Адсорбция Cd (II) и Cr (VI) комплексным гуминовым сорбентом: кинетическая и окислительно-восстановительная характеристика процесса
- Авторлар: Линкевич Е.В.1, Прокопюк В.М.1
-
Мекемелер:
- Отдел комплексных научных исследований Карельского научного центра РАН
- Шығарылым: Том 98, № 2 (2024)
- Беттер: 155-165
- Бөлім: PHYSICAL CHEMISTRY OF DISPERSED SYSTEMS AND SURFACE PHENOMENA
- ##submission.dateSubmitted##: 22.09.2024
- ##submission.dateAccepted##: 22.09.2024
- ##submission.datePublished##: 23.09.2024
- URL: https://bakhtiniada.ru/0044-4537/article/view/264426
- DOI: https://doi.org/10.31857/S0044453724020152
- EDN: https://elibrary.ru/RCIDBD
- ID: 264426
Дәйексөз келтіру
Толық мәтін
Аннотация
Изучена предельная насыщаемость гуминовых кислот ионами Fe(III) в процессе получения комплексного гуминового сорбента. Комплексный сорбент ГКмодFe сохраняет 16.5 ммоль/г функциональных групп гуминовых кислот от общего количества групп 25 ммоль/г, которые способны участвовать в обменных реакциях с ионами металлов. Предельная адсорбция Cd(II) сорбентом наблюдается через 5 ч контакта «сорбат – сорбент» и составляет 76±2 мг/г. Увеличение времени контакта до 24 ч приводит к десорбции Cd(II) и снижению сорбционной обменной емкости сорбента до 55±2 мг/г. Предельная адсорбция Cr(VI) наступает через 250 ч контакта «сорбат – сорбент». Присутствие Cd(II) в растворе не влияет на сорбцию Cr(VI) комплексным сорбентом, которая соответствует 61±1 мг/г. Скорость адсорбции рассматриваемых ионов металлов описывается уравнением псевдопервого порядка и сопровождается смешанными диффузионными процессами. Окислительно-восстановительный потенциал системы сорбент+Cr(VI) снижается на 77 мВ и на 38 мВ – в системе сорбент+Cr(VI)+Cd (II) за время контакта 250 ч.
Негізгі сөздер
Толық мәтін
ВВЕДЕНИЕ
Гуминовые вещества являются природными органическими образованиями, участвующими в регуляции потоков загрязняющих ионов, антропогенных биоцидов и других соединений, попадающих и накапливающихся в окружающей среде [1, 2]. Растворимые и нерастворимые в воде фракции гуминовых веществ формируют особые структуры с минеральными частицами в результате физико-химических процессов. Высокое разнообразие минеральных компонентов в различных водоемах, почвах, торфах, углях создает условия существования специфических взаимодействий в системе гуминовое вещество – твердая минеральная фаза.
Fe- и Al-содержащие породы вступают во взаимодействие с органическим веществом, источником которого являются почва, торф, уголь, сапропель и др. В зависимости от степени зрелости и преобразованности гуминовые кислоты участвуют в формировании комплексной частицы и «захватывают» растворенные формы металла, образуя устойчивые агрегаты.
Общий отрицательный заряд частиц-мицелл объясняет свойства гуминовых кислот связывать катионы металлов и регулировать их перемещение [3–12]. Адсорбционные емкости других сорбентов природного происхождения незначительно различаются между собой (лигнин – 25.4 мг/г, активированный уголь – 27.3 мг/г, ГК-Fe3O4 – 18.3 мг/г) [6, 13, 14]. Сорбция катионов тяжелых металлов гуминовыми кислотами стала основой поисковых работ получения высокосорбционных композитов на основе минеральных или углеродных частиц [15–17]. Продолжительность оценки связывающих свойств гуминовых сорбентов в большинстве случаев не превышает 48 ч, что является недостаточным для определения механизма взаимодействия с сорбатом. Также адсорбция ионов металлов гуминовыми кислотами или их модифицированными продуктами ярко зависит от рН [2].
Изучение сорбции анионов металлов Cr(VI) гуминовыми кислотами представляет значительный интерес из-за их одинаковых зарядов [18–19]. Например, нанесение гуминовых кислот на магнитные пористые углеродные поверхности является одним из технологических способов удаления Cr(VI) из загрязненных вод [20]. Обычно принимается, что сорбция анионов происходит только после окислительно-восстановительного превращения в катион данного металла. Сами гуминовые кислоты слабо сорбируют анионы и являются промежуточным компонентом в механизме удаления Cr(VI) [16, 21–24].
Роль гуминовых кислот в комплексной системе минеральная частица – гуминовые кислоты – ионы тяжелых металлов считается вторичной. Принято считать, что минеральные частицы выполняют основную функцию сорбировать ионы металлов. Гуминовые кислоты могут увеличивать растворимость минеральных частиц в водной среде и улучшать сорбционные свойства минерального компонента [15, 25]. Такой подход ограничивает значимость природных гуминовых веществ в детоксикации накапливающихся биоцидов в окружающей среде.
Актуальность данной работы заключается в получении новых данных об особенностях взаимодействия комплексного сорбента на основе модифицированных гуминовых кислот и Fe(III) с растворами ионов металлов индивидуальных и смешанных систем. Полученный комплексный сорбент позволит оценить взаимное влияние его компонентов на сорбцию катионов и анионов металлов, что играет важную роль в оценке природных геохимических барьеров для восстановления загрязненных территорий в окружающей среде. Поэтому цель данной работы – оценить кинетические и окислительно-восстановительные характеристики сорбционной способности гуминового комплекса, образованного из модифицированных гуминовых кислот и Fe(III).
ЭКСПЕРИМЕНТАЛЬНАЯ ЧАСТЬ
Гуминовые кислоты (ГКмод) выделяли из модифицированного окисленного бурого угля. В ранних работах авторами подробно изучались структурно-групповой состав и физико-химические свойства гуминовых кислот [26–28].
Элементный состав гуминовых кислот определяли на элементном анализаторе CHNS Flash2000.
Сорбционная обменная емкость гуминовых кислот представляет собой совокупность ионизированных функциональных групп (-СООН, -ArОН), количество которых определяли методом потенциометрического титрования при постоянной ионной силе 2.5 М КCl. Расчет количества групп выполняли по формуле:
, (1)
где Е – количество функциональных групп, ммоль/г; С – концентрация НСl, н; V0 – объем раствора НСl, пошедшего на титрование раствора КOH, мл; V1 – объем раствора НСl, пошедший на титрование раствора ГК, мл; m – навеска ГК, г [29].
Поверхность гуминовых кислот изучали методом сканирующей электронной микроскопии на приборе Bruker AXS Microanalysis GmbH (Germany). Дисперсионный анализ поверхности образца проводили по методике, представленной в работе [30].
Введем допущение, что поры имеют сферическую форму. Тогда:
, (2)
где Si – общая площадь пор i-фракции, d – средний диаметр пор i-фракции, ni – число частиц данной фракции. Процентное содержание поверхности частиц i-фракции по отношению к их общей поверхности (ΔQsi):
. (3)
Общий объем сферических пор i-фракции (Vi) рассчитывают по формуле:
. (4)
Процентное содержание объема частиц данной фракции по отношению к общему объему (ΔQwi):
. (5)
Получение комплексного гуминового сорбента ГКмодFe
Навеска ГКмодFe 0.022, 0.023 0.025, 0.049, 0.100 г помещалась в мерный стакан объемом 50 мл и растворялась в 20 мл 0.1н КОН при автоматическом перемешивании. После полного растворения навески приливали 10 мл раствора KCl 2.5М. При дальнейшем перемешивании постепенно приливали свежеприготовленный раствор FeCl3 (С=0.03 М) до рН 3.8–4.0.
Взаимодействие ГКмод и ГКмодFe с ионами токсичных металлов
Адсорбционные свойства ГКмод и ГКмодFe изучали в растворах, содержащих ионы Cd(ІІ) и Cr(VІ). Навески солей CdCl2 (0.6069г/л), K2Cr2O7 (0.8480 г/л) растворяли в дистиллированной воде в мерных колбах объемом 250 мл. Свежеприготовленные сорбенты ГКмод и ГКмодFe многократно промывали деионизированной водой. Сорбенты аккуратно переносили в мерную колбу (50 мл), добавляли 10 мл раствора металла (индивидуальный раствор) или 20 мл суммарного объема обоих индивидуальных растворов (смешанный раствор), контролировали рН до 4.0 и доводили деионизированной водой до метки при постоянном взбалтывании. Максимальное время контакта составляло 256 ч. Через определенные интервалы времени измеряли окислительно-восстановительный потенциал каждого раствора в процессе сорбции (Eredox) и рН на иономере И-160МИ с платиновым и хлоридсеребряным электродами. Остаточное содержание Me(II/VI) и Fe(II) в растворе анализировали на атомно-эмиссионном спектрометре с индуктивно-связанной плазмой ThermoScintific iCAP 6500.
Расчет адсорбции проводили по формуле:
, (6)
где А – количество адсорбированного вещества, приходящее на единицу массы сорбента, мг/г; С0 – начальная концентрация иона в растворе, мг/л; С1 – равновесная концентрация иона в растворе, мг/л; m – масса адсорбента, г.
Константы скорости адсорбции псевдопервого и псевдовторого порядка рассчитывали графически по формулам [12, 31, 32]:
, (7)
где qe – количество сорбированного вещества на единицу массы сорбента в состоянии равновесия, мг/г, qt – количество сорбированного вещества на единицу массы сорбента в момент времени t, мг/г.
. (8)
Оценка внутричастичной диффузии проводилась согласно модели Вебера – Мориса:
, (9)
где ki – константа скорости внутричастичной диффузии.
Определение завершенности сорбционного процесса (F) рассчитывали по формуле:
. (10)
ОБСУЖДЕНИЕ РЕЗУЛЬТАТОВ
Гуминовые кислоты окисленного бурого угля являются высокопреобразованными органическими веществами. Поэтому они имеют высокое содержание углерода (57.1 % мас.) и низкое количество азота (1 мас. %). Механохимическое модифицирование окисленного угольного образца приводит к увеличению доли зольных элементов в ГКмод, снижению практически в 2 раза содержания азота и увеличению доли кислорода (табл. 1). Как показано в работе [27], гуминовые кислоты имеют преобладающее количество фенольных групп, которые диссоциируют при рН > 8. Карбоксильные группы при ароматическом кольце и на концах углеводородных цепочек находятся в диссоциированном состоянии практически во всем диапазоне рН. В зависимости от типа кислотного остатка фрагменты гуминовых кислот способны сохранять ионизированное состояние до рН 3. По результатам табл. 1 видно, что общее содержание количества функциональных групп в ГКмод возрастает, поэтому ГКмод являются более окисленными по сравнению с ГК, выделенными из исходного окисленного бурого угля. Введение Fe(III) в структуру ГКмод снижает долю свободных функциональных групп во всех диапазонах рН. Сорбционная обменная емкость ГКмод составила 25 ммоль/г. После взаимодействия с Fe(III) в соотношении 25мг ГКмод:19мг Fe(III) сорбционная обменная емкость комплексного сорбента снизилась в 1.6 раза, что указывает на частичную занятость активных центров гуминовых кислот (рис. 1). При этом 60% активных центров ГКмод в составе гуминового комплекса остаются свободными и способными участвовать в сорбции с ионами металлов. Содержание зольных элементов при этом увеличивается до 49 мас. %.
Таблица 1. Физико-химическая характеристика гуминовых кислот окисленного бурого угля
Объект | Ad, мас. % | Элементный состав, % | RAr-OH, ммоль/г, рН >8 | RAr-, Cn-COOH, ммоль/г, рН 6–8 | RAr-, Cn-COOH, ммоль/г, рН < 6 | |||
C | H | N | O | |||||
ГКисх. | 0.9 | 57.1 | 5.7 | 1.0 | 36.2 | 11.8±0.8 | 7.9±0.1 | 2.3±0.2 |
ГКмод | 11.7 | 54.5 | 5.0 | 0.5 | 40.0 | 13.3±0.6 | 8.1±0.4 | 3.6±0.2 |
ГКмодFe | 49.0 | 9.4±0.1 | 5.3±0.1 | 0.8±0.1 | ||||
Примечание. Указан доверительный интервал, m = 3, Р = 0.95.
Рис. 1. Фотографии поверхности гуминовых кислот при различном увеличении: а – вид пор гуминовых кислот, б – общая пористая поверхность гуминовых кислот
Капиллярно-пористая структура окисленного бурого угля проанализирована в работе [28]. Как было показано, механохимическая модификация с реагентами приводит к увеличению площади удельной поверхности угля и участию мезопор в адсорбционном процессе. Измерение сорбционных свойств угля на приборе «Sorbtometer M» позволило получить только приблизительные результаты по объему пор ввиду низкой разрешающей способности прибора. Поэтому анализ поверхности гуминовых кислот проводили методом сканирующей электронной микроскопии (SEM). Фотографии поверхности гуминовых кислот получены при различном увеличении (рис. 1). Как видно из приведенных рисунков, поверхность гуминовых кислот представляет собой пористую структуру.
На рис. 2 приведены результаты различного распределения пор гуминовых кислот (2)–(6). Кривая 1 показывает монодисперсный характер численного распределения размеров пор с преобладанием среднего диаметра 0.5–1.25 мкм. Однако распределение по площади поверхности и объему пор обнаруживает две доминирующих области: dmax = 0.9 и 1.7–1.9 мкм, что предполагает бимодальное распределение пор, способных участвовать в сорбционных процессах.
Рис. 2. Дифференциальные кривые численного (1), поверхностного (2) и объемного (3) распределения пор гуминовых кислот
Как известно, гуминовые кислоты связывают минеральные элементы в результате сорбционных процессов. Информация о предельном насыщении органического вещества и минерального элемента носит противоречивый характер. Мы экспериментально показали соотношение компонентов в системе органическое вещество-Fe(III) на примере получения комплексного сорбента ГКмодFe. Как видно из рис. 3, растворенные ГКмод ограниченно взаимодействуют с Fe(III). Гуминовые кислоты формируют комплекс, насыщенный Fe(III), при соотношении ГКмод:Fe1:1.18. При этом концентрационный диапазон гуминовых кислот, при котором наблюдается максимальное взаимодействие, составляет 0.75– 0.86 г/л. Дальнейшее увеличение концентрации гуминовых кислот увеличивает мицеллярные структуры ГК в растворе и снижает способность взаимодействовать с Fe(III) и его формами.
Рис. 3. Массовое соотношение Fe(III) и ГКмод в комплексном сорбенте
В табл. 2 проведены результаты предельной сорбционной емкости ГКмод и комплексного сорбента ГКмодFe при взаимодействии с Cd(II) и Cr(VI).
Таблица 2. Сорбционная емкость (А, мг/г) ионов металлов сорбентами ГКмод и ГКмодFe
Образец | А, мг/г | t, ч | |
Cd(II) | Cr(VI) | ||
ГКмодFe + Me(II/VI) | 76±2 | 16±1 | 5 |
ГКмод + Me(II/VI) | 35±1 | 18±1 | 250 |
ГКмодFe+ Me(II/VI) | 43±1 | 61±2 | |
ГКмодFe + Me(II)+Me(VI) | 55±2 | 61±1 | |
Примечание. Доверительный интервал, n=3, P=0.95.
Образец ГКмод связывает из раствора 35 мг Cd(II)/г за все время эксперимента. Аналогичные результаты были получены в работе [7]. Изотерма адсорбции Cd(II) из индивидуального раствора сорбентом ГКмодFe в течение 24 ч показана на рис. 4. Интенсивный процесс адсорбции Cd(II) из раствора достигает максимального значения в первые пять часов контакта с сорбентом и составляет 76 мг Cd(II)/г. Через 24 ч сорбционная емкость комплексного сорбента снижается до 55 мг Cd(II)/г. Подобный эффект был обнаружен некоторыми исследователями [13, 15]. Такое явление объясняется предельным заполнением центров на поверхности сорбента и дальнейшей десорбцией до достижения состояния равновесия.
Рис. 4. Кинетическая зависимость сорбции Cd(II) гуминовым комплексом ГКмодFe из индивидуального раствора
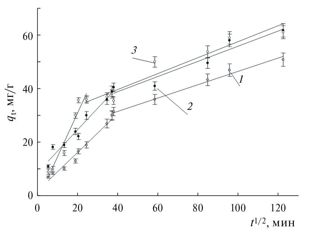
Сорбция Cr(VI) образцом ГКмод составляет 18 мг/г, что также является достоверной величиной [33, 19]. Комплексный сорбент ГКмодFe связывает ионы хрома в 3.4 раза эффективнее, чем исходный образец ГКмод. Сорбция Cd(II) комплексным сорбентом в присутствии Cr(VI) улучшается. При этом А(Сd(II)) составляет 55 мг/г через 250 ч контакта, и десорбция не обнаруживается (рис. 5).
Рис. 5. Кинетические зависимости сорбции комплексным сорбентом Cd (II) из смешанного раствора (1), Cr (VI) из смешанного раствора (2), Cr (VI) из индивидуального раствора (3)
Полученные кинетические зависимости сорбционных процессов комплексным сорбентом ГКмодFe демонстрируют сходный характер сорбции Cd(II) и Cr(VI) из смешанного раствора. Комплексный сорбент связывает Cr(VI) из индивидуального и смешанного растворов практически одинаково. Степень извлечения иона кадмия из смешанного раствора составляет 70.6%, ионов хрома из смешанного раствора – 93.0%, ионов хрома из индивидуального раствора – 92.5%. Следовательно, влияние ионов Cd(II) на сорбцию Cr(VI) из индивидуального и смешанного растворов не обнаружено. Результаты сорбции ионов во времени указывают на медленный массоперенос ионов в сорбционной системе.
Возможные пути взаимодействия ионов Cd(II) и Cr(VI) с комплексным сорбентом обычно принимаются такие, как ионный обмен, комплексообразование, электростатическое притяжение [32]. Скорость сорбционных процессов определяется лимитирующей стадией. Длительный процесс наступления равновесия указывает на специфический характер адсорбции.
В работах [32–34] авторы изучали диффузионные процессы за период эксперимента, равный 120 и 200 мин. Наши исследования показывают наличие смешанной диффузии ионов с высоким коэффициентом аппроксимации, где первый этап диффузии завершается через 10–24 ч контакта в системе «сорбат – сорбент». Второй этап диффузии является более длительным и протекает до 250 ч.
Рис. 6 показывает графическую зависимость выражения (9) в координатах диффузионной модели Вебера – Морриса, которая применяется для описания внутридиффузионных процессов при малых значениях t, а также позволяет учитывать изменение толщины слоя раствора на поверхности адсорбционной твердой фазы (С) [35, 36]. Как видно из рис. 6, диффузионный процесс описывается двумя линейными участками, которые относятся к разным стадиям диффузии. Первый линейный участок характеризует поверхностную адсорбцию ионов, второй участок относится к внутричастичной диффузии сорбируемых ионов во внутреннюю область сорбента. Линейные участки имеют высокие коэффициенты аппроксимации (табл. 3). Низкие и отрицательные значения С1 указывают на незначительную толщину пограничного слоя и определяют внутреннюю диффузию как лимитирующую стадию скорости адсорбции Cd(II) из смешанного раствора и Cr(VI) из индивидуального раствора. Увеличение С1 снижает вклад внутридиффузионной составляющей и увеличивает значимость «пленочной» кинетики. Сорбция двух типов ионов из смешанного раствора также характеризуется возрастанием общей концентрации сорбата, что является причиной увеличения С1, которая указывает на рост сопротивления массопереноса через пограничный слой. Влияние присутствия конкурирующих ионов Cd(II) и Cr(VI) на адсорбцию Cr(VI) может быть объяснено различным сродством этих ионов к адсорбционным участкам комплексного сорбента. Низкие значения коэффициента диффузии объясняются блокировкой функциональных групп гуминовых кислот, что значительно снижает скорость сорбционного взаимодействия компонентов в растворе [37].
Рис. 6. Внутричастичная диффузионная модель адсорбции ионов в координатах Вебера – Морриса гуминовым комплексом ГКмодFe: 1 – Cd(II) из смешанного раствора, 2 – Cr(VI) из смешанного раствора, 3 – Cr(VI) из индивидуального раствора
Таблица 3. Диффузионные константы адсорбции комплексным сорбентом ГКмодFе
Сорбируемый ион | kid1, мг/(г×мин1/2) | С1 | R2 | kid2, мг/(г×мин1/2) | С2 | R2 |
Cd(II) в смеси | 0.73 | 1.7 | 0.97 | 0.25 | 21.6 | 0.99 |
Cr(VI) в смеси | 0.80 | 8.6 | 0.95 | 0.29 | 27.5 | 0.92 |
Cr(VI) в инд. растворе | 1.6 | -1.8 | 0.95 | 0.93 | 27.8 | 0.93 |
Гуминовые кислоты являются высокомолекулярными сорбентами, для которых возможно проведение диффузионного контроля в рамках модели Бойда – Адамсона [38]. Рисунок 7 показывает графические зависимости F от t1/2 и -ln(1-F) от t рассматриваемых систем. Поскольку зависимость -ln(1-F) от t не является линейной, то процесс сорбции не является только внешнедиффузионным и носит смешанный характер (рис. 7а). Линейная зависимость сохраняется в течение 10 ч в системе комплексный сорбент – Cr(VI) в индивидуальном растворе и 24 ч в двух других системах. В начальный момент взаимодействия сорбента с ионами металлов имеет место внешняя диффузия, которая длится от 10 до 24 ч в зависимости от состава.
Рис. 7. Кинетические кривые адсорбции в координатах диффузионной модели Бойда – Адамсона (а – внешняя диффузия, б – внутренняя диффузия) в системе комплексный сорбент – ионы металлов: 1 – Cd(II), 2 –Cr(VI) из смешанного раствора, 3 – Cr(VI) – из индивидуального раствора
Графическая зависимость F от t1/2 может указывать на внутридиффузионное лимитирование процесса сорбции. Обнаруженная нелинейность рассматриваемых графических зависимостей (рис. 7б) предполагает, что диффузия наблюдается в фазе сорбента при закреплении сорбата [35, 39].
Константы скоростей сорбции ионов комплексным сорбентом ГКмодFe показывают, что высокие показатели R2 и близкие экспериментальные и расчетные значения qe получены для модели псевдовторого порядка Хо и Маккея (табл. 4) [40, 41]. Данный факт свидетельствует о протекании химической реакции между сорбатом и сорбентом.
Таблица 4. Кинетические параметры сорбции Cd(II), Cr(VI) в смешанном и индивидуальном растворе на комплексном сорбенте ГКмодFe, T=298K
Сорбат Me(II)/Me(VI) | Модель псевдо-первого порядка | Модель псевдовторого порядка | ||||
qeэксп., мг/г | k1×10-4, мин-1 | R2 | k2×10-2, г мг-1мин-1 | qeтеор. | R2 | |
Cd(II) в смеси | 55.0 | 3.0 | 0.9458 | 1.92 | 52 | 0.9922 |
Cr(VI) в смеси | 61.9 | 4.0 | 0.893 | 3.7 | 61.7 | 0.9952 |
Cr(VI) в инд. растворе | 61.2 | 4.0 | 0.9537 | 3.7 | 62.1 | 0.9901 |
Изменение окислительно-восстановительного потенциала Eredox растворов в течение времени сорбции приведено на рис. 8. Величины Еredox водных растворов ГКмодFe и отдельно ГКмод при рН 3.8–4 слабо отличались и составляли 440–450 мВ. Высокий Еredox указывает на преобладание ох-формы ГК в растворе. Добавление Cr(VI) к комплексному сорбенту ГКмодFe повышает Еredox на 40 – 50 мВ в первые минуты контакта (рис. 8) и на 100 мВ в системе Cr(VI)+Cd(II). Обозначим за начальную величину Еredox1 потенциал системы ГКмодFe-Men±, и Еredoxm – значение потенциала в точке m за время t. Тогда, ΔЕredox= Еredoxm(t) - Еredox1(t0) характеризует протекание окислительно-восстановительного процесса с участием ГКмодFe и ионов за определенный промежуток времени.
Рис. 8. Изменение окислительно-восстановительного потенциала водных растворов во времени, рН 3.8–4.0: 1 – Fe(OH)3 + Cd(II)+Cr(VI); 2 – ГКмодFe + Cd(II)+Cr(VI); 3 – ГКмодFe + Cr(VI)
Результаты измерения ΔЕredox приведены в табл. 5. Окислительно-восстановительный потенциал системы Fe(OH)3 + Cd(II)+Cr(VI) без гуминовых кислот практически не изменяется за 250 ч эксперимента и составляет 550 мВ. Показатель ΔЕredox в системе ГКмодFe+Cd(II)+Cr(VI) понижается на 40 мВ за тот же период, что указывает на снижение количества электронов в системе. Уравнение, описывающее данный процесс, имеет отрицательный степенной характер и показывает увеличение доли red-формы в системе. Кривая 3 системы ГКмодFe+Cr(VI) (рис. 8) имеет схожий характер изменения Еredox.
Таблица 5. Уравнения и коэффициенты аппроксимации изменения окислительно-восстановительного потенциала водных растворов во времени
№ | Образец | ΔЕredox, мВ | Уравнение | R² |
1 | Fe(OH)3- ΣCd(ІІ), Cr (VI) | +5 | y = 544.8x0.004 | 0.850 |
2 | ГКмодFe-ΣCd(ІІ), Cr(VI) | -40 | y = 541.3x-0.01 | 0.962 |
3 | ГКмодFe+ Cr(VI) | -77 | y = 497.4x-0.03 | 0.893 |
Обозначения: R² – коэффициент достоверности.
Такое изменение Еredox связано с протеканием окислительно-восстановительной реакции внутри комплекса ГКмодFe. В работах [42, 43] исследовались окислительно-восстановительные свойства ГК внутри макромолекул и в присутствии сильных окислителей. Авторы показали, что ГК могут выступать самостоятельной окислительно-восстановительной парой и в зависимости от окружающих ионов способны проводить передачу электронов внутри макромолекул за счет широкого разнообразия функциональных групп. Таким образом формирование комплексного сорбента с Fe(III) может сопровождаться восстановлением до Fe(II) за счет электронодонорных групп ГК:
.
На рис. 9 приведены результаты равновесной концентрации Fe(II) после взаимодействия с Cd(II) (рис. 9, 1), с Cr(VI) (рис. 9, 2) и в присутствии смеси ионов Cd(II)+ Cr(VI) (рис. 9, 3). Окисление Fe(II) и сорбция Cd(II) (рис. 4) из раствора происходили одновременно. Так, процесс заселения активных центров ГКмодFe завершился через 24 ч и привел к снижению концентрации Fe(II). Возможно, происходила частичная передача электронов от Fe(II) к ГКмодFe. После достижения предельной сорбционной емкости сорбента десорбция Cd(II) запустила процесс восстановления Fe(III) в комплексном сорбенте до Fe(II).
Рис. 9. Равновесное количество Fe(II) в растворе в системе комплексный сорбент – ионы металла во времени: 1 – ГКмодFe–Cd(ІІ), 2 – ГКмодFe–Cr(VI), 3 – ГКмодFe+ Cd(ІІ)+Cr(VI)
Подобный механизм наблюдался в процессе сорбции Cr(VI). Однако система, содержащая смесь сорбируемых ионов, практически не сопровождалась передачей электронов.
ЗАКЛЮЧЕНИЕ
Одновременное осаждение ГКмод и Fe(III) в соотношении 1:1.18 формирует труднорастворимый гуминовый комплекс, в котором Fe(III) занимает активные центры ГК не полностью. Сорбционные показатели Cd(II) и Cr(VI) комплексным гуминовым сорбентом выше, чем гуминовых кислот и составляют 76 и 61 мг/г. Однако в случае Cd(II) самопроизвольная десорбция наступает через 5 ч взаимодействия и снижает адсорбционную емкость сорбента до 55 мг/г.
Применение диффузионной модели Вебера – Морриса к кинетическим зависимостям сорбции ионов токсичных металлов показало, что диффузионный процесс имеет смешанный характер. Оценка системы ГКмодFe +Cd(II)+Cr(VI) характеризуется значительным повышением доли сорбата, что приводит к конкурированию ионов и разному сродству к адсорбционным центрам комплексного сорбента. Такой фактор значительно снижает скорость сорбции ионов. Сорбция ионов комплексным сорбентом описывается уравнением второго порядка.
Снижение окислительно-восстановительного потенциала системы ГКмодFe + Cr(VI) и ГКмодFe+ + Cd(II) + Cr(VI) во времени свидетельствует о протекании реакций восстановления/окисления за счет электронодонорных функциональных групп гуминовых кислот в совокупности с Fe(II).
Исследование сорбционных свойств комплексного гуминового сорбента представляет интерес в области защиты окружающей среды. Обнаружение закономерностей взаимодействия ионов токсичных металлов с гуминовыми веществами, обогащенными Fe(III), позволит прогнозировать механизм сорбции/десорбции и контролировать время удерживания.
Работа выполнена в рамках государственного задания Отдела комплексных научных исследований Карельского научного центра РАН (проект FMEN-2022-0018).
Авторлар туралы
Е. Линкевич
Отдел комплексных научных исследований Карельского научного центра РАН
Хат алмасуға жауапты Автор.
Email: maltseva2@gmail.com
Ресей, Петрозаводск
В. Прокопюк
Отдел комплексных научных исследований Карельского научного центра РАН
Email: maltseva2@gmail.com
Ресей, Петрозаводск
Әдебиет тізімі
- Furukawa K., Takahashi Y. // Chemosphere. 2008. Т. 73. №. 8. С. 1272. DOI.org/10.1016/j.chemosphere.2008.07.017
- Мальцева Е.В., Иванов А.А., Юдина Н.В. // Журнал физической химии. 2009. Т. 83. № 11. С. 2175. [Mal’tseva E.V., Ivanov A.A., Yudina N.V. //Russian Journal of Physical Chemistry. A. 2009. Т. 83. № 11. С. 1981].
- Дину М.И. // Водные ресурсы. 2010. Т. 37. № 1. С. 65. [Dinu M.I. // Water resources. 2010. Т. 37. С. 65] DOI.org/10.1134/S0097807810010057
- Сюндюкова К.В., Дмитриева Е.Д., Горячева А.А. и др. // Сорбционные и хроматографические процессы. 2016. Т. 16. № 6. С. 788.
- Малышенко Н.В. и др. // Вестник Кузбасского государственного технического университета. 2015. № 1 (107). С. 77.
- Лодыгин Е.Д. // Почвоведение. 2019. № 7. С. 817. [ Lodygin E. D. // Eurasian Soil Science. 2019.Т. 52. С. 769] DOI.org/10.1134/S1064229319070093
- Lodygin E.D. et al. // Environmental Research. 2020. Т. 191. С. 110058. DOI.org/10.1016/ j.envres.2020.110058
- Василевич Р.С. и др. // Почвоведение. 2014. № 3. С. 283. [Vasilevich R.S. et al. // Eurasian Soil Science. 2014. Т. 47. № 3. С. 162] doi: 10.7868/S0032180X14030113
- Кощеева И.Я. и др. // Геохимия. 2018. № 7. С. 685. [Koshcheeva I.Y. et al // Geochemistry International. 2018. Т. 56. № 7. С. 711].
- Maurer F. et al. // Environmental science & technology. 2012. Т. 46. № 16. С. 8808. DOI.org/10.1021/es301520s
- Bauer I., Kappler A. // Environmental science & technology. 2009. Т. 43. № 13. С. 4902. DOI.org/10.1021/es900179s
- Shaker M.A. et al. // Chemosphere. 2014. Т. 111. С. 587. DOI.org/10.1016/j.chemosphere.2014.04.088
- Barnie S., Zhang J., Wang H. // Chemosphere. V. 212. 2018. P. 209. DOI.org/10.1016/ j.chemosphere.2018.08.067
- Smolyakov B.S. et al. // J. of Еnviron. Chem. Eng. 2015. Т. 3. № 3. С. 1939. DOI.org/10.1016/ j.jece.2015.07.005
- Amutenya E.L.M. et al. // Heliyon. 2022. Т. 8. № 6. С. e09720. DOI.org/10.1016/j.heliyon.2022.e09720
- Джардималиева Г.И. и др. // Коллоидный журнал. 2020. Т. 82. № 1. С. 11. [Dzhardimalieva G.I. et al. // Colloid Journal. 2020. Т. 82. № 1. С. 1.] DOI.org/10.31857/S0023291220010036
- Chen J. P., Wu S. // Journal of Colloid and Interface Science. 2004. Т. 280. № 2. С. 334. DOI.org/10.1016/ j.jcis.2004.08.029
- Arslan G., Edebali S., Pehlivan E. // Desalination. 2010. Т. 255. № 1–3. P. 117. DOI.org/10.1016/ j.desal.2010.01.006
- Zhou F. et al. // Environmental Science and Pollution Research. 2015. Т. 22. С. 16031. DOI.org/10.1007/s11356-015-4818-7
- Zhang T. et al. // Powder Technology. 2020. Т. 360. С. 55–64. DOI.org/10.1016/j.powtec.2019.09.091
- Liu T., Rao P., Lo I.M.C. // Science of the Total Environment. 2009. Т. 407. № 10. Р. 3407. DOI.org/ 10.1016/j.scitotenv.2009.01.043
- Jiang W. et al. // Environmental Science and Тechnology. 2014. Т. 48. № 14. С. 8078. DOI.org/ 10.1021/es405804m
- Rouhaninezhad A.A., Hojati S., Masir M.N. // Ecotoxicology and Environ. Safety. 2020. Т. 206. С. 111247. DOI.org/10.1016/j.ecoenv.2020.111247
- Uyguner C.S., Bekbolet M. // Applied Catalysis B: Environmental. 2004. Т. 49. № 4. С. 267. DOI.org/ 10.1016/j.apcatb.2003.12.015
- Petrovic M., Kastelan-Macan M., Horvat A.J.M. // Water, air and soil pollution. 1999. T. 111. Р. 41. DOI.org/ 10.1023/A:1005084802830
- Юдина Н.В., Савельева А.В., Линкевич Е.В. // Химия твердого топлива. 2019. № 1. С. 34. [Yudina N.V., Savel’eva A.V., Linkevich E.V. // Solid Fuel Chemistry. 2019. Т. 53. № 1. С. 29.] DOI.org/10.1134/S0023117719010092
- Линкевич Е.В., Юдина Н.В., Савельева А.В // Журнал физической химии. 2020. Т. 94. № 4. С. 568–573. [Linkevich E.V., Yudina N.V., Sa- vel’eva A.V. // Russian Journal of Physical Chemistry. A. 2020. Т. 94. № 4. С. 742–747.] DOI.org/10.31857/S0044453720040093
- Линкевич Е.В., Юдина Н.В., Савельева А.В. и др. // Химия твердого топлива. 2022. № 2. С. 63–69. [Linkevich E.V., Yudina N.V., Savel’eva A.V. et al // Solid Fuel Chemistry. 2022. Т. 56. № 2. С. 145–151.] DOI.org/10.31857/S0023117722020049
- Мальцева Е.В., Филатов Д.А., Юдина Н.В. и др. // Химия твердого топлива. 2011. Вып. 45. С. 62. [Mal’tseva E.V., Filatov D.A., Yudina N.V. et al Solid Fuel Chemistry. 2011. Т. 45. № 1. С. 62.].
- Микроскопические методы определения размеров частиц дисперсных материалов: Учеб. пособие / Н.Н. Гаврилова, В.В. Назаров, О.В. Яровая. – М.: РХТУ им. Д.И. Менделеева, 2012. 52 с.
- Маслова М.В., Иваненко В.И., Герасимова Л.Г. // Журнал физической химии. 2009. Т. 93. № 7. С. 1002. [Maslova M.V., Ivanenko V.I., Gerasimova L.G. // Russian Journal of Physical Chemistry A. 2019. Т. 93. № 7. С. 1245] DOI.org/10.1134/S0044453719060219
- Tang C. et al. // RSC advances. 2017. Т. 7. № 26. С. 16092. DOI.org/10.1039/C6RA28035H
- Li Y. et al. // Colloids and Surfaces B: Biointerfaces. 2008. Т. 65. № 1. С. 25–29. DOI.org/10.1016/ j.colsurfb.2008.02.014
- Liu C. et al. // Canadian Journal of Soil Science. 2001. Т. 81. № 3. С. 337. DOI.org/10.4141/S00-070
- Крижановская О.О., Синяева Н.А., Карпов С.И. и др. // Сорбционные и хроматографические процессы. 2014. Т. 14. Вып. 5. С. 784.
- Сютова Е.А., Джигола Л.А. // Сорбционные и хроматографические процессы. 2020. Т. 20. № 1. С. 64. DOI.org/10.17308/sorpchrom.2020. 20/2381
- Klučáková M., Kalina M. // Colloids and Surfaces A: Physicochemical and Engineering Aspects. 2015. Т. 483. С. 162. DOI.org/10.1016/j.colsurfa.2015.05.041
- Лебедева О.В. и др. // Физикохимия поверхности и защита материалов. 2016. Т. 52. № 2. С. 150. [Lebedeva O.V., Sipkina E.I., Pozhidaev Y.N., Chernigovskaya M.A., Raskulova T.V. Protection of Metals and Physical Chemistry of Surfaces. 2016. Т. 52. № 2. С. 218.] DOI.org/10.7868/S0044185616020182
- Horsfall Jr.M., Abia A.A. // Water research. 2003. Т. 37. № 20. С. 4913. DOI.org/10.1016/j.watres.2003.08.020
- Town R.M., van Leeuwen H.P., Buffle J. // Environmental Science and Technology. 2012. Т. 46. № 19. С. 10487. DOI.org/10.1021/es3018013
- Li Y., Yue Q., Gao B. // J. of Hazardous Materials. 2010. Т. 178. № 1–3. С. 455. DOI.org/10.1016/ j.jhazmat.2010.01.103
- Struyk Z., Sposito G. // Geoderma. 2001. Т. 102. № 3–4. С. 329–346. DOI.org/10.1016/S0016- 7061(01)00040-4
- Kappler A., Brune A. // Soil Biology and Biochemistry. V. 34. Issue 2, 2002. P. 221. DOI.org/10.1016/S0038-0717(01)00176-6
Қосымша файлдар











