Сравнение механизмов гидролиза органофосфатов с хорошей и плохой уходящей группой фосфотриэстеразой из Pseudomonas Diminuta
- Authors: Мулашкина Т.И.1, Кулакова А.М.1, Немухин А.В.1,2, Хренова М.Г.1,3
-
Affiliations:
- Московский государственный университет имени М.В. Ломоносова
- Институт биохимической физики имени Н.М. Эмануэля РАН
- Федеральный исследовательский центр «Фундаментальные основы биотехнологии» РАН
- Issue: Vol 98, No 2 (2024)
- Pages: 128-135
- Section: STRUCTURE OF MATTER AND QUANTUM CHEMISTRY
- Submitted: 22.09.2024
- Accepted: 22.09.2024
- Published: 23.09.2024
- URL: https://bakhtiniada.ru/0044-4537/article/view/264420
- DOI: https://doi.org/10.31857/S0044453724020121
- EDN: https://elibrary.ru/RCUVJH
- ID: 264420
Cite item
Full Text
Abstract
Комбинированным методом квантовой механики и молекулярной механики определены механизмы гидролиза органофосфатов в активном центре фосфотриэстеразы Pseudomonas diminuta. Показано, что для субстрата с хорошей уходящей группой реакция проходит через две элементарные стадии с низкими энергетическими барьерами, при этом наблюдается выигрыш в энергии. В случае плохой уходящей группы возможно только образование нестабильного интермедиата реакции, однако полного гидролиза не происходит. Сравнение полученных механизмов реакции объясняет экспериментальные кинетические данные, согласно которым фермент гидролизует только субстраты с хорошими уходящими группами.
Full Text
ВВЕДЕНИЕ
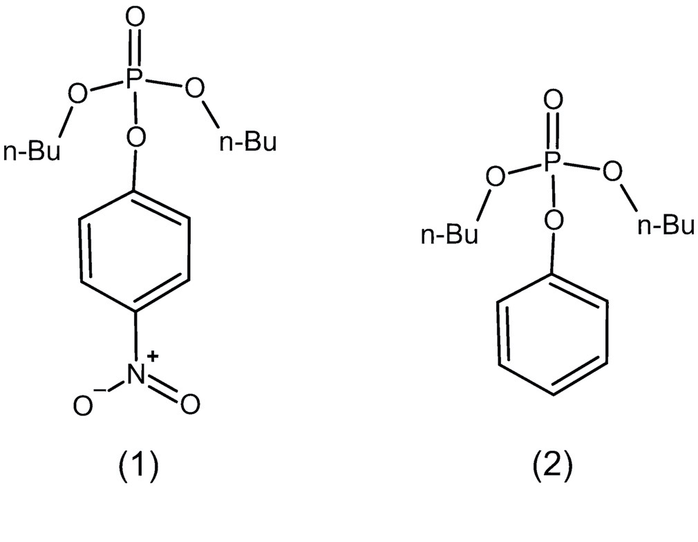
Фосфорорганические соединения (ФОС), представляющие собой триэфиры фосфатов, широко используются в качестве пестицидов, инсектицидов и антипиренов. ФОС могут накапливаться в почве и воде, а также оказывать токсичное воздействие на растения, животных и человека [1–4]. Фосфотриэстеразы – ферменты, катализирующие гидролиз фосфорорганических соединений; наиболее экспериментально изученной является фосфотриэстераза из Pseudomonas diminuta (Pd-PTE). Согласно кинетическим данным [5], Pd-PTE гидролизует параоксон (kcat = 2230 c-1) и дибутил-4-нитро-фенилфосфат (kcat = 570 c-1) и не проявляет каталитической активности с такими соединениями, как дибутилфенилфосфат и трифенилфосфат. Основное различие данных органофосфатов заключается в разном строении уходящих групп: первые два соединения являются органофосфатами с хорошей уходящей группой, другие два – с плохой уходящей группой. В связи с этим в данной работе было проведено сравнение реакции гидролиза двух органофосфатов с одинаковыми боковыми заместителями, но разными уходящими группами: с хорошей (дибутил-4-нитрофенилфосфат (а)) и плохой (дибутилфенилфосфат (б)) уходящей группой (рис. 1).
Рис. 1. Структуры субстратов: дибутил-4-нитрофенилфосфат (а) с хорошей уходящей группой и дибутилфенилфосфат (б) с плохой уходящей группой
По данным рентгеноструктурного анализа [6], в активном центре Pd-PTE находятся два катиона металла на расстоянии 3.9 Å (рис. 2). Нативный фермент содержит катионы цинка. Мостиковыми лигандами для биядерного металлического центра являются гидроксид-анион и карбоксилированный остаток Lys169, атомы кислорода которых находятся на расстоянии около 2 Å от катионов металлов. Кроме того, катион цинка Znα2+ координирован в активном центре двумя аминокислотными остатками гистидина (His55, His57) и аспартатом (Asp301). Второй катион цинка Znβ2+ также координирован двумя остатками гистидина (His201, His230). Оставшееся свободное место в его координационной сфере занимает субстрат.
Рис. 2. Слева: Структура фосфотриэстеразы из бактерии Pseudomonas diminuta (Pd-PTE) – атомы активного центра показаны сферами. Справа: субстрат в активном центре Pd-PTE, пунктирными линиями показаны координационные связи катионов цинка, штриховой линией – водородная связь каталитического гидроксид аниона и аминокислотного остатка Asp301
Точный механизм гидролиза фосфорорганических соединений в активном центре Pd-PTE не установлен. Известно, что гидролиз органофосфатов в активном центре фосфотриэстеразы Pd-PTE протекает по двухстадийному механизму. В ходе первой стадии происходит нуклеофильная атака гидроксид-анионом атома фосфора с образованием интермедиата с пентакоординированным фосфором [7–18] (рис. 3). Основные различия относятся к описанию второй стадии реакции, в ходе которой происходит разрыв связи между атомами фосфора и кислородом уходящей группы P-OLG с образованием комплекса фермент-продукт. На данный момент существует несколько расчетных работ [8–10, 12, 16–17], в которых обсуждается механизм гидролиза органофосфатов на примере параоксона в активном центре фосфотриэстеразы Pd-PTE. В работах [9, 17] утверждается, что образование комплекса фермент-продукта сопровождается переносом протона с гидроксид-аниона на аспарагиновую кислоту Asp301 (рис. 3б), тогда как в других работах [8, 10, 12] показано, что протон остается на атоме кислорода нуклеофильной частицы и впоследствии образуется протонированная форма фосфорорганического продукта (рис. 3а). Кроме того, в работе [12] была оценена относительная стабильность депротонированной и протонированной формы продукта. Анализ профиля потенциала средней силы показывает, что протонированное состояние продукта гидролиза на 5.5 ккал/моль стабильнее депротонированного.
Рис. 3. Предложенные в литературе механизмы гидролиза ФОС фосфотриэстеразой Pd-PTE. Оба механизма предполагают нуклеофильную атаку гидроксид-анионом атома фосфора с образованием пентакоординированного интермедиата. Дальнейший отрыв уходящей группы сопровождается образованием P-OH-связи (в механизме (а)) или P-O-связи и переносом протона на аспарагиновую кислоту (механизм (б))
Следует отметить, что среди перечисленных работ только в [9] комплекс фермент-продукт стабилизирован относительно фермент-субстратного комплекса. В работах [8, 10, 12] использовался двухуровневый подход, который заключался в получении конфигураций фермента с помощью полуэмпирических методов, таких как AM1, PM3, и дальнейшей корректировке полученных энергий методом Кона – Шэма с функционалом B3LYP. Однако известно, что модели AM1 и PM3 плохо работают для фосфорсодержащих соединений [19, 20], а также для металлоферментов [21]. Развитие современных вычислительных ресурсов позволяет использовать более широкий арсенал методов DFT для описания все большего числа систем [22].
В данной работе получены механизмы реакции гидролиза органофосфатов (1) и (2) в активном центре фосфотриэстеразы Pd-PTE и проведено их сравнение с использованием современных подходов.
ЭКСПЕРИМЕНТАЛЬНАЯ ЧАСТЬ
Модели и методы
Начальные координаты были взяты из кристаллографических данных для димера Pd-PTE (PDB ID: 3CAK) [23], полученных с разрешением 1.8 Å. Катионы кобальта были заменены на катионы цинка в связи с тем, что цинк является нативным для фермента Pd-PTE. Атомы водорода были добавлены в белковую структуру с помощью программы Reduce [24] таким образом, чтобы протонированные состояния аминокислотных остатков соответствовали нейтральному рН. Отдельное внимание уделяли аминокислотным остаткам гистидина, так как в зависимости от окружения протонирование может происходить по разным атомам азота (Nδ или Nε) или по двум сразу. В обоих мономерах фермента Pd-PTE все остатки гистидина, кроме His254, полагались нейтральными. Кроме того, в соответствии с данными РСА была проведена модификация мостикового аминокислотного остатка Lys169 на карбоксилированную форму. Данная модификация позволяет стабилизировать оба катиона Znα2+ и Znβ2+ в активном центре фосфотриэстеразы. Субстраты дибутил-4-нитрофенилфосфат (1) и дибутилфенилфосфат (2) были расположены в активном центре фермента аналогично структуре комплекса фермента Pd-PTE с параоксоном [6]. Полученные таким образом два комплекса фермента с субстратами сольватировали, а для нейтрализации системы были добавлены три иона хлора. Подготовка полноатомных моделей и анализ структур проводился в программном пакете VMD [25].
Для релаксации сольватной оболочки было проведено классическое молекулярно-динамическое моделирование (МД) с фиксированными атомами фермента и субстрата с помощью программного пакета NAMD [26]. Длина траектории составила 1 нс. Затем было проведено МД-моделирование без дополнительных ограничений длиной 1 нс для релаксации белкового окружения. Для описания фермента использовали силовое поле CHARMM36 [27], для субстратов (1) и (2) и карбоксилированной формы Lys169 использовали CGenFF [28], для молекулы воды – TIP3P [29]. Размер системы составил 68×101×90 Å3.
Далее были получены интермедиаты реакции гидролиза органофосфатов (1) и (2) в активном центре Pd-PTE. Для релаксации структуры под такое состояние была рассчитана молекулярно-динамическая траектория с потенциалами комбинированного метода квантовой механики / молекулярной механики (КМ/ММ-МД) продолжительностью 5 пс. Методом квантовой механики описывался активный центр фосфотриэстреазы (рис. 2), который включает в себя катионы цинка Zn2+, гидроксид-анион OH–, боковые цепи аминокислотных остатков His55, His57, карбоксилированного Lys169, His201, His230, His254, Asp301, и органофосфат. В расчетах квантовой части использовался метод функционала электронной плотности с гибридным функционалом PBE0 [30] и дисперсионной поправкой D3 [31] и базисом 6-31G**. Катионы цинка описывались с помощью псевдопотенциалов LANL2DZ [32]. Для описания молекулярно-механической части использовалось силовое поле CHARMM36. В случае комплекса фермента Pd-PTE с субстратом дибутил-4-нитрофенилфосфатом (1) квантовая часть включала 127 атомов, а с дибутилфенилфосфатом (2) – 125 атомов. Общий заряд квантовой подсистемы составлял +2. Взаимодействие квантово-химического пакета TeraChem [33] и молекулярно-динамической программы NAMD [26] обеспечивалось специальным интерфейсом программы NAMD [34].
Все расчеты методом молекулярной динамики были выполнены в каноническом ансамбле NPT при p = 1 атм и T = 300 K, которые поддерживались с использованием баростата Нозе – Гувера [35] и термостата Ланжевена [36] с шагом интегрирования 1 фс.
Для получения сечения поверхности потенциальной энергии (ППЭ) вдоль координаты реакции был проведен ряд последовательных оптимизаций геометрий с фиксированным значением координаты реакции через равные промежутки в рамках стационарного метода КМ/ММ. В связи с тем, что реакция гидролиза органофосфатов в активном центре фосфотриэстеразы происходит в две стадии, в качестве координат реакции были выбраны расстояния между фосфором и кислородом нуклеофила (P-ONu) и между фосфором и кислородом уходящей группы (P-OLG) для первой и второй стадии соответственно.
Для этого были взяты интермедиаты реакции гидролиза соединений (1) и (2) в активном центре Pd-PTE, полученные из КМ/ММ-МД, в сольватной оболочке, ограниченной молекулами воды, расположенными на расстоянии не более 4 Å от макромолекулы белка и субстрата. Оптимизация КМ/ММ была выполнена с использованием программного обеспечения Tcl ChemShell [37] с эффективным оптимизатором DL-FIND [38] и программным пакетом квантовой химии TURBOMOLE [39]. Квантовая подсистема и методы ее описания были выбраны аналогично предыдущему этапу.
ОБСУЖДЕНИЕ РЕЗУЛЬТАТОВ
На рис. 4 показаны сечения поверхности потенциальной энергии вдоль координаты реакции, полученные методом КМ/ММ для реакции гидролиза двух выбранных субстратов в активном центре Pd-PTE. Гидролиз дибутил-4-нитрофенилфосфата (1) – органофосфата с хорошей уходящей группой – протекает с невысокими барьерами. Барьер образования интермедиата составляет 5.2 ккал/моль, а переход из интермедиата в продукт – 1.6 ккал/моль. Помимо низких барьеров эффективность протекания реакции обеспечивается понижением относительной энергии каждого следующего интермедиата. Гидролиза дибутилфенилфосфата (2) – органофосфата с плохой уходящей группой – не происходит, в том числе не удается локализовать энергетический минимум, отвечающий комплексу фермент-продукт: начиная со значения координаты реакции P-OLG, равной 3.2 Å, значения относительной энергии выходят на плато и составляют 18-19 ккал/моль. Таким образом, фосфотриэстераза Pd-PTE проявляет каталитическую эффективность только по отношению к органофосфату с хорошей уходящей группой. Полученные результаты согласуются с кинетическими данными [5], которые показывают, что каталитическая активность Pd-PTE для гидролиза дибутилфенилфосфата снижается в 106 раз по сравнению с гидролизом дибутил-4-нитрофенилфосфата.
Рис. 4. Сечения поверхности потенциальной энергии для реакции гидролиза: а – дибутил-4-нитрофенилфосфата (1) и б – дибутилфенилфосфата (2) в активном центре фосфотриэстеразы Pd-PTE. ES – фермент-субстратный комплекс, TS1 и TS2 – переходные состояния, INT – интермедиат, EP – комплекс фермент-продукт
Установленный механизм протекания реакции гидролиза дибутил-4-нитрофенилфосфата приведен на рис. 5. Гидролиз начинается с нуклеофильной атаки гидроксид-анионом атома фосфора органофосфата, что приводит к образованию интермедиата с пентакоординированным фосфором (INT). Затем происходит разрыв P-OLG связи, которая сопровождается переносом протона с кислорода гидроксид-аниона на остаток аспаргиновой кислоты (Asp301). Данный механизм согласуется с работами [9, 17]. Кинетическая роль Asp301 согласуется с работой [18], в которой сравнение кинетических параметров для фермента дикого типа и мутантных форм показало, что замена заряженной аспарагиновой кислоты на незаряженные аланин или аспарагин приводит к падению каталитической активности. На основании экспериментальных данных и установленного механизма можно предположить, что перенос протона на аспарагиновую кислоту является важной частью механизма реакции гидролиза органофосфатов в активном центре фосфотриэстеразы Pd-PTE.
Рис. 5. Механизм реакции гидролиза дибутил-4-нитрофенилфосфата в активном центре фосфотриэстеразы Pd-PTE. ES – фермент-субстратный комплекс, TS1 и TS2 – переходные состояния, INT – интермедиат, EP – комплекс фермент-продукт
На рис. 6 представлены стационарные точки для первой стадии гидролиза дибутилфенилфосфата. Структуры фермент-субстратных комплексов и интермедиатов для гидролиза дибутил-4-нитрофенилфосфата и дибутилфенилфосфата схожи. В фермент-субстратных комплексах расстояние нуклеофильной атаки составляет 2.6 и 2.7 Å соответственно. Образование интермедиатов сопровождается уменьшением расстояния между фосфором и кислородом гидроксид-аниона до 1.7 и 1.8 Å, а расстояние P-OLG составляет 2.0 Å. Существенные различия наблюдаются в структурах первого переходного состояния: в случае дибутилфенилфосфата нуклеофил подходит на более короткое расстояние (1.9 Å), чем в случае дибутил-4-нитрофенилфосфата (2.4 Å). Несмотря на это, дальнейшего разрыва связи P-OLG в дибутилфенилфосфате не происходит.
Рис. 6. Первая стадия реакции гидролиза дибутилфенилфосфата в активном центре фосфотриэстеразы Pd-PTE. ES – фермент-субстратный комплекс, TS1 – переходное состояние, INT – интермедиат
ЗАКЛЮЧЕНИЕ
В работе построены профили потенциальной энергии реакции гидролиза органофосфатов фосфотриэстеразой Pd-PTE. Для субстрата с хорошей уходящей группой реакция проходит в две стадии с низкими энергетическими барьерами, при этом каждый последующий минимум на поверхности потенциальной энергии стабилизирован относительно предыдущего, что обеспечивает экспериментально наблюдаемое эффективное прохождение химической реакции. В случае негидролизуемого субстрата с плохой уходящей группой профиль потенциальной энергии характеризуется дестабилизированным состоянием, отвечающим интермедиату реакции. Вторая стадия реакции не происходит: разрыв связи с уходящей группой приводит к повышению энергии на 18–19 ккал/моль относительно фермент-субстратного комплекса (реагентов).
Работа выполнена при поддержке Российского фонда фундаментальных исследований (№ 21-33-70001). Расчеты проведены с использованием оборудования Центра коллективного пользования сверхвысокопроизводительными вычислительными ресурсами МГУ имени М.В. Ломоносова и Межведомственного суперкомпьютерного центра РАН.
About the authors
Т. И. Мулашкина
Московский государственный университет имени М.В. Ломоносова
Email: mkhrenova@lcc.chem.msu.ru
Russian Federation, Москва
А. М. Кулакова
Московский государственный университет имени М.В. Ломоносова
Email: mkhrenova@lcc.chem.msu.ru
Russian Federation, Москва
А. В. Немухин
Московский государственный университет имени М.В. Ломоносова; Институт биохимической физики имени Н.М. Эмануэля РАН
Email: mkhrenova@lcc.chem.msu.ru
Russian Federation, Москва; Москва
М. Г. Хренова
Московский государственный университет имени М.В. Ломоносова; Федеральный исследовательский центр «Фундаментальные основы биотехнологии» РАН
Author for correspondence.
Email: mkhrenova@lcc.chem.msu.ru
Russian Federation, Москва; Москва
References
- Tsai P.C., Fox N., Bigley A.N. et al. // Biochemistry. 2012. Т. 51. № 32. С. 6463. doi: 10.1021/bi300811t
- Reemtsma T., García-López M., Rodríguez I. et al. // TrAC. 2008. Т. 27. № 9. С. 727. DOI: 10.1016/ j.trac.2008.07.002
- Du J., Li H., Xu S. et al. // Environ. Sci. Pollut. Res. 2019. Т. 26. С. 22126. doi: 10.1007/s11356-019-05669-y
- Stubbings W.A., Schreder E.D., Thomas M.B. et al. // Environ. Pollut. 2018. Т. 238. С. 1056. DOI: 10.1016/ j.envpol.2018.03.083
- Xiang D.F., Bigley A.N., Ren Z. et al. // Biochemistry. 2015. Т. 54. С. 7539. doi: 10.1021/acs.biochem.5b01144
- Vanhooke J.L., Benning M.M., Raushel F.M., Holden H.M. // Biochemistry. 1996. Т. 35. С. 6020. doi: 10.1021/bi960325l
- Grimsley J.K., Calamini B., Wild J.R., Mesecar A.D. // Arch. of Bioch. and Biophys. 2005. Т. 442. № 2. С. 169. doi: 10.1016/j.abb.2005.08.012
- Zhang X., Wu R., Song L. et al. // J. Comput. Chem. 2009. Т. 30. № 15. С. 2388–2401. doi: 10.1002/jcc.21238
- Chen Sh.-L., Fang W.-H., Himo F. // J. Phys. Chem. B. 2007. Т. 111. № 6. С. 1253. doi: 10.1021/jp068500n
- Wong K.-Y., Gao J. // Biochemistry. 2007. Т. 46 № 46. С. 13352–13369. doi: 10.1021/bi700460c
- Jackson C.J., Foo J.-L., Kim H.-K. et al. // J. Mol. Biol. Т. 375. № 5. С. 1189–1196. doi: 10.1016/j.jmb.2007.10.061
- López-Canut V., Ruiz-Pernía J.J., Castillo R. et al. // Chem. Europ. J. 2012. Т. 18. № 31. С. 9612. doi: 10.1002/chem.201103615
- Bigley A.N., Raushel F.M. // Biochim. Biophys. Acta. 2013. Т. 1834. № 1. С. 443. DOI: 10.1016/ j.bbapap.2012.04.004
- Kim J., Tsai P.-Ch., Chen Sh.-L. et al. // Biochemistry. 2008. Т. 47. № 36. С. 9497. doi: 10.1021/bi800971v
- Jackson C., Kim H.-K., Carr P.D. et al. // Biochim. Biophys. Acta. 2005. Т. 1752. № 1. С. 55. doi: 10.1016/j.bbapap.2005.06.008
- Bora R.P., Mills M.J.L., Frushicheva M.P., Warshel A. // J. Phys. Chem. B. 2015. Т. 119. № 8. С. 3434. doi: 10.1021/jp5124025
- Yuzhuang F., Fan F., Wang B., Cao Z. // Chem.: Asian J. 2022. Т. 17. № 14. e202200439. doi: 10.1002/asia.202200439
- Aubert S.D., Li Y., Raushel F.M. // Biochemistry. 2004. Т. 43. № 19. С. 5707. doi: 10.1021/bi0497805
- Nam K., Cui Q., Gao J., York D.M. // J. Chem. Theory Comput. 2007. Т. 3. № 2. С. 486. doi: 10.1021/ct6002466
- Lopez X., York D.M. // Theor. Chem. Ac. Т. 2003. 109. С. 149. doi: 10.1007/s00214-002-0422-2
- Bräuer M., Kunert M., Dinjus E. et al. // J. Mol. Struct.: THEOCHEM. 2000. Т. 505. № 1–3. C. 289. doi: 10.1016/S0166-1280(99)00401-7
- Mardirossian N., Head-Gordon M. // Mol. Phys. 2017. Т. 115. № 19. С. 2315. DOI: 10.1080/ 00268976.2017.1333644
- Kim J., Tsai P. C., Chen S. L. et al. // Biochemistry. 2008. Т. 47. С. 9497. doi: 10.1021/bi800971v
- Word J.M., Lovell S.C., Richardson J.S., Richardson D.C. // J. Mol. Biol. 1999. Т. 285. С. 1735. doi: 10.1006/jmbi.1998.2401
- Humphrey W., Dalke A., Schulten K. // J. Mol. Graph. 1996. Т. 14. С. 33. doi: 10.1016/0263-7855(96)00018-5
- Phillips J.C., Braun R., Wang W. et al. // J. Comput. Chem. 2005. Т. 26. С. 1781. doi: 10.1002/jcc. 20289
- Best R.B., Zhu X., Shim J. et al. // J. Chem. Theory Comput. 2012. Т. 8. С. 3257. doi: 10.1021/ct300400x
- Vanommeslaeghe K., Hatcher E., Acharya C. et al. // J. Comput. Chem. 2009. Т. 31. С. 671. doi: 10.1002/jcc.21367
- Jorgensen W.L., Chandrasekhar J., Madura J.D. et al. // J. Chem. Phys. 1983. Т. 79. С. 926. doi: 10.1063/1.445869
- Adamo C., Barone V. // J. Chem. Phys. 1999. Т. 110. С. 6158. doi: 10.1063/1.478522
- Grimme S., Antony J., Ehrlich S., Krieg H. // J. Chem. Phys. 2010. Т. 132. С. 154104. DOI: 10.1063/ 1.3382344
- Hay P.J., Wadt W.R. // J. Chem. Phys. 1985. Т. 82. № 1. С. 299. doi: 10.1063/1.448975
- Seritan S., Bannwarth C., Fales B.S. et al. // WIREs Comput. Mol. Sci. 2021. Т. 11. e1494. doi: 10.1002/wcms.1494.
- Melo M.C.R., Bernardi R.C., Rudack T. et al. // Nat. Methods. 2018. Т. 15. С. 351–354. doi: 10.1038/nmeth.4638
- Martyna G.J., Klein M.L. // J. Chem. Phys. 1992. Т. 97. № 4. С. 2635. doi: 10.1063/1.463940
- Singer K., Smith W. // Mol. Phys. 1988. Т. 64. № 6. С. 1215. doi: 10.1080/00268978800100823
- Lu Y., Farrow M.R., Fayon P. et al. // J. Chem. Theory Comput. 2019. Т. 15(2). Р. 1317. doi: 10.1021/acs.jctc.8b01036
- Kästner J., Carr J.M., Keal T.W., Thiel W. // J. Phys. Chem. A. 2009. Т. 113. № 43. С. 11856. doi: 10.1021/jp9028968
- Ahlrichs R., Bar M., Iser M.H. et al. // Chem. Phys. Let. 1989. Т. 162. № 3. С. 165. doi: 10.1016/0009-2614(89)85118-8
Supplementary files








