view/274763
- DOI: https://doi.org/10.31857/S0044453724060088
- EDN: https://elibrary.ru/PXSMBK
- ID: 274763
Citar
Texto integral
Resumo
В работе измерены интегральные интенсивности вращательных линий молекулы C2HD в полосе первого обертона (2,0,0,0,0) и составного тона (1,0,1,0,1) в интервале от P(3) – P(17) и R(0) – R(33). Для обертона (2,0,0,0,0) наблюдается обычное распределение интенсивностей по линиям P- и R-ветвей. Для составного тона (1,0,1,0,1) наблюдается нестандартное распределение интенсивностей, имеющее резкий провал при J < 6 как для P-, так и для R-ветви. Это явление объясняется заимствованием интенсивности от обертона (2,0,0,0,0) составным тоном вследствие внутримолекулярного Кориолисова взаимодействия. При малых J кориолисово взаимодействие становится недостаточным для эффективного смешивания состояний и эффект заимствования интенсивности исчезает.
Palavras-chave
Texto integral
Интегральные интенсивности основных полос поглощения С2HD в области 6530–6627 см–11
ВВЕДЕНИЕ
Широкое использование диодных лазеров диапазона 1530–1565 нм в системах телекоммуникаций с уплотнением каналов ставит задачу поиска стандартов частоты. Наиболее точным подходом для решения этой задачи является использование молекулярных спектральных линий. Среди молекул, имеющих интенсивные спектральные линии указанного диапазона, во многих случаях предпочтительно использование ацетилена и его изотопических разновидностей как стандартов калибровки.
В работе [1] были измерены частоты линий C2H2 с относительной точностью 10–9. Позже в [2] частоты линий той же полосы с использованием спектроскопии насыщения поглощения были измерены с точностью до 3–10 кГц. Эти измерения способствовали превращению спектра ацетилена C2H2 в области 1.5 мкм в стандарт частоты. Использование изотопических разновидностей ацетилена 13C2H2 и C2HD, которые тоже имеют интенсивные линии около 1.5 мкм, расширяет набор доступных в качестве стандарта частот.
Исследованию спектра молекулы 12C2HD посвящено значительное число работ [3–8]. Исследование спектров высокого разрешения позволило достаточно подробно охарактеризовать фундаментальные полосы и некоторые полосы обертонов. Однако в этих работах не измерялись интенсивности спектральных линий. Имеется только две работы, посвященные измерению интегральных интенсивностей в спектрах низкого разрешения [9, 10]. В качестве примера прикладной значимости стоит отметить, что отсутствие подробной информации по интенсивностям линий в спектре высокого разрешения 12C2HD не позволило из астрофизических наблюдений определить содержание этих молекул в атмосфере Титана [11]. Измерению абсолютных интенсивностей фундаментальных полос в спектрах высокого разрешения посвящена работа [12].
В области первого обертона C-H-колебаний находятся две перекрывающиеся колебательные полосы сравнимой интенсивности. Это первый обертон валентного C-H-колебания (2,0,0,0,0) (обозначения различных колебаний приведены в [13]). Вторая полоса (1,0,1,0,1) – составной тон, включающий валентное C-H-колебание, валентное C–C- и деформационное колебания.
В данной работе с помощью перестраиваемых диодных лазеров был измерен спектр С2HD и определены интегральные интенсивности отдельных вращательных линий P- и R-ветвей. Для полосы составного тона обнаружена необычная зависимость интенсивностей вращательных линий от квантового числа J – интенсивности вращательных линий резко слабеют при J < 5. Дано качественное объяснение наблюдаемого явления.
ЭКСПЕРИМЕНТАЛЬНАЯ ЧАСТЬ
Эксперименты были проведены со смесью изотопного ацетилена, полученного путем реакции карбида кальция с водой. При синтезе была использована смесь H2O : D2O = 1 : 4. В результате изотопного обмена, легкий изотоп водорода оказался преимущественно в форме C2HD. Изотопный состав смеси в соответствии с результатами масс-спектрометрического анализа составил 4.7% C2H2, 33.9% C2HD и 61.4% C2D2.
Измерения были проделаны с помощью трех различных DFB диодных лазеров. Использовались лазер SBF-C53S2 (диапазон перестройки 6530–6560 см–1), лазер SBF-C51S2 (диапазон перестройки 6610–6640 см–1) компании Shengshi Optical Tech [14] и лазер BGEL-1517 (диапазон перестройки 6571–6606 см–1) компании Hebei Youze Electronic. С помощью этих трех лазеров удалось почти полностью перекрыть P- и R-ветви обеих колебательных полос. Оптическая схема экспериментальной установки изображена на рис. 1. Излучение лазера поступало в измерительную кювету, пройдя через кварцевую светоделительную пластину BS. После отражения от зеркала М1 лазерный луч еще раз проходил через кювету и, отразившись от пластины BS, попадал на детектор D1. Часть лазерного луча, отраженная от BS, направлялась на интерферометр Фабри–Перо и детектор D2. В качестве детекторов использовались фотодиоды InGaAS. Сигналы с фотодиодов после предварительного усиления регистрировались цифровым осциллографом с разрешением АЦП 12 бит. Использовался интерферометр ИТ-51-30 с расстоянием между зеркалами 30 мм ± 1 мкм.
Рис. 1. Схема экспериментальной установки: LD – лазерный диод, D1 и D2 – детекторы, BS – кварцевая пластина, FPI – интерферометр Фабри–Перо, М1 и М2 – зеркала
Спектр снимали отдельными участками шириной 10–15 см–1. Сканирование каждого участка занимало 100 с. Во время сканирования одновременно регистрировались интенсивности лазерных лучей, прошедших образец и интерферометр Фабри–Перо. Для определения нулевой линии сразу после записи участка спектра производилось сканирование пустой кюветы. Пример записи участка спектра приведен на рис. 2.
Рис. 2. Пример записи сигналов сканирования участка спектра. Синяя кривая (1) – результат сканирования пустой кюветы, черная (2) – образец при давлении 3 Торр. Волнообразный график базовой линии связан с интерференцией на окнах кюветы. Внизу красным изображены частотные метки интерферометра Фабри–Перо
Результатом сканирования являются две функции от времени – I(t) и Marks(t). Переход от шкалы времени к шкале частот производился следующим образом: из функции Marks(t) программа обработки определяла последовательность моментов времени ti, отвечающих максимумам пропускания интерферометра. Соответствующая этим моментам времени частота (см–1)
,
где 0.166667±6×10–6 см–1 – постоянная интерферометра, С – константа.
По полученной таблице (νi, ti) с помощью сплайн-интерполяции строилась непрерывная функция ν= Spline(t). Эта функция позволяла перейти от функции времени I(t) к функции частоты I(ν).
Такая же процедура производилась для пустой кюветы, в результате чего получалась функция I0(ν). Логарифм отношения этих функций определял оптическую плотность. Результат для небольшого участка спектра изображен на рис. 3. Константа С, которая определяет сдвиг спектра как целого, определялась по известной частоте линий молекулы ацетилена C2H2, которая присутствовала в виде примеси. Точность такой привязки по частоте определялась точностью определения максимумов сигнала интерферометра ti. В итоге, погрешность привязки по частоте не превышала 0.002 см–1, что на порядок меньше ширины наблюдаемых линий.
Рис. 3. Участок спектра C2HD вместе с отнесением линий вращательной структуры. Сверху красное – отнесение линий полосы обертона (2,0,0,0,0), ниже зеленое – отнесение линий составного тона (1,0,1,0,1). Числом 6590.592 отмечена линия C2H2, которая использовалась для калибровки спектра
ОБСУЖДЕНИЕ РЕЗУЛЬТАТОВ
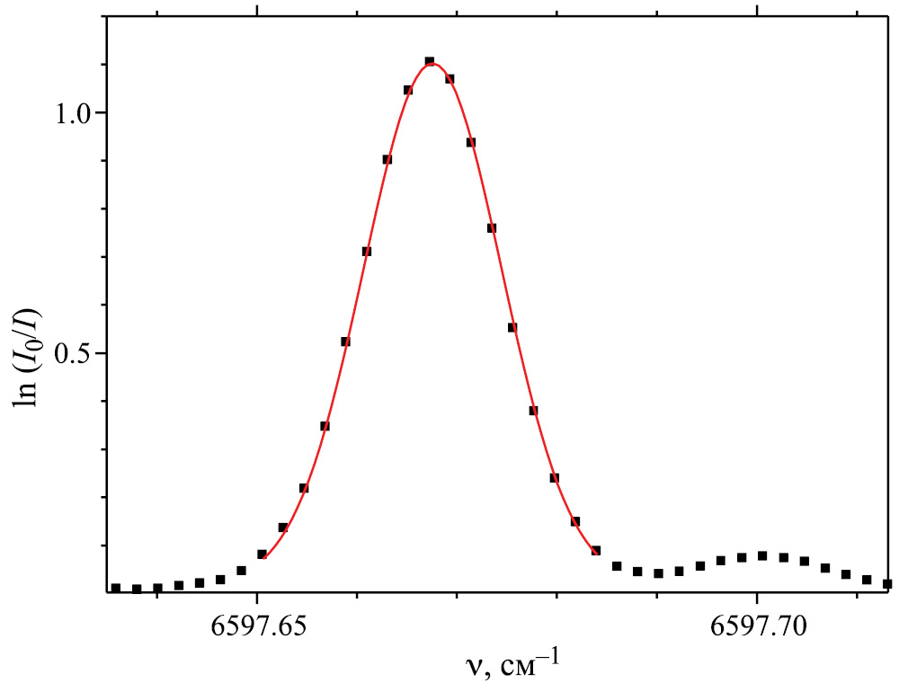
Для определения параметров спектральных линий контур аппроксимировался функцией Фойгта (рис. 4).
Рис. 4. Контур линии R(15) полосы (2,0,0,0,0). Результаты подгонки функцией Фойгта: ν0 = 6597.667 см–1, wGauss = 0,0162 см–1, wLoretz = 0.0007 см–1 (фиксирована), A = 0.0187 см–1. Слабая линия на 6597.7 см–1 принадлежит горячей полосе C2HD
При аппроксимации использовался фиксированный вклад столкновительного уширения, равный 0.0007 см–1 при давлении 3 Торр и 0.0014 см–1 при давлении 6 Торр. Варьировались оставшиеся параметры – центр линии, Гауссова ширина и интенсивность. Поскольку измерения проделаны при низком давлении, форма контура была очень близка к Гауссовой функции. Использование функции Фойгта взамен Гауссовой позволило учесть поправку порядка 2–3% в интенсивности, возникающую из крыльев линии.
Интегральная интенсивность линии S (см) определили из полученного подгонкой параметра A (см–1) с помощью соотношения:
,
где n – концентрация молекул, L – длина оптического пути.
Частоты линий C2HD, которые были определены с использованием референсных линий ацетилена C2H2, совпали с данными в работе [15]. Результаты представлены в таблице 1.
Таблица 1. Результаты вычислений интегральных интенсивностей
P-ветвь | R-ветвь | R-ветвь (продолжение) | ||||||
Полоса (2,0,0,0,0) | Полоса (1,0,1,0,1) | Полоса (2,0,0,0,0) | Полоса (1,0,1,0,1) | Полоса (2,0,0,0,0) | Полоса (1,0,1,0,1) | |||
S ×1021 см | S ×1021 см | S ×1021 см | S ×1022 см | S ×1021 см | S ×1022 см | |||
P3 | 2.51 | – | R1 | 1.10 | – | R19 | 1.04 | – |
P4 | 2.66 | 0.112 | R2 | 1.66 | 0.535 | R20 | 0.916 | – |
P5 | 3.15 | 0.218 | R3 | 2.05 | 1.03 | R21 | – | – |
P6 | 3.44 | 0.346 | R4 | 2.49 | 2.20 | R22 | – | 6.54 |
P7 | 3.66 | 0.469 | R5 | 2.79 | 2.98 | R23 | – | 5.02 |
P8 | 3.82 | 0.547 | R6 | 2.86 | 4.16 | R24 | 0.428 | 4.05 |
P9 | 3.74 | 0.714 | R7 | 2.86 | 5.42 | R25 | 0.335 | 3.56 |
P10 | 3.70 | 0.837 | R8 | 2.93 | 6.40 | R26 | 0.268 | 3.03 |
P11 | 3.51 | 0.936 | R9 | 3.13 | 8.25 | R27 | 0.196 | 2.41 |
P12 | 3.38 | 1.13 | R10 | 2.94 | 10.10 | R28 | 0.143 | 1.90 |
P13 | 3.01 | 1.11 | R11 | 2.71 | 9.66 | R29 | 0.111 | 1.51 |
P14 | 2.70 | 1.13 | R12 | 2.70 | 10.20 | R30 | 0.0796 | 1.19 |
P15 | 2.46 | 1.15 | R13 | 2.41 | 10.40 | R31 | 0.0672 | 0.93 |
P16 | 2.27 | 1.18 | R14 | 1.97 | 10.30 | R32 | 0.0388 | 0.741 |
P17 | 1.90 | 1.14 | R15 | 1.90 | 10.40 | R33 | 0.0294 | 0.592 |
R16 | 1.69 | 9.81 | R34 | 0.0269 | – | |||
R17 | 1.53 | 9.00 | R35 | 0.0114 | – | |||
R18 | 1.31 | 8.73 | R36 | 0.0114 | – | |||
Обозначения: S – интегральная интенсивность.
Стоит отметить, что распределение интенсивностей по вращательным линиям в полосе первого обертона (2,0,0,0,0) имеет стандартный вид, в то время как распределение интенсивностей в полосе составного тона (1,0,1,0,1) сильно отличается от обычного представления. При J < 10 интенсивности линий составного тона быстро убывают как в P-, так и R-ветвях, а при J < 3 линии практически исчезают.
Качественное объяснение этого явления следующее. Вращательные состояния для колебаний (2,0,0,0,0) и (1,0,1,0,1) смешиваются внутримолекулярным взаимодействием, интенсивность вращательных линий обертона (2,0,0,0,0) перекачивается в спектр составного тона (1,0,1,0,1), аналогично тому, как это происходит в случае резонанса Ферми. В результате, интенсивность составного тона при J > 10 становится сравнимой с интенсивностью обертона. В отличие от резонанса Ферми, в представленном случае внутримолекулярное взаимодействие имеет зависимость от J. Состояния (2,0,0,0,0) и (1,0,1,0,1) имеют разную симметрию, их связывает кориолисово взаимодействие. При малых J кориолисово взаимодействие становится малым, соответственно перекачка интенсивности от обертона составному тону прекращается.
Отношение интенсивностей отдельных линий составного тона (1,0,1,0,1) и обертона (2,0,0,0,0) несет прямую информацию о характере внутримолекулярного взаимодействия. Действительно, для каждого вращательного числа J
,
где коэффициенты aJ и bJ описывают вклад состояний (2,0,0,0,0) и (1,0,1,0,1) в смешанное состояние. Если считать, что дипольный момент перехода для смешанного тона (1,0,1,0,1) намного меньше дипольного момента обертона (2,0,0,0,0), то отношение приведенных на рис. 5 интенсивностей пропорционально (bJ/aJ)2. Например, для J ≈ 25, когда это отношение становится равным 1, смешанное состояние имеет одинаковые вклады Ψ1,J и Ψ2,J. Можно полагать, что и в P-ветви при J ≈ 25 интенсивности линий обеих полос должны сравняться друг с другом.
Рис. 5. Зависимости интенсивностей от J в P- и R-ветвях
Работа была выполнена при спонсировании РНФ, номер гранта 19-73-20060.
1 Иркутская обл., пос. Чара, 3–7 июля 2023 года.
Sobre autores
Д. Пластинина
Институт химической кинетики и горения; Новосибирский государственный университет
Autor responsável pela correspondência
Email: d.plastinina@g.nsu.ru
Rússia, Новосибирск; Новосибирск
А. Липская
Институт химической кинетики и горения; Новосибирский государственный технический университет
Email: d.plastinina@g.nsu.ru
Rússia, Новосибирск; Новосибирск
Е. Чесноков
Институт химической кинетики и горения
Email: d.plastinina@g.nsu.ru
Rússia, Новосибирск
Bibliografia
- Nakagawa K., De Labachelerie M., Awaji Y., Kourogi M. // J. Opt. Soc. Am. 1987. V. 13. № 12. P. 2708.
- Edwards C.S., Barwood G.P., Margolis H.S. et al. // J. Mol. Spectrosc. 2005. V. 234. P. 143.
- Cazzoli G., Puzzarini C., Fusina L., Tamassia F. // Ibid. 2008. V. 247. P. 115.
- Lie´vin J, Abbouti Temsamani M., Gaspard P., Herman M. // Chem. Phys. 1995. V. 190. P. 419.
- Abbouti Temsamani M., Herman M. // Chem. Phys. Lett. 1996. V. 260. P. 253.
- Abbouti Temsamani M., Herman M. // Chem. Phys. Lett. Erratum. 1997. V. 264. P. 556.
- Herman M., Depiesse C., Di Lonardo G., Fayt A. et al. // J. Mol. Spectrosc. 2004. V. 228. P. 499.
- Fusina L., Tamassia F., Di Lonardo G. // Mol. Phys. 2005. V. 103. P. 2613.
- Eggers D.F., Hisatsune Jr. I. C., Van Alten L. // J. Phys. Chem. 1955. V. 59. № 11. PP. 1124.
- Kim K., King W.T. // J. Mol. Struct. 1979. V. 57. P. 201.
- Coustenis A., Jennings D.J., Jolly A. et al. // Astrophys. J. 2008. V. 197. PP. 539.
- Jolly A., Benilan Y., Cane E. et al. // J. Quant. Spectrosc. Radiat. Transf. 2008. V. 109. P. 2846.
- Lievin J., Abbouti Temsamani M., Gaspard P., Herman M. // Chem. Phys. 1995. V. 190. P. 419.
- Shengshi Optical (8–10mw 1653.5nm Butterfly Laser Diode for Gas Detection) URL: http://laserdiodedevice.com/1–3-butterfly-pigtail-laser-modules.html
- Hardwick J.L., Martin Z.T., Schoene E.A. et al. // J. Mol. Spectrosc. 2006. V. 239. P. 208.
Arquivos suplementares







