Исследование процесса комплексообразования иона Cu2+ c L-аминопропионовой кислотой в водном растворе
- Autores: Эшова Г.Б.1, Давлатшоева Д.А.1, Мираминзода Ф.1, Рахимова М.1
-
Afiliações:
- Таджикский национальный университет
- Edição: Volume 98, Nº 4 (2024)
- Páginas: 42-48
- Seção: PHYSICAL CHEMISTRY OF SOLUTIONS
- ##submission.dateSubmitted##: 10.11.2024
- ##submission.dateAccepted##: 10.11.2024
- ##submission.datePublished##: 10.11.2024
- URL: https://bakhtiniada.ru/0044-4537/article/view/269385
- DOI: https://doi.org/10.31857/S0044453724040055
- EDN: https://elibrary.ru/QFGMNZ
- ID: 269385
Citar
Texto integral
Resumo
Исследован процесс комплексообразования в гетерогенной системе Cu(Hg)-Cu(II)-L-Ala-Н2О классическим методом окислительного потенциала Кларка–Никольского при температуре 298.15 К при ионной силе раствора 1.0 моль/л. Установлено, что в этой системе образуются следующие координационные соединения: [Cu(H2O)4]2+; [CuHL(H2O)3]2+; [Cu(HL)(OH)(H2O)2]+; [Cu(OH)2(H2O)2]0; [Cu(HL)(L)(H2O)2]+. Процесс комплексообразования протекает в достаточно широком интервале от рН 1.0 до 8.8. Методом последовательного приближения (итерации) окислительной функции рассчитаны константы образования комплексов, определены области их доминирования, максимальные степени накопления, построены диаграммы их распределения от рН.
Palavras-chave
Texto integral
ВВЕДЕНИЕ
В последнее время успешно развивается биокоординационная химия, которая изучает взаимодействие между биологически активными «металлами жизни» и активными лигандами, например аминокислотами и пептидами. Аминокислоты широко используются как пищевые добавки, компоненты кормов для животных, лекарственные средства.
Наибольшее биологическое значение имеют a-аминокислоты. Они представляют собой структурные элементы многих природных соединений, главным образом белков. L-аланин представляет собой заменимую аминокислоту, играет большую роль в обмене азотистых соединений, участвует в стабилизации структуры за счет гидрофобных взаимодействий, формировании L-спирали. Соединения аминокислот с металлами представляют интерес с точки зрения их возможного биологического значения и применения в медицинских целях. Значения характеризующие кислотные свойства карбоксильной группы аланина – рKа1 = 2.34; характеризующие кислотность аминогруппы – рKа2 = 9.60, изоэлектрическая точка (рН) – 6.11 [1, 2].
Медь имеет весьма богатую координационную химию. Синтезированные комплексы меди известны в степенях окисления от 0 до +4. Медь – важная составная часть металлопротеидов, регулирующих окислительно-восстановительные реакции клеточного дыхания. Показано, что комплексные соединения меди с аминокислотами обладают значительно большей биологической доступностью, чем неорганические соли меди [3, 4].
В настоящей работе процессы комплексообразования в системе Cu(Hg)-Cu(II)-L-Ala-Н2О изучены методом оксредметрии при температуре 298.15 К и ионной силе раствора 1.0 моль/л (NaNO3).
Этот метод является высокочувствительным, недорогим и простым в выполнении эксперимента. Поэтому с его использованием изучены процессы комплексообразования переходных металлов в водных растворах карбоновых кислот и аминокислот при различных концентрационных параметрах [5, 6].
ЭКСПЕРИМЕНТАЛЬНАЯ ЧАСТЬ
В работе были использованы следующие реактивы: Cu(NO3)2 марки «х.ч.», NaNO3 марки «ч.д.а.», НNO3 готовился из фиксанала. Аланин марки «ч.д.а.» применялся без дополнительной очистки. Концентрация гидроксида натрия определялась методом прямого титрования 0.1 М раствором соляной кислоты в присутствии индикатора фенолфталеина [7].
Рабочий медный электрод был приготовлен из меди марки «ос.ч.». Концентрацию раствора нитрата меди(II) устанавливали йодометрическим методом [8].
Для проведения оксредметрических измерений были использованы гальванические элементы, составленные сочетанием трех электродов:
1) медный амальгамированный – электрод первого рода и насыщенный хлорсеребряный – электрод второго рода для измерения ЭДС-цепи;
2) насыщенный хлорсеребряный – стеклянный для измерения рН среды.
Постоянство ионной силы достигалась добавлением рассчитанных количеств нитрата натрия и гидроксида натрия.
Первый раствор готовился следующим образом: добавлялись в 25 мл колбы определенные количества растворов L-аланина, нитрата меди(II), нитрата натрия и до метки водой. Таким же способом готовился второй рабочий раствор, отличающийся от первого тем, что в данном растворе добавлялось рассчитанное количество нитрата натрия и гидроксида натрия, т.е. по значению рН согласно формуле:
. (1)
Ионная сила рассчитывалась согласно уравнению (1). Затем, титруя первый раствор, вторым измерялись значения Е гальванического элемента. Равновесным значением Е считалось то, которое не изменялось в течение 2–3 минут.
Для амальгамирования поверхность медного электрода шлифовалась тонкой наждачной бумагой, промывалась дистиллированной водой. Подготовленная таким образом поверхность медного электрода амальгамировалась погружением его на некоторое время в чистую ртуть, находящуюся в сосуде. Оставшиеся на медной пластинке капли ртути растирали фильтровальной бумагой до тех пор, пока амальгама меди не покрывала равномерно всю поверхность. Ртуть, применяемая для амальгамирования, периодически очищалась методом фильтрации и декантации 0.5 %-ной азотной кислотой и водой.
Калибровка медного электрода с целью проверки его подчинения уравнению Нернста заключается в измерении ЭДС первого гальванического элемента в серии растворов, содержащих нитрат меди(II) различной концентрации.
ОБСУЖДЕНИЕ РЕЗУЛЬТАТОВ
Реакцию комплексообразования меди (II) со всеми формами аланина с учетом гидролиза можно представить уравнением:
(2)
где q – ядерность комплексов меди(II), l – число лигандов (L–), k – число координированных ОН–-групп, j – число координированных молекул воды, s – число протонов в комплексе.
С учетом уравнения (2) и выражения констант равновесия уравнение электродвижущей силы для гальванического элемента имеет вид [9]:
, (3)
где Coх – концентрация восстановленной формы, q – число атомов окисленной формы, s – число водородных ионов, l – число атомов лиганда, k – число гидроксильных групп, H – обозначение атома водорода, L – обозначение лиганда, n – ступени ионизации лиганда, Gqslk – равновесная концентрация координационного соединения; βqslk – константа образования этих соединений; h – активность ионов водорода, ν = 2.303RT/F (25 °C, ν = 59 мВ).
В соответствии с методикой экспериментов [10, 11] вначале были получены зависимости ЭДС (Е, мВ) системы от рН (рис. 1).
Рис. 1. Зависимости ЭДС (Е, мВ) системы Cu(Hg)-Cu(II)-L-Ala-Н2О от рН при температуре 298.15 К и ионной силе раствора 1.0; СCu2+= 0.001, СL = 0.01 моль/л
Частная производная зависимости ЭДС–рН будет иметь вид:
. (4)
Согласно теории метода оксредметрии [11], последовательное формирование линейных участков с тангенсами углов наклона, равными 0, –ν/2, –ν, –ν/2, свидетельствует о ступенчатом комплексообразовании Cu(II). Зависимость ЭДС (Е, мВ) системы от рН показала, что процесс комплексообразования протекает ступенчато в очень широком интервале рН – от 1.0 до 8.8.
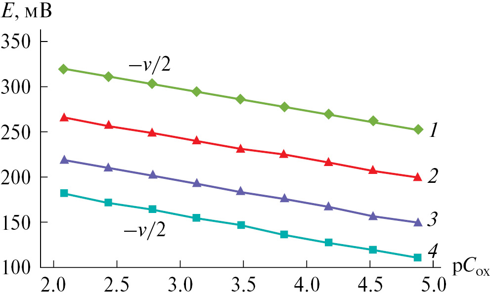
Ядерность (q) образующегося координационного соединения устанавливалась из анализа экспериментальной зависимости ЭДС (Е, мВ) гальванического элемента от показателя концентрации ионов Cu+2 (pCox = –lgCCu+2), которая представлена на рис. 2.
Рис. 2. Зависимости ЭДС (Е, мВ) от рСох для системы Cu(Hg)-Cu(II)-L-Ala-Н2О при температуре 298.15 К и ионной силе раствора 1.0; СCu2+ = 0.001; СL = 0.01 моль/л. Кривые относятся к рН: 1.60 (1), 3.50 (2), 5.50 (3), 8.40 (4)
Угловой коэффициент данных линейных зависимостей равен –ν/2. Согласно теории оксредметрии и уравнения частной производной
, (5)
q = 1, следовательно, можно сделать вывод об образовании при всех значениях рН исследуемых растворов одноядерных комплексов Cu(II).
Анализ частных производных зависимости ЭДС (Е, мВ) гальванического элемента от показателя концентрации аланина рСL (рСL= –lgСL):
(6)
позволил установить число протонированных лигандов (sl), входящих в состав комплексов Cu(II). На экспериментальных кривых зависимости Е–рСL, которые представлены на рис. 3, формируется линейный участок с тангенсом угла наклона 0. Это свидетельствует об отсутствии комплексообразования с аланином в данных концентрационных условиях.
Рис. 3. Зависимости ЭДС (Е, мВ) от рСL для системы Cu(Hg)-Cu(II)-L-Ala-Н2О при температуре 298.15 К и ионной силе раствора 1.0. Кривые относятся к рН: 1.8 (1), 3.5 (2), 6.0 (3), 8.5 (4)
При увеличении концентрации аланина на данных зависимостях можно выделить линейные участки с угловыми коэффициентами +ν/2 и +ν. В соответствии с уравнением (6) при четко установленном значении q рассчитываются численные значения sl. Установлено, что в интервале рН 1.8÷6.0 sl = 1, а при рН 8.5 sl = 2. Следовательно, можно сделать вывод о вхождении во внутреннюю координационную сферу комплекса одного и двух лигандов.
Численные значения тангенсов угла наклона экспериментальных кривых зависимостей ЭДС системы от концентрационных параметров составили основу стехиометрической матрицы (математической модели) имеющихся в растворе равновесий (табл. 1, рис. 1–3, формулы (4)–(6)).
Таблица 1. Стехиометрическая матрица равновесий системы Cu(Hg)-Cu(II)-L-Ala-Н2О для комплексов Cu(II) при температуре 298.15 К и ионной силе раствора 1.0; СCu2+= 0.001, СL= 0.01 моль/л
Наклон зависимости ЭДС от концентрационных параметров | Состав комплексов | ||
рH | рСох | pСL | |
0 | – | – | [Cu(H2O)4]2+ |
–v/2 | –v/2 | v/2 | [CuHL(H2O)3]2+ |
–v | –v/2 | v | [Cu(HL)(OH)(H2O)2]+ |
–v/2 | –v/2 | – | [Cu(OH)2(H2O)2]0 |
–v | –v/2 | v | [Cu(HL)(L)(H2O)2]+ |
Полный анализ данных стехиометрической матрицы и установленных составов соединений показал формирование в изученной системе координационных соединений комплексов Cu(II).
Далее по данным стехиометрической матрицы составляется химическая модель равновесий системы c численными значениями ядерности комплексных соединений металла, числом протонов в них, количеством координированных лигандов, гидроксильных групп – q, s, l и k соответственно (табл. 2). Химические модели могут быть использованы для составления компьютерных программ и расчета ионных равновесий.
Таблица 2. Химическая модель реакций образования координационных соединений в системе Cu(Hg)-Cu(II)-L-Ala-Н2О при температуре 298.15 К и ионной силе раствора 1.0; СCu2+ = 0.001; СL = 0.01 моль/л
Cu 2+ | H+ | L– | ОН– | Состав комплексов | bqslk | Фрагменты уравнений окислительного потенциала системы |
q | s | l | k | |||
1 | 1 | 1 | 0 | [CuHL(H2O)3]2+ | b1110 | νlg(h3+b1110K1Ca1h2) |
1 | 1 | 1 | 1 | [Cu(HL)(OH)(H2O)2]+ | b1111 | νlg(h3+b1111K1Ca1h2) |
1 | 0 | 0 | 2 | [Cu(OH)2(H2O)2]0 | b1002 | νlg(h3+b1002K12Ca12h) |
1 | 1 | 2 | 0 | [Cu(HL)(L)(H2O)2]+ | b1120 | νlg(h3+b1120K1Ca1h) |
Для вычисления значения констант устойчивости координационных соединений в исследуемой системе, а также определения интервалов рН их существования и подтверждения составов частиц использовался метод минимизации отклонений экспериментальных значений ЭДС от рассчитываемых. При этом bqslk служили параметрами.
Для этой цели вначале рассчитывали экспериментальное значение окислительной функции по данным зависимости ЭДС от рН раствора по уравнению:
. (7)
Окислительная функция представляет собой сумму концентрации всех комплексных соединений, которые образуются в системе Cu(Hg)-Cu(II)-L-Ala-Н2О. Затем рассчитывали теоретическое значение окислительной функции с учетом всех возможных составов координационных соединений.
Исходя из предложенных составов координационных соединений, выражение для имеет вид:
. (8)
Численные значения окислительных функций представлены в табл. 3.
Таблица 3. Значения ЭДС, экспериментальной (), теоретической () окислительной функций, их логарифмов в зависимости от рН для системы Cu(Hg)-Cu(II)-L-Ala-Н2О при температуре 298.15 К, ионной силе раствора 1.0; СCu2+ = 0.001; СL = 0.01 моль/л. Значение кажущейся стандартной ЭДС (Е0) – 320 мВ
рН | E, мВ | lg | lg | ||
1.0 | 320 | 1000 | 9.61E+02 | 3.0 | 3.0 |
1.4 | 320 | 731.82 | 9.29E+02 | 2.9 | 3.0 |
1.8 | 320 | 626.05 | 8.67E+02 | 2.8 | 2.9 |
2.0 | 320 | 535.57 | 7.55E+02 | 2.7 | 2.9 |
2.4 | 300 | 423.76 | 5.82E+02 | 2.6 | 2.8 |
2.8 | 272 | 286.83 | 3.78E+02 | 2.5 | 2.6 |
3.2 | 240 | 131.41 | 2.04E+02 | 2.1 | 2.3 |
3.6 | 172 | 70.38 | 9.62E+01 | 1.8 | 2.0 |
4.0 | 106 | 20.19 | 4.17E+01 | 1.3 | 1.6 |
4.4 | 40 | 10.81 | 1.73E+01 | 1.0 | 1.2 |
4.8 | 0 | 7.32 | 7.03E+00 | 0.9 | 0.8 |
5.2 | –46 | 5.35 | 2.83E+00 | 0.7 | 0.5 |
5.6 | –92 | 2.27 | 1.13E+00 | 0.4 | 0.1 |
6.0 | –118 | 0.89 | 4.52E-01 | –0.1 | –0.3 |
6.4 | –144 | 0.35 | 1.80E-01 | –0.5 | –0.7 |
6.8 | –160 | 0.13 | 7.17E-02 | –0.9 | –1.1 |
7.2 | –180 | 0.054 | 2.85E-02 | –1.3 | –1.5 |
7.6 | –200 | 0.0096 | 1.13E-02 | –2.0 | –1.9 |
8.0 | –228 | 0.0044 | 4.46E-03 | –2.4 | –2.4 |
8.4 | –260 | 0.0028 | 1.75E-03 | –2.6 | –2.8 |
8.8 | –340 | 0.0008 | 6.86E-04 | –3.1 | –3.2 |
Зависимости логарифма теоретической и экспериментальной окислительной функции от рН (рис. 4) кривых 1 и 2, совпадение которых свидетельствует о достоверности результатов, т.е. они идентичны.
Рис. 4. Зависимости логарифмических значений экспериментальной – (1) и теоретической – (2) окислительной функций от рН для системы Cu(Hg)-Cu(II)-L-Ala-Н2О при температуре 298.15 К, ионной силе раствора 1.0; СCu2+ = 0.001; СL = 0.01 моль/л
При максимальном приближении кривых зависимости и от рН находятся значения констант образования, которые представлены в таблице модельных параметров (табл. 4). Все расчеты проводились на компьютере по программе Excel [12].
Таблица 4. Модельные параметры координационных соединений системы Cu(Hg)-Cu(II)-L-Ala-Н2О при температуре 298.15 К, ионной силе раствора 1.0; СCu2+ = 0.001; СL = 0.01 моль/л
ΔрН | Состав комплексов | lgβqslк | α, % | pH |
1.0–3.2 | [CuHL(H2O)3]2+ | 2.30±0.02 | 9.96 | 2.0 |
1.4–7.6 | [Cu(HL)(OH)(H2O)2]+ | 0.59±0.01 | 37.3 | 3.2 |
1.4–8.0 | [Cu(OH)2(H2O)2]0 | –4.06±0.08 | 61.7 | 3.6 |
4.4–8.8 | [Cu(HL)(L)(H2O)2]+ | 8.95±0.08 | 99.7 | 8.8 |
Обозначения: ΔрН – область существования комплексов по шкале рН, lgβqslк – логарифм константы образования комплексов, α – максимальная степень накопления.
Вычисления заканчиваются определением конечного варианта мольных долей (степеней накопления) комплексных форм и построением кривой их распределения (рис. 5).
Рис. 5. Зависимости степени накопления комплексов Cu(II) от рН для системы Cu(Hg)-Cu(II)-L-Ala-Н2О при температуре 298.15 К, ионной силе раствора 1.0; СCu2+ = 0.001; СL = 0.01 моль/л; 1 – [Cu(H2O)4]2+, 2 – [CuHL(H2O)3]2+, 3 – [Cu(HL)(OH)(H2O)2]+, 4 – [Cu(OH)2(H2O)2]0, 5 – [Cu(HL)(L)(H2O)2]+
Мольные доли комплексных частиц в растворах с участием ионов окисленной формы металла вычисляются с помощью уравнения:
. (9)
Из полученных расчетных данных и диаграммы распределения видно, что в сильнокислой области рН образуется комплекс состава [CuHL(H2O)3]2+ с константой образования 2.30±0.02, затем формируется смешаннолигандный гидроксокомплекс состава [Cu(HL)(OH)(H2O)2]+. Процесс гидролиза перебивает комплексообразование с НL, поэтому доля гидроксокомплекса получается больше, чем с чистым ионом аланина, хотя константа образования моноядерного комплекса больше, чем гидрокомплекса.
Таким образом, методом окислительного потенциала Кларка–Никольского изучены процессы образования координационных соединений Cu(II) в системе Cu(Hg)-Cu(II)-L-Ala-Н2О при температуре 298.15 К, ионной силе раствора 1.0 моль/л. Показано, что процесс образования комплексных соединений происходит ступенчато, в широком интервале рН от 1.0 до 8.8. Формирование в системе комплексов состава: [Cu(H2O)4]2+; [CuHL(H2O)3]2+; [Cu(HL)(OH)(H2O)2]+; [Cu(OH)2(H2O)2]0; [Cu(HL)(L)(H2O)2]+. Составлены химические модели ионных равновесий, стехиометрическая матрица изученной системы и модельные параметры указанных комплексных соединений.
КОНФЛИКТ ИНТЕРЕСОВ
Авторы заявляют об отсутствии конфликта интересов, требующего раскрытия в данной статье.
Работа выполнена в рамках проекта Научно-исследовательского института Таджикского национального университета.
Sobre autores
Г. Эшова
Таджикский национальный университет
Autor responsável pela correspondência
Email: eshova81@mail.ru
Tajiquistão, Душанбе
Д. Давлатшоева
Таджикский национальный университет
Email: eshova81@mail.ru
Tajiquistão, Душанбе
Ф. Мираминзода
Таджикский национальный университет
Email: eshova81@mail.ru
Tajiquistão, Душанбе
М. Рахимова
Таджикский национальный университет
Email: eshova81@mail.ru
Rússia, Душанбе
Bibliografia
- Сыровая А.О., Шаповал Л.Г., Макаров В.А. и др. Аминокислоты глазами химиков, фармацевтов, биологов: в 2-х т. Том. 1. Х.: Щедра садиба плюс, 2014. C. 12–19.
- Якубке Х.Д. Аминокислоты. Пептиды. Белки. М.: Мир, 1985. 456 с.
- Подчайнова В.Н., Симонова Л.Н. Медь. М.: Наука, 1990. 979 с.
- Кабиров Г.Ф., Кадыров Р.Г., Гильметдинов Б.М. Химия и биогенные свойства 3d-элементов (Mn-Zn) и их комплексонатов. Казань: Казан. гос. энерг. ун-т, 2006. 112 с.
- Davlatshoeva J.A., Eshova G.B., Rahimova M.M. et al. // American J. of Chemistry. 2017. 7(2). Р. 58. doi: 10.5923/j.chemistry.20170702.03.
- Эшова Г.Б., Давлатшоева Д.А., Рахимова М. и др. // Журн. неорган. химии. 2018. Т. 63. № 4. С. 525. doi: 10.7868/S0044457X18040207.
- Шарло Г. Методы аналитической химии. Количественный анализ неорганических соединений / Пер. с франц. Лурье Ю.Ю. М.: Химия, 1965. 930 с.
- Крешков А.П. Основы аналитической химии. Теоретические основы. Количественный анализ: Книга вторая. Изд. 4-е, перераб. М.: Химия, 1976. 480 с.
- Ёрмамадова С.Г. Термодинамическая характеристика реакций комплексообразования в системе Fe(III) – Fe(II) – дибазол – вода: дис. … канд. хим. наук: 02.00.04. Душанбе, 2006. 189 с.
- Clark W.M. Oxidation-Reduktion Potentials of Organic Systems. Baltimore, The Williams and Wilkins Company. 1960. 584 p.
- Никольский Б.П. Оксредметрия. Л.: Химия, 1975. 304 с.
- Уокенбах Д. Формулы в Excel 2013. М.: Диалектика, 2019. 720 с.
Arquivos suplementares







