Получение и исследование физико-химических свойств фазопереходных теплоаккумулирующих материалов на основе гексагидрата нитрата цинка
- Авторы: Тестов Д.С.1, Моржухина С.В.1, Гашимова В.Р.1, Моржухин А.М.1, Кирюхина Г.В.2,3, Попова Е.С.1, Гасиев А.Л.1, Крюкова-Селиверстова А.В.1, Гринь К.Н.1
-
Учреждения:
- Государственный университет «Дубна»
- Московский государственный университет им. М.В. Ломоносова
- Институт экспериментальной минералогии им. акад. Д.С. Коржинского РАН
- Выпуск: Том 98, № 2 (2024)
- Страницы: 11-27
- Раздел: ХИМИЧЕСКАЯ ТЕРМОДИНАМИКА И ТЕРМОХИМИЯ
- Статья получена: 22.09.2024
- Статья одобрена: 22.09.2024
- Статья опубликована: 23.09.2024
- URL: https://bakhtiniada.ru/0044-4537/article/view/264403
- DOI: https://doi.org/10.31857/S0044453724020027
- EDN: https://elibrary.ru/RDWQWC
- ID: 264403
Цитировать
Полный текст
Аннотация
В работе получены и исследованы теплоаккумулирующие материалы на основе гексагидрата нитрата цинка Zn(NO3)2·6H2O с добавлением загустителей (поливинилового спирта ПВС, карбоксиметилцеллюлозы КМЦ), зародышеобразователей Co(NO3)2·6H2O, ZnO и расширенного графита. Получено несколько составов с различным соотношением компонентов. Суммарная теплота ΣΔH при остывании лучшего по характеристикам состава 95% Zn(NO3)2∙6H2O + 5% Co(NO3)2∙6H2O) + 1% КМЦ + 1% EGгидр составляет более 500 Дж/г в температурном диапазоне от 80 до 25 °C с температурой плавления 38 °C, теплотой плавления ΔHm 142.8 Дж/г и суммарной плотностью накопления тепла ΣS, равной 1100 МДж/м3. Испытания в тепловом аккумуляторе 4 кг состава показали время разрядки τ=6 ч 40 мин со стабильной температурой теплоносителя 29 °C. Состав 95% Zn(NO3)2∙6H2O + 5% Co(NO3)2∙6H2O) + 1% КМЦ + 1% EGгидр с температурой кристаллизации 30.4 °C и временем разрядки τ в тепловом аккумуляторе 3 ч. Предлагаемые составы могут быть использованы в тепловых аккумуляторах систем отопления, системе теплого пола, для предпускового прогрева двигателей автомобилей за счет накопленного в рабочий период времени тепла, систем охлаждения.
Полный текст
ВВЕДЕНИЕ
Для накопления и хранения тепловой энергии применяют теплоаккумулирующие материалы (ТАМ), которые и определяют доступность и эффективность тепловых систем. Их подразделяют на несколько групп, подходы к классификациям показаны в обзорной работе [1], в зависимости от которых предлагаются отрасли их применения. В основе классификации кристаллогидратов лежит температура фазового перехода, согласно которой вещества делят на высоко-, средне- и низкотемпературные [2]. Для отопления и поддержания температуры используются среднетемпературные ТАМ, имеющие фазовый переход в диапазоне от 30 до 100 °C.
В работе [3] проведено сравнение теплоаккумулирующих материалов с различным механизмом накопления тепла и показано, что наибольший интерес представляют материалы с накоплением тепла в процессе фазового перехода, а кристаллогидраты обладают наибольшим потенциалом при применении в качестве ТАМ. С помощью проведенного факторного анализа определено, что наибольшее влияние на свойства ТАМ оказывают теплота плавления и плотность.
Для систем отопления, используемых в межсезонные периоды температурного диапазона 30–40 °C, представлена сравнительная характеристика кристаллогидратов между собой и конкурирующими материалами: парафином и органическими кислотами [3]. При помощи факторного анализа в качестве одного из перспективных веществ для получения ТАМ на его основе выбран гексагидрат нитрата цинка Zn(NO3)2·6H2O, который имеет высокие характеристики по 7 основным параметрам: энтальпии плавления, теплопроводности, теплоемкости, плотности, вязкости, плотности аккумулирования тепла, температуре плавления [3]. Более того, Zn(NO3)2·6H2O имеет конгруэнтный тип плавления [4].
Однако использование Zn(NO3)2·6H2O в чистом виде затруднено из-за его переохлаждения и относительно невысокой теплоемкости и теплопроводности, поэтому целью исследования является приготовление ТАМ, в основе которого содержится Zn(NO3)2·6H2O с добавлением компонентов, устраняющих недостатки кристаллогидрата, такие как переохлаждение, фазовая сегрегация, и повышающих теплопроводность. Такими компонентами являются загустители и зародышеобразователи. Первыми чаще всего используют карбоксиметилцеллюлозу (КМЦ) или поливиниловый спирт (ПВС), которые предотвращают возникновение фазовой сегрегации и повышают вязкость. В качестве зародышеобразователей используют оксиды соответствующих кристаллогидратов металлов, наночастицы, углеродные материалы или другой кристаллогидрат, чтобы зародышеобразование инициировалось на сходной по размерам кристаллической решетке или отдельной плоскости. В [5] в качестве зародышеобразователя выбран Co(NO3)2·6H2O с близкими параметрами кристаллической решетки.
Для исследования термодинамических характеристик ТАМ применяют методы дифференциальной сканирующей калориметрии (ДСК) и температурной истории (ТИ) [6]. В результате термоциклирования методом ТИ можно установить термостабильность, переохлаждение Δt и время аккумуляции (при охлаждении время разрядки) τ, которое показывает период отдачи тепла в окружающую среду при охлаждении, а при исследовании методом ДСК можно определить теплоту плавления, температуру плавления, теплоемкость и температурный гистерезис.
ТЕОРЕТИЧЕСКИЙ АНАЛИЗ
Работы по исследованию теплофизических и термохимических характеристик гексагидрата нитрата цинка ведутся с 1940-х годов. Его использование в качестве ТАМ в тепловых аккумуляторах, устройствах подогрева полов и салонов автомобилей является наиболее подходящим выбором благодаря оптимальному температурному диапазону фазового перехода 30–40 °С и конгруэнтному типу плавления. Хотя споры о потенциале его использования ведутся исследователями, имеющими противоположные точки зрения [3, 7–9], тем не менее имеются подтверждения его эффективной работы в качестве ТАМ [7, 9]. При этом в работе [9] авторы предлагают теплоаккумулирующий состав на основе Zn(NO3)2·6H2O с добавкой Co(NO3)2·6H2O различной массы, однако не показывают, каким образом ее массовая доля влияет на теплоту плавления ΔHm, время разрядки τ, температуры кристаллизации tcr и плавления tm. Авторы указывают лишь на переохлаждение, которое не превышает 5 °С.
В работе [10] 1973 года представлены полные исследования ряда кристаллогидратов, в том числе Zn(NO3)2·6H2O, и приведены параллельные исследования двух проб с различающейся температурой плавления tm 36.4 и 42 °С при энтальпиях плавления ΔHm в 134 и 146.7 Дж/г. Причины различия в данных не поясняются. При этом погрешность измерений методом ДСК не превысила 10%.
Работы Джорджа Лейна, в том числе по кристаллогидрату Zn(NO3)2·6H2O [11], стали базовыми у современных исследователей. Температура плавления tm Zn(NO3)2·6H2O указана 36 °С, что, с учетом погрешности измерений, коррелирует с результатами исследований 1973 года [10]. Энтальпия плавления ΔHm в работе [11] составила 146.9 Дж/г. Теплопроводность λ измерялась при температурах 39.9 и 61.2 °С и составила 0.464 и 0.469 Вт/(м К) соответственно. Плотность твердой фазы ρ при 24 °С была равна 1.937 кг/м3, а при 36 °С в жидком состоянии незначительно снизилась до 1.828 кг/м3. К сожалению, погрешности данных измерений не указаны, приводятся только способы измерений.
В 1988 году в работе [12] были опубликованы новые данные, в которых одним из кристаллогидратов изучался Zn(NO3)2·6H2O. По данным исследователей, удалось получить температуру плавления tm в 36.85 °С и энтальпией плавления ΔHm 127 Дж/г. Энтальпия кристаллизации ΔHсr составила 141 Дж/г при скорости охлаждения 5 К/мин. Авторы указали, что переохлаждение достигает 16 °С на основе данных ДСК при достаточно высокой скорости охлаждения. Результаты измерения теплоемкости показывают, как меняется величина в твердой и жидкой фазах. Теплоемкость твердой фазы cp при 20–28 °С повышается от 1.5 до 1.81 Дж/(г К), в то время как в жидком состоянии не происходит значительного повышения теплоемкости, которая при 53–72 °С повышается от 2.21 до 2.24 Дж/(г К). Погрешность измерений на ДСК не превышает 2%.
Еще одной работой является монография [13], опубликованная в 1982 году. Полученные данные по теплоемкости cp Zn(NO3)2·6H2O хорошо согласуются между собой с учетом указанной погрешности более 1% и повышаются с 2.06 до 2.31 Дж/(г К) при 52–72 °C в жидкой фазе и от 1.38 до 1.8 Дж/(г К) при 7–32 °C в твердой фазе. При этом у одного из образцов в твердой фазе наблюдается аномальное значение теплоемкости cp при 27 °C, составляющее 2.63 Дж/(г К), причин которого авторы не объясняют. Температура плавления tm сходится с полученными данными в работе [13] и равняется 36.85 °С, ΔHm составляет 140 Дж/г, а ΔHск – 125 Дж/г. Погрешность измерения не указывается. Переохлаждение колеблется между 12 и 22 °С у параллельных проб.
В работе [8] упоминается температура плавления tm 36.1 °С с погрешностью измерения 0.1%, энтальпия плавления ΔHm равняется 134 Дж/г.
Еще одной важной работой являются труды С. Джейна [14], который исследовал вязкость и плотность жидких фаз кристаллогидратов. Были изучены различные кристаллогидраты нитрата цинка. Температура плавления tm была определена на значении 36.9 °С. Погрешность измерения tm не указана. Плотность ρ в жидкой фазе Zn(NO3)2·6H2O составила 1.8256–1.7783 при 39–80 °С с погрешностью 0.5 %, а вязкость μ, в том числе в переохлажденном состоянии, – от 267.3 до 57.2 мПа с при 29–80 °С с погрешностью 0.1%. В 1979 году Джейн продолжил исследования и в работе [15] обобщил результаты, дополнив их измерением плотности ρ твердой фазы и описав общие результаты в твердой и жидкой фазах уравнением зависимости 1.8622–1.125´10-3t при 26–67 °С.
В ряде других работ [7, 16, 17] приводятся результаты, значимо не коррелирующие с другими работами. Например, ΔHm в работе [17] составляет 246.5 Дж/г, а tm в работе [7] – 35 °С.
Все экспериментальные работы по исследованию кристаллогидратов, в том числе Zn(NO3)2·6H2O, обобщены в базе данных БД ТАМ [18]. Во всех поздних публикациях [19–28] приводятся обобщающие сведения по ограниченному набору экспериментальных работ.
Таким образом, различия в физико-химических свойствах Zn(NO3)2·6H2O, приведенных в литературных источниках, не только затрудняют выбор кристаллогидратов, но и значительно усложняют его. Эта проблема приводит к необходимости оценки достоверности теплофизических и термодинамических данных при теоретических расчетах. На основании вышеупомянутых экспериментальных работ все достоверные результаты, согласующиеся в рамках указанных погрешностей, описаны температурными зависимостями с числом значащих цифр, минимизирующих отклонение математической модели от представленных авторами экспериментальных данных:
(1)
(2)
(3)
(4)
(5)
(6)
Средняя ошибка аппроксимации свидетельствует о качестве подобранной модели. Температура плавления tm и энтальпия плавления ΔHm по результатам усреднения экспериментальных составили 36.4 °C и 134 Дж/г соответственно.
ЭКСПЕРИМЕНТАЛЬНАЯ ЧАСТЬ
Приготовление составов осуществлялось сериями, в которых корректировались методика приготовления составов и форма содержащегося графита. Все составы, соотношение компонентов в которых указано в табл. 1, получали по схеме, представленной на рис 1. Время и температура выдерживания приготавливаемых смесей на каждой стадии методики получения приведены в табл. 2. Для устранения переохлаждения и улучшения теплофизических характеристик к Zn(NO3)2·6H2O добавлен ряд зародышеобразующих и увеличивающих теплоемкость и теплопроводность добавок, приведенных в табл. 3.
Таблица 1. Соотношение и назначение компонентов в составах 1–10
Компонент | Массовая доля компонента в составе, %* | Роль компонента | Производитель | |||||||||
1 | 2 | 3 | 4 | 5 | 6 | 7 | 8 | 9 | 10 | |||
Zn(NO3)2∙6H2O | 95 | 93 | 93 | 100 | 95 | 93 | 93 | 95 | 100 | 100 | матрица | «ч.» (АО «Вектон»), ГОСТ: 5106-77 |
Co(NO3)2∙6H2O | 5 | 7 | 7 | - | 5 | 7 | 7 | 5 | - | - | зародышеобразователь | «ч.д.а.» (АО «Вектон»), ГОСТ: 4528-78 |
ZnO | - | - | - | 1.5 | - | - | - | - | 1.5 | 1.5 | зародышеобразователь | «ч.д.а.» (ЭКР), ГОСТ: 10262-73 |
G | 1 | 1 | 1 | - | - | - | - | - | 1 | - | теплопроводящая добавка | «ИМП» (Acros Organics), CAS: 7782-42-5 |
EG | - | - | - | - | 1 | 1 | 1 | - | - | - | теплопроводящая добавка | синтезировано авторами работы |
EGгидр | - | - | - | - | - | - | - | 1 | - | 1 | теплопроводящая добавка | синтезировано авторами работы |
Cакт | - | - | - | 10 | - | - | - | - | - | - | теплопроводящая добавка | «ИМП» (Sigma-Aldrich) |
КМЦ | 1 | - | 5 | 1 | 1 | - | 5 | 1 | 1 | 1 | загуститель | «ч.» (ООО «БИОЛАР»), ГОСТ: Р 55293-2012 |
ПВС | - | 1 | - | - | - | 1 | - | - | - | - | загуститель | «ч.д.а.» (Sigma-Aldrich), ГОСТ: 10779-78 |
*Массовые доли загустителей и зародышеобразователей рассчитывались от 100% смеси двух кристаллогидратов.
Рис. 1. Общая схема приготовления всех составов.
Таблица 2. Время и температурные режимы между стадиями в методике приготовления составов 1–10
Состав | Т, °C | t1, мин | t2, мин | Форма графита | |
1 | 1 серия | 65 | 30 | 180 | G |
2 | 65 | 30 | 180 | ||
3 | 65 | 30 | 180 | ||
4 | 65 | 30 | 180 | ||
9 | 60 | 15 | 15 | ||
10 | 60 | 15 | 15 | EGгидр | |
5 | 2 серия | 80 | 30 | 180 | EG |
6 | 80 | 30 | 180 | ||
7 | 80 | 30 | 180 | ||
8 | 3 серия | 60 | 20 | 15 | EGгидр |
10 | 60 | 15 | 15 | ||
Обозначения: Т – температура нагрева, t1 – время плавления смеси, t2 –время перемешивания.
Таблица 3. Характеристические пики составов до/после термоциклирования на ТИ по результатам измерений методами ИК и СКР
Характеристический пик | 2-я серия до термоциклирования | 2-я серия после термоциклирования | 3-я серия до термоциклирования | 3-я серия после термоциклирования | |||||
ИК*, см-1 | СКР, см-1 | ИК, см-1 | СКР, см-1 | ИК, см-1 | СКР, см-1 | ИК, см-1 | СКР, см-1 | ИК, см-1 | СКР, см-1 |
642 828 1 384 1638 3485 3576 | 371 1056 | 821 1357 1633 3368 | 458 1058 | 815 1367 1644 3363 | 486 1047 | 818 1367 1646 3353 | 457 1056 | 820 1357 1644 3384 | 490 1049 |
*Обозначения: 642 см-1 – ν: Zn-O; 828, 1384 см-1 – ν: N-O; 1638 см-1 – ν: H-O-H в соли; 3485 см-1 – O-H водородная связь; 3576 см-1 – ν: O-H вал. связь в соли.
Загустители, к которым также относятся различные модификации углерода [29], использованные при приготовлении теплоаккумулирующих материалов, добавлялись в соотношении к кристаллогидрату нитрата цинка от 1 до 10 мас. % , чтобы составы не имели слишком высокую вязкость. Высокая вязкость препятствует движению молекул, что затрудняет образование первичных зародышей.
Составы 1–3 с добавкой графита G показали более низкую вязкость, чем состав 4, но было отмечено неравномерное распределение G в объеме ТАМ во всех трех составах с добавлением Co(NO3)2∙6H2O. В составах 5–7 с добавлением Co(NO3)2∙6H2O, несмотря на равномерное распределение EG во время приготовления составов во 2-й серии экспериментов, была отмечена фазовая сегрегация. Так как выделение воды наблюдалось во всех составах на основе смеси Zn(NO3)2∙6H2O и Co(NO3)2∙6H2O, несмотря на различное содержание загустителей КМЦ и ПВС, для ее устранения было решено сохранить массовую долю КМЦ на уровне в 1% и приготовить в 3 серии состав 8, который имел наилучшую однородность, а EGгидр равномерно перемешивался и смачивался в расплаве в процессе приготовления ТАМ. В результате приготовления данного состава 8 он полностью закристаллизовался без фазовой сегрегации. Дальнейшие исследования данного состава приведены в сравнении с неоптимизированными составами на основе смеси Zn(NO3)2∙6H2O и Co(NO3)2∙6H2O, полученными в 1 и 2 сериях экспериментов. Составы 9 и 10 также отличались формой содержащегося графита, и состав 10 в процессе приготовления оказался однороднее.
Для увеличения гидрофильности графита G (Acros Organics) применено два подхода:
- получение терморасширенного графита EG путем термической обработки в присутствии интеркалята H2SO4 с последующим прокаливанием;
- получение гидрофилизованного графита EGгидр путем термической обработки графита при 400 °C в течение 4 часов с последующей гидрофилизацией в присутствии пероксида водорода 1%-го H2O2 в системе микроволновой обработки SINEO MDS-10.
Исследование фазового состава. Полученные образцы ТАМ по итогам двух серий измерений исследовали методом рентгеновской порошковой дифрактометрии на дифрактометре BRUKER (CuKα1-излучение, графитовый монохроматор) для определения фаз в полученных ТАМ.
По экспериментальным дифрактограммам составов 1 и 4 на рис. 2 в сравнении с чистыми Zn(NO3)2∙6H2O и Co(NO3)2∙6H2O имеется пик, соответствующий d = 8.109 (200) и небольшое смещение пика d = 6.573 (20–2), что говорит о наличии в небольшом количестве фазы [30, 31], получившейся в результате разложения кристаллогидрата нитрата кобальта по реакции :
(7)
Тем не менее является устойчивой формой и при температурах ниже 100 °C не разлагается, а является зародышеобразующей добавкой [30]. При этом Zn(NO3)2∙6H2O в составах 1 и 4 сохраняет исходную форму, что говорит о его устойчивости при нагревании до 65 °C. Красным цветом на рисунках обозначены характеристические пики, взятые из базы PCPDFWIN [5].
Рис. 2. Экспериментальные дифрактограммы ТАМ 1-й серии и индивидуальных кристаллогидратов.
Во 2 серии синтезов ожидаемого разложения нитратов цинка и кобальта не произошло. Это подтверждается экспериментальными дифрактограммами, представленными на рис. 3. Значения межплоскостных расстояний dрасч близки к табличным значениям dэтал кристаллогидратов Zn(NO3)2∙6H2O и Co(NO3)2∙6H2O, взятых из базы данных PCPDFWIN [5].
Рис. 3. Экспериментальные дифрактограммы ТАМ 2-й серии и индивидуальных кристаллогидратов.
Дифференциальная сканирующая калориметрия. Экспериментальные исследования теплоемкости и теплоты в твердой и жидкой фазах составов проводились с помощью дифференциального сканирующего калориметра DSC 204 F1 PHOENIX с точностью 0.5% в режиме нагрева от 0 до 100 °C со скоростью 10 °C/мин в атмосфере N2 со скоростью подачи газа 40 мл/мин. В качестве эталона в режиме измерения теплоемкости и теплового потока использован сапфир. Условия измерения сохранялись для всех последующих экспериментов.
Метод температурной истории. Этот метод позволяет смоделировать условия естественного цикла охлаждения и принудительного нагрева материалов в потенциальных устройствах накопления и хранения тепла. Он впервые был предложен Инпингом [32] и позволил исследовать важнейшие физико-химические характеристики. Измерение проводилось с помощью термодатчика, погруженного в нагреваемую на водяной бане пробирку с веществом [6].
Энтальпии фазового перехода при плавлении и кристаллизации рассчитываются по уравнению
, (8)
где Tmax – температура максимального нагрева; Ts – температура фактического затвердевания, которое можно определить разностью между Tcr-Δt; A2 – площадь под кривой кристаллизации образца, методом отношений площадей под полученными одновременно кривыми охлаждения эталона (воды) и образца с учетом их масс, теплоемкостей при температуре максимального нагрева, а также с учетом аналогичных данных для полипропиленовой пробирки, в которой проводилось измерение.
Границы данной площади определяются точкой начала кристаллизации и точкой окончания кристаллизации, соответствующей точке перегиба на кривой, которую можно определить по производной функции; A1’ – площадь под кривой охлаждения эталона от Tmax до Ts [33]. В работе [34] показано, что при сравнении полученных физико-химических параметров по результатам измерения методами ТИ и ДСК.
С помощью метода температурной истории в режиме нагрева/охлаждения составов в течение 9 циклов были исследованы: температура кристаллизации tcr, переохлаждение Δt, время разрядки τ. Для исследования данным методом из всех образцов отбиралась навеска массой 20 г. Погрешность температурного датчика составляет ±0.5 °C. Все измерения проведены при температуре окружающей среды 25 °C и температуре максимального нагрева составов 60 °C.
Спектральные исследования теплоаккумулирующих составов. На ИК-спектрах на рис. 4 можно увидеть, что смесь находится в кристаллической форме. Максимум пика нитратной группы N-O составов находится на частоте 1357–1367 см-1, что соответствует валентным колебаниям данной группы у чистых веществ. Широкий пик валентной группы H-O-H виден на частоте 1633–1646 см-1, а также водородные связи O-H группы с пиком на частотах 3353–3384 см-1. Уширения и размытия пиков, свидетельствующих о появлении аморфной фазы при затвердевании, ни у одного образца не наблюдается. В табл. 3 сведены обобщенные результаты измерений составов в сравнении с литературными данными.
На рис. 5 можно увидеть, что составы находятся в кристаллической форме, виден пик нитратной группы в районе 1047–1056 см-1, что позволяет судить о сходстве с литературными данными. Спектры чистых веществ соответствуют спектрам смеси.
Рис. 4. ИК-спектр 95%Zn(NO3)2·6H2O + 5%Co(NO3)2·6H2O + 1%EG + 1%КМЦ: a – модельная смесь Zn(NO3)2·6H2O/Co(NO3)2·6H2O; б – 2-я серия до термоциклирования; в – 2-я серия после термоциклирования; г – 3-я серия до термоциклирования; д – 3-я серия после термоциклирования.
В табл. 3 сведены результаты измерений составов методами колебательной спектроскопии. Литературные данные по ИК-спектру Zn(NO3)3·6H2O взяты из [35].
Измерение вязкости расплавов. Измерение вязкости расплавов осуществлялось методом ротационной вискозиметрии на модели прибора LAMY RHEOLOGY FIRST RM с помощью стержня, погруженного в расплав материала при температуре 60 °С. В зависимости от скорости вращения стержня значение вязкости изменялось и в качестве фиксированного значения бралась точка на графике вязкости, после которой кривая выходила на плато. Плотность жидкой фазы рассчитывалась через массу и объем расплава при 60 °С. Прибор для измерения температурной истории представлял собой контроллер с датчиками, погруженными в пробирки с образцами, контролируемо нагреваемыми до 75 °С. Погрешность измеренной вязкости составила ±10 %, а погрешность температурного датчика ±0.5 °C.
На основании комплексных результатов измерения методами ТИ, ДСК, ИК-, КР-спектроскопий и РФА каждой последующей серии экспериментов производилась корректировка методики получения всех составов.
ОБСУЖДЕНИЕ РЕЗУЛЬТАТОВ
В табл. 4 приведены физико-химические свойства Zn(NO3)2·6H2O, полученные методом температурной истории (ТИ) и ДСК. Показано, что Zn(NO3)2·6H2O без добавок имеет высокое переохлаждение Δt, достигающее 9.3 °С в условиях естественного охлаждения с комнатной температурой 22 °C. При низком температурном диапазоне работы ТАМ от 30 до 40 °С такое переохлаждение является критически высоким и использование Zn(NO3)2·6H2O в качестве ТАМ становится невозможным. Температура плавления tm равна 35.8±0.8 °C, что ниже литературного значения в 36.4 °C. Это вызвано квалификацией реактива, которая снижает температуру плавления. Время разрядки τ, в течение которого происходит отдача тепла при кристаллизации, составило 48 мин.
Таблица 4. Физико-химические свойства Zn(NO3)2·6H2O
tm, °С | tcr, °С | ΔHm / ΔHcr, Дж/г | Δt, °С | τ, мин | Производитель |
35.8±0.8 | 34.8±0.9 | 157.2±3.2 (ДСК)/ 155±1.7 (ТИ) | 9.3±0.5 | 48 | «ч.» (АО «Вектон»), ГОСТ: 5106-77 |
Погрешность результатов эксперимента складывалась из чистоты реактива, с содержанием примесей не более 2%, и погрешности метода ДСК и ТИ и определялась по правилу сложения погрешностей. В пределах погрешности результаты по температуре плавления tm сходятся с литературными достоверными данными. Энтальпия фазового перехода при плавлении ΔHm, полученная методом ДСК в режиме нагрева, и энтальпия кристаллизации ΔHcr, рассчитанная по результатам измерений методом ТИ в режиме охлаждения, сходятся в пределах погрешности между собой, но отличаются от достоверных данных, что может быть вызвано степенью чистоты реактива. В литературе не приводится сведений о чистоте используемого Zn(NO3)2·6H2O.
Определение физико-химических свойств составов. Стабильные физико-химические параметры после 9 циклов нагрева/охлаждения сохраняет только состав 5 (рис. 6), у которого температура плавления остается практически неизменной, а теплота плавления повышается со 139.6 до 150.9 Дж/г, что может быть связано с худшей однородностью по сравнению с составами 8 и 10. Теплоемкость состава 8 достигает наибольшего значения по сравнению с составом 5, что отображено в табл. 5 (рис. 7а).
Рис. 5. КР-спектр 95%Zn(NO3)2·6H2O + 5%Co(NO3)2·6H2O + 1%EG + 1%КМЦ: a – модельная смесь Zn(NO3)2·6H2O/Co(NO3)2·6H2O; б – 2-я серия до термоциклирования; в – 2-я серия после термоциклирования; г – 3-я серия до термоциклирования; д – 3-я серия после термоциклирования.
Рис. 6. Зависимости теплового потока от температуры состава 5 до/после 9 циклов нагрева во 2-й серии.
Рис. 7. Зависимости теплоемкости от температуры: a) составов 5 и 8 во 2-й и 3-й сериях; б) составов 9 и 10 до 9 циклов нагрева в 1-й и 3-й сериях.
Составы 9 и 10 отличались формой расширенного графита – G для состава 9 и EGгидр – для состава 10. Экспериментальные результаты, представленные в табл. 5, не показали значимого расхождения физико-химических параметров, которые оказались практически идентичными (рис. 7б). Тем не менее измеренная теплоемкость жидкой фазы при 80 °C (рис. 7б) показывает, что состав 10 с добавлением более гидрофильной формы расширенного графита EGгидр достигает наибольшего значения. Результаты исследования методом ДСК остальных составов сведены в табл. 5.
Таблица 5. Физико-химические характеристики составов
Состав | tm, (1/9 цикл) °С | ΔHm, Дж/г (1/9 цикл) °С | cp, (80 °С), Дж/(г K) | cp, (30 °С), Дж/(г K) | ρ, кг/м3 80 °C | ρ, кг/м3 30 °C | Thyst (|tm-tcr|) | μ, мПа с, |
Жидкая фаза | Твердая фаза | Жидкая фаза | Твердая фаза | |||||
1 серия | ||||||||
9 | 35.04 | 149.8 | 12.97 | 5.68 | - | - | 4.3 | - |
10 | 34.47 | 147.4 | 12.76 | 5.92 | - | - | 2.3 | - |
2 серия | ||||||||
5 | 37.77/ 38.18 | 139.6/ 150.9 | 11.13 | 2.54 | 2.16 | - | 6.4 | 60.4 (54.5 °С) |
6 | 36.49/ 37.47 | 140.4/ 142.8 | 11.76 | 2.65 | 2.01 | - | 4.9 | 56.1 (75 °С) |
7 | 37.87/ 37.86 | 138.0/ 126.3 | 9.34/ 7.88 | 2.75 | 2.31 | - | 7.7 | 464 (75 °С) |
3 серия | ||||||||
8 | 37.24/ 38.00 | 147.4/ 138.5 | 11.62/ 10.60 | 2.62/ 1.86 | - | 2.09 | 3.7 | - |
10 | 34.12 | 132.6 | 12.81 | 5.95 | - | - | 3.4 | - |
Плотность и вязкость составов 9 и 10 в 1 серии не удалось измерить из-за небольшой массы. Для составов 5–7 отмечено увеличение температурного гистерезиса Thyst с возрастанием плотности расплавов при 80 °C, а у составов 6 и 7 наблюдается снижение теплоемкости, а также увеличение плотности жидкой фазы при повышении вязкости расплавов.
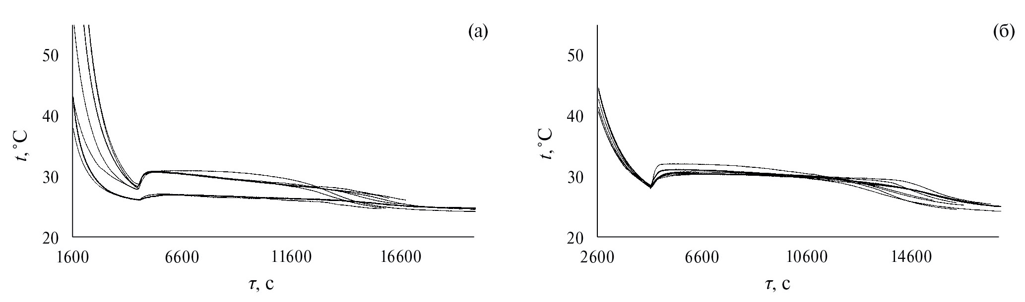
Анализ кривых охлаждения и определение термостабильности составов методом температурной истории. На рис. 8 (a, б) представлены сравнительные результаты исследования методом температурной истории составов 9–10, на которых видно, что добавление EGгидр привело к стабилизации температуры кристаллизации tcr.
Рис. 8. Кривые охлаждения: a) состава 9 в течение 9 циклов нагрева/охлаждения в 1-й серии; б) состава 10 в течение 9 циклов нагрева/охлаждения в 1-й серии; t – время разрядки.
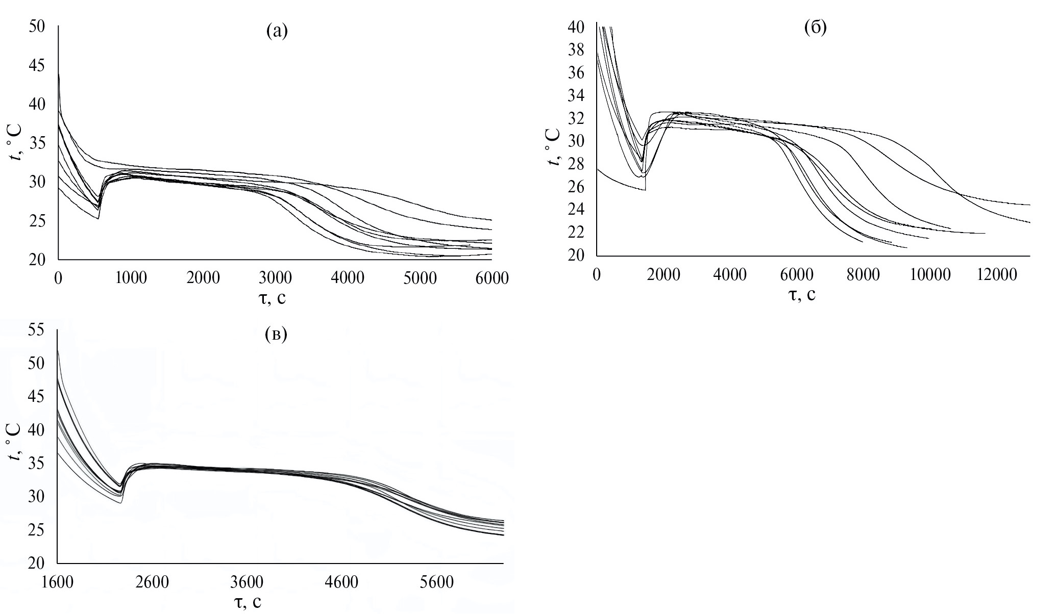
На рис. 9 (a–в) представлены результаты измерений кривых охлаждения одинаковых составов 1–3 серий, в которых содержался графит разной степени гидрофильности. Можно наблюдать, что, как и в случае с составом на рис. 4, температурная история в девяти циклах нагрева/охлаждения стабилизировалась.
Рис. 9. Кривые охлаждения в течение 9 циклов нагрева/охлаждения: a) состава 1 в 1-й серии; б) состава 5 во 2-й серии; в) состава 8 в 3-й серии.
Для оценки погрешности измерения переохлаждения был взят доверительный интервал с использованием критерия Стьюдента.
Необходимо отметить, что для состава 2 доверительный интервал превосходит среднюю величину. Причина этого кроется в большой моде, равной 66%, в которой 6 из 9 значений имеют одну одинаковую величину переохлаждения. Так как в формирование средней величины большой вклад вносят модальные значения, а в формирование погрешности – аномальные значения, выбор моды наиболее оптимален. При этом аномальные значения не оказались выбросами, как прогнозировалось изначально, о чем свидетельствует Q-критерий для значения 2.1, равный 0.524 против табличного значения Qтабл = 0.568. Критерий Стьюдента также показал, что данная точка не является выбросом, так как tрасч = 2.15 при доверительной вероятности 95% против табличного значения 2.31. В качестве погрешности используется средняя ошибка среднего. В табл. 6 приведены статистические расчеты для составов с указанной дисперсией D и стандартным отклонением SS; Δt и tcr незначительно менялись с увеличением номера цикла. Максимальное отклонение температуры кристаллизации tcr от среднего значения выявлено у состава 2 и составляет 32.2±1.3 °C. Максимальное переохлаждение выявлено у состава 7 и составляет 4.1 °C. В 3-й серии у состава 10 можно наблюдать снижение времени разрядки τ со 112 до 19 минут из-за снижения температуры внешней среды с 25 до 18 °C.
Определение теплового эффекта при нагреве составов. Тепловой эффект при изменении температуры жидкой фазы рассчитан в температурном диапазоне 25–80 °C по формуле:
(8)
(9)
Суммарная плотность аккумулирования тепла рассчитана ΣS по формуле (9) и в 4 раза превышает значение для воды, равное 223 МДж/м3 при 80 °C. Для расчета плотности аккумулирования тепла при 80 °C взято значение плотности жидкой фазы при аналогичной температуре. Результаты расчетов теплот ΔH составов в твердой фазе (30 °C) и жидкой фазе (80 °C) представлены в табл. 7.
Таблица 6. Термостабильность составов 5–10
Состав | tcr, °C (9 циклов) | Δt (9 циклов) | τ, мин (9 циклов) | ||||
D | SS | tcr, °C, среднее | D | SS | Δt, среднее | min/max | |
1 серия | |||||||
1 | 0.52 | 0.72 | 30.78 | 3.80 | 1.95 | 2.99 | 40/75.7 |
2 | 1.68 | 1.30 | 32.17 | 0.47 | 0.68 | 0.87 | 6.5/31.7 |
3 | 0.79 | 0.89 | 29.07 | 3.98 | 2.00 | 2.76 | 14.6/100 |
9 | 2.85 | 1.69 | 29.78 | 0.62 | 0.79 | 2.09 | 96/145 |
10 | 0.29 | 0.54 | 30.80 | 0.20 | 0.44 | 2.49 | 116/174 |
2 серия | |||||||
5 | 0.22 | 0.47 | 31.77 | 1.58 | 1.26 | 3.44 | 78.3/166.6 |
6 | 1.13 | 1.06 | 32.61 | 0 | 0 | 0 | 53.3/108.3 |
7 | 0.04 | 0.19 | 30.14 | 1.14 | 1.07 | 4.09 | 66.6/153.3 |
3 серия | |||||||
8 | 0.06 | 0.25 | 34.69 | 0.94 | 0.97 | 3.88 | 43.2/52.6 |
Состав 10: | 0.73 | 0.85 | 30.36 | 1.61 | 1.27 | 2.08 | 19/112 |
Обозначения: tcr – температура кристаллизации, Δt – переохлаждение.
Таблица 7. Рассчитанные теплоты в твердой и жидкой фазах составов
Состав | ΔH, Дж/г (30 °C) | ΔH, Дж/г (80 °C) | ΣΔH, Дж/г (25–80 °C) | ΣS, МДж/м3 (25–80 °C) |
твердая фаза | жидкая фаза | |||
1 серия | ||||
9 | 50.9 | 447.9 | 648.3 | - |
10 | 62.3 | 562.9 | 772.6 | - |
2 серия | ||||
5 | 33.97 | 269.7 | 453.9 | 980 |
6 | 24.17 | 287.3 | 454.3 | 913 |
7 | 10.24 | 263.3 | 399.9 | 924 |
3 серия | ||||
8 | 30.41 | 327.4 | 505.2 | 1100 |
10 | 56.0 | 478.3 | 666.9 | - |
Испытания в опытном образце теплового аккумулятора. По результатам исследования 4 кг составов 8 и 10 в опытном образце теплового аккумулятора были получены данные, приведенные на рис. 10 и 11. В качестве теплоносителя в батарее использовалась вода, а в металлические модули были погружены составы 8 и 10, которые охлаждались в естественных условиях в течение 6 ч 40 мин (состав 8 на рис. 10) и 4 ч (состав 10 на рис. 11). Температурный градиент между составами и теплоносителем в начале кристаллизации не превысил 7 °C и уменьшался при дальнейшем остывании образца, в то время как теплоноситель сохранял в течение этого же времени температуру на уровне 29 °C. Температура кристаллизации состава 10 составила 36.2 °C с переохлаждением Δt, равным 1.5 °C. Температура кристаллизации состава 10 составила 31.1 °C с переохлаждением Δt, равным 2 °C.
Рис. 10. Кривая охлаждения состава 8 в опытном тепловом аккумуляторе.
Рис. 11. Кривая охлаждения состава 10 в опытном тепловом аккумуляторе.
ЗАКЛЮЧЕНИЕ
Переохлаждение Δt, время разрядки τ и температуру кристаллизации tcr всех приготовленных составов удалось оптимизировать во 2-й и 3-й сериях экспериментов. Переохлаждение Δt у состава 8 не превысило 3.9 °C, а у состава 10 (Zn(NO3)2·6H2O + 1.5%ZnO + 1% EGгидр + 1%КМЦ) не превысило 2 °C.
По итогам измерений методом ДСК определено, что составы 5–7 с Co(NO3)2∙6H2O не рекомендуется нагревать выше 80 °C из-за разложения Co(NO3)2∙6H2O и лучше ограничить эксплуатацию материала 60 °C. Отмечено снижение теплоемкости жидкой фазы и одновременное увеличение плотности расплава.
Температура кристаллизации у состава 6 (93%Zn(NO3)2∙6H2O + 7% Co(NO3)2∙6H2O) + 5% КМЦ + 1% EG стабильно показывало значение 30–30.2 °C, а у состава 5 (95% Zn(NO3)2∙6H2O + 5% Co(NO3)2∙6H2O) + 1% КМЦ + 1% EG) было высокое время аккумуразрядки тепла τ, достигающее 166 мин. Тем не менее самыми оптимальными ТАМ, в которых удалось одновременно стабилизировать время разрядки тепла и температуру кристаллизации, стали состав 8: (95% Zn(NO3)2∙6H2O + 5% Co(NO3)2∙6H2O) + 1% КМЦ + 1% EGгидр и состав 10: Zn(NO3)2·6H2O + 1.5%ZnO + 1% EGгидр + 1%КМЦ.
Время разрядки τ у состава 8 (95% Zn(NO3)2∙6H2O + 5% Co(NO3)2∙6H2O) + 1% КМЦ + 1% EGгидр незначительно изменялось от 43 до 52 мин, а температура кристаллизации стабильно находилась в диапазоне 34.3–35.0 °C. Переохлаждение же увеличивалось от 2.3 до 5.5 °C. По результатам ДСК у данного состава также отмечена высокая теплоемкость, незначительно падающая с 11 до 10.5 Дж/(г К) после 9 циклов нагрева/охлаждения, а также высокая суммарная теплота ΣΔH при остывании, складывающаяся из теплоты плавления и теплот в твердой и жидкой фазах, составляющая 505 Дж/г. У состава 10 Zn(NO3)2·6H2O + 1.5%ZnO + + 1%EGгидр + 1%КМЦ суммарная теплота ΣΔH составила 667 Дж/г при среднем переохлаждении 2 °C и температурой кристаллизации 30.4 °C по результатам измерений 9 циклов нагрева и охлаждения.
По результатам исследований состав 8 (95% Zn(NO3)2∙6H2O + 5% Co(NO3)2∙6H2O) + 1% КМЦ + 1% EGгидр может быть использован в качестве теплоаккумулирующего материала в системах отопления для обеспечения оптимальной температуры помещения. Благодаря стабильности состава 10 (Zn(NO3)2·6H2O + 1.5%ZnO + 1% EGгидр + 1%КМЦ) минимум до 80 °C возможно его использование в системах поддержания температуры двигателей автомобилей и в системе теплого пола.
Данные исследования выполнены при поддержке Фонда содействия развитию малых форм предприятий в научно-технической сфере (FASIE), в рамках государственного задания федерального государственного бюджетного учреждения «Российская академия наук» по проектам научных тем по научным исследованиям (тема № FEEM-2024-0008)
Об авторах
Д. С. Тестов
Государственный университет «Дубна»
Автор, ответственный за переписку.
Email: dima13-1994@yandex.ru
Россия, Дубна
С. В. Моржухина
Государственный университет «Дубна»
Email: dima13-1994@yandex.ru
Россия, Дубна
В. Р. Гашимова
Государственный университет «Дубна»
Email: dima13-1994@yandex.ru
Россия, Дубна
А. М. Моржухин
Государственный университет «Дубна»
Email: dima13-1994@yandex.ru
Россия, Дубна
Г. В. Кирюхина
Московский государственный университет им. М.В. Ломоносова; Институт экспериментальной минералогии им. акад. Д.С. Коржинского РАН
Email: dima13-1994@yandex.ru
Россия, Москва; Черноголовка
Е. С. Попова
Государственный университет «Дубна»
Email: dima13-1994@yandex.ru
Россия, Дубна
А. Л. Гасиев
Государственный университет «Дубна»
Email: dima13-1994@yandex.ru
Россия, Дубна
А. В. Крюкова-Селиверстова
Государственный университет «Дубна»
Email: dima13-1994@yandex.ru
Россия, Дубна
К. Н. Гринь
Государственный университет «Дубна»
Email: dima13-1994@yandex.ru
Россия, Дубна
Список литературы
- Моржухин А.М., Тестов Д.С., Моржухина С.В., Корокин В.Ж. // Альтернативная энергетика и экология (ISJAEE). 2019. № 22–27. C. 92. doi: 10.15518/isjaee.2019.22-27.092-106
- Моржухин А.М., Моржухина С.В., Назмитдинов Р.Г., Мойа-Полл А. // Вестн. Международного университета природы, общества и человека «Дубна». Серия: Естественные и инженерные науки. 2016. № 4(36). С. 24.
- Morzhukhin A.M., Testov D.S., Morzhukhina S.V. // Materials of Science Forum. 2020. V. 989. P. 165. doi: 10.4028/ href='www.scientific.net/MSF.989.165' target='_blank'>www.scientific.net/MSF.989.165
- Kenisarin M., Mahkamov K. // Sol. Energy Mater. Sol. Cells. 2016. V. 145. P. 255.
- McMurdie H.F., Morris M.C., Evans E.H., Paretzkin B., de Groot J.H. // Nat. Bur. of Stand. 1975. Sec. 12. P. 88.
- Моржухин А.М., Решетников А.Г., Евсеев А.Э. и др. // Сб. трудов Всероссийской конференции с международным участием 18–19 апреля. Дубна. 2019. С. 118.
- Kumar N., Banerjee D., Chaves R. Jr. // J. Energy Storage. 2018. V. 20. P. 153. doi: 10.1016/j.est.2018.09.005.
- Sharma A., Tyagi V.V., Chen C.R., Buddhi D. // Renew. Sust. Energ. Rev. 2009. V. 13. P. 318. doi: 10.1016/J.RSER.2007.10.005
- Данилин В.Н., Долесов А.Г., Петренко Р.А. Теплоаккумулирующий состав на основе кристаллогидрата нитрата цинка: № 983134. 1982. № 10. C. 2.
- Guion J., Sauzade J.D., Laügt M. // Thermochim. Acta 1983. V. 67. № 2. P. 167.
- Lane G. // Int. J. Ambient Energy. 1980. V. 1. P. 155.
- Aboul-Enein S., Ramadan M.R.I. // Sol. Wind Technol. 1988. V. 5. P. 441.
- Abhat A., Aboul-Enein S., Malatidis N.A. // Forschungsbericht. 1982. V. 82–016. P. 193.
- Jain S.K. // J. Chem. Eng. Data 1978. V. 23(2). P. 170.
- Jain S.K., Tamamuski R. // Can. J. Chem. 1980. V. 58. № 16. P.1697.
- Voigt W., Zeng D. // Pure Appl. Chem. 2002.V. 74. № 10. P. 1909.
- Patil N.D. // Int J Eng Sci Technol. 2012. V. 4. № 2502. P. 9.
- Моржухина С.В., Моржухин А.М., Тестов Д.С. Базы данных свойств теплоаккумулирующих материалов для систем отопления и горячего водоснабжения (БД ТАМ). № 2020621948. 2020. 6.95 МБ.
- Мозговой А.Г., Шпильрай Э.Э., Дибиров М.А и др. Теплофизические свойства теплоаккумулирующих материалов. Кристаллогидраты: Обзоры по теплофизическим свойствам веществ. М.: ИВТАН, 1990. С. 105.
- Zalba B., Marı́n J.M., Cabeza L.F., Mehling H. // Appl. Therm. Eng. 2003. V. 23. P. 251. doi: 10.1016/S1359-4311(02)00192-8.
- Mehling H., Cabeza L.F. // Springer. 2008. P. 308. doi: 10.1007/978-3-540-68557-9.
- Cabeza L.F., Castell A., Barreneche C.D. et al. // Renew. Sust. Energ. Rev. 2011. V. 15. P. 1675.
- Socaciu L.G. // LEJPT. 2012. № 20. P. 75.
- Pielichowska K., Pielichowski K. // Prog. Mater. Sc. 2014. V. 65. P. 67.
- Khan Z., Ghafoor A. // Energy Convers. Manag. 2016. V. 115. P. 132.
- Kenisarin M., Mahkamov K. // Sol. Energy Mater. Sol. Cells. 2016. V. 145. P. 255.
- Xie N., Huang Zh., Luo Z. et al. // Appl. Sci. 2017. V. 7. P. 1317. doi: 10.3390/app7121317.
- Wong-Pinto L.-Si., Milian Y., Ushak S. // Renew. Sust. Energ. Rev. 2020. V. 122. P. 109727.
- Cunha J.P., Eames Ph. // Appl. Energy. 2016. V. 177. P. 227.
- Ehrhardt C., Gjikaj M., Brockner W. // Thermochimica Acta. 2005. V. 432. № 1. P. 36.
- Petrov K. et al. //J. of Solid-State Chem. 1992. V. 101. № 1. P. 145.
- Yinping Z., Yi J. // Meas Sci and Technol. 1999. V. 10(3). P. 201. doi: 10.1088/0957-0233/10/3/015.
- Huang Z. et al. // Sol Energy Mat. and Sol. Cells. 2018. V. 179. P. 152.
- Theresa L., Vetraj R. // Mat. Res. Exp. 2019. V. 6. № 12. P. 125527.
- Khadiran N. F. et al. // J. of Porous Mat. 2021. V. 28. P. 1797.
Дополнительные файлы














